Реферат: Ёмкость плавного p-n перехода
|
Название: Ёмкость плавного p-n перехода Раздел: Рефераты по коммуникации и связи Тип: реферат | |||||||||||||||||||||||||||||||||||
Чтобы рассчитать распределение электрического потенциала в месте контакта, необходимо решитьуравнение Пуассона. Для одного измерения оно выглядит следующим образом: φ(х) – распределение потенциала, В самом общем случае С концентрацией носителей заряда оказывается сложнее поскольку она меняется на протяжении p-n перехода. В первом приближении можно считать, что в p-n переходе нет носителей заряда (обеднённый слой). Как показывают численные расчёты, это приближение оказывается достаточно точным, поскольку изменение концентрации электронов и дырок на протяжении p-n перехода изменяется как минимум на порядок. И только на границах p-n перехода приближение оказывается не точным, поскольку концентрация – плавная функция и не имеет разрывов. Однако размеры этих приграничных слоёв очень малы, намного меньше реальных размеров p-n перехода. Следовательно, в области p-n перехода объёмная плотность заряда определяется только распределением примеси Плавный p-n перехода Первое приближение даёт линейное распределение примеси (рис. 1). Такое приближение достаточно хорошо описывает некоторые диффузионные p-n переходы и переходы коллектор-база в биполярных приборах. P-n переход в этом случае называется плавным. Объёмный заряд линейно зависит от х и определяется распределения примеси в точке металлургического контакта. Тогда первое интегрирование даст следующий результат: Здесь Для определения этой величины следует ввести граничные условия. Известно, что напряжённость электрического поля определяется как Рис. 1 Второе интегрирование позволяет получить распределение потенциала вдоль оси x: Обозначим Как и для предыдущего решения, при x=0 значения функции и её производной должны быть одинаковыми для обеих формул, т.е. Отсюда следует, что в отличие от резкого, плавный р-n переход всегда симметричный и И тогда толщина плавного р-n перехода: Барьерная ёмкость. По определению, ёмкость – скорость изменения заряда при изменении приложенного напряжения, т.е. Задание 1 Ёмкость плавного р-n перехода. Исходя из рис. 1 и соотношения (1) получаем изменение заряда: а изменение напряжения – из (2) И опять барьерная ёмкость определяется по формуле плоского конденсатора Получившийся одинаковый результат не случайность, а следствие связи между зарядом и потенциалом через уравнение Пуассона, и полученную формулу для ёмкости вообще-то можно доказать для любого распределения примеси. Хотя следует отметить различие между плоским конденсатором и р-n переходом: изменение заряда в конденсаторе происходит за счёт изменения плотности заряда при неизменном расстоянии между обкладками, а в р-n переходе – за счёт изменения области, занимаемой зарядом при неизменной его плотности. Исходя из получившийся формулы для барьерной ёмкости следует, что последняя будет зависеть от приложенного напряжения, поскольку от него зависит толщина области объёмного заряда. При прямых напряжениях больших, чем Задание 2 Рассчитать величину барьерной ёмкости плавного р-n перехода при 300 К и прямом напряжении Дано:
T = 300 K
Т.к. примеси полностью истощены и собственная проводимость ещё очень мала, то можно предположить: Контактная разность потенциалов
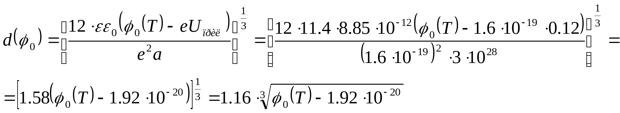
Барьерная ёмкость
Чтобы рассчитать распределение электрического потенциала в месте контакта, необходимо решитьуравнение Пуассона. Для одного измерения оно выглядит следующим образом: φ(х) – распределение потенциала, В самом общем случае С концентрацией носителей заряда оказывается сложнее поскольку она меняется на протяжении p-n перехода. В первом приближении можно считать, что в p-n переходе нет носителей заряда (обеднённый слой). Как показывают численные расчёты, это приближение оказывается достаточно точным, поскольку изменение концентрации электронов и дырок на протяжении p-n перехода изменяется как минимум на порядок. И только на границах p-n перехода приближение оказывается не точным, поскольку концентрация – плавная функция и не имеет разрывов. Однако размеры этих приграничных слоёв очень малы, намного меньше реальных размеров p-n перехода. Следовательно, в области p-n перехода объёмная плотность заряда определяется только распределением примеси Плавный p-n перехода Первое приближение даёт линейное распределение примеси (рис. 1). Такое приближение достаточно хорошо описывает некоторые диффузионные p-n переходы и переходы коллектор-база в биполярных приборах. P-n переход в этом случае называется плавным. Объёмный заряд линейно зависит от х и определяется распределения примеси в точке металлургического контакта. Тогда первое интегрирование даст следующий результат: Здесь Для определения этой величины следует ввести граничные условия. Известно, что напряжённость электрического поля определяется как Рис. 1 Второе интегрирование позволяет получить распределение потенциала вдоль оси x: Обозначим Как и для предыдущего решения, при x=0 значения функции и её производной должны быть одинаковыми для обеих формул, т.е. Отсюда следует, что в отличие от резкого, плавный р-n переход всегда симметричный и И тогда толщина плавного р-n перехода: Чтобы рассчитать распределение электрического потенциала в месте контакта, необходимо решитьуравнение Пуассона. Для одного измерения оно выглядит следующим образом: φ(х) – распределение потенциала, В самом общем случае С концентрацией носителей заряда оказывается сложнее поскольку она меняется на протяжении p-n перехода. В первом приближении можно считать, что в p-n переходе нет носителей заряда (обеднённый слой). Как показывают численные расчёты, это приближение оказывается достаточно точным, поскольку изменение концентрации электронов и дырок на протяжении p-n перехода изменяется как минимум на порядок. И только на границах p-n перехода приближение оказывается не точным, поскольку концентрация – плавная функция и не имеет разрывов. Однако размеры этих приграничных слоёв очень малы, намного меньше реальных размеров p-n перехода. Следовательно, в области p-n перехода объёмная плотность заряда определяется только распределением примеси Плавный p-n перехода Первое приближение даёт линейное распределение примеси (рис. 1). Такое приближение достаточно хорошо описывает некоторые диффузионные p-n переходы и переходы коллектор-база в биполярных приборах. P-n переход в этом случае называется плавным. Объёмный заряд линейно зависит от х и определяется распределения примеси в точке металлургического контакта. Тогда первое интегрирование даст следующий результат: Здесь Для определения этой величины следует ввести граничные условия. Известно, что напряжённость электрического поля определяется как Рис. 1 Второе интегрирование позволяет получить распределение потенциала вдоль оси x: Обозначим Как и для предыдущего решения, при x=0 значения функции и её производной должны быть одинаковыми для обеих формул, т.е. Отсюда следует, что в отличие от резкого, плавный р-n переход всегда симметричный и И тогда толщина плавного р-n перехода: Барьерная ёмкость. По определению, ёмкость – скорость изменения заряда при изменении приложенного напряжения, т.е. Задание №1 Ёмкость плавного р-n перехода. Исходя из рис. 1 и соотношения (1) получаем изменение заряда: а изменение напряжения – из (2) И опять барьерная ёмкость определяется по формуле плоского конденсатора Получившийся одинаковый результат не случайность, а следствие связи между зарядом и потенциалом через уравнение Пуассона, и полученную формулу для ёмкости вообще-то можно доказать для любого распределения примеси. Хотя следует отметить различие между плоским конденсатором и р-n переходом: изменение заряда в конденсаторе происходит за счёт изменения плотности заряда при неизменном расстоянии между обкладками, а в р-n переходе – за счёт изменения области, занимаемой зарядом при неизменной его плотности. Исходя из получившийся формулы для барьерной ёмкости следует, что последняя будет зависеть от приложенного напряжения, поскольку от него зависит толщина области объёмного заряда. При прямых напряжениях больших, чем Задание №2 Рассчитать величину барьерной ёмкости плавного р-n перехода при 300 К и прямом напряжении Дано:
T = 300 K
Т.к. примеси полностью истощены и собственная проводимость ещё очень мала, то можно предположить: Контактная разность потенциалов
Барьерная ёмкость
Ответ: 167 пФ Таким образом, при наложении на исследуемый р-n переход напряжения прямого смещения
Задание №3 Построить график зависимости барьерной ёмкости от температуры.
Знак «+» берётся при приложенном обратном напряжении, Знак «-» берётся при приложенном прямого напряжения.
Литература: С.П. Медведев. Физика полупроводниковых и микроэлектронных приборов (биполярные приборы), учебное пособие. Епифанов, Мома. Физические основы конструирования и технологии РЭА и ЭВА. Кузнецкий институт информационных и управленческих технологий (филиал ПГУ) Кафедра Микроэлектроники Курсовая работа По дисциплине: Физические основы микроэлектроники Тема: Ёмкость плавного р-nперехода Проверил: Абрамов В.Г. Выполнил: студент гр. 02КР1 Кулиш С.В. г. Кузнецк 2003 г. |

где a –градиент концентрации примеси, т.е. первая производная кривой

и


где a –градиент концентрации примеси, т.е. первая производная кривой

и

где a –градиент концентрации примеси, т.е. первая производная кривой

и







