Курсовая работа: Продажа цифрового фотоаппарата марки Canon Digital IXUS 700 на рынке города Уфы
|
Название: Продажа цифрового фотоаппарата марки Canon Digital IXUS 700 на рынке города Уфы Раздел: Рефераты по экономике Тип: курсовая работа | |||||||||||||||||||||||||||||||||||||||||||||||||||||||||||||||||||||||||||||||||||||||||||||||||||||||||||||||||||||||||||||||||||||||||||||||||||||||||||||||||||||||||||||||||||||||||||||||||||||||||||||||||||||||||||||||||||||||||||||||||||||||||||||||||||||||||||||||||||||||||||||||||||||||||||||||||||||||||||||||||||||||||||||||||||||||||||||||||||||||||||||||||||||||||||||||||||||||||||||||||||||||||||||||||||||||||||||||||||||||||||||||||||||||||||||||||||||||||||||||||||||||||||||||||||||||||||||||||||||||||||||||||||||||||||||||||||||||||||||||||||||||||||||||||||||||||||||||||||||||||||||||||||||||||||||||||||||||||||||||||||||||||||||||||||||||||||||||||||||||||||||||||||||||||||||||||||||||||||||||||||||||||||||||||||||||||||||||||||||||||||||||||||||||||||||||||||||||||||||||||||||||||||||||||||||||||||||||||||||||||||||||||||||||||||||||||||||||||||||||||||||||||||||||||||||||||||||||||||||||||||||||||||||||||||||||||||||||||||||||||||||||||||||||||||||||||||||||||||||||
| Федеральное агентство по образованию Государственное образовательное учреждение высшего профессионального образования Уфимский Государственный Авиационный Технический Университет Кафедра менеджмента и маркетинга Курсовая работа по маркетингу на тему: «Продажа цифрового фотоаппарата марки Canon Digital IXUS 700 на рынке города Уфы». Выполнил: студент ИНЭК, гр. ФК-325, Курманов А. Р. Научный руководитель: Бронников М. А. Уфа-2006 Содержание Введение………………………………………………………………………….......3 Глава 1 Сбор, изложение и анализ вторичной маркетинговой информации………………………………………………………………….…....….4 Глава 2 Проведение маркетингового исследования…………………..……….... 12 2.1 Разработка плана маркетингового исследования….…………............... 12 2.2 Анализ и представление результатов исследования……………………15 Глава 3 Разработка маркетингового плана для целевого рынка……………..... 24 3.1 Разработка товарного предложения……………………………………....24 3.2 Разработка мероприятий укрепления рыночной позиции товара............31 3.3 Разработка плана продвижения товара…………..……………………….34 Заключение………………………………………………………………………….40 Список использованной литературы и источников………………………...…... 41 Приложения………………………………………………………………………....42 Введение Цифровая техника развивается головокружительными темпами. Первые цифровые снимки были получены при картографировании американскими астронавтами лунной поверхности и переданы на Землю ещё в середине 60-х. Первые бытовые цифровые фотоаппараты дешевле тысячи долларов появились в 1993 году, но настоящий маркетинговый прорыв совершила в феврале 1994 компания Apple с продуктом Apple QuickTake 100. Фотокамера была выпущена в корпусе, напоминавшем бинокль (популярная в те годы форма для видео-фотокамер) и позволяла хранить во внутренней Flash-памяти восемь снимков размером 640×480 (0,3 МП) или тридцать два снимка с половинным разрешением 320×200. Сейчас встроенные цифровые фотокамеры есть даже в мобильных телефонах, производители которых, как известно, стараются уместить в них все необходимое для потребителя, начиная от калькулятора и заканчивая MP3-плейером. Этим подтверждается актуальность цифровых фотоаппаратов по сравнению с пленочными. Цель данной курсовой работы заключается в освоении процедуры составления маркетингового плана как части стандартного бизнес-плана. Содержание работы сводится к разработке всех необходимых мероприятий по маркетинговому обеспечению продажи цифрового фотоаппарата. Целевым рынка сбыта, для которого составляется маркетинговый план, является город Уфа. Цифровой фотоаппарат марки Canon Digital IXUS 700 (далее именуемый Canon) уже продается на целевом рынке, однако требуется увеличить его продажи. В курсовой работе будут разрабатываться следующие позиции маркетингового плана: углубленное маркетинговое исследование определенных аспектов целевого рынка, товарная политика и политика продвижения. Глава 1 Сбор, изложение и анализ вторичной маркетинговой информации В настоящее время потребность в цифровых фотоаппаратах ассоциируется скорее не с имиджем, а с прямым их назначением. Появляются все новые функции, и цифровые любительские фотокамеры становятся все более профессиональными. И все-таки главная потребность, «скрытая нужда» по Ф. Котлеру остается неизменной: перелистывая альбомы или щелкая мышкой по снимкам, хочется радоваться и грустить, вспоминая те или иные моменты из жизни, которые не должны быть бесследно утеряны, забыты. Здесь формулируется определение товара на уровне «товар по замыслу». Безусловно, основное назначение фотоаппарата состоит в получении отображения окружающих предметов, людей, явлений на материальном носителе. В дальнейшем данное отображение может редактироваться, в этом и заключается одно из преимуществ цифровых фотоаппаратов перед обычными «мыльницами». Также можно выделить следующие технические и потребительские свойства фотокамеры Canon: - Функциональность - трехкратный оптический зум; - быстрая автофокусировка; - 7.1 МП; - ресурс батареи около 160 снимков; - функция съёмки видеоклипов в формате VGA; - высокоскоростной интерфейс USB 2.0 High Speed; - встроенная в камеру функция редактирования цвета «My Colour»; - программный режим (портрет, листва, снег, пляж, фейерверк, съемка в помещении, под водой, съемка детей и ночная съемка); - наличие кнопки «Print/Share» для прямой печати на принтерах, совместимых со стандартом PictBridge; - Наглядность и оперативность - двухдюймовый ЖК-дисплей; - возможность корректировки съемки и удаления бракованных снимков; - Экономичность - низкая удельная стоимость снимков; - возможность удаления бракованных снимков; - Безопасность - прочный стальной корпус; - водонепроницаемый на глубине до 40 м футляр WP-DC70, грузы WW-DC1 для водонепроницаемого футляра; - Эстетичность - компактность (вес 170 г, габариты 89,5 х 57,0 х 26,5 мм, см. рис. 1); - дизайн (корпус с блестящей отделкой, скруглённые контуры камеры); - мягкий кожаный футляр, металлический шейный ремешок; - Удобство хранения снимков - на компакт-дисках, специализированных веб-сайтах.
Рисунок 1. Canon Digital IXUS 700. Цена колеблется от 11987 до 14560 в разных торговых точках города Уфы. Таким образом, фотоаппарат Canon представляет ценность для потребителя, т.к. интегрирует в себе физические, технические, эстетические, экономические и другие свойства и характериститки окружения товара, например марку. Кроме этого для людей, стремящихся к фотографированию, имеется еще один притягательный аспект, а точнее перечень решаемых данным товаром проблем (см. таблица 1). Таблица 1 Проблемы, решаемые фотоаппаратом Canon
Тип покупательского поведения определяется модой последних лет на цифровые фотокамеры, которая в свою очередь выделяет трех китов, держащих данный рынок в непрерывном оживлении: ультракомпактность, суперзум, стабилизация изображения. Эти характеристики товара и являются определяющими при принятии решения о покупке. Функциональный анализ товара, т.е. перечень его свойств, удовлетворяющих предъявляемые потребности, представлен в виде «дерева» свойств (рис. 2).
функциональность эстетичность -трехкратный -компактность оптический зум -дизайн -быстрая экономичность безопасность автофокусировка -низкая удельная -прочный -7.1 МП стоимость снимков стальной -ресурс батареи -возможность корпус около 160 снимков удаления -водонепроницаемый -функция съёмки бракованных футляр видеоклипов в снимков формате VGA -высокоскоростной интерфейс USB 2.0 High Speed -встроенная в камеру функция редактирования цвета «My Colour» -наличие кнопки «Print/Share» для прямой печати на принтерах Рисунок 2. «Дерево» потребительских свойств Конкурирующие марки аналогичных товаров и их технико-экономические и потребительские характеристики, а также каналы сбыта приведены в таблице 2. Таблица 2 Конкурирующие марки
Цифровой фотоаппарат Canon несмотря на сочетание многофункциональности и относительной доступности обладает некоторыми недостатками по мнению потребителей [1]: быстро садится аккумулятор, в комплекте нет сумки для ношения, агрессивное шумоподавление, плохой звук на видео, ручные настройки не сохраняют настройку на бесконечность (ландшафт), вспышка не регулируется, отсутствует возможность сохранить снимки в RAW-формате. В связи с этим возникает потребность в разработке нового товара. Причинами несоответствия функциональных свойств некоторым существующим потребностям являются как технологические ограничения, так и недостаточная комплектация товара, необходимая для его полноценного использования. В новом товаре можно было бы установить обновленную версию программного обеспечения (просмотр гистограммы), предусмотреть возможность сохранения снимков в RAW-формате, в целом же видно, что разработчики стремились обеспечить получение картинки, в минимальной степени требующей дальнейшей обработки какими бы то ни было редакторами изображения, и в максимальной степени готовой к непосредственной печати.Проведя экстраполяцию сбыта отдельных торговых точек, были определены существующие объемы спроса и цены на фотоаппарат Canon, а также на его конкурентов за год. Данные приведены в таблице 3.Таблица 3 Существующие объемы спроса на цифровые фотоаппараты за год
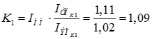
Торговые точки:1. Форте №3 Уфа, 50 лет СССР, 47, (3472)60-00-00, 48-99-99, 48-66-662. Фермо Уфа, ул.Айская, 75, (3472) 28-17-70, (3472) 28-04-103. Кламас Уфа, ул.Харьковская 120/1, 912-112Рассчитаем дисперсию объема спроса на фотоаппараты Canon и аналогичные ему за год для одной торговой точки по формуле:
|
|||||||||||||||||||||||||||||||||||||||||||||||||||||||||||||||||||||||||||||||||||||||||||||||||||||||||||||||||||||||||||||||||||||||||||||||||||||||||||||||||||||||||||||||||||||||||||||||||||||||||||||||||||||||||||||||||||||||||||||||||||||||||||||||||||||||||||||||||||||||||||||||||||||||||||||||||||||||||||||||||||||||||||||||||||||||||||||||||||||||||||||||||||||||||||||||||||||||||||||||||||||||||||||||||||||||||||||||||||||||||||||||||||||||||||||||||||||||||||||||||||||||||||||||||||||||||||||||||||||||||||||||||||||||||||||||||||||||||||||||||||||||||||||||||||||||||||||||||||||||||||||||||||||||||||||||||||||||||||||||||||||||||||||||||||||||||||||||||||||||||||||||||||||||||||||||||||||||||||||||||||||||||||||||||||||||||||||||||||||||||||||||||||||||||||||||||||||||||||||||||||||||||||||||||||||||||||||||||||||||||||||||||||||||||||||||||||||||||||||||||||||||||||||||||||||||||||||||||||||||||||||||||||||||||||||||||||||||||||||||||||||||||||||||||||||||||||||||||||||||
| а |
б |
в |
г |
д |
е |
ж |
з |
|
| 1 |
34% |
8% |
29% |
26% |
3% |
0% |
- |
- |
| 2 |
22% |
13% |
19% |
6% |
20% |
2% |
13% |
5% |
| 3 |
20% |
26% |
11% |
9% |
14% |
20% |
- |
- |
| 4[1] |
43% |
4% |
8% |
0% |
8% |
37% |
- |
- |
| 5 |
34% |
66% |
- |
- |
- |
- |
- |
- |
| 6 |
66% |
11% |
9% |
14% |
- |
- |
- |
- |
| 7 |
63% |
37% |
- |
- |
- |
- |
- |
- |
| 8 |
9% |
23% |
17% |
6% |
45% |
- |
- |
- |
| 9 |
40% |
23% |
3% |
14% |
6% |
14% |
- |
- |
| 10 |
17% |
43% |
9% |
31% |
- |
- |
- |
- |
| 11 |
15% |
0% |
54% |
20% |
11% |
- |
- |
- |
| 12 |
71% |
6% |
23% |
- |
- |
- |
- |
- |
| 13 |
9% |
57% |
23% |
11% |
0% |
0% |
- |
- |
| 14 |
0% |
0% |
11% |
20% |
31% |
20% |
18% |
- |
| 15 |
49% |
34% |
17% |
- |
- |
- |
- |
- |
| 16 |
31% |
69% |
- |
- |
- |
- |
- |
- |
| 17 |
74% |
9% |
17% |
- |
- |
- |
- |
- |
| 18 |
40% |
14% |
26% |
20% |
- |
- |
- |
- |
| 19 |
20% |
20% |
54% |
6% |
- |
- |
- |
- |
| 20 |
51% |
43% |
6% |
- |
- |
- |
- |
- |
| 21 |
40% |
37% |
23% |
- |
- |
- |
- |
- |
| 22 |
31% |
37% |
32% |
- |
- |
- |
- |
- |
| 23 |
23% |
65% |
9% |
3% |
- |
- |
- |
- |
| 24 |
57% |
6% |
37% |
- |
- |
- |
- |
- |
| 25 |
9% |
20% |
29% |
31% |
0% |
8% |
3% |
0% |
| 26 |
51% |
49% |
- |
- |
- |
- |
- |
- |
| 27 |
43% |
57% |
- |
- |
- |
- |
- |
- |
| 28 |
37% |
3% |
14% |
31% |
0% |
11% |
- |
- |
| 29 |
46% |
0% |
0% |
34% |
17% |
0% |
0% |
3% |
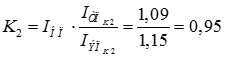
Рассчитываем ошибку выборки для вопроса анкеты под номером 14 по формуле:
, где
t=1,96 при надежности 95%
n=35
— дисперсия
p=69% (оценили товарную марку Canon выше среднего)
q=1- p=31%
e=0,15
Ошибка выборки равна 0,15.
С вероятностью 95% от 54 до 84% опрошенных оценивают товарную марку Canon выше среднего.
Из тридцати пяти опрошенных человек 42% уже имеют цифровой фотоаппарат, однако 19% из них планируют приобрести новый. Из числа не имеющих товар респондентов 29% готовы его купить в ближайшем году. Были опрошены люди в возрасте до 25 лет — 29%, от 25 до 35 лет — 60 %, старше 35 лет — 11%, из них 37% составляют служащие, 31% учащихся, 14% рабочих, безработных 11%. Уровень дохода у 46% меньше 5 тыс. руб., у 34% — 15-20 тыс. руб. Имеют семью 37% опрошенных.
На выбор 90% респондентов, которые готовы приобрести фотоаппарат, могут повлиять друзья, 70% из них ведут активный образ жизни и все считают себя подверженными влиянию модных тенденций. Решающим фактором при покупке товара для 43% окажется цена и для 17% имидж производителя. Для целевого сегмента любители, которые имеют данный товар, главными характеристиками остаются качество снимков, цена и компактность 66%, 69% вообще не планируют размещать снимки в интернете либо на выставках, что подтверждает немногочисленность сегмента профессионалы или опытные пользователи. 40% респондентов узнают о новинках в мире цифровой техники из интернета, 26% от знакомых и лишь 17% из рекламы.
Главными конкурентами фотоаппарата Canon являются товарные марки Olympus и Casio, т.к. 39% отдали им предпочтение, 26% считают этими марками Sony и Nikon (диаграмма 1).
Диаграмма 1

Из числа опрошенных 40% желают получить подробную информацию о фотоаппарате у продавцов-консультантов, 23% от друзей, 14% из отзывов в интернете (диаграмма 2).
Диаграмма 2

Таким образом, выдвинутая в первой главе гипотеза о целевых сегментах оправдалась. Сегментирование проведем методом последовательного разбиения изученной группировки по выявленным характеристикам (рис. 2).
| Потребители |

| Пассивный |
|
|
1. Образ
жизни
| Имиджевая |
| Утилитарная |
2. Принадлежность

![]()

к субкультуре
| Семья |
| Коллеги по работе |
| Знакомые |
| Друзья |
3. Принадлежность
к референтной





группе
| Флюгер |
| Борец |
| Сибарит |
4. Тип
личности
| Домашний воспитанник |
| Тридцатилетний |
| Тихая душа |
Рисунок 2. Сегментирование совокупности потребителей
Доля сегмента флюгеры составляет 13 % потребителей, сибаритов — 17%.
Рассмотрим вопрос под номером 1 нашей анкеты:
p=0,63 (готовы приобрести цифровой фотоаппарат в ближайшем году)
q=0,37
n=35
t=1,96
— ошибка выборки
0,63-0,16=0,47
0,63+0,16=0,79
От 47 до 79% респондентов готовы приобрести цифровой фотоаппарат в ближайшем году.
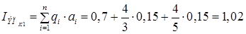
Величину реального спроса на товар можно рассчитать несколькими способами. Согласно первому способу, необходимо умножить потенциальный спрос на долю сегмента и на долю потребителей, готовых совершить покупку: 10940*0,3*0,63=2068 шт. Диапозон спроса равен: 10820*0,3*0,63=2045, 11060*0,3*0,63=2091. Однако следует также учесть влияние таких факторов, как цена, уровень качества, уровень среднемесячного дохода потребителей, влияние субъективных вкусов и предпочтений и др. Формула, отражающая влияние перечисленных факторов, следующая:
, где
V — общее количество потенциальных покупателей на целевом сегменте
V=1049300*0,63=661059
ki — коэффициенты, корректирующие потенциальный спрос (вопросы анкеты под номерами 2, 3, 4, 7, 10, 18, 19, 29, которые выявляют функциональные характеристики потребителей).
Таблица 5
| k1 |
k2 |
k3 |
k4 |
k5 |
k6 |
k7 |
k8 |
| 0,34 |
0,43 |
0,54 |
0,26 |
0,37 |
0,14 |
0,2 |
0,63 |
![]()
=661059*0,000133972=89 шт. — величина реального спроса
Нижняя грань спроса: 1049300*0,47*0,000133972=66 шт.
Верхняя грань спроса: 1049300*0,79*0,000133972=111 шт.
Позиционирование конкурентов на исследуемом рынке проводим с помощью метода взвешенных оценок. Необходимо найти интегральные показатели качества фотоаппарата Canon и конкурирующих товарных марок. Технические параметры, по которым будет оцениваться конкурентоспособность товаров, и коэффициенты значимости приведены в таблице 6.
Таблица 6
Технические характеристики
| Параметры |
|
Canon |
Sony Cyber-shot DSC-P200 |
Casio Exilim EX-Z55 |
Nikon COOLPIX 7900 |
SONY Cyber-shot DSC-W17 |
Olympus С-7070 |
Pentax Optio 750Z |
| 1. Габариты |
0,3 |
89,5х57х 26,5 |
104х 51,5х 27,9 |
87х 57х 23 |
88x 65x 36,5 |
91х 60х 37 |
116х87х 65,5 |
100х 61,5х42 |
| 2. Число эффектив- ных пикселей, МП |
0,15 |
7.1 |
7.1 |
5 |
7.1 |
7.1 |
7.1 |
7.4 |
| 3. Ресурс батареи, сн |
0,25 |
160 |
370 |
400 |
100 |
380 |
150 |
245 |
| 4. Наложение звука, с |
0,05 |
60 |
— |
60 |
— |
— |
— |
— |
| 5. Качество ЖК-дисплея, тыс. П |
0,05 |
118 |
134,4 |
115 |
85 |
115 |
130 |
134 |
| 6. Вес, г |
0,2 |
170 |
180 |
180 |
150 |
197 |
480 |
255 |
Оценка технических параметров по пятибалльной шкале приведена в таблице 7.
Таблица 7
Оценка параметров
| Параметры |
|
Canon |
Sony Cyber-shot DSC-P200 |
Casio Exilim EX-Z55 |
Nikon COOLPIX 7900 |
SONY Cyber-shot DSC-W17 |
Olympus С-7070 |
Pentax Optio 750Z |
| 1. Габариты |
0,3 |
4 |
3 |
5 |
2 |
2 |
1 |
2 |
| 2. Число эффективных пикселей, МП |
0,15 |
4 |
4 |
2 |
4 |
4 |
4 |
5 |
| 3. Ресурс батареи, сн |
0,25 |
4 |
5 |
5 |
2 |
5 |
3 |
4 |
| 4. Наложение звука, с |
0,05 |
4 |
3 |
4 |
3 |
3 |
3 |
3 |
| 5. Качество ЖК-дисплея, П |
0,05 |
4 |
5 |
4 |
3 |
4 |
5 |
5 |
| 6. Вес, г |
0,2 |
5 |
4 |
4 |
5 |
4 |
2 |
3 |
Рассчитываем интегральные показатели качества для фотоаппарата:
- Canon
![]()
- Sony Cyber-shot DSC-P200
![]()
- Casio Exilim EX-Z55
![]()
- Nikon COOLPIX 7900
![]()
- SONY Cyber-shot DSC-W17
- Olympus С-7070
![]()
- Pentax Optio 750Z
![]()
Схема позиционирования конкурирующих товарных марок на рынке города Уфы приведена на диаграмме 3.
Диаграмма 3

На диаграмме доля рынка фотоаппарата Olympus превышает долю рынка Canon, несмотря на то, что цена у него выше, а показатель качества ниже, чем у Canon. Вероятно, это объясняется наличием дополнительного формата сохранения снимков RAW, который пользуется сейчас популярностью. Наибольшую долю рынка занимает марка Casio, которая обладает самым высоким показателем качества и у которой цена реализации низка. На втором месте марка Nikon, показатель качества которой невысок, но низкая цена реализации.
Интересно то, что у марок Nikon и Casio, имеющих одинаково низкие цены по сравнению с остальными марками, но разные показатели качества, практически совпадают объемы сбыта. Возможно, потребители доверяют товарной марке Nikon (см. диаграмму 1).
Потребительское предпочтение товарной марки Casio определяется некоторыми ее техническими характеристиками, к примеру ресурса батареи хватает на 400 снимков, в то время как Canon только на 160. В целом же исследуемый целевой сегмент стремится к максимальному качеству по минимальной цене. Также предпочтение отдается маленькому размеру товара, обладающего большим количеством функций.
Глава 3 Разработка маркетингового плана для целевого рынка
3.1 Разработка товарного предложения
Из всех потребительских свойств и характеристик цифрового фотоаппарата Canon наиболее значимыми являются компактность и цена. Построим карту позиционирования на основе этих свойств. Значения компактности примем равными произведению габаритов фотоаппарата. Итак, на диаграмме 4 показано сравнение товаров-конкурентов и нашего товара по значениям выбранных потребительских свойств.
Диаграмма 4

Чем ближе товар находится к началу координат, тем он предпочтительнее для целевого сегмента любители. Как видно из диаграммы, таким товаром является фотоаппарат Casio Exilim EX-Z55, наш товар находится на втором месте. Можно также предположить, что на рынке товаров, аналогичных нашему, существует высокая конкуренция, т.к. позиции товаров на карте находятся в одной области предпочтений потребителей исследуемого целевого сегмента. Одним из вариантов выделения нашего товара на фоне остальных является снижение цены при одновременном снижении издердек. Несмотря на то, что этот путь труден и малоприбылен, это все-таки действенный способ выживания в данном целевом сегменте. Возможен и другой путь — оснащение привычного товара непривычными функциями, такими как будильник, календарь, калькулятор и др.
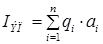
Для определения конкурентоспособности товара необходимо найти интегральный показатель конкурентоспособности по формуле:
,
где
— групповой показатель по нормативным параметрам:
= 1,
т.к. все товары соответствуют нормам;
— групповой показатель по техническим параметрам:
![]()
— групповой показатель по экономическим параметрам:
![]()
при K > 1 товар конкурентоспособен,
при K < 1 товар не конкурентоспособен.
В таблице 8 представлены технические характеристики, по которым будет оцениваться конкурентоспособность товара, и расставлены коэффициенты важности.
Таблица 8
Технические характеристики
| Параметры |
|
Canon |
Sony Cyber-shot DSC-P200 |
Casio Exilim EX-Z55 |
| 1. Габариты |
0,3 |
89,5х57х26,5 |
104х51,5х27,9 |
87х57х23 |
| 2. Число эффективных пикселей, МП |
0,15 |
7.1 |
7.1 |
5 |
| 3. Ресурс батареи, сн |
0,25 |
160 |
370 |
400 |
| 4. Наложение звука, с |
0,05 |
60 |
— |
60 |
| 5. Качество ЖК-дисплея, П |
0,05 |
118000 |
134400 |
115000 |
| 6. Вес, г |
0,2 |
170 |
180 |
180 |
В таблице 9 произведено шкалирование технических параметров по пятибалльной шкале.
Таблица 9
Оценка параметров
| Параметры |
|
Canon |
Sony Cyber-shot DSC-P200 |
Casio Exilim EX-Z55 |
| 1. Габариты |
0,3 |
4 |
3 |
5 |
| 2. Число эффективных пикселей, МП |
0,15 |
4 |
4 |
2 |
| 3. Ресурс батареи, сн |
0,25 |
4 |
5 |
5 |
| 4. Наложение звука, с |
0,05 |
4 |
3 |
4 |
| 5. Качество ЖК-дисплея, П |
0,05 |
4 |
5 |
4 |
| 6. Вес, г |
0,2 |
5 |
4 |
4 |
В таблице 10 представлены экономические параметры и веса.
Таблица 10
Экономические характеристики
| Экономический показатель |
|
Canon |
Sony Cyber-shot DSC-P200 |
Casio Exilim EX-Z55 |
| 1. Цена товара, руб |
0,7 |
12987 |
12036 |
10446 |
| 2. Цена использования товара, руб |
0,15 |
1000 |
960 |
1100 |
| 3. Цена на дополнительные расходы, руб |
0,15 |
2900 |
3500 |
2300 |
В таблице 11 проведена оценка экономических показателей по пятибалльной шкале.
Таблица 11
Оценка параметров
| Экономический показатель |
|
Canon |
Sony Cyber-shot DSC-P200 |
Casio Exilim EX-Z55 |
| 1. Цена товара, руб |
0,7 |
5 |
5 |
4 |
| 2. Цена использования товара, руб |
0,15 |
4 |
3 |
5 |
| 3. Цена на дополнительные расходы, руб |
0,15 |
4 |
5 |
4 |
![]()


Таким образом наш товар конкурентоспособен по отношению к первому конкуренту (Sony Cyber-shot DSC-P200) и неконкурентоспособен по отношению ко второму (Casio Exilim EX-Z55).
Для нахождения этапа жизненного цикла, на котором в данный момент находится наш товар, необходимо определить предыдущую модель цифрового фотоаппарата марки Canon. Ею является модель Canon Digital IXUS 500, которая была выпущена в мае 2004 г. Время выпуска нашего товара — март 2005 г. Замечено, что производители, выпускающие последовательный модельный ряд какого-нибудь товара, производят вывод на рынок новых моделей товара, когда прежние модели достигают этапа зрелости. Этапы же внедрения и роста составляют 40% от жизненного цикла товара. Таким образом можно посчитать, на какой стадии сейчас находится фотоаппарат Canon Digital IXUS 700: на стадии окончания роста и перехода к зрелости.
Упаковка и маркировка являются важными маркетинговыми атрибутами. Упаковка не только создает имидж товара, но и позволяет решить ряд задач, а именно: привлекает внимание потребителей яркостью (в нашем случае используется визуальный контраст — сочетание трех цветов: на черном фоне написан девиз компактных фотокамер ONLY IXY белыми буквами см. рис. 3), демонстрирует социальную ответственность производителя, т.к. разработана с учетом действующих стандартов, требований безопасности и охраны окружающей среды (бумажная коробка), предоставляет потребителям необходимую информацию о товаре (основные технические характеристики фотоаппарата, подробное описание содержится в инструкции по применению), обеспечивает удобство транспортировки и хранения. В дополнении к стандартной бумажной коробке в комплект к цифровому фотоаппарату Canon входит кожаный чехол, защищающий от стирания краски с выступающих частей аппарата.

Рисунок 3
Упаковка цифрового фотоаппарата Canon
Маркировка фотоаппаратов Canon состоит из букв и цифр, чем больше цифра, тем аппарат «выше». Интересно то, что маркировка камер Canon не всегда однозначна в смысле истолкования и может отличаться в зависимости от региона продаж. Камеры разного уровня могут иметь очень близкие названия, отличающиеся только номером, к примеру, серия S камер PowerShot включает как профессиональные камеры типа S70, так и любительские типа IXUS или ELPH.
Итак, в модели Canon Digital IXUS 700 слово Digital переводится с английского как цифровой, IXUS обозначает компактный любительский стандарт фотоаппарата, а 700 — пиксельность.
Товарная марка состоит из марочного имени, марочного знака (красный цвет и особый шрифт) и торговой марки (см. рис. 4).

Рисунок 4
Товарная марка
Марочное имя Canon несет в себе такие значения как «священное писание» и «критерий или стандарт». Данная смысловая нагрузка определяет стремление компании установить международный стандарт для продвинутых технологий и сервиса среди офисной техники и фото/видеоаппаратуры. Эмблема Canon, придуманная и зарегистрированная в 1935, подвергалась нескольким изменениям с тех пор, поскольку компания росла (см. табл. 12). Первая буква имени «С» с изогнутым во внутрь концом была уникальна, т.к. в то время подобный стиль шрифта не существовал в Европе или Северной Америке.
Таблица 12
Версии эмблемы
| 1934 г. |
|
| 1935 г. |
|
| 1953 г. |
|
| 1956 г. |
|
Усовершенствованная в 1955 г. эмблема остается неизменной на протяжении половины столетия.
В предверрии новогодних праздников целесообразно разработать комплекс мероприятий сервиса и торговой поддержки в отношении предпродажного обслуживания. К примеру, можно открыть пункты бесплатной консультации по выбору цифровых фотоаппаратов, поместить страничку в интернете в виде «задай мучающий тебя вопрос специалисту». Возможно проведение мероприятий послепродажного обслуживания, таких как гарантийный ремонт, курсы для начинающих фотографов со скидкой за плату обучения при покупке цифрового фотоаппарата Canon.
3.2 Разработка мероприятий укрепления рыночной позиции товара
Основная идея освоения целевого рынка заключается в поддержании объемов продаж на постоянном уровне (продлении этапа зрелости жизненного цикла товара) и при возможности в их увелечении.
Компания Canon имеет свою особую миссию или корпоративную философию, называемую «kyosei». Приблизительное определение этого слова «Жить и работать вместе во имя блага общества». Однако компания Canon вкладывает в слово kyosei более широкий смысл. «Все люди, независимо от расы, религии и культуры, работают и живут во имя будущего. Однако существуют дисгармоничные сферы, такие как торговля, нацеленность на прибыль порой в ущерб окружающей среде, которые мешают достижению kyosei. Истинно международные компании должны устанавливать хорошие отношения не только друг с другом и с сообществами, в которых они работают, но и между нациями, а также с окружающей средой. Они также должны нести ответственность за влияние своей деятельности на общество. Поэтому цель компании Сanon — способствовать процветанию мира и счастью человечества, которые приведут к продолжающемуся росту и сделают мир ближе к kyosei.
Основанный на корпоративной философии kyosei «Глобальный стратегический план компании» состоит из двух этапов. На первом этапе, который начался в 1996, компания Сanon была ориентирована на прибыль и оптимизацию работы сотрудников. Во второй стадии плана, которая началась в 2001, была поставлена цель — стать брендом номер один в сегментах офисной техники и фото/видео аппаратуры и усилить научно-исследовательские разработки.
И действительно, положение компании характеризуется только сильными сторонами: современные технологии, наличие инновационных способностей, квалифицированные кадры, значительные финансовые ресурсы. В отношении исследуемого товара возможен выход на новый целевой сегмент (ориентация на молодежь путем соответствующей рекламной политики), либо усовершенствование модели, оснащение ее непривычными, но полезными функциями (будильник, калькулятор и т.д.), вероятно сочетание данных решений. Компании необходимо задуматься о производстве мобильных телефонов с цифровой фотокамерой, т.к. со временем скорее всего они начнут вытеснять с рынка компактные цифровые фотоаппараты: для повседневных снимков будут использовать телефоны, а для поездок и профессиональной съемки зеркальные фотоаппараты. Может нужно объединиться с уже зарекомендовавшим себя производителем сотовых телефонов, таким как Nokia или Samsung. Качество снимков Canon и многофункциональность Nokia могут заинтересовать потребителей и помочь обеим фирмам в конкурентной борьбе.
В отношении исследуемого товара можно сказать, что в соответствии с классической матрицей БКГ цифровой фотоаппарат Сanon находится в данный момент в категории «дойной коровы»: установившиеся объемы продаж, низкий темп роста, относительно высокая доля рынка.
Техника развивается бурными темпами, выживет тот, кто быстрее реагирует на изменения предпочтений потребителей, даже предсказывает, прогнозирует их.
Еще одним способом обретения конкурентного преимущества является снижение цен при одновременном снижении издержек.
Цена розничной торговли на цифровой фотоаппарат Сanon складывается из его себестоимости, оптовой надбавки, торговой надбавки, прибыли. Положим, оптовая надбавка равна 25 %, торговая — 15%. Цена производителя 7780 руб. В Уфе цена товара колеблется от 11987 до 14560. Без торговой надбавки этот диапозон составляет 10423 – 12661 руб., без оптовой — 8338-10129. Таким образом, прибыль составляет от 558 до 2349. Границы диапазона цен: 11987-14560. Однако, учитывая стратегию маркетинга, направленную на сохранение и при возможности увеличение объемов продаж необходимы декларируемые скидки для стимуляции сбыта. Они будут описаны и отражены в конечном расчете цены.
Структуру каналов распределения товара можно представить в виде схемы 1.
| Производитель |
|
|
| Оптовые торговцы |
| Розничные торговцы |
|
потребитель |
Схема 1
Структура каналов товародвижения
Производителем является компания Canon Inc., образованная 10 августа 1937 г., штаб-квартира находится в Японии по адресу: 30-2, Шимомаруко 3-ком, Ота-ку, Токио 146-8501 (см. рис. 5)

Рисунок 5
Штаб-квартира компании Canon
Сбытовые агенты, работающие на компанию, находят для нее клиентов, демонстрируют и дают опробовать товар, договариваются о сделке, организуют доставку товара в регионы продаж (Америка, Европа, Азия, Океания, Япония). Одной из компаний, занимающихся оптовой торговлей цифровых фотоаппаратов, является фирма KNS digital solutions, основанная в 1997 г., которая находится в г. Москве по адресу Лубянский проезд, 21/2, (495) 926-20-20. Розничная продажа осуществляется в торговых точках города Уфы, некоторые из них:
- Магазин-салон «Фотограф», Уфа, ул.Первомайская д.28, 74-98-29
- Магазин электроники «Цифра», Уфа, ул. Кирова 34, 766-999
- Фотоника, Уфа, ул. Иркутская, 48а, 37-15-60
- Форте, Уфа, пр.Октября, 56, 37-00-00, 37-96-06
- Форте: магазин №1, Уфа, Первомайская, 2, , 605-605, 605-604
- Форте: магазин №2, Уфа, Революционная, 30/32, , 50-70-88
- Форте: магазин №3, Уфа, 50 лет СССР, 47, 48-99-99, 48-66-66
- Форте: магазин №4, Уфа, Ст. Кувыкина, 18, 55-65-65, 55-80-80, 55-90-90
- Фермо, Уфа, ул.Айская, 75, 28-17-70
- КламаС Центр, Уфа, ул.Харьковская 120/1, 912-112
3.3 Разработка плана продвижения товара
Для привлечения внимания потребителей и создания информационной поддержки избирательного спроса на товар необходима разработка эффективной рекламной политики на целевом сегменте.
Исходя из характеристик целевого сегмента (любят пожить в свое удовольствие, в поведении руководствуются чувствами, эмоциями, подвержены влиянию модных тенденций, а также в решениях ориетируются на референтную группу), можно предположить, что сегмент является достаточно восприимчивым к различным каналам маркетинговых коммуникаций, а именно к рекламе, стимулированию сбыта, организации связей с общественностью. Реклама цифрового фотоаппарата Canon должна быть направлена на возникновение убежденности у потребителя в рациональности выбора именно данной товарной марки. Акцент необходимо сделать на компактности товара и в то же время подчеркнуть его функциональные преимущества. Таким образом, в качестве рекламных средств могут быть использованы графические (рекламные щиты, наклейки, статьи в журналах, рекламные листки), визуально-зрелищные (рекламные ролики, демонстрации мод). На рисунке 6 показан рекламный щит, на котором демонстрируется прием визуального контраста (на белом фоне красным шрифтом выделены слоган фирмы и модель фотоаппарата) и используются психологически значимые образы (сравнение размера товара с зажигалкой, которая является аттрактором).
Функциональные преимущества товара можно будет подчеркнуть несколькими статьями в газетах и журналах. Спонсируя форумы моды, проводимые в Уфе ежегодно, и предоставляя качественные снимки в глянцевые журналы, возможно привлечение внимания к цифровым фотоаппаратам марки Canon одного из самых прибыльных сегментов рынка — молодых девушек в возрасте 14-25 лет, имеющих отношение к культурной жизни города. Однако данная перспектива возможна при наличии официального представительства компании Canon Inc. в г. Уфе.
В рамках же выдвинутой стратегии маркетингового плана — продлить жизненный цикл товара и при возможности увеличить объем продаж — бюджет рекламы не следует минимизировать, он должен быть оптимальным.

Рисунок 6
Рекламный щит
Компания Canon Inc. является партнером Всемирного фонда дикой природы (WWF), который является первой в мире организацией мирового масштаба по охране окружающей среды, цель которого — сохранение природных богатств. Основная цель осуществляемой спонсорской поддержки — создание электронной версии Фотобиблиотеки Всемирного фонда дикой природы для оказания стратегической помощи коммуникациям Фонда. Компания Canon содействует Всемирному фонду в области оцифровывания распространяемых WWF изображений для быстрого и одновременного получения изображений по сети интернет. Таким образом, компания осуществляет связи с общественностью, направленные в выгодную для себя сторону.
Для стимулирования сбыта можно провести некоторые мероприятия, описанные далее. В первом квартале планируемого года в связи с праздниками предоставить скидку покупателям фотоаппарата в размере 5% от его стоимости, а также подарок — фотоальбом (рис. 7).

Рисунок 7
Средство стимулирования сбыта — предложение в натуральной форме
Компания Canon ежегодно проводит конкурс цифрового творчества «Canon Digital Creators Contest», целью которого является поиск и поддержка талантливых профессионалов и любителей, использующих в своей работе современные цифровые технологии. Соревнования проводятся по четырем номинациям: «Цифровое фото», «Цифровая графика/иллюстрация», «Цифровое кино» и «Web-дизайн». В г. Уфе можно организовать что-то подобное, к примеру, ассоциацию фотографов-любителей, выбирающих современные цифровые технологии и удобство в эксплуатации.
Итак, план мероприятий и затраты на его осуществление представлены в таблице 13.
Таблица 13
Мероприятия кампании продвижения товара
| Квартал |
Мероприятие |
Затраты на осуществление, руб. |
| 1 |
5% скидка наклейки в магазинах фотоальбом в подарок Итого: |
11987*0,05*97=58137 30*20=600 100*97=9700 68437 |
| 2 |
рекламные щиты статьи в журналах рекламный ролик по местному телевидению Итого: |
1500*10=15000 5000 300000 320000 |
| 3 |
рекламные листки Итого: |
30000 30000 |
| 4 |
5% скидка наклейки в магазинах рекламный ролик по местному телевидению Итого: |
58137 600 300000 358737 |
Прогнозный и безубыточный объемы продаж приведены в таблице 14 и на диаграмме 7.
Таблица 14
План продаж
| Квартал |
Прогноз продаж |
Безубыточные продажи |
| 1 |
97 |
68437/11987=6 |
| 2 |
101 |
320000/11987=27 |
| 3 |
80 |
30000/10976=3 |
| 4 |
91 |
358737/9967=36 |
Диаграмма 7

В первом и третьем кварталах затраты на рекламу невысоки, однако в первом квартале в связи с праздниками и соответствующей рекламной кампанией объем сбыта больше, чем в третьем квартале — «мертвый сезон» в продажах. К осени на целевом рынке наблюдается оживление, и объем продаж в четвертом квартале возрастает, обусловленный также рекламной кампанией (ролик, временная скидка).
Заключение
В процессе выполнения курсовой работы были проделаны мероприятия по маркетинговому обеспечению продажи цифрового фотоаппарата Canon Digital IXUS 700 на рынке города Уфы. Разработанный в результате маркетинговый план является эффективным для предприятия и реалистичным в выполнении, т.к. учитывает влияние потребительских предпочтений, сезонных колебаний, политики ценообразования, опирается на существующие объемы спроса. В то же время существуют внешние угрозы предприятия, такие как появление новых конкурентов (мелкие фирмы из Юго-Восточной Азии), снижение темпов роста (переход товара от стадии зрелости к стадии спада), изменение потребительской ситуации в сфере фотоиндустрии (замена компактных цифровых фотоаппаратов встроенными в мобильные телефоны цифровыми фотокамерами аналогичного качества съемки). Поэтому необходимо быстро и адекватно реагировать на изменения во внешней среде, предугадывать действия конкурентов, предсказывать потребности покупателей, словом, совершенствовать маркетинговую деятельность на предприятии.
Список использованной литературы и источников
Ссылки в интернете:
1. http://club.foto.ru/camera/model.php?mod_id=657
2. http://www.kroupski.ru/photo-canon-ixy700.htm
3. http://www.canon.com/
4. http://www.canon.ru/
5. http://www.terralab.ru/digiphoto/
Литература:
1. Зиннуров У. Г. Основы маркетинговых исследований: Учебное пособие / У. Г. Зиннуров; Уфимск. гос. авиац. техн. ун-т. Уфа, 1996.- 110 с.
2. Методические указания к выполнению курсовой работы по дисциплине «Основы маркетинга» / Уфимск. гос. авиац. техн. ун-т; Сост. У. Г. Зиннуров, М. А. Бронников. – Уфа, 2002. – 30 с.
3. Маслова Т. Д., Божук С. Г., Ковалик Л. Н. Маркетинг. — СПб.: Питер, 2003. — 400 с.
Приложение 1
Представление результатов опроса
| 1 |
2 |
3 |
4 |
5 |
6 |
7 |
8 |
9 |
10 |
11 |
12 |
13 |
14 |
15 |
16 |
17 |
18 |
19 |
20 |
21 |
22 |
23 |
24 |
25 |
26 |
27 |
28 |
29 |
|
| 1 |
а |
д |
а |
евабвг |
б |
а |
б |
д |
а |
г |
в |
а |
б |
е |
б |
б |
а |
в |
в |
б |
б |
б |
б |
в |
б |
а |
б |
е |
а |
| 2 |
г |
з |
в |
вбадег |
б |
а |
а |
в |
а |
г |
в |
а |
б |
е |
а |
б |
а |
а |
в |
б |
б |
б |
б |
а |
в |
б |
б |
а |
г |
| 3 |
б |
г |
д |
адегвб |
б |
б |
а |
д |
г |
г |
а |
а |
в |
г |
б |
б |
а |
г |
в |
а |
б |
б |
б |
а |
в |
б |
а |
г |
а |
| 4 |
а |
д |
а |
евагдб |
б |
б |
а |
д |
б |
г |
в |
а |
в |
д |
а |
б |
а |
б |
б |
а |
б |
б |
б |
а |
б |
б |
б |
е |
а |
| 5 |
г |
з |
а |
еавдгб |
б |
а |
б |
в |
а |
б |
д |
в |
а |
е |
б |
а |
а |
г |
в |
б |
а |
а |
а |
в |
г |
б |
а |
в |
д |
| 6 |
д |
ж |
д |
бвеадг |
б |
г |
б |
д |
г |
г |
а |
а |
б |
г |
а |
б |
в |
а |
в |
б |
б |
б |
в |
а |
ж |
а |
а |
б |
з |
| 7 |
а |
д |
а |
деабвг |
а |
а |
б |
д |
б |
г |
в |
в |
б |
д |
б |
б |
а |
г |
а |
а |
б |
в |
б |
а |
в |
а |
б |
а |
г |
| 8 |
в |
е |
б |
аегдбв |
б |
в |
а |
в |
б |
в |
в |
а |
в |
в |
в |
б |
в |
б |
г |
а |
б |
в |
в |
в |
г |
а |
а |
г |
а |
| 9 |
а |
д |
в |
едабвг |
а |
а |
б |
д |
а |
б |
д |
а |
б |
ж |
б |
а |
а |
в |
в |
б |
а |
б |
б |
а |
б |
б |
б |
е |
а |
| 10 |
б |
ж |
г |
аедвгб |
а |
а |
а |
д |
в |
г |
в |
а |
б |
е |
б |
б |
а |
а |
в |
а |
в |
в |
а |
б |
г |
б |
а |
г |
а |
| 11 |
г |
а |
е |
вбагед |
б |
б |
б |
д |
д |
в |
а |
в |
б |
д |
б |
б |
в |
в |
б |
б |
б |
в |
б |
в |
е |
а |
а |
а |
г |
| 12 |
а |
д |
в |
деабгв |
а |
а |
а |
б |
б |
г |
в |
а |
б |
ж |
а |
б |
а |
в |
в |
а |
в |
б |
в |
а |
е |
б |
б |
а |
г |
| 13 |
г |
а |
е |
еавбгд |
б |
г |
а |
б |
г |
б |
в |
в |
г |
ж |
в |
а |
а |
г |
а |
б |
а |
а |
б |
а |
в |
б |
б |
а |
г |
| 14 |
а |
д |
г |
евадбг |
а |
а |
а |
д |
д |
а |
г |
а |
б |
е |
б |
б |
а |
в |
в |
а |
в |
в |
б |
а |
а |
а |
б |
г |
а |
| 15 |
г |
ж |
а |
вабгед |
б |
а |
а |
а |
г |
б |
в |
а |
в |
ж |
б |
а |
а |
а |
г |
а |
а |
а |
б |
а |
г |
б |
а |
в |
д |
| 16 |
в |
в |
б |
адвбег |
б |
в |
а |
б |
е |
в |
г |
а |
а |
д |
б |
а |
а |
в |
а |
б |
а |
в |
а |
а |
г |
б |
а |
в |
д |
| 17 |
г |
ж |
д |
вбадег |
а |
г |
б |
в |
б |
г |
в |
а |
б |
ж |
б |
а |
а |
в |
в |
а |
в |
в |
а |
в |
г |
а |
а |
в |
д |
| 18 |
а |
д |
в |
абвдег |
б |
а |
а |
б |
е |
г |
а |
а |
г |
д |
а |
б |
а |
г |
б |
а |
в |
а |
а |
а |
г |
б |
а |
в |
д |
| 19 |
в |
в |
б |
аебгвд |
а |
а |
а |
а |
а |
б |
в |
а |
а |
г |
а |
а |
а |
а |
в |
а |
а |
а |
б |
а |
г |
б |
а |
в |
д |
| 20 |
б |
ж |
д |
адевбг |
б |
б |
а |
б |
а |
а |
д |
б |
б |
г |
б |
а |
а |
г |
б |
б |
а |
б |
б |
в |
е |
а |
а |
а |
г |
| 21 |
а |
в |
г |
адбвге |
а |
а |
а |
в |
е |
б |
г |
в |
г |
д |
в |
а |
б |
а |
в |
а |
а |
в |
а |
а |
г |
а |
а |
г |
а |
| 22 |
г |
а |
а |
еавбгд |
б |
а |
б |
а |
е |
г |
в |
а |
б |
г |
в |
б |
б |
в |
б |
а |
в |
в |
б |
а |
г |
б |
а |
г |
а |
| 23 |
в |
в |
д |
едабвг |
б |
а |
а |
д |
г |
а |
а |
а |
в |
д |
в |
б |
а |
в |
в |
а |
в |
б |
б |
а |
а |
а |
а |
г |
а |
| 24 |
а |
в |
е |
ебвагд |
а |
а |
б |
в |
е |
г |
в |
а |
б |
ж |
а |
б |
а |
а |
а |
б |
а |
а |
б |
в |
б |
б |
б |
е |
а |
| 25 |
в |
г |
б |
аегбвд |
б |
в |
а |
г |
а |
б |
в |
а |
б |
в |
а |
б |
в |
а |
в |
в |
б |
б |
б |
в |
в |
а |
б |
а |
г |
| 26 |
г |
б |
е |
едвбга |
б |
г |
б |
д |
б |
г |
в |
а |
б |
е |
в |
б |
а |
б |
в |
б |
а |
в |
б |
б |
а |
а |
б |
г |
а |
| 27 |
а |
в |
а |
авбгед |
б |
а |
б |
г |
а |
б |
г |
а |
б |
д |
а |
а |
а |
а |
а |
в |
б |
а |
б |
в |
б |
а |
б |
а |
г |
| 28 |
в |
а |
б |
авдегб |
б |
а |
а |
д |
а |
б |
в |
в |
б |
д |
а |
б |
а |
а |
в |
а |
а |
в |
г |
а |
в |
б |
б |
г |
а |
| 29 |
в |
а |
б |
аегбвд |
б |
а |
а |
д |
а |
а |
г |
в |
в |
в |
а |
б |
а |
б |
а |
б |
а |
б |
б |
в |
в |
а |
б |
а |
г |
| 30 |
а |
а |
е |
евабгд |
б |
а |
б |
д |
б |
г |
в |
а |
б |
г |
а |
б |
в |
г |
б |
а |
в |
а |
б |
в |
б |
б |
б |
а |
г |
| 31 |
в |
б |
б |
адвбг |
а |
а |
а |
б |
а |
а |
г |
а |
в |
е |
а |
б |
б |
а |
в |
б |
б |
а |
а |
а |
г |
б |
б |
г |
а |
| 32 |
в |
а |
б |
едабвг |
б |
а |
а |
д |
а |
б |
в |
б |
б |
г |
а |
а |
а |
а |
б |
а |
а |
б |
б |
в |
в |
а |
б |
а |
г |
| 33 |
г |
б |
е |
аедбвг |
а |
а |
а |
б |
а |
г |
д |
а |
г |
д |
а |
б |
в |
а |
в |
б |
б |
а |
а |
а |
в |
а |
б |
г |
а |
| 34 |
в |
в |
б |
адвбге |
б |
а |
а |
д |
а |
а |
г |
в |
б |
д |
а |
б |
а |
б |
а |
а |
а |
а |
б |
а |
в |
а |
б |
г |
а |
| 35 |
а |
а |
е |
евабгд |
а |
г |
б |
б |
б |
б |
в |
а |
в |
в |
а |
б |
а |
а |
в |
б |
б |
б |
б |
в |
б |
а |
б |
а |
г |
[1] Процент ответа, поставленного на первое место


шт.
