Контрольная работа: Динамика показателей объема продукции и производства. Методы анализа производительности труда
|
Название: Динамика показателей объема продукции и производства. Методы анализа производительности труда Раздел: Рефераты по экономике Тип: контрольная работа | |||||||||||||||||||||||||||||||||||||||||||||||||||||||||||||||||||||||||||||||||||||||||||||||||||||||||||||||||||||||||||||||||||||||||||||||||||||||||||||||||||||||||||||||||||||||||||||||||||||||||||||||||||||||||||||||||||||||||||||||||||||||||||||||||||||||||||||||||||||||||||||||||||||||||||||||||||||||||||||||||||||||||||||||||||||||||||||||||||||||||||||||||||||||||||||||||||||||||||||||||||||||||||||||||||||||||||||||||||||||||
Задание 1. Анализ влияния структурных сдвигов на динамику показателей объема продукции и объема производстваПорядок выполнения работы: Рассчитать индексы постоянного состава, переменного состава и структурных сдвигов (согласно варианту). Используя графические методы (столбиковые, полосовые, секторные диаграммы) изобразить структуру объема производства (продукции) в стоимостном выражении за сравниваемые периоды. Сделать выводы по работе. Таблица 1.1 - Данные об объеме выпуска и цене в базисном и отчетном периодах
1) Рассчитаем индекс цены переменного состава по формуле:
Индекс переменного состава характеризует: Изменение объема продукции в натуральном выражении, q . Изменение цены на продукцию, p (что делает продукцию более или менее выгодной при выполнении плана). Под влиянием изменения индивидуальных цен и структурных сдвигов в производстве данных изделий средняя цена уменьшилась на 2,95%. 2) Индекс себестоимости фиксированного состава:
Индекс постоянного (фиксированного) состава характеризует изменение объема товарооборота продукции за счет изменения цен.
т.е. под влиянием изменения индивидуальных цен средняя цена снизилась на 6,96%. Этот, казалось бы, противоречивый результат получился из-за структурных сдвигов. 3) Индекс структуры:
Это значит, что вследствие изменения структуры произведенной продукции цена увеличилась на 4,3%. 4) На рисунках 1.1 и 1.2 отражено изменение количества и цены выработанной продукции в базисном и отчетном периодах.
Рисунок 1.1 - Изменение количества выработанной продукции
Рисунок 1.2 - Изменение цены выработанной продукции Задание 2. Корреляционно-регрессионный анализ производительности трудаПорядок выполнения работы:
Рассчитать парные коэффициенты корреляции ryx 1, ryx 2 , rх1 x2 Рассчитать коэффициент множественной корреляции R. Определить коэффициент множественной детерминации R2 . Рассчитать параметры a0 ; a1 ; a2 для построения уравнения регрессии. Построить уравнение регрессии yx = a0 + a1 x1 + a2 x2 Сделать выводы по работе. Таблица 2.1 - Данные о среднем проценте выполнения плана, возрасте и стаже работы по профессии работниц
1) Построим вспомогательную таблицу значений у, х1 , х2 , у2 , х1 2 , х2 2 , ух1 , ух2 , x1 x2 Таблица 2.2 - Данные для расчета коэффициентов регрессии
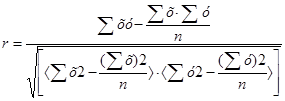
2) Рассчитаем парные коэффициенты корреляции ryx 1 , ryx 2 , rх1 x2 по формуле:
где п - количество данных, п = 8. Значение этого коэффициента изменяется от -1 до +1. отрицательное значение коэффициента корреляции свидетельствует о том, что связь обратная, положительное - связь прямая. Связь является тем более тесной и близкой к функциональной, чем ближе значение коэффициента к 1. rх1
= r х2
= r
x1
x2
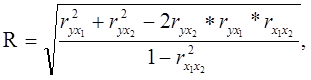
= Вывод : полученные коэффициенты находятся в пределах (-1; +1). Это значит, что между производительностью труда у и возрастом работниц х1 ( 0,4926) наблюдается слабая связь (прямая (>0), линейная); между производительностью труда у и стажем работы по профессии работниц x2 ( 0,0248) связь очень слабая - практически отсутствует (прямая (>0), линейная). Связь обоих этих факторов между собой незначительна (0,1894), ее можно охарактеризовать - прямая, линейная. Согласно произведенным расчетам на производительность труда наибольшее влияние оказывает возраст работниц. 3) Рассчитаем коэффициент множественной корреляции по формуле:
где r - линейные (парные) коэффициенты корреляции. Значение этого коэффициента может изменяться от 0 до 1. R = Видим, что связь между исследуемыми величинами тесная. 4) Рассчитаем коэффициент множественной детерминации R2 , который показывает, какая доля вариации изучаемого показателя обуславливается линейным влиянием учтенных факторов. Значения коэффициента находятся в переделах от 0 до 1. Чем ближе R2 к 1, тем большим является влияние отобранных факторов на результирующий признак. R2 = 0,2475 Вывод: рассчитанный коэффициент множественной детерминации показывает, что влияние на производительность труда у возраста работниц х1 и стажа их работы по профессии x2 незначительно. 5) Рассчитаем параметры a0 ; a1 ; a2 для построения уравнения регрессии. Зависимость среднего процента выполнения нормы выработки от возраста и стажа работы по профессии можно выразить формулой: yx =a0 + a1 x1 + a2 x2 (2.3) где yx - расчетные значения результирующего признака - средний процент нормы выработки; x1 и x2 - факторные признаки: х1 - возраст, лет; х2 - стаж работы по профессии, лет; a0 ; a1 ; a2 - параметры уравнения. Для нахождения параметров уравнения a0 ; a1 ; a2 строится система нормальных уравнений: na0 + a1 Σ x1 + a2 Σ x2 = Σ y a0 Σ x1 + a1 Σ x1 2 + a2 Σ x1 x2 = Σ yx1 (2.4) a0 Σ x2 + a1 Σ x1 x2 + a2 Σ x2 2 = Σ yx2 Из таблицы 2.1 Σ x1 = 219, Σ x2 = 73, Σy = 840,4 Расчеты представим в таблице 2.2 Таблица 2.2
Система уравнений принимает вид:
219 а0 + 6175 а1 + 2135 а2 = 23049,1 73 а0 + 2135 а1 + 877 а2 = 7671,0 Чтобы вычислить значения a0 ; a1 ; a2 выполняем арифметические действия: Сократим каждое уравнение на коэффициент при а0 ;
а0 + 28, 1963 а1 + 9,7488 а2 = 105, 2073 а0 + 29,2465 а1 + 12,0136 а2 = 105,0835 Произведем вычитания (2 уравнение - 1 уравнение) и (3 уравнение - 2 уравнение). В результате получим систему двух нормальных уравнений с неизвестными а1 и а2 . 0,8213 а1 + 0,6238 а2 = 0,1573 1,0502 а1 + 2,2648 а2 = - 0,1238 При решении новой системы получим: a2 = 1,8693 a1 = - 1,2282 a0 = 121,6146 Уравнение примет вид: У = 121,615 - 1,228 x1 + 1,869 x2 Коэффициенты регрессии дают ответ о том, как изменяется производительность труда при изменении возраста работниц на 1 год ( a1 = - 1,228) и стажа их работы также на 1 год ( a2 = 1,869 ). При этом следует учитывать, что влияние данных факторов (возраста и стажа работы по профессии) на производительность труда невелико. Это говорит о том, что данная работа не является сложной. Задание 3. Выявление тренда в динамических рядахПорядок выполнения работы: Рассчитать средние уровни ряда Рассчитать общую среднюю. Рассчитать индексы сезонности. Построить на графике кривую сезонных колебаний. Сделать выводы. Таблица 3.1 - Данные об объеме выпуска продукции за три года
1) Рассчитаем средние уровни ряда. Вычислим и средние уровни за год и средние уровни за месяц. Средние уровни вычисляем путем сложения всех показателей и деления суммы на количество этих показателей. Например, средняя за январь ( 7,4 + 7,8 + 8,3) / 3 » 7,8333 Общая формула выглядит так Sr=Σ xi / n (3.1) Здесь n - это количество показателей. Аналогично рассчитываем и другие средние. Результаты расчетов средних значений в таблицу 3.2 Таблица 3.2 - Расчет средних значений выпуска продукции
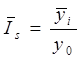
2) Рассчитаем общую среднюю. Ее можно рассчитать также по формуле (3.1). Можно суммировать средние по годам и результат делить на три. Можно суммировать средние по месяцам и результат делить на 12. Можно суммировать все 36 данных и результат делить на 36. В любом случае получим ответ, указанный в таблице: y0 = 8,9361. 3) Рассчитаем индексы сезонности по формуле (3.2)
Например, индекс сезонности для января равен: 47,833/48,769≈0,981 Аналогичным образом рассчитаем все индексы сезонности, результаты оформим в виде таблицы 3.3 Таблица 3.3 - Значения индексов сезонности
4) Построим на графике кривую сезонных колебаний. График выполним в программе Microsoft Excel и скопируем его в программу Microsoft Word. График в виде гистограммы это будет выглядеть так:
Рисунок 3.1 - Гистограмма средних индексов сезонности Можно также построить график в виде плавной линии:
Рисунок 3.2 - График колебаний средних индексов сезонности 5) Выводы: В данном случае неплохо просматриваются сезонные колебания коэффициентов. Наблюдаются два максимума в марте и августе, а также два ярко выраженных минимума в мае и, особенно, в январе. Список использованных источников1. Елисеева И.И., Юзбашев М.М. Общая теория статистики: Учебник. - М.: 2. Финансы и статистика, 1995. 3. Ефимова М.Р., Петрова Е.В., Румянцев В. H. Общая теория статистики: Учебник. - М.: ИHФРА-М, 1996. 4. Ряузов H. H. Общая теория статистики. М., 1990. 5. Адамов В.Е. Экономика и статистика фирм, М., 1996. 6. Статистика коммерческой деятельности: Учебник для вузов/Под ред. И.К. Белявского и О.Э. Башиной. - М.: Финстатинформ, 1996. 7. Э. Кейн. Экономическая статистика и эконометрия. 8. Экономико-математические методы и прикладные модели: Учеб. Пособие для вузов/В.В. Федосеев, А.Н. Гармаш, Д.М. Дайитбегов и др.; Под ред.В. В. Федосеева. - М.: ЮНИТИ, 1999. - 391 с. 9. Громыко Г.Л. Общая теория статистики: Практикум. - М.: ИНФРА-М, 1999. - 139с. |
|||||||||||||||||||||||||||||||||||||||||||||||||||||||||||||||||||||||||||||||||||||||||||||||||||||||||||||||||||||||||||||||||||||||||||||||||||||||||||||||||||||||||||||||||||||||||||||||||||||||||||||||||||||||||||||||||||||||||||||||||||||||||||||||||||||||||||||||||||||||||||||||||||||||||||||||||||||||||||||||||||||||||||||||||||||||||||||||||||||||||||||||||||||||||||||||||||||||||||||||||||||||||||||||||||||||||||||||||||||||||
(1.1)
(1.2)


(2.1)
=
=
=
(2.2)
(3.2)

