Реферат: Статистическое изучение производительности труда на предприятии 3
|
Название: Статистическое изучение производительности труда на предприятии 3 Раздел: Рефераты по маркетингу Тип: реферат | |||||||||||||||||||||||||||||||||||||||||||||||||||||||||||||||||||||||||||||||||||||||||||||||||||||||||||||||
| Федеральное агентство по образованию Государственное образовательное учреждение высшего профессионального образования Московский государственный индустриальный университет (ГОУ МГИУ) Кафедра «Кафедра бухгалтерского учета и аудита» К У Р С О В А Я Р А Б О Т А по дисциплине «Статистика» На тему « Статистическое изучение производительности труда на предприятии» Группа 4262 Студент ______________ Якушева К.П. Руководитель ______________ Виноградова Е.П Доцент к.э.н. ДОПУСКАЕТСЯ К ЗАЩИТЕ Оценка работы _______________ Дата «___»_________ Руководитель _______________ Виноградова Е.П. Доцент к.э.н. МОСКВА 2011 СОДЕРЖАНИЕ Введение…………………………………………………………………………...3 1. Теоретическая часть………………………………………………………….5 1.1. Понятие производительности труда………………………………………...5 1.2. Прямые и обратные величины производительности труда и их взаимосвязь………………………………………………………………………..6 1.3. Факторный индексный анализ производительности труда……………….7 1.4. Натуральный, трудовой и стоимостной методы измерения динамики производительности труда, его значение и границы применения……………8 2. Аналитическая часть………………………………………………………….13 3. Корреляционный анализ влияния производительности труда на результаты деятельности предприятия………………………………………...21 4.Заключение…………………………………………………………………….29 5.Список литературы……………………………………………………………30
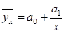
Введение Производительность труда – основной показатель экономической эффективности производства отрасли и каждого предприятия. Выявление резервов и путей повышения производительности труда должно опираться на комплексный технико-экономический анализ работы предприятия. Анализ производительности труда позволяет определить эффективность использования предприятием трудовых ресурсов и рабочего времени. Рост производительности труда означает: экономию овеществленного и живого труда и является одним из важнейших факторов повышения эффективности производства. Под факторами роста производительности труда понимаются условия или причины, под влиянием которых изменяется ее уровень. При анализе и планировании производительности труда важнейшей задачей является выявление и использование резервов ее роста, то есть конкретных возможностей повышения производительности труда. Резервы роста производительности труда - это такие возможности экономии общественного труда, которые хотя и выявлены, но по разным причинам еще не использованы. Взаимодействие факторов и резервов состоит в том, что если факторы представляют собой движущие силы, или причины изменения ее уровня, то использование резервов – это непосредственно процесс реализации действия тех или иных факторов. Степень использования резервов определяет уровень производительности труда на данном предприятии. От уровня производительности труда зависят темпы развития промышленного производства, увеличение заработной платы и доходов, размеры снижения себестоимости продукции. Повышение производительности труда путем механизации и автоматизации труда, внедрения новой техники и технологии практически не имеет границ. Поэтому целью анализа производительности труда является выявление возможностей дальнейшего увеличения выпуска продукции за счет роста производительности труда, более рационального использования работающих и их рабочего времени. Исходя из указанных целей выделяют, следующие задачи статистического изучения производительности труда в промышленности: 1) измерение уровня производительности труда; 2) изучение выполнения плана и динамики производительности труда; 3) определение степени выполнения норм выработки рабочими; 4) анализ уровня и динамики производительности труда - изучение факторов производительности труда и выявления резервов ее дальнейшего повышения; Решение перечисленных задач позволяет раскрывать достижения и недостатки в организации производства, дает возможность руководителям предприятий закреплять достигнутые в работе успехи и устранять имеющиеся недостатки. ТЕОРЕТИЧЕСКАЯ ЧАСТЬ Под производительностью труда понимают выпуск продукции в единицу затрат труда. Производительность труда характеризует эффективность, результативность затрат труда и определяется количеством продукции, произведенной в единицу рабочего времени, либо затратами труда на единицу произведенной продукции или выполненных работ. Под ростом производительности труда подразумевается экономия затрат труда (рабочего времени) на изготовление единицы продукции или дополнительное количество произведенной продукции в единицу времени, что непосредственно влияет на повышение эффективности производства, так как в одном случае сокращаются текущие издержки на производство единицы продукции по статье "Заработная плата основных производственных рабочих", а в другом — в единицу времени производится больше продукции. Значительное влияние на рост производительности труда оказывает внедрение достижений научно-технического прогресса, которое проявляется в использовании экономичного оборудования и современной технологии, что способствует экономии живого труда (зарплата) и увеличению прошлого труда (амортизация). Однако прирост стоимости прошлого труда всегда меньше, чем экономия живого труда, иначе внедрение достижений научно-технического прогресса экономически не оправдано (исключением является повышение качества продукции). Перед статистикой производительности труда стоят задачи: 1) совершенствования методики расчета производительности труда; 2) выявления факторов роста производительности труда; 3) определения влияния производительности труда на изменение объема продукции. В экономической практике, производительность труда может быть измерена с помощью прямых и обратных величин. Под производительностью труда понимают выпуск продукции в единицу затрат труда. Производительность труда может быть измерена с помощью прямых и обратных величин. Прямой величиной производительности труда является показатель выработки:
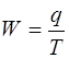
W - выработка продукции в единицу рабочего времени; q - выпуск продукции; T - затраты труда (чел. - часы; чел. - дни; средняя списочная численность рабочих или ППП). Обратной величиной производительности труда является показатель трудоемкости:
T - затраты труда (чел.-часы); t - трудоемкость изготовления единицы продукции. В практике статистики на промышленном предприятии рассчитывают следующие показатели выработки в зависимости от затрат труда на производство продукции: средняя часовая выработка рабочего, средняя дневная выработка рабочего, средняя месячная (квартальная, годовая) выработка рабочего и средняя месячная (квартальная, годовая) выработка работника промышленно-производственного персонала (ППП). Взаимосвязь показателей средней выработки представлена на схеме 1.1.
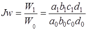
Схема 1.1. Взаимосвязь показателей средней выработки Используя индексный метод анализа, можно определить влияние в рассмотренных в схеме 1.1 факторов-сомножителей на динамику (изменение) средней месячной (квартальной, годовой) выработки работника промышленно-производственного персонала в отчетном периоде по сравнению с базисным. Так как W = abcd, то:
Jw = Jw(a) ´ Jw(b) ´ Jw(c) ´ Jw(d) Частное от деления числителя и знаменателя дробей характеризует процентное изменение средней месячной (квартальной, годовой) выработки работника промышленно-производственного персонала под влиянием соответствующего фактора (a, b, c, d ). Разность числителя и знаменателя дробей характеризует абсолютное изменение (в стоимостном выражении) средней месячной (квартальной, годовой) выработки работника промышленно-производственного персонала под влиянием соответствующего фактора (a, b, c, d ). Из рассмотренной выше схемы 1.1 можно построить взаимосвязи индексов часовой, дневной, годовой выработки рабочих в следующем виде: J сред.дневн.выработки = J сред.час.выработки ´ J сред.продолж.раб.дня ; J сред.мес.(кварт.,год)выработки = = J сред.днев.выработки ´ J сред.числа дней работы одного рабочего за мес. (кварт., год) . Если в задаче даны индексы средней часовой и средней дневной выработки, то индекс средней продолжительности рабочего дня будет рассчитан: J сред. днев. выработки J сред. продолжит. раб. дня = ¾¾¾¾¾¾¾ . J сред. час. выработки Индекс среднего числа дней работы одного рабочего за период (месяц, квартал, год) составит: J сред. мес. (кварт., год) выработки. J сред. числа дней работы одного рабочего за мес. (кварт., год) = ¾¾¾¾¾¾¾¾ . J сред. днев. выработки Для измерения динамики производительности труда в практике статистики используют три метода: натуральный, трудовой и стоимостной. Натуральный метод измерения производительности труда предусматривает учет продукции в натуральном выражении (в штуках, килограммах, метрах и т. п.). Он применяется главным образом на предприятиях добывающей промышленности, а также на рабочих местах, производственных участках внутри предприятия. Значение этого метода состоит в том, что эффективность труда измеряется непосредственно количеством конкретных потребительских стоимостей. Он наиболее полно отвечает сущности категории производительности труда. Расчет производительности труда в натуральном выражении позволяет сравнивать уровни производительности труда по одноименной продукции во времени и на различных предприятиях, где выпускают такую продукцию. Применение натурального метода возможно лишь при определенных условиях: 1. продукция должна быть не только одноименной, но и однородной. Различия в сортах и видах продукции при выпуске одноименной продукции должно быть учтено путем ее измерения в условных натуральных единицах, для чего отельные сорта и виды продуктов пересчитывают в один, который применяется в качестве условного; 2. уровни производительности труда в натуральных и условных натуральных единицах сравнимы при общей начальной точке производства. Нельзя сопоставлять одноименную продукцию, выработанную из разных видов сырья; 3. для сравнимости уровней производительности труда при их определении надо принимать один и тот же круг работников; количество продукции и сумма затрат рабочего времени должны относиться к одному и тому же периоду времени. Исходя из перечисленных условий, натуральный метод следует применять в таких подотрослях нефтяной и газовой промышленности, как магистральный транспорт газа, добыча нефти и газа, бурение скважин. Для изучения динамики производительности труда с помощью натурального метода используются натуральные индексы производительности труда. При их расчете необходимо то, что при наличии нескольких производственных участков, на которых производится одноименная и однородная продукция, изменение общего среднего уровня производительности труда зависит от: -изменения уровня производительности труда на отдельных участках (внутрипроизводственного фактора), - изменения соотношения затрат рабочего времени (структурного фактора). Индекс производительности труда в этом случае определяется по формуле:
W1 и W0 - выработка продукции соответственно в отчетном и базисном периодах, шт., кг и т.п. Применение натурального метода измерения динамики производительности труда ограничено, так как в редких случаях на промышленном предприятии может выпускаться продукция одноименная и сравнимая с базисным периодом. Трудовой метод обеспечивает возможность изучать производительность труда при условии выпуска разнородной продукции. Существуют два варианта трудового метода измерения производительности труда: на основе фактических и нормированных затрат времени. Эти варианты решают разные задачи. Метод нормо-часов может быть применен на практике более широко, чем метод, основанный на фактических затратах труда; он может быть использован везде, где существует нормирование труда и работ. Трудовой метод целесообразно применять в тех случаях когда трудовые затраты по абсолютной величине превышают величину объема производства (например, в бурении скважин, в ремонтно-механических цехах, нефтяном машиностроении). Сущность трудового метода измерения производительности труда состоит в том, что соответствующие затраты времени относят к выпуску продукции в натуральном или условно-натуральном выражении Рассмотренный метод измерения динамики производительности труда путем сопоставления уровней трудоемкости широко используется на отдельных участках и в цехах, но редко на предприятии в целом. В масштабах отраслей промышленности он не находит применения. Индекс производительности труда определяется по следующей формуле:
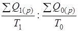
q1 - продукция отчетного периода, шт.; t1 и t0 - трудоемкость изготовления единицы продукции соответственно в отчетном и базисном периодах, час. Стоимостной метод измерения производительности труда применяется в практике планирования и статистике как наиболее универсальный, охватывающий весь результат производства, обеспечивающий возможность получения сводных данных по министерствам, отраслям, территориям и промышленности в целом. Этот метод состоит в том, что для вычисления показателей производительности труда продукцию принимают в денежном выражении. Преимуществом данного метода является то, что, во-первых, стоимостная оценка дает возможность охватывать выпуск готовых изделий, полуфабрикатов и незавершенного производства, а также выполненные работы непромышленного характера, во-вторых, стоимостная оценка продукции отражает ее качество. В качестве стоимостных показателей продукции при оценке производительности труда могут быть использованы валовая, чистая или условно-чистая продукция. Стоимостной индекс производительности труда характеризует изменение фактического производства продукции в денежном выражении (в единицу рабочего времени или на одного работника) по сравнению с базисным периодом. Индекс производительности труда в этом случае определяется по следующей формуле: J
стоим
= Q1(p) и Q0(p) - объем продукции в фиксированных оптовых ценах предприятия соответственно за отчетный и базисный периоды; T 1 и T0 - затраты труда на производство продукции (чел.-часы; чел.-дни; средняя списочная численность рабочих или ППП). Характерными чертами стоимостного индекса производительности труда являются: 1) денежная оценка производства продукции, что позволяет ее суммировать и соизмерять; 2) оценка продукции в одних и тех же неизменных (сопоставимых) ценах, что необходимо для устранения влияния изменения самих цен. Важным вопросом в изучении производительности труда на промышленном предприятии является определение степени выполнения норм выработки. Существует 4 способа определения степени выполнения норм выработки рабочими: а) сопоставлением фактической выработки (W1 ) с установленной по норме (Wн ); б) сопоставлением нормативной трудоемкости (t н ) с фактической трудоемкостью (t1 ); в) сопоставлением общего количества выработанной продукции (q1 =W1 T1 ) с тем ее количеством, которое могло быть выработано за то же время при установленной норме выработки (Wн T1 ); г) сопоставлением количества рабочего времени, положенного по норме на фактически выработанную продукцию (q 1 t н ), с фактически затраченным временем на ту же продукцию (q1 t1 =T1 ). Аналитическая часть Под производительностью труда понимают выпуск продукции в единицу затрат труда. Производительность труда может быть измерена с помощью прямых и обратных величин. Прямой величиной производительности труда является показатель выработки: W = q / T, где W – выработка продукции в единицу рабочего времени; q – выпуск продукции; T – затраты труда (чел.-часы). Обратной величиной производительности труда является показатель трудоемкости: t = T / q , где T – затраты труда (чел.–часы); t – трудоёмкость изготовления единицы продукции. Покажем расчет прямых и обратных величин производительности труда по данным таблицы 1. Таблица 1. Данные расчета показателей выработки и трудоемкости
Показатели выработки за базисный и отчетный периоды соответственно составили: W0=90/150=0,6 шт; W1=110/130=0,84 шт. Показатели трудоемкости соответственно составили: t0=150/90=1,6 час; t1=130/110=1,18 час. Показатели выработки и трудоемкости взаимосвязаны. Если W0=0,6, то t0=1/0,6=1,6; Если W1=0,84,то t1=1/0,84=1,18. Цепные показатели темпа роста соответственно составили: Тр(q)=110/90*100=122,2% Тр(T)=130/150*100=86,6% Тр(W)=0,84/0,6*100=140% Тр(t)=1,18/1,6*100=73,7%
Диаграмма 1 Цепные показатели темпы роста Для измерения динамики производительности труда в практике статистики используют три метода: натуральный, трудовой и стоимостной. Натуральный метод применяется для измерения динамики производительности труда при условии выпуска одноименной и сравнимой с базисным периодом продукции. Индекс производительности труда в этом случае определяется по формуле:
W1 и W0 - выработка продукции соответственно в отчетном и базисном периодах, шт., кг и т.п. Jнат=0,84/0,6*100=140% Применение натурального метода для измерения динамики производительности труда показывает нам, что производительность труда увеличилась на 40% (140-100). Трудовой метод применяется для измерения динамики производительности труда при условии изготовления разноименной, но сравнимой с базисным периодом продукции. Индекс производительности труда определяется по следующей формуле:
q1 - продукция отчетного периода, шт.; t1 и t0 - трудоемкость изготовления единицы продукции соответственно в отчетном и базисном периодах, час. Jтруд=∑110*1,6/ ∑110*1,18 *100=140% Применение натурального метода для измерения динамики производительности труда показывает нам, что производительность труда увеличилась на 40% (140-100). Стоимостной метод применяется для измерения динамики производительности труда, когда учитывается вся продукция предприятия, а не только сравнимая с базисным периодом. Стоимостной метод можно считать универсальным для измерения динамики производительности труда. Индекс производительности труда в этом случае определяется по следующей формуле: J
стоим
= Q1(p) и Q0(p) - объем продукции в фиксированных оптовых ценах предприятия соответственно за отчетный и базисный периоды; T 1 и T0 - затраты труда на производство продукции (чел.-часы; чел.-дни; средняя списочная численность рабочих или ППП). Индекс часовой выработки рабочих: Jчас = (97097/14633487) / (83750/14678479) * 100% Jчас = (0,0066/0,0057) * 100% = 115,8% Индекс дневной выработки рабочих: Jдн. = (97097/1912898) / (83750/1882151) * 100% Jдн. = (0,0506/0,0445) * 100% = 113,7% Индекс годовой выработки рабочего: Jгод = (97097/7661) / (83750/7638) * 100% Jгод = (12,67/10,96) * 100 = 115,6% Индекс годовой выработки работника ППП: Jгод = (97097/9947) / (83750/ 9914) * 100% Jгод = (9,76/8,45) * 100% = 115,5 Индекс часовой выработки показал нам, что часовая выработка работника относительно базисного периода выросла на 15,8% (115,8-100). Индекс дневной выработки показал нам, что дневная выработка работника выросла на 13,7% по сравнению с базисным годом (113,7-100). . При этом при помощи индекса годовой выработки рабочего, мы увидели, что за год выработка рабочего увеличилась на 15,6% по сравнению с базисным периодом (115,6-100). А индекс годовой выработки работника ППП показал нам, что выработка работника ППП, также увеличилась на 15,5% по сравнению с базисным периодом (115,5-100). Факторный индексный анализ Используя индексный метод анализа, можно определить влияние на динамику средней месячной (квартальной, годовой) выработки работника в отчетном периоде по сравнению с базисным. Рассмотрим пример расчета приведенных индексов по данным таблицы 2.
Таблица 2. Средняя годовая выработка работника ППП
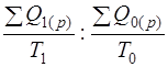
Общее изменение средней годовой выработки работника ППП в отчетном периоде по сравнению с базисным за счет влияния всех факторов (a.b.c.d) составит: Jw = a1b1c1d1 / a0b0c0d0 = (0,007 * 7,7 * 249,69 * 0,8) / (0,006 * 7,8 * 246,42 * 0,8) * 100% = 10,77 / 9,23 * 100% = 116,7% ΔW = 10,77-9,23 = 1,54 тыс. руб. Изменение средней годовой выработки работника ППП за счет фактора (a), то есть средней часовой выработки, составит: Jw(a) = a1b1c1d1 / a0b1c1d1 = (0,007 * 7,7 * 249,69 * 0,8) / (0,006 *7,7 * 249,69 * 0,8) * 100% = 10,77 / 9,23 * 100% = 116,7% ΔW(a) = 10,77 - 9,23 = 1,54 тыс. руб. Изменение средней годовой выработки работника ППП за счет фактора (b), то есть средней продолжительности рабочего дня, составит: Jw(b) = a0b1c1d1 / a0b0c1d1 = (0,006 * 7,7 * 249,69 * 0,8) / (0,006 * 7,8 * 249,69 * 0,8) * 100% = 9,23 / 9,35 * 100% = 98,7% ΔW(a) = 9,23 - 9,35 = -0,12 тыс. руб. Изменение средней годовой выработки работника ППП за счет фактора (с), то есть среднего числа дней работы одного рабочего за год, составит: Jw(с) = a0b0c1d1 / a0b0c0d1 = 0,006 * 7,8 * 249,69 * 0,8) / (0,006 * 7,8 * 246,42 * 0,8) * 100% = 9,35 / 9,23 * 100% = 101,3% ΔW(с) = 9,35 - 9,23 = 0,12 тыс. руб. Изменение средней годовой выработки работника ППП за счет фактора (d), то есть доли рабочих в численности ППП, составит: Jw(d) = a0b0c0d1 / a0b0c0d0 = (0,006 * 7,8 * 246,42 * 0,8) / (0,006 * 7,8 * 246,42 * 0,8) * 100% = 9,23 \ 9,23 * 100% = 100% ΔW(d) = 9,23 – 9,23 = 0,0 тыс. руб. Правильность проведенных расчетов подтверждают следующие тождества: Jw = Jw(a) * Jw(b) * Jw(с) * Jw(d); 116,7% = 1,167 * 0,987 * 1,013 * 1 * 100% ΔW = W(a) + W(b) + W(с) + W(d);
Диаграмма 2 Производительность труда в базовом и отчетном периоде
Общий вывод факторного индексного анализа производительности труда в рассматриваемом примере сводится к следующему. Средняя годовая выработка работника в отчетном периоде по сравнению с базисным повысилась на 16,7% (116,7-100) или на 1,54 тыс. руб., в том числе: За счет увеличения средней часовой выработки рабочего на 16,7% (116,7-100), среднегодовая выработка работника выросла на 1,54 тыс. руб. За счет уменьшения средней продолжительности рабочего дня на 1,3% (100-98,7), среднегодовая выработка работника снизилась на 0,12 тыс. руб. За счет увеличения среднего числа дней работы одного рабочего за год на 1,3% (101,3-100), среднегодовая выработка работника повысилась на 0,12 тыс. руб. За счет не увеличения доли рабочих в численности ППП (100-100) средняя годовая выработка работника не увеличилась. Так как, не произошло значительного позитивного влияние трех факторов: «b», «c», «d», влияние фактора «a» оказалось решающим, вследствие чего произошло в целом повышение средней годовой выработки работника в отчетном периоде по сравнению с базисным. Графический метод в анализе динамики Применив графический метод в анализе динамики сравним динамику показателей выработки работника ППП, отчетного периода с базисным, покажем на рис. 1.
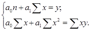
Рис 1. Динамика средней годовой выработки работника ППП за базисный и отчетный период . КОРРЕЛЯЦИОННЫЙ АНАЛИЗ ВЛИЯНИЯ ПРОИЗВОДИТЕЛЬНОСТИ ТРУДА НА РЕЗУЛЬТАТЫ ДЕЯТЕЛЬНОСТИ ПРЕДПРИЯТИЯ Корреляционный анализ проводится в три этапа: I Этап: На первом этапе осуществляется выбор формы связи между факторным и результативным признаком, то есть выбирается тип аналитической функции. Для определения формы связи между факторным и результативным признаком, то есть установления типа аналитической функции связи применяются различные статистические методы: метод статистических группировок; метод укрупнения интервалов; метод скользящей средней; метод аналитического выравнивания; графический метод. В своем анализе я воспользуюсь графическим методом для определения формы связи между факторным и результативным признаком. При прямолинейной форме зависимости между факторным и результативным признаками функция связи имеет вид прямой: Для использования графического метода определения формы связи между факторным и результативным признаком построим таблицу 3.
Таблица 3 Показатели среднесписочной численности ППП и готовой продукции по 10 предприятиям
Определим форму зависимости показателя объема готовой продукции от численности ППП в наиболее многочисленной смене рис.2
:
В нашем случае зависимость между показателем объема готовой продукции и показателем численности ППП, как видно из графика 1, является прямолинейной - она подчиняется уравнению II Этап: На данном этапе осуществляется решение аналитического уравнения связи путем нахождения его параметров а0 , а1 ,… а n . Параметр а0 означает влияние на результативный признак не включенную в регрессионную модель факторов. Параметры а1 ,… а n – коэффициенты регрессии, означают величину результативного признака при изменении факторного признака на единицу измерения. В случае прямолинейной формы зависимости параметры аналитического уравнения связи Таблица 4
II Этап: На данном этапе осуществляется решение аналитического уравнения связи путем нахождения его параметров а0 , а1 ,… а n . Параметр а0 означает влияние на результативный признак не включенную в регрессионную модель факторов. Параметры а1 ,… а n – коэффициенты регрессии, означают величину результативного признака при изменении факторного признака на единицу измерения. В случае прямолинейной формы зависимости параметры аналитического уравнения связи Занесем данные из таблицы 3 в соответствующие графы таблицы 4 в ранжированном порядке (порядке возрастания) показателя численности ППП (х ) и рассчитаем необходимые вспомогательные показатели.
10а0 + 75674a1 = 871023
756740a0 + 75674 * 75674a1 = 871023 * 75674 75674 * 10a0 + 844289264 * 10a1 = 9235794040 * 10
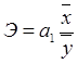
756740a0 + 8442892640a1 = 92357940400 -2716338364a1 = -26444145898 a1 = -26444145898/-2716338364 = 9,735 a0 = (871023 — 75674 *9,735) / 10 = (871023 — 736686,39) / 10= 13433,661 Следовательно, найденное аналитическое уравнение связи имеет вид: 1) 13433,661 + 9,735 * 1203 = 25144,866 2) 13433,661 + 9,735 * 2954 = 42190,851 3) 13433,661 + 9,735 * 8008 = 91391,541 4) 13433,661 + 9,735 * 6020 = 72038,361 5) 13433,661 + 9,735 * 7686 = 88256,871 6) 13433,661 + 9,735 * 8349 = 94711,176 7) 13433,661 + 9,735 * 8680 = 97933,461 8) 13433,661 + 9,735 * 9947 = 110267,706 9) 13433,661 + 9,735 * 20637 = 214334,856 10) 13433,661 + 9,735 * 2190 = 34753,311 Так как с увеличением готовой продукции на 1 единицу показатель численности ППП в среднем повышается на 9,735 Далее рассчитаем коэффициент эластичности по формуле:
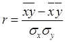
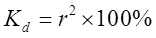
Э = 9,735 * (75674:10/871023:10) = 9,735 * 0,08687 = 0,845 Таким образом, увеличение показателя численности ППП на 1% приводит к увеличению готовой продукции на 84,5% III Этап: На данном этапе осуществляют оценку тесноты связи между факторным и результативным признаками с помощью показателей тесноты связи. В случае линейной связи между факторным и результативным признаками производят расчеты линейного коэффициента корреляции по следующей формуле: Численный коэффициент корреляции варьирует в пределах от -1 до +1. Положительное его значение говорит о прямой связи, отрицательное - об обратной. Близость к нулю говорит о слабой связи, близость к ±1 говорит о существенной связи, при r = ± 1 - связь функциональная. Для экономической интерпретации линейного коэффициента корреляции применяется коэффициент детерминации. Он определяется по формуле:
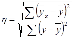
Коэффициент детерминации характеризует долю дисперсии результативного признака, объясняемую влиянием соответствующего факторного признака. В случае криволинейной зависимости (параболической, гиперболической) тесноту связи между факторным и результативным признаками определяют с помощью корреляционного отношения по формуле:
Рассчитаем величину линейного коэффициента корреляции по формуле, так как на лицо линейная связь между факторным и результативным признаками. ху = ∑ху/n = 9235794040/10 = 923579404 x = ∑x/n = 75674/10 = 7567,4 y = ∑y/n = 871023/10 = 87102,3 σx =√x2 – x2 = √84428926,4 – 57265542,76 = √27163383,64 = 5211,850 σ y = √y2 – y2 = √10454792981,3 – 7586810665,29 = √ 2867982316,01 = 53553,546 r = (xy – xy) / σx σ y = (92357940,4 – 7567,4 * 87102,3) / 5211,850 * 53553,546 = 0,236 = 23,6% Как видно, связь между показателем объема готовой продукции и показателем численности ППП на предприятиях № 1- № 10 слабая, так как r = 0,236 далеко от «1». Для установления размера вариации показателя объема готовой продукции от показателя ППП рассчитаем коэффициент детерминации по формуле:
Kd = (0,236)2 * 100% = 5,56% Следовательно, на 5,56% вариация показателя объема готовой продукции объясняется изменением показателя численности ППП на предприятиях № 1- № 10. Заключение Общий вывод факторного индексного анализа производительности труда в рассматриваемом примере сводится к следующему. Средняя годовая выработка работника в отчетном периоде по сравнению с базисным повысилась на 16,7% (116,7-100) или на 1,54 тыс. руб., в том числе: За счет увеличения средней часовой выработки рабочего на 16,7% (116,7-100), среднегодовая выработка работника выросла на 1,54 тыс. руб. За счет уменьшения средней продолжительности рабочего дня на 1,3% (100-98,7), среднегодовая выработка работника снизилась на 0,12 тыс. руб. За счет увеличения среднего числа дней работы одного рабочего за год на 1,3% (101,3-100), среднегодовая выработка работника повысилась на 0,12 тыс. руб. За счет не увеличения доли рабочих в численности ППП (100-100) средняя годовая выработка работника не увеличилась. Так как, не произошло значительного позитивного влияние трех факторов: «b», «c», «d», влияние фактора «a» оказалось решающим, вследствие чего произошло в целом повышение средней годовой выработки работника в отчетном периоде по сравнению с базисным.
Список литературы 1. Горемыкина Т.К. Статистика. Часть 2. Статистика промышленности: Учебное пособие. – М.: МИИР, 2008. 2. Микроэкономическая статистика: Учебник. / Под ред. С. Д. Ильенковой. - М.: Финансы и статистика,2004. -544 с: ил. 3. И. И. Елисеева, М. М. Юзбашев. Общая теория статистики. М.: Финансы и статистика, 2003. – 657 с. 4. Теория статистики: Учебник. / Под ред. Г.Л. Громыко.- Москва: ИНФРА-М; 2005 – 2-е изд., 476 с. |
, где
, где





, где
, где
×100%, где
, где
, где
×100%, где

Рис. 2. Зависимость показателя объема годовой продукции от численности ППП

Вспомогательная таблица для расчета теоретической линии регрессии.



