Контрольная работа: Окружение проекта
|
Название: Окружение проекта Раздел: Рефераты по строительству Тип: контрольная работа |
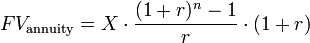
| 19. Окружение проекта Окружение проекта Любой проект реализуется, взаимодействуя с окружающей проект средой - государством, обществом, предприятием, командой проекта, его заказчиками, подрядчиками и т.п. Окружающая проект среда называется окружением проекта. Окружение проекта можно разделить на несколько видов: внешнее и внутреннее, ближнее и дальнее. Внешнее окружение проекта - это та часть окружающей среды, которая существует независимо от проекта. Внутреннее окружение проекта - это та часть окружающей среды, которая существует только во время осуществления проекта. Основные составляющие внешнего и внутреннего окружения проекта показаны на рисунке 6. Внешнее окружение проекта, которое не зависит от конкретного предприятия, называется дальним окружением проекта. Внешнее окружение проекта, возникающее в рамках данного предприятия, называется ближним окружением проекта. Рассмотрим подробно составляющие окружения проекта и их влияние на проект. Дальнее окружение проекта Политические характеристики и факторы: Политическая стабильность. Поддержка проекта правительством. Националистические проявления. Уровень преступности. Торговый баланс со странами- участниками. Участие в военных союзах. Экономические факторы: Структура национального хозяйства. Виды ответственности и имущественные права, в т. ч. на землю. Тарифы и налоги. Страховые гарантии. Уровень инфляции и стабильность валюты. Развитость банковской системы. Источники инвестиций и капитальных вложений. Степень свободы предпринимательства и хозяйственной самостоятельности. Развитость рыночной инфраструктуры. Уровень цен. Состояние рынков: сбыта, инвестиций, средств производства, сырья и продуктов, рабочей силы и др. Общество - его характеристики и факторы: Условия и уровень жизни. Уровень образования. Свобода перемещения, "въезд-выезд". Трудовое законодательство, запрещение забастовок. Здравоохранение и медицина, условия отдыха. Общественные организации, пресса, телевидение. Отношение местного населения к проекту. Законы и право: Права человека. Права предпринимательства. Права собственности. Законы и нормативные акты о предоставлении гарантий и льгот. Наука и техника: Уровень развития фундаментальных и прикладных наук. Уровень информационных технологий и компьютеризации. Уровень промышленных и производственных технологий. Энергетические системы. Транспортные системы. Связь, коммуникации Культура: Уровень грамотности. История, культурные традиции, религия. Культурные потребности: жизнеобеспечение, работа, отдых, спорт и др. Уровень требований к качеству результатов и условий труда. Природные и экологические факторы: Естественно-климатические условия: температура, осадки, влажность, ветры, высота над уровнем моря, сейсмичность, ландшафт и топография и др. Природные ресурсы. Расположение и связь с транспортными сетями. Стандарты по качеству: воздушного пространства, водных источников и почвенному покрову. Санитарные требования к окружающей среде. Законодательство по защите окружающей среды. Характеристика тенденций и состояния экологических систем: воздуха, воды, почвы. Характеристики и факторы инфраструктуры: Средства транспорта, связи и коммуникации. Перевозка грузов. Сети ЭВМ и информационные системы. Энергоснабжение. Коммунальные службы. Сырье и услуги. Сбытовая сеть. Логистика и материально-техническое снабжение. Промышленная инфраструктура. Обслуживающие системы и прочие. Ближнее окружение проекта Руководство предприятия определяет цели и основные требования проекта, а также порядок их корректировки. Сфера финансов определяет бюджет проекта, его смету и источники финансирования. Сфера сбыта определяется решениями покупателей и действиями конкурентов. Сфера изготовления требует согласования требований к проекту с возможностями рынка средств производства. Сфера материального обеспечения формирует требования к проекту, исходя из возможности обеспечения сырьем, материалами и оборудованием по приемлемым ценам. Сфера инфраструктуры формирует требования к рекламе, транспорту, связи, телекоммуникациям, информационному обеспечению, инженерному обеспечению. Сфера очистки и утилизации формирует требования к охране окружающей среды и утилизации отходов производства. Внутреннее окружение проекта Стиль руководства определяет психологический климат и атмосферу, влияет на творческую активность и работоспособность в команде проекта. Специфическая организация проекта определяет взаимоотношения между основными участниками проекта, распределение прав, ответственности и обязанностей и влияет на успех осуществления проекта. Участники проекта реализуют различные интересы в процессе осуществления проекта, формируют свои требования и оказывают влияние на проект в соответствии со своими интересами, компетенцией и степенью участия в проекте. Основной интерес участников проекта связан с получением прибыли от реализации проекта. Основной интерес команды проекта связан с получением дохода от своей деятельности во время реализации проекта и претендует на получении своей части из резервного фонда. Методы и средства коммуникации определяют полноту, достоверность и оперативность обмена информацией между участниками проекта. Экономические условия проекта определяют его основные стоимостные характеристики. Социальные условия проекта характеризуют: условия жизни; уровень заработной платы; коммунальные услуги; условия труда и техники безопасности; страхование; социальное обеспечение. 32. Аннуитет и его стоимость Аннуитет - (фр. annuite от лат. annuus — годовой, ежегодный) — общий термин, описывающий график погашения финансового инструмента (выплаты вознаграждения или уплаты части основного долга и процентов по нему), когда выплаты устанавливаются периодически равными суммами через равные промежутки времени. Аннуитетный график отличается от такого графика погашения, при котором выплата всей причитающейся суммы происходит в конце срока действия инструмента, или графика, при котором на периодической основе выплачиваются только проценты, а вся сумма основного долга подлежит к оплате в конце. Сумма аннуитетного платежа включает в себя основной долг и вознаграждение. В широком смысле, аннуитетом может называться как сам финансовый инструмент, так и сумма периодического платежа, вид графика погашения финансового инструмента или другие производные понятия, оттенки значения. Аннуитетом, например, является: Один из видов срочного государственного займа, по которому ежегодно выплачиваются проценты, и погашается часть суммы. Равные друг другу денежные платежи, выплачиваемые через определённые промежутки времени в счёт погашения полученного кредита, займа и процентов по нему. Соглашение или контракт со страховой компанией, по которому физическое лицо приобретает право на регулярно поступающие суммы, начиная с определённого времени, например, выхода на пенсию. Современная стоимость серии регулярных выплат, производимых с определенной периодичностью в течение срока, установленного договором страхования. Аннуитетный график также может использоваться для того, чтобы накопить определённую сумму к заданному моменту времени, внося равновеликие вклады на счёт или депозит, по которому начисляется вознаграждение. Будущая стоимость аннуитетных платежей Будущая стоимость аннуитетных платежей предполагает, что платежи осуществляются на приносящий проценты вклад. Поэтому будущая стоимость аннуитетных платежей является функцией как величины аннуитетных платежей, так и ставки процента по вкладу. Будущая стоимость серии аннуитетных платежей (FV) вычисляется по формуле (предполагается сложный процент)
где r - ставка процента, n - количество периодов в которые осуществляются аннуитетные платежи, X - величина аннуитетного платежа. Аннуитет пренумерандо в рассматриваемом случае начисления процентов по аннуитетным платежам, имеет на один год начисления процентов больше. Поэтому формула для вычисления будущей стоимости аннуитета пренумерандо приобретает следующий вид
Рисунок 6. Внешнее и внутреннее окружение проекта.
|
