Реферат: Математика матрица
|
Название: Математика матрица Раздел: Рефераты по математике Тип: реферат | |||||||||||||||||||||||
МатрицыМатрица - прямоугольная (в частном случае квадратная) таблица с числами. Матрица m × n - это таблица из m строк и n столбцов. Если m = n, матрицу называют квадратной матрицей порядка n. Пример матрицы 4×3 :
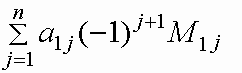
Определитель матрицыОпределитель матрицы A (обозначается как det A) это число, которое ставится в соответствие матрице A по определенному правилу. Определитель существует (определен) только для квадратной матрицы. Определителем квадратной матрицы A порядка n называется число:
где M1,j - определитель квадратной матрицы порядка n -1, полученной из матрицы A вычеркиванием первой строки и j -го столбца, называемый минором элемента a1,j . Выражение
Если вас пугает это формула, то она значит следующее:
Обратите внимание, что порядок минора на 1 меньше, чем у исходной матрицы!!! Умножение матрицПроизведением матриц A размером m × n и матрицы B размера n × k называется матрица размера m × k, элементы которой определяются формулой
i=1, ... , m j=1, ..., k Произведение матриц записывается как C=A·B. Произведение матриц определено, если число столбцов матрицы A равняется числу строк матрицы B!!!! Для более легкого запоминания формулы умножения матриц существует простое правило: строка на столбец. Берем элементы из строки матрицы А и они умножаются на соответствующие элементы столбца матрицы B. Потом все произведения складываются и мы получаем значение элемента матрицы C. Координаты элемента в результирующей матрице определяется как номер строки матрицы A и номер столбца матрицы B. Транспонирование матрицТранспонирование матрицы - это такая операция над матрицей, когда первая строка становится первым столбцом, вторая строка становится вторым столбцом и так далее... В результате получается транспонированная матрица, обозначаемая как AT . Обратная матрицаМатрица A-1 - называется обратной к матрице A, если выполняется условие A ·A-1 = A-1 ·A=E. Для квадратной матрицы A обратная матрица существует тогда, когда det A ≠ 0. Обратную матрицу находим следующим образом:
где Ai,j - алгебраические дополнения элементов матрицы A. |


