Дипломная работа: Инновационная деятельность в России и за рубежом
|
Название: Инновационная деятельность в России и за рубежом Раздел: Рефераты по менеджменту Тип: дипломная работа | |||||||||||||||||||||||||||||||||||||||||||||||||||||||||||||||||||||||||||||||||||||||||||||||||||||||||||||||||||||||||||||||||||||||||||||||||||||||||||||||||||||||||||||||||||||||||||||||||||||||||||||||||||||||||||||||||||||||||||||||||||||||||||||||||||||||||||||||||||||||||||||||||||||||||||||||||||||||||||||||||||||||||||||||||||||||||||||||||||||||||||||||||||||||||||||||||||||||||||||||||||||||||||||||||||||||||||||||||||||||||||||||||||||||||||||||||||||||||||||||||||||||||||||||||||||||||||||||||||||||||||||||||||||||||||||||||||||||||||||||||||||||||||||||||||||||||||||||||||||||||||||||||||||||||||||||||||||||||||||||||||||||||||||||||||||||||||||||||||||||||||||||||||||||||||||||||||||||||||||||||||||||||||||||||||||||||||||||||||||||||||||||||||||||||||||||||||||||||||||||||||||||||||||||||||||||||||||||||||||||||||||||||||||||||||||||||||||||||||||||||||||||||||||||||||||||||||||||||||||||||||||||||||||||||||||||||||||||||||||||||||||||||||||||||||||||||||||||||||||||
| Содержание Введение...................................................................................................................3 1. Теоретическая часть.........................................................................................5 1.1. Понятие инноваций и инновационной деятельности...................................5 1.2. Инновационная деятельность в России и за рубежом..................................7 2. Практическая часть........................................................................................22 2.1. Краткая характеристика предприятия ОАО «Стройматериалы»..............22 2.2. Характеристика инновационной деятельности на предприятии............35 2.3.Комплексная характеристика нововведения................................................38 2.4. Обоснование и выбор проекта......................................................................43 2.5. Обоснование эффективности инновационного проекта.............................46 2.6 Экспертиза инновационного проекта и разработка механизма управления рисками…………………………………………………….......................………54 2.7.Организация реализации проекта…………………………………..............63 Заключение.............................................................................................................65 Введение Проблема выделения приоритетных направлений науки и технологии в России приобрела особую актуальность в 90-е гг. минувшего века в связи с сокращением бюджетного финансирования этой сферы. С тех пор данной проблеме уделяется постоянное внимание на самых различных уровнях управления. Большой интерес к этому вопросу не случаен, учитывая постоянно возрастающую роль науки и высоких технологий в развитии общества в современных условиях и ту цену, которую общество вынуждено, так или иначе, платить в любом случае — как за освоение новых технологических достижений, так и за отказ от их использования. Темой данного курсового проекта является «Инновации и инновационная деятельность в РФ и за рубежом». Актуальность данной темы заключается в том, что грамотная инвестиционная политика государства способствует улучшению инвестиционного климата в стране, усилению притока иностранных инвестиций и развитию экономики как основы процветания страны. Если не финансировать свою фундаментальную науку, то с неизбежностью придется финансировать чужую. Цель курсового проекта - закрепление теоретических знаний, полученных при изучении дисциплины, и развитие практических навыков организации инновационной деятельности на предприятии. Объектом исследования выступает ОАО «Стройматериалы». Для достижения цели необходимо решить следующие задачи: 1. Рассмотреть и проанализировать теоретические источники в области инновационной политики предприятия; 2. Охарактеризовать инновационную деятельность ОАО «Стройматериалы», и в соответствии с этим сформировать портфель проектов организации; 3. Обосновать эффективность выбранного инновационного проекта; 4. Провести экспертизу инновационного проекта и разработку механизма управления рисками Теоретической и методологической базой выступают: 1. данные финансовой отчетности и сведений об инновационной деятельности предприятия; 2. работы отечественных и зарубежных исследователей; 3. материалы периодической печати; 4. методические указания к выполнению курсового проекта для студентов специальности 060800 – Экономика и управление на предприятиях промышленности строительных материалов; 5. средства Internet. 1. Теоретическая часть 1.1. Понятие инноваций и инновационной деятельности Проблема инноваций, рассматриваемых в качестве основного фактора динамики промышленности, не является новой. Само понятие «innovation» впервые появилось в научных исследованиях зарубежных культурологов в XX в. и означало введение некоторых элементов одной культуры в другую. Термин «инновация» происходит от латинского слова «innovato», что означает обновление или улучшение. В общем плане этот термин можно понимать как особую культурную ценность — материальную или нематериальную, — которая в данное время и в данном месте воспринимается людьми как новая. Закономерности технических нововведений стали изучаться в начале XX в. По некоторым источникам обычно отождествляют понятия «новшество», «новация», «нововведение», «инновация». Любые изобретения, новые явления, виды услуг или методы только тогда получат общественное признание, когда будут приняты к распространению (коммерциализации) и уже в новом качестве выступят как нововведения (инновации). Принято считать, что понятие «нововведение» является русским вариантом английского слова innovation. Буквальный перевод с английского означает «введение новаций» или в нашем понимании этого слова «введение новшеств». Под новшеством понимается новый порядок, новый обычай, новый метод, изобретение, новое явление. Русское словосочетание «нововведение» означает процесс использования новшества. Таким образом, с момента принятия к распространению новшество приобретет новое качество — становится нововведением (инновацией). Инновация — результат творческой и инвестиционной деятельности, направленной на разработку, изготовление и распространение новых видов товаров, услуг и технологий, организационных форм на уровне фирмы. Целью инновации является повышение конкурентности фирмы, товара и услуг и повышение за счет этого прибыли фирмы.[7, 34-35] Инновационная деятельность – деятельность, направленная на использование и коммерциализацию результатов научных исследований и разработок для расширения и обновления номенклатуры и улучшения качества выпускаемой продукции, совершенствование технологии их изготовления с последующим внедрением и эффективной реализацией на внутреннем и зарубежных рынках. Инновационная деятельность, связанная с капитальными вложениями в инновации, называется инновационно-инвестиционной деятельностью. При осуществлении инновационной деятельности различаются ее объекты и субъекты. Объектами инновационной деятельности являются разработки техники и технологии предприятиями, находящимися независимо от организационно-правовой формы и формы собственности на территории страны. Субъекты инновационной деятельности — юридические лица независимо от организационно-правовой формы и формы собственности, физические лица Российской Федерации, иностранные организации и граждане, а также лица без гражданства, участвующие в инновационной деятельности. Права субъектов гарантируются Конституцией Российской Федерации. Среди субъектов могут быть и инноваторы. Инноватор — автор инновации (открытия, изобретения, полезной модели, проектного решения, рацпредложения, ноу-хау, промышленного образца или иного вида инновации). НТД, как правило, осуществляется в научных организациях (или в ИП). Научная организация — организация (учреждение, ИП), выполняющая НИОКР «в качестве основной деятельности независимо от ее принадлежности к той или иной отрасли экономики, организационно-правовой формы и формы собственности». [5, 17-18] 1.2. Инновационная деятельность в России и за рубежом Часто в средствах массовой информации и даже в научной экономической литературе можно услышать и прочитать, что СССР (в том числе и Россия) вплоть до начала экономических реформ в 1991 г. был великой экономической державой. Стоит, однако, посмотреть прямо в глаза холодной действительности. СССР никогда не был великой экономической державой. После победы в Великой отечественной войне в 1945 г. над фашистской Германией он стал считаться великой военной державой, а после успешного испытания атомной бомбы в 1951 г. и накопления большого количества ядерного оружия — еще и ядерной державой. Освоение космического пространства, главными мирными вехами которого были запуск первого в мире искусственного спутника Земли в 1957 г. и полет первого человека в космос в 1961 г., превратило СССР еще и в великую космическую державу. Основные же цели освоения космоса у нас (впрочем, как и за рубежом) были далеко не мирные. Советские люди (особенно в России) жили в условиях сплошного дефицита всего (включая свободу), что необходимо для нормальной жизни. В стране не было дефицита только в оружии разного рода, т.е. в средствах уничтожения людей, в том числе массового. Страна имела мощные ракеты, но не имела приличных утюгов. Запад боялся CCCР, но прежде всего потому, что ЦК КПСС и Советское правительство настолько низко ценили жизнь своих людей и, тем более, жизнь народов других стран, что для них ничего не стоило бросить народы даже в пучину войны. Огромные людские потери (около 30 млн. человек) в ВОВ 1941-1945 гг., балансирование на грани ядерной войны во время Карибского кризиса, Афганская война и так называемые локальные конфликты — тому примеры. Такую страну с милитаризованной экономикой и чрезвычайно низким уровнем жизни населения едва ли можно назвать великой экономической державой. Однако именно милитаризация советской экономики, вызванная стремлением КПСС и Советского правительства обеспечить военное превосходство СССР фактически над всем остальным миром и создать мировую систему социализма советского образца, способствовала мощному развитию не только военной промышленности и научно-исследовательских работ военного назначения в области как технико-технологических, так и естественных наук, но и всей системы общего и профессионального (начального, среднего и высшего) образования в СССР. В соответствии с названными выше целями СССР обязан был производить и производил лучшую в мире (конкурентоспособную на мировых рынках) военную продукцию. Мощные и продуктивные научные исследования в военных целях в значительной мере тянули за собой исследования и разработки гражданского назначения. Что же касается гуманитарных наук, то им фактически отводилась роль идеологического обеспечения этой политики.[1,15] Авторитарный советский режим выдохся. Послевоенный патриотизм населения изжил себя: люди хотели жить достойно, как все нормальные люди. Возникла объективная необходимость экономических, социальных и политических реформ в стране. Как только рухнул тоталитарный правящий режим в лице КПСС, тотчас же развалился и СССР. Режим не выдержал натиска создаваемой демократической политической системы, необходимой для становления и развития социально ориентированной рыночной экономики. Произошли перемены в иерархии нравственных ценностей, непривычные для российских людей. Такая ситуация в России вызвала социально-психологический стресс у населения и пассивное отношение к проводимым экономическим и политическим преобразованиям в государстве. Вместе с тем, необходимо отметить, что в результате экономических, социальных и политических реформ страна переходит (к сожалению, с большим трудом и серьезными ошибками) к социальной рыночной экономике. Сейчас в стране реально существует институт частной собственности. Граждане России становятся собственниками земли, средств производства, жилья, хозяевами интеллектуальной собственности. Деньги, наконец-то, приобрели реальный смысл и содержание. Создана коммерческая банковская система. Наши магазины по наполнению товарами и качеству обслуживания покупателей сейчас мало чем отличаются от европейских. В стране существует реальная свобода слова, многопартийная политическая система, выборность (пока) практически всех органов власти, свобода передвижения российских граждан по всему миру. Совершенствуется судебная система. Происходит постепенное становление гражданского общества в России. Однако из-за серьезных экономических, социальных и политических ошибок, допущенных властью в ходе проведения реформ, величайшее значение вышеназванных достижений в результате реформ еще не совсем понято и оценено широкими слоями населения. В последнее десятилетие основным источником пополнения государственного бюджета России является экспорт сырьевых ресурсов (нефти, газа, леса, металлов и др.). В соответствии с данными Всемирного банка и ООН (табл. 1.1), Россия занимает первое место в мире по объему природного капитала, приходящемуся на душу населения. В России он в 8,6 раза выше, чем в США, в 38 раз выше, чем в Японии, и в 80 раз выше, чем в Китае. Но по эффективности использования природного капитала, оцененной как объем ВВП на душу населения, Россия занимает 57- место в мире, в то время как США занимает 2-е, Япония — 11-е, Китай - 94-е место.[5,20] На 9.12.2004 г. золотовалютные резервы России составляют 121,6 млрд. долл. По этому показателю Россия, имея нищее население, находится на втором месте среди ведущих стран мира, уступая только Японии. Кроме того, золотовалютные запасы в нашей стране растут на данном этапе ежегодно на несколько десятков процентов, в основном (к сожалению), за счет экспорта природных ресурсов. Необходимо иметь в виду, что в России имеется еще стабилизационный фонд, составляющий более 500 млрд. руб. Все эти огромные для России средства используются крайне неэффективно. За счет золотовалютных резервов и стабилизационного фонда, находящихся, главным образом, в виде ценных бумаг за рубежом, Россия кредитует экономику западных стран, прежде всего США, Германии, Великобритании, под 2-4% в год, в то время как стоимость валютных кредитов в России для отечественной экономики составляет 7-10 % годовых. Таблица 1.1. Величина природного капитала и ВВП, приходящихся на душу населения, в России, США, Японии и Китае[1,17]
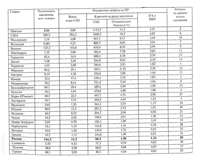
Убытки в экономике России из-за неправильных действий руководства РФ и коррупции покрываются фактически за счет крайне низкого уровня жизни основной массы населения. В развитых странах доля заработной платы составляет около 70% от ВВП, в России — около 30%. Вместе с тем, российский рабочий на 1 доллар заработной платы производит продукции на 4,6 доллара, а американский — на 1,7 доллара [2, 681]. Это значит, что степень эксплуатации рабочей силы в России примерно в 3 раза выше степени эксплуатации рабочей силы в США. Выше была кратко изложена сложившаяся к настоящему времени экономическая ситуация в России. Ее нельзя назвать радужной. Возможно, ли ее изменить радикально в лучшую сторону в ближайшие 5-7 лет? Представляется, что это возможно сделать, если доминирующим вектором развития экономики России будет инновационная экономика — экономика, основанная на современных знаниях, научных достижениях, на вложении инвестиций в развитие и внедрение инновационных технологий производства товаров и услуг, на эффективном использовании мощных природно-сырьевых ресурсов страны. Задача удвоения ВВП к 2010 г., поставленная Президентом РФ в 2004 г. в Послании к Федеральному Собранию, безусловно, является важнейшей. Однако, во-первых, это вовсе не означает, что уровень жизни населения возрастет в два раза. Во-вторых, вопреки правительственным заявлениям задача удвоения ВВП на самом деле не является амбициозной, так как существующий объем ВВП в расчете на душу населения для такой страны, как Россия с ее богатейшими природными и интеллектуальными ресурсами, чрезвычайно мал (табл. 1.1). Необходимый для решения этой задачи темп роста ВВП был достигнут уже в 2000 г. (9%), а необходимый объем инвестиций (78,2 млрд. долларов) и доля ПИИ (15,7%) - в 1999 г. Таким образом, задача заключается в том, чтобы совместить во времени эти два достижения. А это уже сложнее, учитывая к тому же критический уровень износа основных фондов (около 50%), но возможно. Анализ экономической ситуации в России показывает, что совершенно реально уже в 2004 г. достичь годового объема инвестиций 80-100 млрд. долл. при величине ПИИ хотя бы 12-15 млрд. долл. Одним из основных направлений инвестирования должны быть фундаментальные научные исследования и разработка на их основе принципиально новых (прорывных) наукоемких технологий производства товаров и услуг. Сейчас Россия еще реально способна бороться за приоритет 12-17 наукоемких технологий из тех примерно 50, которые определяют стратегический потенциал развитых стран. Распад СССР сократил экспорт российской наукоемкой продукции примерно в 10 раз. Если в начале 1990-х гг. доля России в мировом объеме заявок на изобретения составляла 16,2%, а выданных патентов — 33,4 %, то к концу десятилетия доля заявок на изобретения снизилась в 6,6 раза (2,9%), а патентов — почти в 13 раз (2,6%). Объем нашего внутреннего рынка инновационной продукции составляет всего лишь 40 млн. долл. Это чрезвычайно мало ( Встает вопрос, чего в России сегодня недостает: нет достаточного количества и качества наукоемких инновационных технологий, способных успешно конкурировать на соответствующих мировых рынках, внедрения соответствующих средств? Представляется, что пока есть и то и другое. А вот чего нет, так это проведения российским правительством в жизнь последовательной государственной инновационной политики в сфере экономики. И это при том, что задача развития отечественной науки и технологий отнесена Президентом РФ к числу высших приоритетов Российского государства и имеются основательно разработанные и одобренные на совместном заседании Совета Безопасности РФ, президиума Государственного совета и Совета при Президенте РФ по науке и высоким технологиям и утвержденные Президентом РФ 30 марта 2002 г. документы: «основы политики Российской Федерации в области развития науки и технологий на период до 2010 года и дальнейшую перспективу» (№ Пр-576), «Приоритетные направления развития науки, технологий и техники Российской федерации» (№ Пр-577), «Перечень критических технологий Российской Федерации» (№ Пр-578).[4,182] Если по объему ВВП в 2000 г. Россия находилась на 9-м месте в мире, то по инновационной политике — на 52-м, по использованию новых технологий – на 60-м, по индексу конкурентоспособного роста — на 63-м (табл. 1.6). По уровню жизни населения в 2002 г. она занимает 60-е место среди 173 стран мира (табл. 1.2). Это катастрофически низкие показатели для России. Таблица 1.2. Внутренние затраты на исследования и разработки, численность и рейтинг по уровню жизни населения в России и странах ОЭСР среди 173 стран мира в 2002 г. [1, 20]
В табл. 1.2 приведены также численность населения, внутренние затраты на исследования и разработки (ИР) в государствах Организации экономического сотрудничества и развития (ОЭСР) в 2002 г. Видно, что по объему финансирования исследований и разработок Россия занимала последнее место среди стран «восьмерки» и находилась на последних местах среди стран ОЭСР. Едва ли положение резко изменилось за последний год. Из табл. 7 видно, что внутренние затраты на исследования и разработки в расчете на душу населения в России в 11,3 ниже, чем в Швеции, в 10,2 раза ниже, чем в США, в 9,17 ниже, чем в Финляндии, в 8,3 раза ниже, чем в Японии, и даже ниже, чем в Италии, в 2,72 раза. При сравнении данных табл. 6, 7 и 8 видна определенная корреляция между объемом финансирования научных исследований, рейтингами инновационного и экономического развития и уровнем жизни населения. Что касается средств, выделяемых на исследования и разработки из государственного бюджета, то по этим показателям картина примерно такая же (табл. 1.3): в расчете на душу населения Россия вновь находится в конце списка стран ОЭСР. Таблица 1.3.
Кроме того, российские ученые и специалисты активно уезжают из страны. Это происходит, прежде всего, из-за низкой заработной платы, отсутствия необходимых условий для научно-исследовательской работы (недостатка современных приборов и оборудования, зарубежной и отечественной научной литературы и т. п.) и др. Заработная плата ученых за рубежом, даже с учетом патента покупательной способности валют, в десятки раз выше заработной платы ученых такого же уровня в России. Так, в США заработная плата молодых специалистов с ученой степенью магистра по специальностям «химия», «химическая технология» составляет 3000-4000 долл. в месяц, в области космонавтики и аэронавтики до 35000 долл. в месяц; молодые доктора наук получают 4000-5000 долл. в месяц. В табл. 4 приведены данные по общей численности, а также в расчете на 10 000 человек экономически активного населения персонала, занятого исследованиями и разработками, и исследователей из них. Как видно из таблицы, Россия по общей численности персонала находится на 1-м месте среди стран ОЭСР, по численности исследователей — на 3-м месте и по общей численности персонала в расчете на 10 000 человек экономически активного населения занимает 3-е место (с учетом данных для США эти благоприятные для России показатели ухудшатся на единицу). А вот по числу исследователей на 10 000 человек экономически активного населения Россия занимает 10-е место и существенно отстает от Финляндии, Швеции, Японии, США и др. инновационно активных стран. А ведь именно эта категория работников научно-технической сферы играет ведущую роль в развитии науки и технологий. В связи с этим настораживает одна из рекомендаций Международной комиссии ОЭСР, выданная в 1994 г. для Правительства России в «Оценочном докладе по научно-технической и инновационной политике Российской Федерации», о целесообразности дальнейшего снижения численности ученых и техников, а также научных организаций, занятых в сфере науки России, с целью приведения в соответствие ресурсов, направляемых для развития науки, с экономическими возможностями страны. На самом деле для форсированного инновационного развития экономики России необходимо в самое ближайшее время не только компенсировать потери в кадровом потенциале, допущенные в 1990-х годах, но и укрепить его. В частности, число исследователей должно быть увеличено, по крайней мере, в 1,5-2 раза по сравнению с ныне существующей численностью. Таблица 1.4 Персонал, занятый исследованиями и разработками, в России и странах ОЭСР (в эквиваленте полной занятости). Данные по России представлены за 2002 г., по другим странам (из-за отсутствия данных) за 1998, 1999, 2000 или 2001 гг.[1,23]
Число исследователей в России продолжает снижаться. Только за последние 10 лет Россию покинуло около 7 млн. человек, в основном, специалисты с высшим образованием. Среди них, по оценке Центра исследований статистики и науки (ЦИСН), за период 1995-2002 гг. заграницу уехало 10,4 тыс. ученых из сферы «Наука и научное обслуживание». Разумеется, уехали не худшие кадры. Уехал даже Нобелевский лауреат. В стратегическом плане Российское государство от эмиграции квалифицированных специалистов потерпело убытки в размере сотен миллиардов долларов США и, следовательно, на эту же сумму оказало гуманитарную помощь зарубежным странам в развитии науки и экономики. Если бы вложить эти деньги в российское образование, науку и инновации, то Россия пошла бы резко в гору в социально-экономическом развитии. Слабое финансирование НИОКР привело к тому, что доля России на мировом рынке наукоемкой продукции составляет мизерную величину (0,13%). Она в 192 раза меньше, чем доля США, в 84,6 раза меньше, чем доля Японии, и в 15,4 раза ниже, чем доля Китая (табл. 1.5). Даже если учесть разницу в численности населения стран, то картина качественно не изменится. Таблица 1.5 Доля наукоемкой продукции некоторых стран на мировых рынках
Снижение финансирования фундаментальных исследований привело к снижению инновационных технологических разработок в России. В 1997 г. (ситуация к настоящему времени существенно не изменилась) удельный вес затрат на технологические инновации даже на инновационно активных промышленных предприятиях России был очень мал (3,2%) по сравнению с общими затратами, хотя удельный вес инновационной продукции на этих предприятиях составлял 15,6% (для сравнения: на фирме «Сименс» в США эта величина в настоящее время составляет около 70%). Эти данные говорят о том, что производство инновационной продукции почти в 5 раз экономически выгоднее, чем производство «традиционной» для данного предприятия продукции. На предприятиях с иностранным участием этот показатель еще выше (в 8,4 раза). Таким образом, наиболее эффективный путь развития российской промышленности как основы экономики — это перевод промышленности на инновационно-технологический путь развития. [1,23-25] Чтобы реализовать инновационно-технологический путь развития России, необходимо разрабатывать свои, принципиально новые технологии по всем видам экономической деятельности на основе новых знаний, добытых в результате фундаментальных научных исследований, и внедрять их в опытное, серийное или промышленное производство или (что хуже) покупать чужие технологии. Для этого в субъектах Российской Федерации должны быть созданы и развиты региональные инновационные структуры как составные части национальной инновационной системы России, которые могли бы оказывать исследователям, разработчикам, менеджерам, властным структурам, всем, кто, так или иначе, связан с инновационно-технологической деятельностью, следующие услуги: информационные, организационные, инвестиционные, экспертные, консалтинговые, юридические, аудиторские и образовательные. При производстве и реализации инновационной продукции предприятиям на определенный начальный период должны быть предоставлены налоговые льготы, стимулирующие их инновационную деятельность. Должна быть развита система подготовки и переподготовки научных, инженерно-технических и рабочих кадров. Российская система высшего образования за годы экономических реформ не ухудшила своих показателей по численности студентов. Напротив, их число увеличивается из года в год. По численности студентов, аспирантов и докторантов в расчете на 10 000 человек населения Россия «окружена» такими развитыми странами, как Великобритания и Франция, но отстает в 1,8 раза от Финляндии и в 1,62 раза от США. Однако в качественном отношении уровень подготовки российских специалистов с высшим образованием (за исключением специалистов по теоретическим дисциплинам) традиционно остается ниже уровня подготовки соответствующих специалистов в европейских странах. Это является следствием, прежде всего, слабой технической оснащенности вузов России. Кроме того, вопреки распространенному в России мнению доступность образования в России на самом деле остается одной из самых низких среди 30 стран ОЭСР. Главными причинами этого явления по-прежнему остаются низкое финансирование образования в России (относительно ВВП (около 3% в 1999 г.) — оно самое низкое среди стран ОЭСР) и крайне низкие доходы большей части российского населения. Негативное влияние этих причин на уровень профессионального образования населения в будущем трудно представить, а главное — это положение трудно будет исправить. За годы реформ уже потеряно целое поколение профессорско-преподавательского состава в вузах, поколение ученых и специалистов, потеряна преемственность в научных исследованиях и преподавании, разрушены многие блестящие научные и научно-педагогические школы. Чтобы успешно продвигаться по инновационно-технологическому пути развития экономики России, все эти потери должны быть восполнены в ближайшие годы. К счастью, у нас все еще пока имеются возможности сделать это при необходимой политической воле руководства страны и поддержке населения. На данном этапе Российское государство обязано радикально (в несколько раз) увеличить государственное финансирование системы высшего образования в рамках Министерства образования и науки РФ с его университетами, институтами и научно-исследовательскими подразделениями в вузах. Государство обязано поддержать Российскую академию наук с ее исследовательскими институтами в стремлении быть лидером не только в области фундаментальных научных исследований, но и в создании на базе этих институтов государственных академических университетов и интеграции науки и высшего образования. Необходимо помнить, что и сейчас, в трудные для России годы, фундаментальные научные исследования, особенно в области естественных наук, держатся, главным образом, на академических государственных учреждениях с их высоким интеллектуальным потенциалом. К делу развития и финансирования профессионального (не только начального и среднего, но и высшего) образования и исследований в области естественных и гуманитарных наук должны подключиться регионы страны с их региональными бюджетами.[4,149] В табл. 6 приведены некоторые параметры экономического и социального развития России и их рейтинги среди других государств мира. Как видно, Россия занимает 1-е место по величине территории, 7-е место по численности населения, 1-е место по объему природного капитала в расчете на душу населения. Россия имеет 99,6% грамотного населения. Россия — одна из немногих стран мира, имеющая столь благоприятные «природные» параметры для своего экономического процветания. На самом деле в настоящее время в экономическом отношении она находится, как следует из данных табл. 20, на обочине европейской цивилизации. Уже около 15 лет Россия стремится построить социально ориентированную рыночную экономику. Пока имеем весьма скромные результаты и рост ВВП всего лишь около 7%. Это обусловлено, прежде всего, непоследовательностью и серьезными ошибками в проведении экономических реформ, грабительской приватизацией государственной собственности, чудовищной коррупцией в органах государственной власти и управления, мощным оттоком капитала за границу, низкой инвестиционной привлекательностью России для отечественных и иностранных инвесторов, резким снижением финансирования образования, фундаментальных и прикладных научных исследований, отсутствием развитой национальной инновационной структуры и др. Однако, эти негативные явления могут и должны быть исключены при соответствующей политической воле руководства страны. Властные структуры обязаны, наконец, обеспечить приоритетное вложение средств в образование и науку (т. е. в знания), в разработку и внедрение инновационных (прорывных) наукоемких (особенно информационных) технологий в машиностроение, приборостроение, перерабатывающие отрасли промышленности и сельского хозяйства, легкую промышленность, медицину и др., в закупку новейших технологий за рубежом. Таблица 1.6 Некоторые параметры экономического и социального развития России [1,27]
Для этого необходимо эффективно использовать доходы от сырьевых отраслей экономики, природную ренту, золотовалютные резервы, внебюджетные фонды. Стабильная макроэкономическая политика государства, открытость международной торговли, надлежащее управление, учреждения, свободные от коррупции и чрезмерного бюрократизма, а также развитая рыночная инфраструктура — все это будет способствовать улучшению инвестиционного климата в России, усилению притока иностранных инвестиций и обеспечит инновационный путь развития экономки как основы процветания нашей страны. 2. Практическая часть 2.1. Краткая характеристика предприятия ОАО «Стройматериалы» Полное и сокращённое наименование предприятия: открытое акционерное общество «Стройматериалы» – ОАО «Стройматериалы». Дата регистрации предприятия: В 1992 году комбинат переименован в Акционерное Общество Открытого Типа «Стройматериалы», с 1996 года – Открытое Акционерное Общество «Стройматериалы». Почтовый и юридический адрес предприятия: 308023 г. Белгород ул. Студенческая, 1 Тел.: (0722) 34-31-98 коммерческий отдел Тел.: (0722) 34-31-64 отдел сбыта Факс:(0722) 26-64-13 Е-mail: sales@aosm.belgorod.ru Подчиненность предприятия: общему собранию акционеров, которое в свою очередь создало следующие органы управления акционерным обществом: – наблюдательный совет – генеральный директор Вид деятельности: производство строительных материалов. Включено в государственный реестр РФ предприятий-монополистов: - федеральный: не включено; - местный: не включено. Организационно-правовая форма предприятия: открытое акционерное общество. Форма собственности: акционерная. Организация осуществляет операции через БелгородПромстройбанк и Внешторгбанк Производственная структура ОАО «Стройматериалы»
Также в состав предприятия входят участки: электроучасток, строительный участок, АСУП и ТП, лаборатория, заводоуправление.
Рис. 2.1 выпуск товарной продукции по цехам за 2005 год Организационная структура предприятия: представлена в Приложении 1 Характеристика продукции ОАО «Стройматериалы» специализируется на производстве силикатного кирпича, строительной извести; извести для кожевенной промышленности, мела для производства комбикормов и минеральной подкормки с/х животных и птицы, мела технического; теплоизоляционных плит автоклавного твердения; мелких стеновых блоков; шпаклевок; смесей; мастики «Тегерон» и «Гемаст». Мастика герметизирующая морозостойкая строительная «Тегерон» предназначена для герметизации закрытых вертикальных стыков наружных стен и для уплотнения мест примыкания оконных и дверных блоков к элементам стен жилых и общественных зданий, в том числе в районах Крайнего Севера. Мастика герметизирующая нетвердеющая «Гемаст», предназначена для герметизации стыков стекла (стеклопакетов, панелей из органических светопрозрачных материалов) и элементов ограждений теплиц, выполненных из алюминия и оцинкованных стальных профилей. Высокое содержание в меле карбоната кальция позволяет широко применять его как наполнитель в лакокрасочной, полимерной, резинотехнической промышленности, строительстве и производстве строительных материалов. Плиты теплоизоляционные и блоки из ячеистых бетонов стеновые мелкие, выпускаемые предприятием, улучшают теплоизоляционные свойства наружных стен, известь, как вяжущее средство, применяемая в этих изделиях обеспечивает пористость, позволяющую дышать стенам. Для приготовления растворов, вяжущих материалов для производства строительных материалов предприятие предлагает известь строительную. В кожевенной промышленности широко применяется известь комовая. Для известкования почв и санитарной обработки помещений для животных и птиц предлагается мука известняковая, а для производства комбикормов и минеральной подкормки сельскохозяйственных животных и птиц –природный молотый мел. Основным материалом в строительстве в Белгородской области является силикатный кирпич, выпускаемый предприятием более 40 лет. За годы работы выпущено 4281318 тыс. шт.условного кирпича. Рядовой силикатный кирпич - эффективный высокопрочный и долговечный материал. Относится к группе автоклавных вяжущих материалов. Применяется для кладки каменных и армокаменных конструкций внутренних стен зданий и сооружений в гражданском и промышленном строительстве. Благодаря низкой стоимости, в последнее время, является идеальным материалом при возведении садовых построек, гаражей и декоративных силикатных заборов. Применение лицевого силикатного кирпича позволяет воплотить в жизнь самые оригинальные и необычные решения дизайнеров и архитекторов при оформлении фасадов зданий, садовых дорожек и малых архитектурных форм. Хорошее сочетание лицевого силикатного кирпича с деревянными и металлическими конструкциями позволяет использовать его и при реставрации обветшалых старых зданий, отдельных частей, придавая им привлекательный внешний вид. На рис. 2.2 показан выпуск продукции (в действующих ценах без налога на добавленную стоимость) ОАО «Стройматериалы» за последние три года.
На протяжении последних лет в ОАО «Стройматериалы» наблюдается рост объемов продукции, так если в 2003 г. предприятие выпускало продукции на 122493 тысячи рублей в год, то к концу 2005 г. эта величина увеличилась более чем на 60 тысяч рублей в год. Основные каналы сбыта За отчетный период с 1 января по 31 декабря 2005 года ОАО «Стройматериалы» заключило 295 договоров, из них 186 по России, 67 со странами СНГ, Ближнего Зарубежья – это Украина, Молдавия, Казахстан, Азербайджан, страны Прибалтики, 72 бартерных договора. Основная часть продукции ОАО «Стройматериалы» поставляется на рынок Белгородской области. Кирпич силикатный, производимый на ОАО «Стройматериалы» реализуется в основном в Белгородской области, мел и известь известны почти во всех регионах России, а также в странах ближнего зарубежья. Известь ОАО «Стройматериалы» с удовольствием покупают не только строители, ведь она отличается особой химической чистотой, и спектр ее использования - от обувной промышленности до электролизных процессов в металлургии. И как подтверждение вышесказанному, известь строительная признана лауреатом программы «100 лучших товаров России» в 2003 году. Сухие смеси реализуются в г. Белгороде, Белгородской области, в г. Курске и в Республике Татарстан. Потребителями продукции ОАО «Стройматериалы» являются преимущественно юридические лица. Основными заказчиками силикатного кирпича являются «Фонд развития жилищного строительства и социальных инвестиций г Белгорода», УКС г.Белгорода и области, ГУП «Белгородский областной фонд поддержки индивидуального жилищного строительства», ЗАО «Белгородгородстрой-Плюс», ООО»Спако-Инвест», ЗАО «Белгороджилстрой», строительные организации г. Белгорода. Заказчиками извести являются: силикатные заводы Черноземья, Орловский завод силикатного кирпича, предприятия Украины: «Мотор-сич», Старооскольский завод строительных материалов, Новочеркасская ГРЭС. Мел востребован в химической промышленности Россия, а также предприятиями Украины: «Зип», «Фелона». Юридические лица, как правило, приобретают кирпич непосредственно с завода, 90% сделок осуществляется по безналичному расчету. Частные лица приобретают кирпич самостоятельно или опосредованно – через подрядчиков, оплата производится наличными средствами. Цены на продукцию при безналичном расчете на 5-7% ниже, чем при расчетах наличными средствами. Одной из главных целей является сохранение существующих клиентов и привлечение новых, при этом руководствуясь принципом «покупатель всегда прав», вежливость с клиентами. Знание своих клиентов является залогом получения информации относительно их нужд и потребностей. Конкуренция Рынок сейчас действительно насыщен и конкуренция на нем очень высокая. Пусть остальные производят, может, не такой спектр наименований продукции, как ОАО «Стройматериалы», но производят. И покупателя надо отвоевывать каждый день. Так что, во-первых, предприятие старается наращивать свое основное преимущество, которое заключается в том, что строители могут на одном предприятии, закупить все необходимое. Во-вторых, держит баланс в соотношении цены и качества. Первая должна быть как можно ниже, второе - на высоком уровне. И, в-третьих, всегда необходимо поддерживать порядочные отношения с заказчиком, работая с ним предельно корректно и удобно для него. А это и осуществление поставок в строго определенные сроки, стабильность в выполнении своих обязательств, деловая репутация, без которой сегодня на рынке не удержаться, тем более в такой области, как Белгородская, имеющей хорошие традиции делового партнерства. На предприятии постоянно отрабатываются различные схемы взаимодействия с потребителями. Одних только крупных потребителей, которые в год закупают у предприятия продукции на сумму не менее 500 тысяч рублей - больше сотни. Основными конкурентами ОАО "Стройматериалы" являются: · ОАО «Завод ЖБК-1» (продукция конкурент – камни бетонные стеновые); · ООО «ЗСК – ОЭМК» г. Старый Оскол; · ЗАО "Шебекинский мелзавод" г. Шебекино; · ОАО «Мелстром» · ОАО «Руслайм» · Завод силикатного кирпича (ЗСК) треста «Рудстрой» ОАО «ЛГОК» г. Губкин; · ЗАО «ВКСМ» г. Воронеж. Технико-экономический и финансовый анализ Технико-экономические показатели, которые характеризуют финансовое состояние предприятия, предоставим в виде таблице (табл. 2.1) Таблица 2.1 Основные показатели финансово-хозяйственной деятельности ОАО «Стройматериалы» за 2003 – 2005 годы
Сравнивая показатели финансово-хозяйственной деятельности ОАО «Стройматериалы» за 2004 – 2005 годы можно сказать, что объем производства продукции как в действующих, так и в сопоставимых ценах увеличился на 20,44% и 9,67% соответственно. Увеличение объёма производства главным образом произошло по причине стабилизации рынка сбыта в Белгородской области для силикатного кирпича, для остальных видов продукции – другие регионы России и ближнее зарубежье. В связи с этим выручка от реализации продукции, а следовательно и прибыль от продаж также возросли на 17,21% и 50,07% соответственно. Снижение среднесписочной численности работающих на 0,2% не оказало существенного влияния на деятельность предприятия, так как производительность труда одного работающего увеличилась на 17,43 %. Это позволило повысить заработную плату на 19,76% в год, в результате чего фонд заработной платы увеличился на 19,51%. Одно из основных направлений повышения доходности предприятия есть снижение себестоимости продукции, что является важным фактором роста накоплений и создает благоприятные условия для увеличения объема продаж. Себестоимость продукции - выраженные в денежной форме затраты всех видов ресурсов, используемых для изготовления продукции, а также для сохранения или улучшения условий производства продукции. Представим в таблице 2.2. расходы по обычным видам деятельности Таблица 2.2. Расходы по обычным видам деятельности
Таблица 2.3. Затраты на рубль товарной продукции, руб.
Анализируя данные таблиц 2.2. и 2.3. можно заметить, что в 2005 году по сравнению с 2003 годом общая себестоимость увеличилась, в основном за счет прироста материальных затрат, затрат на оплату труда и прочие затраты. Эти изменения произошли за счет увеличения объема производства, а так же ряда других причин. В 2005 году затраты на рубль товарной продукции снизились по сравнению с 2004 годом на 20,42%, по сравнению с 2003 годом на 19,17%. Оценка прибыльности предприятия Для определения прибыльности предприятия необходимо оценить изменения в динамике чистой и валовой прибыли. Таблица 2.4. Показатели прибыльности предприятия за 2003 –2005 год
Анализируя данные таблицы, можно сделать вывод о том, что с увеличение затрат в 2005 году, прибыльность затрат возросла на 3,67% по сравнению с 2004 годом. Прибыльность продаж также возросла на 1,42% за эти три года. Чистая прибыль предприятия в 2005 году возросла в 4,99% по сравнению с 2004 годом. Рентабельность — это степень доходности, выгодности, прибыльности бизнеса. Она измеряется с помощью целой системы относительных показателей, характеризующих эффективность работы предприятия в целом, доходность различных направлений деятельности (производственной, коммерческой, инвестиционной и т.д.), выгодность производства отдельных видов продукции и услуг. Показатели рентабельности более полно, чем прибыль, характеризуют окончательные результаты хозяйствования, потому что их величина отражает соотношение эффекта с вложенным капиталом или потребленными ресурсами. Их используют для оценки деятельности предприятия и как инструмент в инвестиционной политике и ценообразовании. Рассчитаем показатели рентабельности и результаты сведем в таблицу 2.5. Таблица 2.5. Оценка показателей рентабельности
Исходя из данных таблицы, можно сделать вывод, что в 2004 году наблюдается резкое снижение рентабельности реализованной продукции, собственного капитала и рентабельности производства по сравнению с 2003 годом. Это произошло за счет резкого снижения чистой прибыли более, чем в 4 раза. За счет увеличения прибыли от продаж увеличилась рентабельность основных фондов и рентабельность продаж в 2005 году. Остальные показатели показывают, что прибыльность хозяйственной деятельности в 2005 году также увеличилась по сравнению с 2004 годом. Наличие и движение основных фондовДля обобщающей характеристики интенсивности и эффективности использования основных средств служат показатели: # Фондоотдача – показывает, какое количество продукции приходится на один рубль основных фондов. # Фондоёмкость – это показатель обратный фондоотдаче, который показывает стоимость основных фондов приходящихся на один рубль выпускаемой продукции. # Рентабельность производственных фондов по прибыли до налогообложения – это отношение прибыли до налогообложения к ОПФ. Показатели эффективности использования ОФ сведем в таблицу 2.6.: Таблица 2.6. Анализ эффективности использования основных фондов
Анализируя показатель фондоотдачи, выявилось, что в 2005 году на 1 руб. ОПФ приходилось 1,53 руб. товарной продукции. Фондоотдача в 2005 году по сравнению с 2004 годом увеличилась на 15,04%, а по сравнению с 2003 годом на 33,04%. Это прежде всего связано с увеличением объема выпускаемой продукции. В 2005 году фондоёмкость составила 0,65 руб./руб., это значит, что для производства 1 ед. продукции понадобится 0,65 руб. ОПФ, в 2004 – 0,75 руб./руб., а в 2003 году – 0,87 руб./руб. Такое увеличение фондорентабельности (в 2005 году этот показатель увеличился по сравнению с 2004 годом на 378,5%, а с 2003 годом на 92,77%) говорит о том, что ОАО «Стройматериалы» увеличило показатель прибыли, что явилось причиной более устойчивого финансово-хозяйственного состояния предприятия Оценка инновационного потенциала предприятия за 2005 годДля определения финансовой устойчивости рассчитаем трехкомпонентный показатель. Таблица 2.7. Расчет трехкомпонентного показателя типа инновационного потенциала, тыс. руб.
Исходя из расчета трехкомпонентного показателя типа инновационного потенциала можно сделать вывод о том, что ОАО «Стройматериалы» в данный момент имеет низкий уровень инновационного потенциала. Для реализации стратегии инновационного развития требуется привлечение значительных финансовых средств из внешних источников. 2.2. Характеристика инновационной деятельности на предприятии ОАО «Стройматериалы» г. Белгорода с момента своего образования является одним из крупнейших производителей строительных материалов в области и за ее пределами. На предприятии происходит постоянное освоение новых строительных материалов. В 2002 году на предприятии были установлены новые фильтры очистки воздуха и отходящих газов, рассчитанные на улавливание до 44 тонн примесей в год. Затраты на приобретение и установку фильтров составили 1198 тыс. руб. Результатом внедрения очистных сооружений является улучшение экологической обстановки в стране. С 1 марта 2004 года запущена в эксплуатацию линия по производству новых высококачественных сухих строительных смесей. Предлагаются новые виды продукции: - шпаклевки: универсальная, финишная универсальная и финишная белая, гипсовая «стандарт»; - штукатурные смеси: немодифицированная и универсальная; - клей плиточный «Стандарт», клей для ячеистого бетона, плиточный «керамогранит» и многое другое. Тот спектр смесей, который теперь выпускается в ОАО «Стройматериалы», позволяет вести все работы, начиная от кладочных и заканчивая отделочными. Сейчас появилось новое перспективное направление - монолитно-каркасное домостроение. При нем не требуются несущие стены, а нужны ограждающие конструкции. В них больше применяется пенобетон с утеплителем или оштукатуриванием, а также лицевой кирпич. Так как потребление последнего сейчас не увеличивается, предприятие работает не только над улучшением его качества, но и над созданием линии по производству цветного лицевого кирпича. Осенью 2006 года произойдет запуск немецкого пресса для производства окрашенного кирпича. Планируемый объем производства – 3 млн.усл.кир. в год. Стоимость пресса – 30 млн. руб. с монтажом. ОАО «Стройматериалы» также освоил технологию производства высокодисперсного мела, качество которого будет измеряться микронами. Это мел самого высокого класса. Главная проблема предприятия на сегодня – стабилизировались цены на энергоносители. Второй сдерживающий фактор - лимиты на природный газ. На предприятии были проведены работы по монтажу и запуску линии сухих смесей, реконструкция газоочистных установок и монтаж линий по производству высокодисперсного мела мокрым способом. Готовится проект теплообменника для вращающейся печи, что позволит снизить расход газа при производстве извести. Совместные проекты по выполнению исследований и разработок за последние годы не осуществлялись. Также не происходили изменения в организации и управлении предприятием. К факторам, препятствующим внедрению инноваций на ОАО «Стройматериалы» можно отнести: - Нехватка средств; - Недостаток финансовой поддержки со стороны государства; - Высокая стоимость нововведений; - Невосприимчивость предприятия к нововведениям; - Длительные сроки окупаемости нововведений в связи со спецификой продукции и наличием высокой степени риска; - Низкий инновационный потенциал организации; - Неразвитость рынка технологий и недостаток соответствующего информационного обеспечения, как о новых технологиях, так и о рынках сбыта; - Несовершенство законодательства в области инновационной деятельности. Предприятию, хотелось бы обновить производство современным оборудованием. Но его директору, понимая, что предприятие является неотъемлемой частью строительного комплекса, приходится думать не только о том, как отразится техническое перевооружение на себестоимости собственной продукции, но и в конечном счете на себестоимости одного квадратного метра жилья. Поэтому нужно приобрести оборудование подешевле в России, не уступающее по своим характеристикам зарубежным аналогам. 2.3.Комплексная характеристика нововведения Переход к свободной конкуренции в нашей стране и зависимость спроса на продукцию от экономического положения в стране поставили ОАО «Стройматериалы» в сложные условия, что сразу же отразилось на его финансовых показателях: к 1998 году более чем в два раза сократился объём реализации, упали, объём прибыли и рентабельность, понизилась финансовая устойчивость предприятия. Однако уже к 2000-му году финансовое положение предприятия стабилизировалось. Исследовав новые рынки, оценив экспортный потенциал предприятия, можно сделать вывод о востребованности продукции ОАО «Стройматериалы» как на внутреннем, так и на внешнем рынке. С целью повышения конкурентоспособности продукции предприятия, объемов получаемой прибыли, доли, занимаемой предприятием на рынке можно предложить ряд мероприятий: 1. Производство кирпича силикатного одинарного лицевого со сколотым ложком и тычком. 2. Приобретение нового оборудования для упаковки зернистых порошкообразных сыпучих материалов. Проект 1. Кирпич силикатный одинарный лицевой со сколотым ложком и тычком. ОАО «Стройматериалы» - крупный и успешно развивающихся в России производитель современных строительных материалов. Среди специалистов строительной промышленности завод зарекомендовал себя как надежный партнер, гарант стабильности производства. ОАО «Стройматериалы» всегда стремится улучшить свои позиции на рынке: выпускает высококачественную продукцию, осваивает новые технологии, завоевывает новые рынки как отечественные, так и зарубежные. Предприятие модифицирует характеристики своих изделий, прежде всего такие, как уровень качества и свойства, чтобы привлечь новых пользователей и интенсифицировать потребление. На основании качественного и количественного анализа производственно-хозяйственной и финансовой деятельности предприятия оценки конкуренции и конкурентоспособности кирпича силикатного одинарного на рынке можно сделать вывод о том, что основным направлением повышения конкурентоспособности продукции на данном рынке являются изменения в дизайне: кирпича силикатного одинарного лицевого со сколотым ложком и тычком. Кроме того, аналогичная продукция конкурентов уже нашла спрос на рынке Европы, в то время как одинарный лицевой кирпич пользуется все меньшей популярностью среди потребителей, особенно в частном секторе. Кроме того, для изготовления данного вида продукции не требуются огромные капиталовложения. Предприятие может приобрести агрегат для изготовления фасадного околотого кирпича. Технический аспект Кирпич силикатный одинарный лицевой со сколотым ложком и тычком применяется для облицовки стен зданий и сооружений. Использование рельефного кирпича в отделке создает иллюзию стены, выложенной из дикого камня. Основные характеристики: Размеры, мм – 250 х 120 х 65 Предел прочности при сжатии, кгс / см2 М 150 – 150 Морозостойкость, цикл не менее – 25 Плотность кирпича, кг/м3, свыше – 1650 Водопоглощение, %, не менее – 6 Суть предлагаемого мероприятия состоит в том, что с помощью специального агрегата производится околка кромки стандартного силикатного кирпича с целью придания ему лучших декоративных свойств. Процесс механизирован и требует дополнительных финансовых вложений и людских затрат. Производительность агрегата составляет до 15 кирпичей в минуту. Установленная мощность агрегата – 2,2 кВт. Это поможет предприятию в достижении поставленных целей: # увеличения ассортимента как минимум на десять наименований за счет различной структуры околки кирпича; # увеличение объема продукции и рынка сбыта, за счет привлечения новой группы покупателей – частных застройщиков. Организационный аспект Создание и реализация данного инновационного проекта будет включать следующие этапы: · выбор и предварительное обоснование инвестиционного замысла (идеи); · технико-экономическое обоснование проекта; · подготовку научно-исследовательской и проектной документации; · закупка и монтаж необходимого оборудования; · подготовка и запуск производства; · организация сбыта. Для осуществления процесса производства необходим найм и подготовка дополнительных 9 рабочих. Экономический аспект При производстве околотого кирпича исходным сырьем является стандартный силикатный кирпич, производимый ОАО «Стройматериалы». Таким образом, сырьевые расходы связаны только с увеличением объемов производства силикатного кирпича. Для производства околотого кирпича необходимо приобретение дополнительного оборудования: агрегата для изготовления фасадного околотого кирпича (2 шт.). Его стоимость составляет 70 000 руб. Для реализации предложенного мероприятия ОАО «Стройматериалы» необходимо дополнительно затратить 1434,0 тыс. руб. на оборотные средства и 140 тыс. руб. покупку оборудования. Необходимые средства предприятие намерено взять в кредит. Срок реализации проекта – 5 лет. Период возврата инвестиций – 4 года. Предполагаемая цена на 25% больше от стоимости обычного силикатного кирпича. Проект 2. Приобретение нового оборудования для упаковки зернистых порошкообразных сыпучих материалов. Технический аспект В рамках реализации инновационной деятельности ОАО «Стройматериалы» планирует усовершенствовать схему упаковки сыпучих порошкообразных материалов. Для этого предусматривается приобретение и установка на предприятии дополнительного оборудования «Вселуг Турбо1П» мощностью 10 тыс. тонн фасованных сыпучих материалов в год. ВСЕЛУГ Турбо1П - фасовочная машина с турбинной подачей предназначена для упаковки сыпучих аэрирующихся продуктов (цемент, известь, гипс) в клапанные мешки емкостью от 10 до 50 кг с максимальной скоростью 300…400 упаковок в час, что в 1,5 раза превышает производительность старого оборудования. С увеличением производства сухих смесей на предприятии возникла необходимость ускорения их расфасовки. Старое оборудование перестало справляться с этой задачей, поэтому целесообразно приобрести новую фасовочную машину. К тому же новое оборудование позволяет добиваться экономии на электроэнергии, уменьшается просып сыпучих материалов. Расфасовка производится в новые клапанные мешки, которые позволяют увеличить срок хранения готовой смеси по сравнению со старыми мешками. Материал новых мешков надежно сохраняет сухие смеси от отсырения, к тому же высокие эстетические качества упаковки, привлекательный дизайн способствуют увеличению покупательной активности. Весовое дозирование брутто. В составе фасовочного комплекса 1 машина. Организационный аспект Этапы проекта: - выбор и предварительное обоснование инвестиционного замысла (идеи); - технико-экономическое обоснование проекта; - покупка оборудования; - подготовка производства; - запуск линии по фасовке в клапанные мешки емкостью от 10 до 50 кг. Экономический аспект Приобретение оборудования «Вселуг Турбо1П» повлечет за собой дополнительные расходы. Стоимость данного оборудования составляет 12 млн. руб. Для организации производства необходима переквалификация имеющихся операторов старой установки для работы на новом оборудовании «Вселуг», что не потребует расходов по оплате дополнительной рабочей силы. Рентабельность нового оборудования составляет 10-15%. Оборудование имеет меньшее энергопотребление, что позволяет снизить энергетические затраты. Качественный материал и способ упаковки облегчает условия хранения готовой продукции, что значительно снижает складские расходы, а также расходы, связанные с транспортировкой сухих смесей. Деньги, необходимые для приобретения оборудования ОАО «Стройматериалы» планирует взять в кредит, в связи с неустойчивой финансовой обстановкой на предприятии. Срок погашения кредита составляет 10 лет. 2.4. Обоснование и выбор проекта Для анализа сформированного портфеля нововведений и отбора проекта, предлагаемого для реализации в настоящей работе, следует выделить критерии с соответствующими показателями относительной значимости. Отбор проектов с помощью перечня критериев нацелен на выявление общего представления о проекте путем установления соответствия проектов каждому из перечисленных критериев. Критерии отбора проектов можно подразделить (условно) на следующие группы: - целевые критерии; - внешние и экологические критерии; - критерии реципиента, осуществляющего проект; - критерии научно-технической перспективности; - коммерческие критерии; - производственные критерии; - рыночные критерии; - критерии региональных особенностей реализации проекта и др. Процедура экспертизы проводилась методом балльных оценок. Таблица 2.8. Результаты экспертной оценки проектов
Далее произведем интегральную бальную оценку и оценку приоритетности проектов (табл. 2.9.) Таблица 2.9. Интегральная бальная оценка и оценка приоритетности проектов
Результаты проведенной экспертной оценки соответствуют, что наиболее приоритетным является проект №1, поэтому обоснование экономической эффективности будем проводить для первого проекта в следующем разделе данной работы. Но оценки, полученные таким образом, нельзя считать абсолютно достоверными, что связано с субъективностью экспертных оценок при определении значимости каждого из факторов и количественной оценки каждого проекта. Объективность выводов пришлось повысить, главным образом, за счет привлечения к проведению экспертизы независимых участников. 2.5. Обоснование эффективности инновационного проекта Предлагаемые сроки реализации проекта приведены в таблице 2.10. Таблица 2.10. Сроки реализации проекта
Составим производственную программу ОАО «Стройматериалы» по выпуску кирпича силикатного, так как согласно производственному плану предприятия за рассматриваемый и планируемый период (всего 4 года) намечается увеличение объемов выпуска околотого кирпича на 5% в 2009 годах, и на 12% в 2010 и в 2011 годах, по сравнению с 2008 годом. Таблица 2.11. Производственная программа
Для производства колотого кирпича необходимо приобретение дополнительного оборудования: агрегата для изготовления фасадного околотого кирпича (2 шт.). Его стоимость составляет 70 000 руб. Таблица 2.12. Потребность в основных фондах (тыс. руб.)
Как видно из таблицы прирост ОПФ необходим на сумму 140 тыс. руб., что составляет необходимые средства для покупки технологического оборудования. Таблица 2.13. Потребность в оборотном капитале
Так как происходит незначительное увеличение объема производства (на 12% к концу 2011 года), то прирост потребности в оборотном капитале минимален и его можно покрыть за счет прибыли от продаж. Величина инвестиций в оборотные средства рассчитывается по формуле:
где
Для реализации предложенного мероприятия ОАО «Стройматериалы» необходимо дополнительно затратить 1434,0 тыс. руб. на оборотные средства и 140 тыс. руб. покупку оборудования. Необходимые средства предприятие намерено взять в кредит. Вследствие дополнительного найма 9 рабочих на новую линию по сколке кирпича с заработной платой 5000 руб. для работы в три смены, возрастет количество основных рабочих по производству силикатного кирпича. Таблица 2.14. Фонд заработной платы
Амортизация основных фондов (
Однако отметим, что в производстве нового вида кирпича будет задействован не только приобретаемый агрегат, но и уже имеющееся оборудование, амортизация которого будет тоже входить в стоимость продукта. Поэтому амортизация всего оборудования участвующего в производстве составит 451,093 тыс. руб. в год Таблица 2.15. График погашения кредита, тыс. руб.
Величина кредита с учетом выплаты первоначального процента: % ставка = 15% Кредит и проценты по нему планируется вернуть в конце 2011 года. Предложим сводку затрат и калькуляцию плановой себестоимости околотого кирпича за планируемые годы выпуска. Калькулируемая единица – тыс. шт. усл. кирпича. Таблица 2.16. Плановая сводка затрат и калькуляция околотого силикатного одинарного лицевого кирпича
Таблица 2.17. Распределение инвестиций по элементам и годам осуществления проекта, тыс.руб.
Предлагаемое мероприятие требует всестороннего изучения и аргументации с точки зрения определения ожидаемых результатов и последствий их реализации. С этой целью проводится технико-экономическое обоснование (ТЭО). Это заключительная часть, где принимается окончательное решение о том, имеются ли коммерческие, технические, экономические и экологические предпосылки для реализации предложенной идеи. Основная цель ТЭО сводится к определению организационно-технических возможностей, предпринимательской целесообразности и экономической эффективности требуемых для реализации капитальных вложений. Составим план потоков для финансового планирования по 3-м видам деятельности проекта. Таблица 2.18. Расчет денежные потоки для финансового планирования, тыс. руб.
Данные расчетов показывают, что кумулятивная чистая текущая дисконтированная стоимость проекта значительно больше нуля, при ставке дисконтирования 21 % равна 19892,63 тыс. руб. Произведем расчет внутренней нормы доходности, она равна:
IRR = 21 + Выявленная внутренняя норма доходности достаточно велика, а это значит, что это тот максимальный процент, который может быть выплачен для мобилизации капиталовложений в проект предприятия. Индекс рентабельности определяется как отношение приведенных притоков (ЧДПt) к приведенным оттокам (Кк)
Полученный показатель больше нормативного (11,00 > 1), следовательно, данный проект можно принять. Это свидетельствует о том, что капитал, вложенный в проект возрастет в 11,06 раза, что ведет к хорошим финансовым результатам предприятия. Период возврата инвестиций:
Период окупаемости проекта: Ток=Твоз-Тин, Ток=1,32-1=0,32 года или 117 дней. Финансовый профиль проекта представляет собой графическое изображение динамики дисконтированного чистого денежного потока рассчитанного нарастающим итогом.
Рис.2.3. Финансовый профиль проекта. Результат нашего проекта, то есть интегральный экономический эффект составляет 19892,63 тыс. руб. при общих инвестициях 1692 тыс. руб., следовательно проект является эффективным. Необходимо так же сказать, что в результате реализации предложенного проекта предприятие сможет не только укрепить конкурентоспособность своей продукции (за счет расширения ассортимента и предложения покупателям новой продукции), но и получить большие объемы прибыли. 2.6 ЭКСПЕРТИЗА ИННОВАЦИОННОГО ПРОЕКТА И РАЗРАБОТКА МЕХАНИЗМА УПРАВЛЕНИЯ РИСКАМИ Экономическая экспертиза проекта предполагает проведение факторного анализа устойчивости и чувствительности инновационного проекта с целью определения “узких мест”. Наиболее подвержены изменениям и могут привести к срыву реализации данного проекта или существенному снижению его эффективности, следующие показатели: 1. Стоимость вводимого оборудования. 2. Стоимость сырьевых материалов. Произведем анализ влияния каждого фактора на наш проект. Исследуем устойчивость и чувствительность инновационного проекта по показателю «стоимость вводимого оборудования». Изменим стоимость вводимого оборудования в негативную сторону. Результаты изменения следующие: Таблица 2.19. Потребность в основных фондах (тыс. руб.)
Амортизация основных фондов (
Таблица 2.20. Расчет денежных потоков для финансового планирования, тыс. руб.
Из таблицы видно, что интегральный экономический эффект по проекту составляет 19861,62 тыс. руб. Произведем расчет внутренней нормы доходности, она равна:
IRR = 0,21+(19861,62/(19861,62+83,76))*(4,06-0,21)=404,38% Полученный результат расчета ВНД, превышающий коэффициент дисконтирования, используемый для расчета ЧДД проекта говорит о высокой экономической эффективности данного инновационного проекта.
Определим предельное негативное значение исследуемого параметра. Для этого приблизим значение NPV к 0. Таблица 2.21. Расчет денежных потоков для финансового планирования, тыс. руб.
Из таблицы видно, что близкое к 0 значение NPV принимает при стоимости оборудования равной 9123,00 тыс. руб. Определим уровень устойчивости/чувствительности проекта по данному показателю:
Таким образом, по показателю «стоимость вводимого оборудования» проект устойчив, нечувствителен и не рискован. Исследуем устойчивость и чувствительность инновационного проекта по показателю «стоимость сырьевых материалов». Изменим этот показатель в негативную сторону. Результаты следующие: Таблица 2.22. Плановая сводка затрат и калькуляция околотого силикатного одинарного лицевого кирпича
Таблица 2.23. Потребность в оборотном капитале
Величина инвестиций в оборотные средства :
Таблица 2.24. Расчет денежных потоков для финансового планирования, тыс. руб.
Из таблицы видно, что интегральный экономический эффект по проекту составляет 18408,32 тыс. руб. Произведем расчет внутренней нормы доходности, она равна:
IRR = 0,21+(18408,32 /(18408,32 +305,45))*(4,06-0,21)=399,72% Полученный результат расчета ВНД, превышающий коэффициент дисконтирования, используемый для расчета ЧДД проекта говорит о высокой экономической эффективности данного инновационного проекта.
Определим предельное негативное значение исследуемого параметра. Таблица 2.25. Потребность в оборотном капитале
Величина инвестиций в оборотные средства :
Таблица 2.26. Расчет денежных потоков для финансового планирования, тыс. руб.
Из таблицы видно, что значение близкое к нулю NPV принимает при стоимости сырьевых материалов равной 1283,36 руб./ед. Определим уровень устойчивости/чувствительности проекта по данному показателю:
Таким образом, по показателю «стоимость сырьевых материалов» проект устойчив, нечувствителен и не рискован. Результаты исследования устойчивости и чувствительности проекта по трем факторам сведем в обобщающую таблицу 2.27. Таблица 2.27. Результаты исследования устойчивости и чувствительности проекта по факторам
В результате проведенного исследования можно отметить, что при изменении исследуемых параметров на 10% проект устойчив и нечувствителен. Анализ рисков проекта не учтенных в расчетах представлен в таблице 2.28. Таблица 2.28. Анализ рисков проекта
Таким образом, наиболее высокую вероятность наступления имеют форс-мажорные обстоятельства, риск с возвратом кредита и риски, связанные с производством продукции, поэтому при осуществлении проекта этим факторам необходимо уделить особое внимание и своевременно принимать меры по их устранению. 2.7. ОРГАНИЗАЦИЯ РЕАЛИЗАЦИИ ПРОЕКТА В данном разделе необходимо привести календарный план реализации проекта (таблица 2.29.) и условия его прекращения (таблица 2.30.). Таблица 2.29. План реализации проекта
Таблица 2.30. Условия прекращения реализации проекта
Предлагаемым в таблице условиям прекращения проекта необходимо уделять огромное внимание, так как доведение проекта до условий прекращения нежелательно для любого предприятия, особенно на стациях предшествующих завершению. ЗАКЛЮЧЕНИЕ В настоящее время инновационная деятельность является одной из наиболее слабых звеньев в формировании рыночной инфраструктуры России, а это, в свою очередь, напрямую влияет на уровень конкурентоспособности отечественных товаров на внутреннем и внешнем рынке. Чтобы реализовать инновационно-технологический путь развития России, необходимо разрабатывать свои, принципиально новые технологии по всем видам экономической деятельности на основе новых знаний, добытых в результате фундаментальных научных исследований, и внедрять их в опытное, серийное или промышленное производство или покупать чужие технологии. Для этого в субъектах Российской Федерации должны быть созданы и развиты региональные инновационные структуры как составные части национальной инновационной системы России. В практической части проекта предлагается 2 проекта для предприятия ОАО «Стройматериалы»: производство кирпича силикатного одинарного лицевого со сколотым ложком и тычком и приобретение нового оборудования для упаковки зернистых порошкообразных сыпучих материалов. Учитывая особенности данного предприятия, его принадлежность и стратегическую направленность, а так же характеристик предлагаемых проектов, давая оценку каждому проекту с помощью экспертов произвели выбор наиболее эффективного проекта. Им стал проект №1. В результате характеристики отрасли, рынков сбыта и конкуренции получили, что ОАО «Стройматериалы занимает» лидирующее положение в Белгородской области. Продукция предприятия конкурентоспособна не только по своим параметрам, но и уровню цен, условиям продаж. Анализ технико-экономических показателей за три года показал, что ОАО «Стройматериалы» находится в устойчивом финансовом положении, практически все рассчитанные показатели на конец года выше, чем на начало, что положительно характеризует деятельность предприятия. Подводя итоги финансово-хозяйственной деятельности можно сделать следующие выводы: # на конец 2005 года предприятие имеет удовлетворительный уровень рентабельности; # его платежеспособность и финансовая устойчивость в целом находятся на приемлемом уровне; # предприятие не достаточно устойчиво к колебаниям рыночного спроса на продукцию. Предлагаемое для ОАО «Стройматериалы» мероприятие поможет предприятию в достижении поставленных целей: · увеличения ассортимента как минимум на десять наименований за счет различной структуры околки кирпича; · увеличение объема продукции и рынка сбыта, за счет привлечения новой группы покупателей – частных застройщиков. В разделе обоснование эффективности инновационного проекта были рассчитаны показатели чистой текущей стоимости (19892,63 тыс. руб.), индекса рентабельности = 11,00, внутренней нормы доходности (404,73%) и периода окупаемости = 117 дней показывают полную экономическую эффективность инвестиционного проекта. Такой результат возможен из-за незначительных капитальных вложений. В работе была произведена экспертиза проекта, которая предполагает проведение факторного анализа устойчивости и чувствительности инновационного проекта с целью определения «узких мест». В результате чего было выявлено, что при 10%–ом изменении стоимости вводимого оборудования и стоимости сырьевых материалов в негативную сторону проект оказался устойчив и нечувствителен. По результатам исследования можно сделать вывод о достаточно высокой степени устойчивости проекта. При проведении экспертизы проекта были выявлены основные факторы риска и предложены меры по снижению их воздействия. В результате внедрения предлагаемого мероприятия ОАО «Стройматериалы» сможет повысить конкурентоспособность и получить дополнительную прибыль. |
|||||||||||||||||||||||||||||||||||||||||||||||||||||||||||||||||||||||||||||||||||||||||||||||||||||||||||||||||||||||||||||||||||||||||||||||||||||||||||||||||||||||||||||||||||||||||||||||||||||||||||||||||||||||||||||||||||||||||||||||||||||||||||||||||||||||||||||||||||||||||||||||||||||||||||||||||||||||||||||||||||||||||||||||||||||||||||||||||||||||||||||||||||||||||||||||||||||||||||||||||||||||||||||||||||||||||||||||||||||||||||||||||||||||||||||||||||||||||||||||||||||||||||||||||||||||||||||||||||||||||||||||||||||||||||||||||||||||||||||||||||||||||||||||||||||||||||||||||||||||||||||||||||||||||||||||||||||||||||||||||||||||||||||||||||||||||||||||||||||||||||||||||||||||||||||||||||||||||||||||||||||||||||||||||||||||||||||||||||||||||||||||||||||||||||||||||||||||||||||||||||||||||||||||||||||||||||||||||||||||||||||||||||||||||||||||||||||||||||||||||||||||||||||||||||||||||||||||||||||||||||||||||||||||||||||||||||||||||||||||||||||||||||||||||||||||||||||||||||||||






Рис. 2.2. Выпуск продукции 2003-2005 г.
