Учебное пособие: Моделирование рисковых ситуации в экономике и бизнесе
|
Название: Моделирование рисковых ситуации в экономике и бизнесе Раздел: Рефераты по экономике Тип: учебное пособие | ||||||||||||||||||||||||||||||||||||||||||||||||||||||||||||||||||||||||||||||||||||||||||||||||||||||||||||||||||||||||||||||||||||||||||||||||||||||||||||||||||||||||||||||||||||||||||||||||||||||||||||||||||||||||||||||||||||||||||||||||||||||||||||||||||||||||||||||||||||||||||||||||||||||||||||||||||||||||||||||||||||||||||||||
|
УДК 330.105 ББК 65.290.2я73 Д79 РЕЦЕНЗЕНТЫ: кафедра математического моделирования экономических процессов Финансовой академии при Правительстве РФ; доктор экономических наук, профессор А.В. Мищенко Дубров А.М. Д79 Моделирование рисковых ситуации в экономике и бизнесе: Учеб. пособие/А.М. Дубров, Б.А. Лагоша, Е.Ю. Хрусталев; Под ред. Б.А. Лагоши.— М.: Финансы и статистика, 2000.— 176 с.: ил. ISBN 5-279-02068-0. Рассматриваются подходы к учету факторов неопределенности и риска в экономической практике, а также математические модели, используемые для этих целей. Анализируются ситуации, возникающие в условиях неопределенности и недостатка информации при принятии управленческих решений. Содержание иллюстрируется прикладными задачами с решениями. Для студентов, обучающихся по специальностям «Статистика», «Математические методы и исследование операций в экономике», «Информационные системы в экономике» и другим экономическим специальностям. Для аспирантов, преподавателей, а также для предпринимателей, организующих свой бизнес. Д 2404000000-031 136 – 98 УДК 330.105 010(01)-2000 ББК 65.290-2,73 ISBN 5-279-02068-0 © А.М. Дубров, Б.А. Лагоша Е.Ю. Хрусталев. 1999 ОГЛАВЛЕНИЕ ПРЕДИСЛОВИЕ................................................................................................................................................................................................... 3 Глава 1 РИСК И ЕГО ИЗМЕРЕНИЕ............................................................................................................................................................... 4 1.1. РИСК И ПРИБЫЛЬ.................................................................................................................................................................................. 4 1.2. МЕРЫ РИСКА.......................................................................................................................................................................................... 6 Глава 2 СТРАТЕГИЧЕСКИЕ ИГРЫ............................................................................................................................................................... 8 2.1. ОСНОВНЫЕ ПОНЯТИЯ ТЕОРИИ СТРАТЕГИЧЕСКИХ ИГР.................................................................................................... 8 2.2. СМЕШАННЫЕ СТРАТЕГИИ............................................................................................................................................................ 12 2.3. РЕШЕНИЕ ЗАДАЧ В СМЕШАННЫХ СТРАТЕГИЯХ (ЧАСТНЫЙ СЛУЧАЙ).................................................................... 13 2.4. МАЖОРИРОВАНИЕ (ДОМИНИРОВАНИЕ) СТРАТЕГИЙ....................................................................................................... 16 Задачи для самостоятельного решения............................................................................................................................................ 17 Глава 3 ПРИНЯТИЕ РЕШЕНИЙ В УСЛОВИЯХ НЕОПРЕДЕЛЕННОСТИ И РИСКА (ИГРЫ С ПРИРОДОЙ)........................ 18 3.1. ПОНЯТИЕ ИГРЫ С ПРИРОДОЙ....................................................................................................................................................... 18 3.2. ПРИНЯТИЕ РЕШЕНИЙ В УСЛОВИЯХ ПОЛНОЙ НЕОПРЕДЕЛЕННОСТИ....................................................................... 20 3.3. ПРИНЯТИЕ РЕШЕНИЙ В УСЛОВИЯХ РИСКА.......................................................................................................................... 22 3.4. ВЫБОР РЕШЕНИЙ С ПОМОЩЬЮ ДЕРЕВА РЕШЕНИЙ (ПОЗИЦИОННЫЕ ИГРЫ)........................................................ 23 3.4.1. ПРИНЯТИЕ РЕШЕНИЙ С ПРИМЕНЕНИЕМ ДЕРЕВА РЕШЕНИЙ................................................................................ 23 3.4.2. АНАЛИЗ И РЕШЕНИЕ ЗАДАЧ С ПОМОЩЬЮ ДЕРЕВА РЕШЕНИЙ............................................................................ 24 3.4.3. ОЖИДАЕМАЯ ЦЕННОСТЬ ТОЧНОЙ ИНФОРМАЦИИ.................................................................................................... 27 3.5. ЗАДАЧИ С РЕШЕНИЯМИ.................................................................................................................................................................. 27 Глава 4 ФУНКЦИЯ ПОЛЕЗНОСТИ НЕЙМАНА - МОРГЕНШТЕРНА............................................................................................. 33 4.1. ОСНОВНЫЕ ОПРЕДЕЛЕНИЯ И АКСИОМЫ............................................................................................................................... 33 4.2. ИЗМЕРЕНИЕ ОТНОШЕНИЯ К РИСКУ......................................................................................................................................... 36 4.3. СТРАХОВАНИЕ ОТ РИСКА.............................................................................................................................................................. 38 Глава 5 ФИНАНСОВЫЕ РЕШЕНИЯ В УСЛОВИЯХ РИСКА.............................................................................................................. 42 5.1. ДИНАМИЧЕСКИЕ МОДЕЛИ ПЛАНИРОВАНИЯ ФИНАНСОВ............................................................................................. 42 5.2. ОЦЕНКА ТЕКУЩЕЙ СТОИМОСТИ ФИРМЫ.............................................................................................................................. 45 5.2.1. ЧИСТАЯ ПРИВЕДЕННАЯ СТОИМОСТЬ (БЕЗРИСКОВАЯ СИТУАЦИЯ).................................................................. 45 5.2.2. КОЭФФИЦИЕНТЫ ДИСКОНТИРОВАНИЯ ДЛЯ РИСКОВАННОГО ПРОЕКТА...................................................... 47 5.3. ОЦЕНКА ПЕРСПЕКТИВНОГО ПРОЕКТА.................................................................................................................................... 48 5.4. АЛЬТЕРНАТИВНЫЕ МЕТОДЫ ПРИНЯТИЯ ПРОЕКТА.......................................................................................................... 51 Глава 6 СТАТИСТИЧЕСКИЕ ИГРЫ........................................................................................................................................................... 53 6.1. ОБЩИЕ СВЕДЕНИЯ............................................................................................................................................................................ 53 6.2. СВОЙСТВА СТАТИСТИЧЕСКИХ ИГР.......................................................................................................................................... 54 6.2.1. ВЫБОР ФУНКЦИЙ РЕШЕНИЯ................................................................................................................................................ 57 6.2.2. МАКРОЭКОНОМИЧЕСКИЕ РЕШЕНИЯ............................................................................................................................... 60 Глава 7 ИНВЕСТИЦИОННЫЕ РЕШЕНИЯ............................................................................................................................................... 62 7.1. ВЫБОР ОПТИМАЛЬНОГО ВАРИАНТА КАПИТАЛОВЛОЖЕНИЙ ПРИ СТРОИТЕЛЬСТВЕ ЭЛЕКТРОСТАНЦИЙ......................................................................................................................................................................................... 62 7.2. ИНВЕСТИЦИИ В РАЗРАБОТКУ ПОЛЕЗНЫХ ИСКОПАЕМЫХ............................................................................................. 63 Глава 8 ЗАДАЧИ ИЗ РАЗНЫХ ОБЛАСТЕЙ ХОЗЯЙСТВЕННОЙ ДЕЯТЕЛЬНОСТИ................................................................... 65 8.1. ПРОЕКТИРОВАНИЕ МАРШРУТОВ ГОРОДСКОГО ТРАНСПОРТА.................................................................................... 65 8.2. ПРИНЯТИЕ РЕШЕНИЙ В СЕЛЬСКОМ ХОЗЯЙСТВЕ............................................................................................................... 68 8.3. СТАТИСТИЧЕСКИЙ КОНТРОЛЬ ПАРТИИ ГОТОВЫХ ИЗДЕЛИЙ И ВЕРОЯТНОСТЬ ПЕРЕБОЕВ ПРОИЗВОДСТВА................................................................................................................................................................................................ 70 8.4. ОПРЕДЕЛЕНИЕ ОПТИМАЛЬНОГО ЗАПАСА ПРОДУКЦИИ ТОРГОВОЙ ФИРМЫ НА ОСНОВЕ СТАТИСТИЧЕСКИХ ДАННЫХ..................................................................................................................................................................... 75 ПРИЛОЖЕНИЕ.................................................................................................................................................................................................. 78 СВЯЗЬ МАТРИЧНЫХ ИГР С ЛИНЕЙНЫМ ПРОГРАММИРОВАНИЕМ (ОСНОВНАЯ ТЕОРЕМА ТЕОРИИ ИГР). ПРИМЕР РЕШЕНИЯ ЗАДАЧИ............................................................................................................................................................................. 78 КРАТКИЙ СЛОВАРЬ ТЕРМИНОВ.............................................................................................................................................................. 82 ЛИТЕРАТУРА.................................................................................................................................................................................................... 83 ПРЕДМЕТНЫЙ УКАЗАТЕЛЬ....................................................................................................................................................................... 84 В предлагаемой читателю книге основное внимание уделяется методам решения задач, возникающих в рисковых ситуациях. В Словаре русского языка С. И. Ожегова термин «риск» определяется как «возможная опасность» и «действие наудачу в надежде на счастливый исход». Следовательно, риск предполагает возможность наступления неблагоприятного события. Для любого бизнеса важно не избежать риск вообще, а предвидеть его и принять наилучшее решение относительно определенного критерия, отражающего основной интерес предпринимателя. Теоретической основой и практическим инструментарием анализа и прогнозирования решений в экономике и бизнесе являются экономико-математические модели и проводимые по ним расчеты. В настоящем учебном пособии при рассмотрении моделей принятия решений в условиях неопределенности и риска даются практические рекомендации по применению этих моделей в типовых ситуациях. В данном случае основная трудность заключается не в выполнении расчетов, а в построении самих моделей, адекватных реальной обстановке. В силу этого читателю предлагается достаточно большое число примеров построения таких моделей. Разнообразные реальные экономические ситуации - потенциальные объекты моделирования - описаны в задачах. Некоторые из них даются с решениями, другие - предназначены для самостоятельной работы. В качестве математических средств принятия решений в условиях неопределенности и риска используются: теория стратегических игр, теория вероятностей, математическая статистика, теория статистических решений, математическое программирование, теория полезности Неймана-Моргенштерна. Книга состоит из восьми глав. Главы 1-5 отражают достаточно элементарный подход к исследуемой области, главы 6 - 8 -более углубленный. Необходимый для первых пяти глав математический аппарат не выходит за пределы младших курсов экономических вузов. Здесь приводятся задачи с решениями, а в гл. 1-4 - задачи для самостоятельного выполнения. Соответственно данный материал ориентирован на студентов младших курсов обучения и всех желающих получить первоначальное представление о расчете в бизнесе. Последние три главы, как мы упоминали, дают более углубленное представление об аппарате моделирования рисковых ситуаций. Прежде всего это относится к статистическим играм с природой. Изложение материала сопровождается многими примерами с решениями, доведенными до конкретных цифр и рекомендаций. Эта часть книги ориентирована на студентов старших курсов, аспирантов и преподавателей, может использоваться и практиками. Различная целевая ориентация учебного материала объясняет, почему в конце каждой из глав 1 - 4 даются вопросы для самопроверки и задачи для самостоятельного решения, а в других главах они отсутствуют, но приводится большое количество задач повышенной трудности с решениями. Глава 1 «Риск и его измерение» включает общее описание прибыли и риска от реализации проектов, методы оценки эффективности и рисковости проектов, связь этих показателей со склонностью к риску лица, принимающего решение. Глава 2 «Стратегические игры» содержит описание игр двух лиц с противоположными интересами. Участники игры осознанно противодействуют друг другу, что соответствует, например, конкуренции фирм на одном рынке. Фирмы пытаются реализовать свои интересы и помешать в этом конкурентам. Рассматривается простейший графический метод решения матричных игр и указывается на их связь с линейным программированием в общем случае при произвольном виде платежной матрицы т х п. Это универсальный метод решения игр двух лиц с нулевой суммой, позволяющий применить известный математический аппарат линейного программирования и соответствующее программное обеспечение. Доказательство связанной с этим основной теоремы теории игр и пример ее применения вынесены в приложение. Отличие игр, описанных в главе 3 «Принятие решений в условиях неопределенности и риска (игры с природой)», от стратегических игр состоит в том, что в них один из участников противодействует сопернику неосознанно. В экономике многие решения зависят от конъюнктуры, складывающейся из многих факторов (курса валют, политики правительства, уровня инфляции и т.д.), которые, взаимодействуя друг с другом, влияют на всех участников «игры в экономику» не персонально, а единообразно. Принятие решений в условиях неопределенности и риска получает развитие в виде выбора решений с помощью дерева решений (позиционные игры). Этот метод учитывает, что действия игроков, испытывающих противостояние ряда независимых явлений, могут быть выстроены в некоторую последовательность. Например, геологическая разведка недр может закончиться неудачей (полезных ископаемых не найдено). Если этот этап пройден успешно, то дальнейший риск связан с правильной оценкой мощности открытого месторождения. Можно построить перерабатывающий завод, который будет простаивать, а можно продать месторождение по лицензии и оказаться в проигрыше, если запасы ископаемых превысили ожидаемые значения. Теория полезности Неймана-Моргенштерна, представленная в гл. 4, учитывает отношение лица, принимающего решения, к риску. Глава 5 «Финансовые решения в условиях риска» отражает некоторые аспекты банковской и финансовой деятельности, которые в рамках рыночной экономики приобретают особо рисковый характер и поэтому требуют более детального исследования. Приведены две динамические модели планирования финансов в форме задачи линейного программирования с решениями. Рассмотрена методика оценки стоимости фирмы на примере неопределенно долго «живущей» акционерной фирмы. Выработанный при этом критерий живучести сравнивается с альтернативными популярными, но могущими оказаться неточными критериями. Глава 6 «Статистические игры» дает углубленное изложение теории игр с природой. Используется математический аппарат теории множеств, байесовских функций, условных вероятностей и др. Теория иллюстрируется множеством примеров с решениями. Глава 7 «Инвестиционные решения» опирается на теорию предыдущих глав. Однако все рассматриваемые прикладные задачи в том или ином плане связаны с моделированием принятия инвестиционных решений. Для практиков, по-видимому, эта глава должна представлять наибольший интерес. В главе 8 «Задачи из разных областей хозяйственной деятельности» разбираются следующие задачи: возникающие на транспорте при планировании новых пассажирских маршрутов, задачи обоснования выбора участков земли под посадку картофеля в зависимости от погодных условий, статистического контроля партии готовых изделий и оценки вероятности перебоев на производстве, определения оптимального запаса продукции торговой фирмы на основе статистических данных. Краткий словарь терминов раскрывает основные понятия теории вероятностей, математической статистики и линейного программирования, встречающиеся в данном учебном пособии. В подготовке глав 4 и 5 принимал участие А. Б. Аронович. Авторы благодарят доктора технических наук, профессора В.А. Бывшева и доктора экономических наук, профессора А.В. Мищенко за полезные замечания, способствовавшие улучшению содержания учебного пособия. Любая сфера человеческой деятельности, в особенности экономика или бизнес, связана с принятием решений в условиях неполноты информации. Источники неопределенности могут быть самые разнообразные: нестабильность экономической и/или политической ситуации, неопределенность действий партнеров по бизнесу, случайные факторы, т.е. большое число обстоятельств, учесть которые не представляется возможным (например, погодные условия, неопределенность спроса на товары, неабсолютная надежность процессов производства, неточность информации и др.). Экономические решения с учетом перечисленных и множества других неопределенных факторов принимаются в рамках так называемой теории принятия решений — аналитического подхода к выбору наилучшего действия (альтернативы) или последовательности действий. В зависимости от степени определенности возможных исходов или последствий различных действий, с которыми сталкивается лицо, принимающее решение (ЛПР), в теории принятия решений рассматриваются три типа моделей: • выбор решений в условиях определенности, если относительно каждого действия известно, что оно неизменно приводит к некоторому конкретному исходу; • выбор решения при риске, если каждое действие приводит к одному из множества возможных частных исходов, причем каждый исход имеет вычисляемую или экспортно оцениваемую вероятность появления. Предполагается, что ЛПР эти вероятности известны или их можно определить путем экспертных оценок; • выбор решений при неопределенности, когда то или иное действие или несколько действий имеют своим следствием множество частных исходов, но их вероятности совершенно не известны или не имеют смысла. Проблема риска и прибыли - одна из ключевых в экономической деятельности, в частности в управлении производством и финансами. Под риском принято понимать вероятность (угрозу) потери лицом или организацией части своих ресурсов, недополучения доходов или появления дополнительных расходов в результате осуществления определенной производственной и финансовой политики. Различают следующие виды рисков: • производственный, связанный с возможностью невыполнения фирмой своих обязательств перед заказчиком; • кредитный, обусловленный возможностью невыполнения фирмой своих финансовых обязательств перед инвестором; • процентный, возникающий вследствие непредвиденного изменения процентных ставок; • риск ликвидности, обусловленный неожиданным изменением кредитных и депозитных потоков; • инвестиционный, вызванный возможным обесцениванием инвестиционно-финансового портфеля, состоящего из собственных и приобретенных ценных бумаг; • рыночный, связанный с вероятным колебанием рыночных процентных ставок как собственной национальной денежной единицы, так и зарубежных курсов валют. Риск подразделяется на динамический и статический. Динамический риск связан с возникновением непредвиденных изменений стоимости основного капитала вследствие принятия управленческих решений, а также рыночных или политических обстоятельств. Такие изменения могут привести как к потерям, так и к дополнительным доходам. Статический риск обусловлен возможностью потерь реальных активов вследствие нанесения ущерба собственности и потерь дохода из-за недееспособности организации. Все участники проекта заинтересованы в том, чтобы не допустить полного провала проекта или хотя бы избежать убытка. В условиях нестабильной, быстро меняющейся ситуации необходимо учитывать все возможные последствия от действий конкурентов, а также изменения конъюнктуры рынка. Поэтому основное назначение анализа риска состоит в том, чтобы обеспечить партнеров информацией, необходимой для принятия решений о целесообразности участия в некотором проекте, и предусмотреть меры по защите от возможных финансовых потерь. При анализе риска могут использоваться следующие условия или предположения: • потери от риска не зависят друг от друга; • потери по одному из некоторого перечня рисков не обязательно увеличивают вероятность потерь по другим; • максимально возможный ущерб не должен превышать финансовых возможностей участников проекта. Все факторы, влияющие на рост степени риска в проекте, можно условно разделить на объективные и субъективные. Объективные факторы непосредственно не зависят от самой фирмы: это инфляция, конкуренция, анархия, политические и экономические кризисы, экология, налоги и т.д. Субъективные факторы непосредственно характеризуют данную фирму: это производственный потенциал, техническое оснащение, уровень производительности труда, проводимая финансовая, техническая и производственная политика, в частности выбор типа контракта между инвестором и заказчиком. Последний фактор играет особо важную роль для фирмы, поскольку от типа контракта зависят степень риска и величина вознаграждения по окончании проекта. Исследование риска целесообразно проводить в следующей последовательности: • выявление объективных и субъективных факторов, влияющих на конкретный вид риска; • анализ выявленных факторов; • оценка конкретного вида риска с финансовых позиций, определяющая либо финансовую состоятельность проекта, либо его экономическую целесообразность; • установка допустимого уровня риска; • анализ отдельных операций по выбранному уровню риска; • разработка мероприятий по снижению риска. Финансирование проекта, являясь одним из наиболее важных условий эффективности его выполнения, должно быть нацелено на обеспечение потока инвестиций для планомерного выполнения проекта, на снижение капитальных затрат и риска проекта за счет оптимальной структуры инвестиции и получения налоговых преимуществ. В плане финансирования проекта должны учитываться следующие виды рисков: • риск нежизнеспособности проекта; • налоговый риск; • риск неуплаты задолженностей; • риск незавершения строительства. Высокая степень риска проекта приводит к необходимости поиска путей искусственного снижения его (риска) возможных последствий на состояние фирмы. В существующей практике применяются главным образом четыре основных способа управления риском: распределение риска между всеми участниками проекта (передача части риска соисполнителям), страхование, резервирование средств на покрытие непредвиденных расходов и диверсификация. Анализ рисков подразделяется на два взаимно дополняющих друг друга вида: качественный, главная задача которого состоит в определении факторов риска и обстоятельств, приводящих к рисковым ситуациям, и количественный, позволяющий вычислить размеры отдельных рисков и риска проекта в целом. Наиболее распространена точка зрения, согласно которой мерой риска некоторого коммерческого (финансового) решения или операции следует считать среднее квадратичное отклонение (положительный квадратный корень из дисперсии) значения показателя эффективности этого решения или операции. Действительно, поскольку риск обусловлен недетерминированностью исхода решения (операции), то, чем меньше разброс (дисперсия) результата решения, тем более он предсказуем, т.е. меньше риск. Если вариация (дисперсия) результата равна нулю, риск полностью отсутствует. Например, в условиях стабильной экономики операции с государственными ценными бумагами считаются безрисковыми. Чаще всего показателем эффективности финансового решения (операции) служит прибыль. Рассмотрим в качестве иллюстрации выбор некоторым лицом одного из двух вариантов инвестиций в условиях риска. Пусть имеются два проекта А
и В,
в которые указанное лицо может вложить средства. Проект А
в определенный момент в будущем обеспечивает случайную величину прибыли. Предположим, что ее среднее ожидаемое значение, математическое ожидание, равно тА
с дисперсией Подробнее описание числовых характеристик дано, например, в [2, гл.4] и [7, гл. 14]. Возможны следующие случаи: a) т A = mB , SA < SB , следует выбрать проект А; b) т A > mB , SA < SB , следует выбрать проект А; c) т A > mB , SA = SB , следует выбрать проект А; d) т A > mB , SA > SB ; e) т A < mB , SA < SB . В последних двух случаях решение о выборе проекта А или В зависит от отношения к риску ЛПР. В частности, в случае в проект А обеспечивает более высокую среднюю прибыль, однако он и более рискован. Выбор при этом определяется тем, какой дополнительной величиной средней прибыли компенсируется для ЛПР заданное увеличение риска. В случае е для проекта А риск меньший, но и ожидаемая прибыль меньшая. Субъективное отношение к риску учитывается в теории Неймана-Моргенштерна и рассматривается в гл. 4. Пример. Пусть имеются два инвестиционных проекта. Первый с вероятностью 0,6 обеспечивает прибыль 15 млн руб., однако с вероятностью 0,4 можно потерять 5,5 млн руб. Для второго проекта с вероятностью 0,8 можно получить прибыль 10 млн руб. и с вероятностью 0,2 потерять 6 млн руб. Какой проект выбрать? Решение. Оба проекта имеют одинаковую среднюю прибыльность, равную 6,8 млн руб. (0,6*15 + +0,4(-5,5)=0,8*10 + 0,2(-6) = 6,8). Однако среднее квадратичное отклонение прибыли для первого проекта равно 10,04 млн руб. ([0,6(15 - 6,8)2 + 0,4(-5,5 – 6,8)2 ]1 /2 = 10,04), а для второго - 6,4 млн руб. ([0,8 (10 - 6,8)2 + 0,2(-6 – 6,8)2 ]1/2 = 6,4), поэтому более предпочтителен второй проект. Хотя среднее квадратичное отклонение эффективности решения и используется часто в качестве меры риска, оно не совсем точно отражает реальность. Возможны ситуации, при которых варианты обеспечивают приблизительно одинаковую среднюю прибыль и имеют одинаковые средние квадратичные отклонения прибыли, однако не являются в равной мере рискованными. Действительно, если под риском понимать риск разорения, то величина риска должна зависеть от величины исходного капитала ЛПР или фирмы, которую он представляет. Теория Неймана-Моргенштерна это обстоятельство учитывает. Из публикаций, посвященных методам измерения и управления рисками, укажем на [8,9,10,16,18,20]. На рис. 1.1 рассмотрен случай выбора из более чем двух вариантов инвестиций. Характеристики вариантов показаны точками на плоскости (т, S), где т - средняя прибыль, получаемая в результате инвестиции, а S- среднее квадратичное отклонение прибыли.
Рис. 1.1. Варианты выбора инвестиций Из рис. 1.1 видно, что среди вариантов А, В и С наиболее предпочтителен А. Из вариантов В, D и Н следовало бы выбрать Н. Вариант Н лучше вариантов С и F. Однако сравнительная предпочтительность, например, вариантов А, D, F и G зависит от склонности ЛПР к риску. ВОПРОСЫ ДЛЯ САМОПРОВЕРКИ 1. Что такое риск? 2. Какие бывают виды рисков? 3. Какой параметр наиболее часто используется в качестве меры риска? 4. Акционерному обществу предлагаются два рисковых проекта: Проект I Проект 2 Вероятность события ................................. 0,2 0,6 0,2 0,4 0,2 0,4 Наличные поступления, млн руб. ........... 40 50 60 0 50 100 Учитывая, что фирма имеет фиксированные платежи по долгам 80 млн руб., какой проект должны выбрать акционеры и почему? 2.1. ОСНОВНЫЕ ПОНЯТИЯ ТЕОРИИ СТРАТЕГИЧЕСКИХ ИГР На практике часто появляется необходимость согласования действии фирм, объединении, министерств и других участников проектов в случаях, когда их интересы не совпадают. В таких ситуациях теория игр позволяет найти лучшее решение для поведения участников, обязанных согласовывать действия при столкновении интересов. Теория игр все шире проникает в практику экономических решений и исследований. Ее можно рассматривать как инструмент, помогающий повысить эффективность плановых и управленческих решений. Это имеет большое значение при решении задач в промышленности, сельском хозяйстве, на транспорте, в торговле, особенно при заключении договоров с иностранными государствами на любых иерархических уровнях. Так, можно определить научно обоснованные уровни снижения розничных цен и оптимальный уровень товарных запасов, решать задачи экскурсионного обслуживания и выбора новых линий городского транспорта, задачу планирования порядка организации эксплуатации месторождений полезных ископаемых в стране и др. Классической стала задача выбора участков земли под сельскохозяйственные культуры. Метод теории игр можно применять при выборочных обследованиях конечных со-вокупностей, при проверке статистических гипотез. Обычно теорию игр определяют как раздел математики для изучения конфликтных ситуаций. Это значит, что можно выработать оптимальные правила поведения каждой стороны, участвующей в решении конфликтной ситуации. В экономике, например, оказался недостаточным аппарат математического анализа, занимающийся определением экстремумов функций. Появилась необходимость изучения так называемых оптимальных минимаксных и максиминных решений. Следовательно, теорию игр можно рассматривать как новый раздел оптимизационного подхода, позволяющего решать новые задачи при принятии решений. Игра - упрощенная формализованная модель реальной конфликтной ситуации. Математически формализация означает, что выработаны определенные правила действия сторон в процессе игры: варианты действия сторон; исход игры при данном варианте действия; объем информации каждой стороны о поведении всех других сторон. Одну играющую сторону при исследовании операций может представлять коллектив, преследующий некоторую общую цель. Однако разные члены коллектива могут быть по-разному информированы об обстановке проведения игры. Выигрыш или проигрыш сторон оценивается численно, другие случаи в теории игр не рассматриваются, хотя не всякий выигрыш в действительности можно оценивать количественно. Игрок - одна из сторон в игровой ситуации. Стратегия игрока - его правила действия в каждой из возможных ситуаций игры. Существуют игровые системы управления, если процесс управления в них рассматривается как игра. Платежная матрица (матрица эффективности, матрица игры) включает все значения выигрышей (в конечной игре). Пусть игрок 1 имеет т
стратегий А
i
,
а игрок 2 - п
стратегий В
j
,
( Таблица 2.1
В данной матрице элементы В теории игр не существует установившейся классификации видов игр. Однако по определенным критериям некоторые виды можно выделить. Количество игроков. Если в игре участвуют две стороны, то ее называют игрой двух лиц. Если число сторон больше двух, ее относят к игре п игроков. Наибольший интерес вызывают игры двух лиц. Они и математически более глубоко проработаны и в практических приложениях имеют наиболее обширную библиографию [3, 7, 12, 13]. Количество стратегий игры. По этому критерию игры делятся на конечные и бесконечные. В конечной игре каждый из игроков имеет конечное число возможных стратегий. Если хотя бы один из игроков имеет бесконечное число возможных стратегий, игра является бесконечной. Взаимоотношения сторон. Согласно данному критерию игры делятся на кооперативные, коалиционные и бескоалиционные. Если игроки не имеют право вступать в соглашения, образовывать коалиции, то такая игра относится к бескоалиционным; если игроки могут вступать в соглашения, создавать коалиции - коалиционной. Кооперативная игра - это игра, в которой заранее определены коалиции. Характер выигрышей. Этот критерий позволяет классифицировать игры с нулевой и с ненулевой суммой. Игра с нулевой суммой предусматривает условие: «сумма выигрышей всех игроков в каждой партии равна нулю». Игры двух игроков с нулевой суммой относят к классу антагонистических. Естественно, выигрыш одного игрока при этом равен проигрышу другого. Примерами игр с нулевой суммой служат многие экономические задачи. В них общий капитал всех игроков перераспределяется между игроками, но не меняется. К играм с ненулевой суммой также можно отнести большое количество экономических задач. Например, в результате торговых взаимоотношений стран, участвующих в игре, все участники могут оказаться в выигрыше. Игра, в которой нужно вносить взнос за право участия в ней, является игрой с ненулевой суммой. Вид функции выигрышей. По этому критерию игры подразделяются на матричные, биматричные, непрерывные, выпуклые, сепарабельные и т. д. Поясним суть некоторых из них. Матричная игра - конечная игра двух игроков с нулевой суммой. В общем случае ее платежная матрица является прямоугольной (см. табл. 2.1). Номер строки матрицы соответствует номеру стратегии, применяемой игроком 1. Номер столбца соответствует номеру стратегии игрока 2. Выигрыш игрока 1 является элементом матрицы. Выигрыш игрока 2 равен проигрышу игрока 1. Как показано в приложении, матричные игры всегда имеют решения в смешанных стратегиях. Они могут быть решены методами линейного программирования. Биматричная игра - конечная игра двух игроков с ненулевой суммой. Выигрыши каждого игрока задаются своей матрицей, в которой строка соответствует стратегии игрока 1, а столбец — стратегии игрока 2. Однако элемент первой матрицы показывает выигрыш игрока 1, а элемент второй матрицы - выигрыш игрока 2. Для биматричных игр так же, как и для матричных, разработана теория оптимального поведения игроков. Если функция выигрышей каждого игрока в зависимости от стратегий является непрерывной, игра считается непрерывной. Если функция выигрышей выпуклая, то и игра - выпуклая. Если функция выигрышей может быть разделена на сумму произведений функций одного аргумента; то игра относится к сепарабельной. Количество ходов. Согласно этому критерию игры можно разделить на одношаговые и многошаговые. Одношаговые игры заканчиваются после одного хода каждого игрока. Так, в матричной игре после одного хода каждого из игроков происходит распределение выигрышей. Многошаговые игры бывают позиционными, стохастическими, дифференциальными и др. Подробнее см. [3,7,12,13]. Информированность cmoрон. По данному критерию различают игры с полной и неполной информацией. Если каждый игрок на каждом ходу игры знает все ранее примененные другими игроками на предыдущих ходах стратегии, такая игра определяется как игра с полной информацией. Если игроку не все стратегии предыдущих ходов других игроков известны, то игра классифицируется как игра с неполной информацией. Мы далее убедимся, что игра с полной информацией имеет решение. Решением будет седловая точка при чистых стратегиях. Степень неполноты и н формации. По этому критерию игры подразделяются на статистические (в условиях частичной неопределенности) и стратегические (в условиях полной неопределенности, см. разд. 3.2). Игры с природой (см. гл. 3, 6) часто относят к статистическим играм. В статистической игре имеется возможность получения информации на основе статистического эксперимента, при котором вычисляется или оценивается распределение вероятностей состояний (стратегий) природы. С теорией статистических игр тесно связана теория принятия экономических решений. Получив некоторое представление о существующих подходах к классификации игр, можно остановиться на оценках игры. Рассмотрим матричную игру, представленную матрицей выигрышей т
хп,
где число строк Подход игрока 1.Он должен получить максимальный гарантированный результат при наихудших условиях. Значит, при выборе отвечающей этим условиям своей чистой стратегии он должен выбрать гарантированный результат в наихудших условиях, т.е. наименьшее значение своего выигрыша а,., которое обозначим
Чтобы этот гарантированный эффект в наихудших условиях был максимальным, нужно из всех а, выбрать наибольшее значение. Обозначим его а и назовем чистой нижней ценой игры («максимин»): Таким образом, максиминной стратегии отвечает строка матрицы, которой соответствует элемент a i . Какие бы стратегии ни применял игрок 2, игрок 1 максиминной чистой стратегией гарантировал себе выигрыш, не меньший, чем a . Таково оптимальное поведение игрока 1. Подход игрока 2. Своими оптимальными стратегиями он стремится уменьшить выигрыш игрока 1, поэтому при каждой j -й чистой стратегии он отыскивает величину своего максимального проигрыша в каждом j- м столбце, т.е. определяет максимальный выигрыш игрока 1, если игрок 2 применит j -ю чистую стратегию. Из всех своих n j- х чистых стратегий он отыскивает такую, при которой игрок 1 получит минимальный выигрыш, т.е. определяет чистую верхнюю цену игры («минимакс»): Чистая верхняя цена игры показывает, какой максимальный выигрыш может гарантировать игрок 1, применяя свои чистые стратегии, - выигрыш, не меньший, чем a . Игрок 2 за счет указанного выше выбора своих чистых стратегий не допустит, чтобы игрок 1 мог получить выигрыш, больший, чем b . Таким образом, минимаксная стратегия отображается столбцом платежной матрицы, в котором находится элемент b (см. табл. 2.1). Она является оптимальной чистой гарантирующей стратегией игрока 2, если он ничего не знает о действиях игрока 1. Чистая цена игры v - цена данной игры, если нижняя и верхняя ее цены совпадают: В этом случае игра называется игрой с седловой точкой. Пример 2.1. Определить верхнюю и нижнюю цены при заданной матрице игры и указать максиминную и минимаксную стратегии. Представим матрицу игры с обозначениями стратегий b j , a .j , (табл. 2.2). Т а б л и ц а 2.2
Решение. Определим нижнюю цену игры:
Определим верхнюю цену игры:
Таким образом,
Значит, Пример 2.2. Определим максиминную и минимаксную стратегии при заданной матрице эффективности (табл. 2.3). Решение. Определим максиминную стратегию:
Максиминная стратегия - строка А 2 . Таблица 2.3
Определим минимаксную стратегию:
Минимаксная стратегия - столбец В
2
.
Здесь Если матрица игры содержит элемент, минимальный в своей строке и максимальный в своем столбце, то он, как уже сказано выше, является седловой точкой. В этом случае мы имеем игру с седловой точкой. Пусть в игре с седловой точкой один игрок придерживается седловой точки, тогда другой получит лучший результат, если также будет придерживаться этой точки. Лучшее поведение игрока не должно повлечь уменьшение его выигрыша. Зато худшее поведение может привести к этому. В данном случае решением игры являются: • чистая стратегия игрока 1; • чистая стратегия игрока 2; • седловой элемент. Оптимальные чистые стратегии — это чистые стратегии, образующие седловую точку. В игре без седловой точки, если игрок 1 информирован о стратегии, принятой игроком 2, он сможет принять оптимальную стратегию, которая не совпадает с максиминной. Пример 2.3. Дана матрица игры
Допустим, игроку 1 стало известно, что игрок 2 принял минимаксную стратегию. Игрок 1 должен выбрать оптимальную стратегию при условии, что B
2
–
стратегия игрока 2 ( Решение. Определим максиминную стратегию игрока 1:
Стратегия игрока 1 – А 2 - максиминная. Выберем оптимальную стратегию для игрока 1. Ею будет не максиминная А
2
,
дающая игроку 1 выигрыш Стратегия является оптимальной, если ее применение обеспечит игроку наибольший гарантированный выигрыш при любых возможных стратегиях другого игрока. На примере 2.3 показано, что бывают ситуации, когда игрок 1 может получить выигрыш, превосходящий максиминный, если ему известны намерения игрока 2. При многократном повторении игры в сходных условиях можно добиться гарантированного среднего выигрыша, превосходящего для игрока 1 максиминный. Если в матричной игре отсутствует седловая точка в чистых стратегиях, то находят верхнюю и нижнюю цены игры. Они показывают, что игрок 1 не получит выигрыша, превосходящего верхнюю цену игры, и что игроку 1 гарантирован выигрыш, не меньший нижней цены игры. В примере 2.3 игрок 1 получил по своей оптимальной стратегии А 1 , отличной от максиминной, выигрыш, равный верхней цене игры. Такова плата за информированность о стратегии игрока 2. Это крайний случай. Не улучшится ли результат игрока 1, если информация о действиях противной стороны будет отсутствовать, но игрок будет многократно применять чистые стратегии случайным образом с определенной вероятностью? В такой ситуации, оказывается, можно получать выигрыши, в среднем большие нижней цены игры, но меньшие верхней. Смешанная стратегия игрока - это полный набор применения его чистых стратегий при многократном повторении игры в одних и тех же условиях с заданными вероятностями. Подведем итоги сказанного и перечислим условия применения смешанных стратегий: • игра без седловой точки; • игроки используют случайную смесь чистых стратегий с заданными вероятностями; • игра многократно повторяется в сходных условиях; • при каждом из ходов ни один игрок не информирован о выборе стратегии другим игроком; • допускается осреднение результатов игр. Применяются следующие обозначения смешанных стратегий. Для игрока 1 смешанная стратегия, заключающаяся в применении чистых стратегий А 1 , А 2 ,..., А m с соответствующими вероятностями р 1 , р 2 , ..., р m , где Для игрока 2 где qj – вероятность применения чистой стратегии В j . В случае, когда pi = 1 , для игрока 1 имеем чистую стратегию: Чистые стратегии игрока являются единственно возможными несовместными событиями. В матричной игре, зная матрицу А
(она относится и к игроку 1, и к игроку 2), можно определить при заданных векторах где р i и qj - компоненты векторов. Путем применения своих смешанных стратегий игрок 1 стремится максимально увеличить свой средний выигрыш, а игрок 2 - довести этот эффект до минимально возможного значения. Игрок 1 стремится достигнуть Игрок 2 добивается того, чтобы выполнялось условие Обозначим Цена игры g – средний выигрыш игрока 1 при использовании обоими игроками смешанных стратегий. Следовательно, решением матричной игры являются: 1) 2) 3) g - цена игры. Смешанные стратегии будут оптимальными ( Существует основная теорема математических игр (доказательство см. в приложении). Теорема 2.1. Для матричной игры с любой матрицей A величины
И
существуют и равны между собой: Следует отметить, что при выборе оптимальных стратегий игроку 1 всегда будет гарантирован средний выигрыш, не меньший, чем цена игры, при любой фиксированной стратегии игрока 2 (и, наоборот, для игрока 2). Активными стратегиями игроков 1 и 2 называют стратегии, входящие в состав оптимальных смешанных стратегий соответствующих игроков с вероятностями, отличными от нуля. Значит, в состав оптимальных смешанных стратегий игроков могут входить не все априори заданные их стратегии. 2.3. РЕШЕНИЕ ЗАДАЧ В СМЕШАННЫХ СТРАТЕГИЯХ (ЧАСТНЫЙ СЛУЧАЙ) Решить игру - означает найти цену игры и оптимальные стратегии. Рассмотрение методов нахождения оптимальных смешанных стратегий для матричных игр начнем с простейшей игры, описываемой матрицей 2х2. Игры с седловой точкой специально рассматриваться не будут. Если получена седловая точка, то это означает, что имеются невыгодные стратегии, от которых следует отказываться. При отсутствии седловой точки можно получить две оптимальные смешанные стратегии. Как уже отмечалось, эти смешанные стратегии записываются так: Значит, имеется платежная матрица При этом откуда получаем оптимальные значения Зная Вычислив g, находим Задача решена, так как найдены векторы
и цена игры g. Имея матрицу платежей А, можно решить задачу графически. При этом методе алгоритм решения весьма прост (рис. 2.1): 1. По оси абсцисс откладывается отрезок единичной длины. 2. По оси ординат откладываются выигрыши при стратегии А 1 . 3. На линии, параллельной оси ординат, в точке 1 откладываются выигрыши при стратегии А 2 . 4. Концы отрезков обозначаются для a11 – b11 , a12 – b21 , a22 – b22 , a21 – b12 и проводятся две прямые линии b11 b12 и b21 b22 . 5. Определяется ордината точки пересечения с . Она равна g. Абсцисса точки с равна р2 (р1 = 1 – р2 ) .
Рис. 2.1. Оптимальная смешанная стратегия Данный метод имеет достаточно широкую область приложения. Это основано на общем свойстве игр т
´п,
состоящем в том, что в любой игре т
´п
каждый игрок имеет оптимальную смешанную стратегию, в которой число чистых стратегий не больше, чем min(m,n
). Из этого свойства можно получить известное следствие:
в любой игре 2
´п
и т
´2
каждая оптимальная стратегия Если матрица конечной игры имеет размерность т ´п, где т>2 и п>2, то для определения оптимальных смешанных стратегий, как будет показано в приложении, используется линейное программирование. Рассмотрим некоторые практические задачи, в которых используются критерии игр для оценки наиболее эффективного поведения оперирующей стороны. Задача 2.1. Выбрать оптимальный режим работы новой системы ЭВМ, состоящей из двух ЭВМ типов А1 и А2 . Известны выигрыши от внедрения каждого типа ЭВМ в зависимости от внешних условий, если сравнить со старой системой. При использовании ЭВМ .типов А1 и А2 в зависимости от характера решаемых задач В1 и В2 (долговременные и краткосрочные) будет разный эффект. Предполагается, что максимальный выигрыш соответствует наибольшему значению критерия эффекта от замены вычислительной техники старого поколения на ЭВМ А1 и А2 . Итак, дана матрица игры (табл. 2.4), где А1 , А2 - стратегии руководителя; В1 , В2 - стратегии, отражающие характер решаемых на ЭВМ задач. Таблица 2.4
Требуется найти оптимальную смешанную стратегию руководителя и гарантированный средний результат g, т.е. определить, какую долю времени должны использоваться ЭВМ типов А1 и А2 . Решение. Запишем условия в принятых индексах: а11 = 0,3; а12 = 0,8; а21 = 0,7; а22 = 0,4 . Определим нижнюю и верхнюю цены игры: a1 = 0,3; a2 = 0,4; a = 0,4; b1 = 0,7; b2 = 0,8; b = 0,7. Получаем игру без седловой точки, так как
Максиминная стратегия руководителя вычислительного центра – А2 . Для этой стратегии гарантированный выигрыш равен a = 0,4 (40 %) по сравнению со старой системой. Решение для определения g, р1 и р2 проведем графически (рис. 2.2).
Рис. 2.2. Графическая интерпретация алгоритма решения Алгоритм решения: 1. По оси абсцисс отложим отрезок единичной длины. 2. По оси ординат отложим выигрыши при стратегии А1 . 3. На вертикали в точке 1 отложим выигрыши при стратегии А2 . 4. Проводим прямую b11 b12 , соединяющую точки а11 ,a21 . 5. Проводим прямую b 21 b 22 , соединяющую точки а 12 , а 22 . 6. Определяем ординату точки пересечения с линий b11 b12 и b 21 b 22 . Она равна g. 7. Определим абсциссу точки пересечения с. Она равна р2 , а р1 =1–р2 Выпишем решение и представим оптимальную стратегию игры: Вывод. При установке новой системы ЭВМ, если неизвестны условия решения задач заказчика, на работу ЭВМ А1 должно приходиться 37,5 % времени, а на работу ЭВМ А2 - 62,5 %. При этом выигрыш составит 55 % по сравнению с предыдущей системой ЭВМ. 2.4. МАЖОРИРОВАНИЕ (ДОМИНИРОВАНИЕ) СТРАТЕГИЙ Мажорирование представляет отношение между стратегиями, наличие которого во многих практических случаях дает возможность сократить размеры исходной платежной матрицы игры. Рассмотрим это понятие на примере матрицы Рассуждая с позиции игрока 2, можно обнаружить преимущество его третьей стратегии перед второй, поскольку при первой стратегии игрока 1 выигрыш игрока 2 равен —3 (вторая стратегия) и 1 (третья стратегия), а при второй стратегии игрока 1 выигрыш игрока 2 равен —2 (вторая стратегия) и - 0,5 (третья стратегия). Таким образом, при любой стратегии игрока 1 игроку 2 выгоднее применять свою третью стратегию по сравнению со второй; при наличии третьей стратегии игрок 2, если он стремится играть оптимально, никогда не будет использовать свою вторую стратегию, поэтому ее можно исключить из игры, т.е. в исходной платежной матрице можно вычеркнуть 2-й столбец: С позиции игрока 1 его первая стратегия оказывается хуже второй, так как по первой стратегии он только проигрывает. Поэтому первую стратегию можно исключить, а матрицу игры преобразовать к виду: (0 0,5). Учитывая интересы игрока 2, следует оставить только его первую стратегию, поскольку, выбирая вторую стратегию, игрок 2 оказывается в проигрыше (0,5 - выигрыш игрока 1), и матрица игры принимает простейший вид: (0), т.е. имеется седловая точка. Мажорирование можно распространить и на смешанные стратегии. Если элементы одной строки не все меньше (или равны) соответствующих элементов других строк, но все меньше (или равны) некоторых выпуклых линейных комбинаций соответствующих элементов других строк, то эту стратегию можно исключить, заменив ее смешанной стратегией с соответствующими частотами использования чистых стратегий. В качестве иллюстрации к сказанному рассмотрим матрицу игры: Для первых двух чистых стратегий игрока 1 возьмем частоты их применения (вероятности) равными 0,25 и 0,75. Третья стратегия игрока 1 мажорируется линейной выпуклой комбинацией первой и второй чистых стратегий, взятых с частотами 0,25 и 0,75 соответственно, т.е. смешанной стратегией: 24*0,25 + 0*0,75 = 6 > 4; 0*0,25 + 8*0,75 = 6 > 5. Поэтому третью стратегию игрока 1 можно исключить, используя вместо нее указанную выше смешанную стратегию. Аналогично если каждый элемент некоторого столбца больше или равен некоторой выпуклой линейной комбинации соответствующих элементов некоторых других столбцов, то этот столбец можно исключить из рассмотрения (вычеркнуть из матрицы). Например, для матрицы третья стратегия игрока 2 мажорируется смешанной стратегией из первой и второй его чистых стратегий, взятых с частотами 0,5 и 0,5: 10*0,5 + 0*0,5 = 5 < 6; 0*0,5 + 10*0,5 = 5 < 7. Таким образом, исходная матрица игры эквивалентна матрице следующего вида: Как видно, возможности мажорирования смешанными стратегиями в отличие от чистых значительно менее прозрачны (нужно должным образом подобрать частоты применения чистых стратегий), но такие возможности есть, и ими полезно уметь пользоваться. Задачи для самостоятельного решения Задача 2.2. Найдите седловые точки следующих платежных матриц:
Задача 2.3.
Найдите Задача 2.4. Решите аналитически и графически, используя понятие доминирования, игры, определяемые следующими платежными матрицами:
Задача 2.5. Постройте платежную матрицу двухпальцевой игры Морра, которая заключается в следующем. В игру играют два человека: каждый из них показывает один или два пальца и одновременно называет число пальцев, которое, по его мнению, покажет его противник (естественно, противник этого не видит). Если один из игроков угадывает правильно, он выигрывает сумму, равную сумме пальцев, показанных им и его противником. В противном случае - ничья (выигрыш равен нулю). Найдите нижнюю и верхнюю цены игры. Задача 2.6. Используя понятие доминирования, уменьшите размеры следующей платежной матрицы: Для задач 2.7-2.12 постройте платежную матрицу игры и сформулируйте соответствующую модель линейного программирования. Задача 2.7. Пусть сторона А засылает подводную лодку в один из п районов. Сторона В, располагая т противолодочными кораблями, желает обнаружить лодку противника. Вероятность обнаружения лодки в j -м районе (j = 1,...,п ) равна pj . Предполагается, что обнаружение подлодки каждым кораблем является независимым событием. Сторона В может посылать в различные регионы разное количество кораблей (распределение т кораблей по регионам и есть стратегии стороны В). Сторона В стремится максимизировать вероятность обнаружения подлодки. Сторона А желает противоположного. Вероятность обнаружения лодки в районе j , в котором находится rij кораблей (i - номер стратегии), равна: причем Рассмотреть частный случай: m = 2, п = 2, р 1 = 0,6, р 2 = 0,4. Задача 2.8. Каждому из игроков выдается по бубновому и трефовому тузу. Игрок 1 получает также бубновую двойку, а игрок 2 - трефовую. При первом ходе игрок 1 выбирает и откладывает одну из своих карт, а игрок 2, не зная карты, выбранной игроком 1, также откладывает одну из своих карт. Если были отложены карты одной масти, то выигрывает игрок 1, в противном случае выигравшим считается игрок 2. Если отложены две двойки, выигрыш равен нулю. Размер выигрыша определяется картой, отложенной победителем (тузу приписывается одно очко, двойке - два). Задача 2.9. Фирма изготавливает железобетонные панели, используя в качестве основного сырья цемент. В связи с неопределенным спросом на изделия потребность в сырье в течение месяца также не определена. Цемент поставляется в мешках, причем известно, что потребность может составлять D1 ,D2 ,...,Dn мешков. Резервы сырья на складе могут составлять R1 ,R2 ,...,Rn мешков в месяц. Учитывая, что удельные затраты на хранение сырья равны с 1 а удельные издержки дефицитности сырья (потери, связанные с отсутствием необходимого количества цемента на складе) равны с 2 , определить оптимальную стратегию управления запасами цемента на складе. Рассмотреть частный случаи: п = 5, c1 = 5, c2 = 3; D = (1 500, 2 000, 2 500, 3 500, 4 000), R = (1 500, 2 000, 2 500, 3 500, 4 000). Задача 2.10. Игрок 2 прячет некоторый ценный предмет в одном из п мест, а игрок 1 этот предмет ищет. Если он его находит, то получает сумму а i где i = 1,2, ..., п, в противном случае - не получает ничего. Задача 2.11. Два игрока независимо друг от друга называют по одному числу из диапазона 1 - 5. Если сумма чисел нечетная, то игрок 2 платит игроку 1 сумму, равную максимальному из чисел; если четная, то платит игрок 1. Задача 2.12. Два игрока имеют по п рублей и предмет ценой с > 0. Каждый игрок делает заявку в запечатанном конверте, предлагая i руб. (где i - одно из целых чисел от 0 до п) за предмет. Записавший большее число получает предмет и платит другому предложенную им сумму. Если оба игрока заявляют одинаковую сумму, то предмет назначается без компенсирующего одностороннего платежа одному из игроков путем бросания монеты, так что ожидаемая доля каждого в предмете составляет в этом случае половину с. Постройте платежную матрицу игры и определите, имеет ли игра седловую точку. Глава 3 ПРИНЯТИЕ РЕШЕНИЙ В УСЛОВИЯХ НЕОПРЕДЕЛЕННОСТИ И РИСКА (ИГРЫ С ПРИРОДОЙ) Ситуации, описываемые рассмотренными в гл. 2 моделями в виде стратегических игр, в экономической практике могут не в полной мере оказаться адекватными действительности, поскольку реализация модели предполагает многократность повторения действий (решений), предпринимаемых в похожих условиях. В реальности количество принимаемых экономических решений в неизменных условиях жестко ограничено. Нередко экономическая ситуация является уникальной, и решение в условиях неопределенности должно приниматься однократно. Это порождает необходимость развития методов моделирования принятия решений в условиях неопределенности и риска. Традиционно следующим этапом такого развития являются игры с природой. Формально изучение игр с природой, так же как и стратегических, должно начинаться с построения платежной матрицы, что является, по существу, наиболее трудоемким этапом подготовки принятия решения. Ошибки в платежной матрице не могут быть компенсированы никакими вычислительными методами и приведут к неверному итоговому результату. Отличительная особенность игры с природой состоит в том, что в ней сознательно действует только один из участников, в большинстве случаев называемый игроком 1. Игрок 2 (природа) сознательно против игрока 1 не действует, а выступает как не имеющий конкретной цели и случайным образом выбирающий очередные «ходы» партнер по игре. Поэтому термин «природа» характеризует некую объективную действительность, которую не следует понимать буквально, хотя вполне могут встретиться ситуации, в которых «игроком» 2 действительно может быть природа (например, обстоятельства, связанные с погодными условиями или с природными стихийными силами). На примере игры с природой рассмотрим проблему заготовки угля на зиму. Задача 3.1. Необходимо закупить уголь для обогрева дома. Количество хранимого угля ограничено и в течение холодного периода должно быть полностью израсходовано. Предполагается, что неизрасходованный зимой уголь в лето пропадает. Покупать уголь можно в любое время, однако летом он дешевле, чем зимой. Неопределенность состоит в том, что не известно, какой будет зима: суровой, тогда придется докупать уголь, или мягкой, тогда часть угля может остаться неиспользованной. Очевидно, что у природы нет злого умысла и она ничего против человека «не имеет». С другой стороны, долгосрочные прогнозы, составляемые метеорологическими службами, неточны и поэтому могут использоваться в практической деятельности только как ориентировочные при принятии решений. Решение. Матрица игры с природой аналогична матрице стратегической игры: А = ||а ij ||, где а ij - выигрыш игрока 1 при реализации его чистой стратегии i и чистой стратегии j игрока 2 (i = 1, ..., m; j = 1, ..., п ). Мажорирование стратегий (см.
разд. 2.4) в игре с природой имеет определенную специфику: исключать из рассмотрения можно лишь доминируемые стратегии игрока 1: если для всех j
=1, ..., п
* Впрочем, в матричных представлениях игр с природой значения выигрышей принимающего решения игрока не всегда располагаются по строкам. Это допустимо делать и по столбцам, принимая ЛПР как игрока 2, понимая, однако, что мажорировать можно только стратегии принимающего решения игрока. Такой подход осуществлен в некоторых задачах, представленных в гл. 6 - 8 настоящего учебного пособия. На первый взгляд отсутствие обдуманного противодействия упрощает игроку задачу выбора решения. Однако, хотя ЛПР никто не мешает, ему труднее обосновать свой выбор, поскольку в этом случае гарантированный результат не известен. Методы принятия решений в играх с природой зависят от характера неопределенности, точнее от того, известны или нет вероятности состояний (стратегий) природы, т.е. имеет ли место ситуация риска или неопределенности. Ниже будут описаны методы, применяемые в обоих случаях. Рассмотрим организацию и аналитическое представление игры с природой. Пусть игрок 1 имеет т возможных стратегий: А 1 , A2 , ... , А m , а у природы имеется п возможных состояний (стратегий): П1 , П2 , ..., П n , тогда условия игры с природой задаются матрицей А выигрышей игрока 1: Платит, естественно, не природа, а некая третья сторона (или совокупность сторон, влияющих на принятие решений игроком 1 и объединенных в понятие «природа»). Возможен и другой способ задания матрицы игры с природой: не в виде матрицы выигрышей, а в виде так называемой матрицы рисков R = ||rij ||m,n или матрицы упущенных возможностей. Величина риска - это размер платы за отсутствие информации о состоянии среды. Матрица R может быть построена непосредственно из условий задачи или на основе матрицы выигрышей А. Риском r ij игрока при использовании им стратегии А i и при состоянии среды П j будем называть разность между выигрышем, который игрок получил бы, если бы он знал, что состоянием среды будет П j , и выигрышем, который игрок получит, не имея этой информации. Зная состояние природы (стратегию) П j , игрок выбирает ту стратегию, при которой его выигрыш максимальный, т.е. rij = b j – aij при заданном j . Например, для матрицы выигрышей Согласно введенным определениям r ij и b j получаем матрицу рисков Независимо от вида матрицы игры требуется выбрать такую стратегию игрока (чистую или смешанную, если последняя имеет смысл), которая была бы наиболее выгодной по сравнению с другими. Необходимо отметить, что в игре с природой понятие смешанной стратегии игрока не всегда правомерно, поскольку его действия могут быть альтернативными, т.е. выбор одной из стратегий отвергает все другие стратегии (например, выбор альтернативных проектов). Прежде всего следует проверить, нет ли среди стратегий игрока мажорируемых, и, если таковые имеются, исключить их. 3.2. ПРИНЯТИЕ РЕШЕНИЙ В УСЛОВИЯХ ПОЛНОЙ НЕОПРЕДЕЛЕННОСТИ Неопределенность, связанную с отсутствием информации о вероятностях состоянии среды (природы), называют «безнадежной» или «дурной». В таких случаях для определения наилучших решении используются следующие критерии: максимакса, Вальда, Сэвиджа, Гурвица. Альтернативные подходы, в частности принципы Байеса - Лапласа, рассматриваются в разд. 6.2.1. Применение каждого из перечисленных критериев проиллюстрируем на примере матрицы выигрышей (3.1) или связанной с ней матрицы рисков (3.2). Критерий максимакса.
С его помощью определяется стратегия, максимизирующая максимальные выигрыши для каждого состояния природы. Это критерий крайнего оптимизма. Наилучшим признается решение, при котором достигается максимальный выигрыш, равный Нетрудно увидеть, что для матрицы А наилучшим решением будет А 1 , при котором достигается максимальный выигрыш - 9. Следует отметить, что ситуации, требующие применения такого критерия, в экономике в общем нередки, и пользуются им не только безоглядные оптимисты, но и игроки, поставленные в безвыходное положение, когда они вынуждены руководствоваться принципом «или пан, или пропал». Максиминный критерий Вальда.
С позиций данного критерия природа рассматривается как агрессивно настроенный и сознательно действующий противник типа тех, которые противодействуют в стратегических играх (см.
гл. 2). Выбирается решение, для которого достигается значение Для платежной матрицы А (3.1) нетрудно рассчитать: • для первой стратегии (i
=
1) • для второй стратегии (i
=2) •
для третьей стратегии (i
=3) Тогда В соответствии с критерием Вальда из всех самых неудачных результатов выбирается лучший (W = 3). Это перестраховочная позиция крайнего пессимизма, рассчитанная на худший случай. Такая стратегия приемлема, например, когда игрок не столь заинтересован в крупной удаче, но хочет себя застраховать от неожиданных проигрышей. Выбор такой стратегии определяется отношением игрока к риску. Критерий минимаксного риска Сэвиджа. Выбор стратегии аналогичен выбору стратегии по принципу Вальда с тем отличием, что игрок руководствуется не матрицей выигрышей А (3.1), а матрицей рисков R (3.2): Для матрицы R (3.2) нетрудно рассчитать: • для первой стратегии (i
=1) •
для второй стратегии (i
=2) • для третьей стратегии (i
=3) Минимально возможный из самых крупных рисков, равный 4, достигается при использовании первой стратегии А 1 . Критерий пессимизма-оптимизма Гурвица. Этот критерий при выборе решения рекомендует руководствоваться некоторым средним результатом, характеризующим состояние между крайним пессимизмом и безудержным оптимизмом. Согласно этому критерию стратегия в матрице А выбирается в соответствии со значением При p = 0 критерий Гурвица совпадает с максимаксным критерием, а при р = 1 - с критерием Вальда. Покажем процедуру применения данного критерия для матрицы А (3.1) при р = 0,5: • для первой стратегии • для второй стратегии • для третьей стратегии Тогда Применительно к матрице рисков R критерий пессимизма-оптимизма Гурвица имеет вид: При р
= 0 выбор стратегии игрока 1 осуществляется по условию наименьшего из всех возможных рисков ( В случае, когда по принятому критерию рекомендуется к использованию несколько стратегий, выбор между ними может делаться по дополнительному критерию, например в расчет могут приниматься средние квадратичные отклонения от средних выигрышей при каждой стратегии. Данная идея отвечает подходу, рассмотренному в разд.1.2 (см. рис. 1.1). Еще раз подчеркнем, что здесь стандартного подхода нет. Выбор может зависеть от склонности к риску ЛПР. В заключение приведем результаты применения рассмотренных выше критериев на примере следующей матрицы выигрышей: Для игрока 1 лучшими являются стратегии: • по критерию Вальда – А 3 , • по критерию Сэвиджа – А 2 и А 3 , • по критерию Гурвица (при р = 0,6) – А 3 ; • по критерию максимакса – А 4 . Поскольку стратегия А 3 , фигурирует в качестве оптимальной по трем критериям выбора из четырех испытанных, степень ее надежности можно признать достаточно высокой для того, чтобы рекомендовать эту стратегию к практическому применению. Таким образом, в случае отсутствия информации о вероятностях состоянии среды теория не дает однозначных и математически строгих рекомендации по выбору критериев принятия решений. Это объясняется в большей мере не слабостью теории, а неопределенностью самой ситуации. Единственный разумный выход в подобных случаях - попытаться получить дополнительную информацию, например, путем проведения исследований или экспериментов. В отсутствие дополнительной информации принимаемые решения теоретически недостаточно обоснованы и в значительной мере субъективны. Хотя применение математических методов в играх с природой не дает абсолютно достоверного результата и последний в определенной степени является субъективным (вследствие произвольности выбора критерия принятия решения), оно тем не менее создает некоторое упорядочение имеющихся в распоряжении ЛПР данных: задаются множество состояний природы, альтернативные решения, выигрыши и потери при различных сочетаниях состояния «среда - решение». Такое упорядочение представлений о проблеме само по себе способствует повышению качества принимаемых решений. 3.3. ПРИНЯТИЕ РЕШЕНИЙ В УСЛОВИЯХ РИСКА Методы принятия решении в условиях риска разрабатываются и обосновываются в рамках так называемой теории статистических решений. При этом в случае «доброкачественной», или стохастической, неопределенности, когда состояниям природы поставлены в соответствие вероятности, заданные экспортно либо вычисленные, решение обычно принимается на основе критерия максимума ожидаемого среднего выигрыша или минимума ожидаемого среднего риска (матрицы типа (3.1) либо (3.2)). Если для некоторой игры с природой, задаваемой платежной матрицей А = ||aij ||m,n , стратегиям природы П j соответствуют вероятности р j , то лучшей стратегией игрока 1 будет та, которая обеспечивает ему максимальный средний выигрыш, т.е. Применительно к матрице рисков (матрице упущенных выгод) лучшей будет та стратегия игрока, которая обеспечивает ему минимальный средний риск:
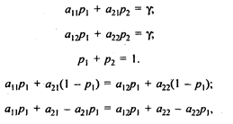
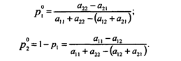
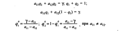
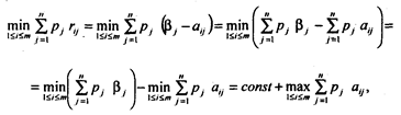
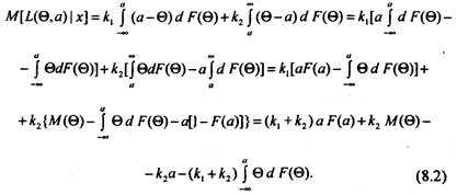
Заметим, что когда говорится о среднем выигрыше или риске, то подразумевается многократное повторение акта принятия решений. Условность предположения заключается в том, что реально требуемого количества повторений чаще всего может и не быть. Покажем, что критерии (3.3) и (3.4) эквивалентны в том смысле, что оптимальные значения для них обеспечивает одна и та же стратегия А i , игрока 1. Действительно, т.е. значения критериев отличаются на постоянную величину, поэтому принятое решение не зависит от стратегии А i . Например, для игры, задаваемой матрицей А (3.1) или матрицей R (3.2), при условии, что р 1 = р 2 = р 3 = р 4 = 1/4, А 1 - лучшая стратегия игрока 1 по критерию (3.3), поскольку Эта же стратегия является лучшей для игрока 1 по критерию (3.4) относительно обеспечения минимального уровня риска: На практике целесообразно отдавать предпочтение матрице выигрышей (3.1) или матрице рисков (3.2) в зависимости от того, какая из них определяется с большей достоверностью. Это особенно важно учитывать при экспертных оценках элементов матриц А и R. 3.4. ВЫБОР РЕШЕНИЙ С ПОМОЩЬЮ ДЕРЕВА РЕШЕНИЙ (ПОЗИЦИОННЫЕ ИГРЫ) Рассмотрим более сложные (позиционные, или многоэтапные) решения в условиях риска. Одноэтапные игры с природой, таблицы решений (см. разд.3.3), удобно использовать в задачах, имеющих одно множество альтернативных решений и одно множество состояний среды. Многие задачи, однако, требуют анализа последовательности решений и состояний среды, когда одна совокупность стратегий игрока и состояний природы порождает другое состояние подобного типа. Если имеют место два или более последовательных множества решений, причем последующие решения основываются на результатах предыдущих, и/или два или более множества состояний среды (т.е. появляется целая цепочка решений, вытекающих одно из другого, которые соответствуют событиям, происходящим с некоторой вероятностью), используется дерево решений. Дерево решений — это графическое изображение последовательности решений и состояний среды с указанием соответствующих вероятностей и выигрышей для любых комбинаций альтернатив и состояний среды. 3.4.1. ПРИНЯТИЕ РЕШЕНИЙ С ПРИМЕНЕНИЕМ ДЕРЕВА РЕШЕНИЙ В постановочном плане рассмотрим несколько задач, которые могут быть решены с помощью данного метода. Задача 3.2. Разведывательное бурение скважин. Некоторая нефтяная разведывательная партия должна решить, стоит ли бурить скважины на данном участке до того, как истечет срок контракта. Для руководителей партии не ясны многие обстоятельства: • в какую сумму обойдется стоимость бурения, зависящая от качества грунта, глубины залегания нефти и т.д.; • на какие запасы нефти в этом месте можно рассчитывать; • сколько будет стоить эксплуатация скважины. В распоряжении руководства имеются объективные данные об аналогичных и не вполне похожих скважинах этого типа. При помощи сейсмической разведки можно получить дополнительную информацию, которая, однако, не дает исчерпывающих сведений о геофизической структуре разведываемого участка. Кроме того, получение сейсмической информации стоит недешево, поэтому еще до того, как будет принято окончательное решение (бурить или нет), следует определить, есть ли необходимость собирать эти сведения. Задача 3.3. Выпуск нового товара. Большая химическая компания успешно завершила исследования по усовершенствованию строительной краски. Руководство компании должно решить, производить эту краску самим (и если - да, то какой мощности строить завод) либо продать патент или лицензию, а также технологию независимой фирме, которая имеет дело исключительно с производством и сбытом строительной краски. Основные источники неопределенности: • рынок сбыта, который фирма может обеспечить при продаже новой краски по данной цене; • расходы на рекламу, если компания будет сама производить и продавать краску; • время, которое потребуется конкурентам, чтобы выпустить на рынок подобный товар (успеет ли компания за этот срок окупить затраты, понесенные для того, чтобы стать лидером в данной сфере производства). Компания может получить некоторые дополнительные сведения, имеющие косвенное отношение к проблемам проникновения конкурентов на рынок сбыта, опросив часть поставщиков краски. Но к материалам опросов следует относиться с осторожностью, ибо поставщики в действительности могут поступать не так, как они первоначально предполагают. В качестве подтверждения последнего суждения можно привести исследования, проведенные американскими автомобильными корпорациями для того, чтобы определить спрос на большие легковые автомобили. Несмотря на надвигающийся энергетический кризис 1971-1973 гг., результаты анкетирования показали, что американские покупатели по-прежнему предпочитают многоместные легковые автомобили. Однако на деле все произошло с точностью до наоборот, и на рынке стали пользоваться спросом небольшие, экономичные машины. Такие результаты опроса могут быть частично объяснены скрытностью человеческого характера, и это должно учитываться при принятии решений. 3.4.2. АНАЛИЗ И РЕШЕНИЕ ЗАДАЧ С ПОМОЩЬЮ ДЕРЕВА РЕШЕНИЙ Процесс принятия решений с помощью дерева решений в общем случае предполагает выполнение следующих пяти этапов. Этап 1. Формулирование задачи. Прежде всего необходимо отбросить не относящиеся к проблеме факторы, а среди множества оставшихся выделить существенные и несущественные. Это позволит привести описание задачи принятия решения к поддающейся анализу форме. Должны быть выполнены следующие основные процедуры: определение возможностей сбора информаций для экспериментирования и реальных действии; составление перечня событии, которые с определенной вероятностью могут произойти; установление временного порядка расположения событий, в исходах которых содержится полезная и доступная информация, и тех последовательных действий, которые можно предпринять. Этап 2. Построение дерева решений. Этап 3. Оценка вероятностей состояний среды, т.е. сопоставление шансов возникновения каждого конкретного события. Следует отметить, что указанные вероятности определяются либо на основании имеющейся статистики, либо экспертным путем. Этап 4. Установление выигрышей (или проигрышей, как выигрышей со знаком минус) для каждой возможной комбинации альтернатив (действий) и состояний среды. Этап 5. Решение задачи. Прежде чем продемонстрировать процедуру применения дерева решений, введем ряд определений. В зависимости от отношения к риску решение задачи может выполняться с позиций так называемых «объективистов» и «субъективистов». Поясним эти понятия на следующем примере. Пусть предлагается лотерея: за 10 дол. (стоимость лотерейного билета) игрок с равной вероятностью р = 0,5 может ничего не выиграть или выиграть 100 дол. Один индивид пожалеет и 10 дол. за право участия в такой лотерее, т.е. просто не купит лотерейный билет, другой готов заплатить за лотерейный билет 50 дол., а третий заплатит даже 60 дол. за возможность получить 100 дол. (например, когда ситуация складывается так, что, только имея 100 дол., игрок может достичь своей цели, поэтому возможная потеря последних денежных средств, а у него их ровно 60 дол., не меняет для него ситуации). Безусловным денежным эквивалентом (БДЭ) игры называется максимальная сумма денег, которую ЛПР готов заплатить за участие в игре (лотерее), или, что то же, та минимальная сумма денег, за которую он готов отказаться от игры. Каждый индивид имеет свой БДЭ. Индивида, для которого БДЭ совпадает с ожидаемой денежной оценкой (ОДО) игры, т.е. со средним выигрышем в игре (лотерее), условно называют объективистом, индивида, для которого БДЭ ^ ОДО, - субъективистом. Ожидаемая денежная оценка рассчитывается как сумма произведений размеров выигрышей на вероятности этих выигрышей. Например, для нашей лотереи ОДО = 0,5*0 + 0,5*100 = 50 дол. Если субъективист склонен к риску, то его БДЭ > ОДО. Если не склонен, то БДЭ < ОДО. Вопрос об отношении к риску более строго рассматривается в гл. 4i Предположим, что решения принимаются с позиции объективиста. Рассмотрим процедуру принятия решения на примере следующей задачи. Задача 3.4. Руководство некоторой компании решает, создавать ли для выпуска новой продукции крупное производство, малое предприятие или продать патент другой фирме. Размер выигрыша, который компания может получить, зависит от благоприятного или неблагоприятного состояния рынка (табл. 3.1). На основе данной таблицы выигрышей (потерь) можно построить дерево решений (рис. 3.1).
Рис. 3.1. Дерево решений без дополнительного обследования конъюнктуры рынка: ÿ - решение (решение принимает игрок): [*] - случай (решение "принимает" случай); // - отвергнутое решение Таблица 3.1
• Вероятность благоприятного и неблагоприятного состояний экономической среды равна 0,5. Процедура принятия решения заключается в вычислении для каждой вершины дерева (при движении справа налево) ожидаемых денежных оценок, отбрасывании неперспективных ветвей и выборе ветвей, которым соответствует максимальное значение ОДО. Определим средний ожидаемый выигрыш (ОДО): • для вершины 1 ОДО1 = 0,5*200 000 + 0,5(-180 000) = 10 000 дол.; • для вершины 2 ОДО2 = 0,5*100 000 + 0,5(-20 000) = 40 000 дол.; • для вершины 3 ОДО3 = 10 000 дол. Вывод. Наиболее целесообразно выбрать стратегию а2 , т.е. строить малое предприятие, а ветви (стратегии) а1 и а3 дерева решений можно отбросить. ОДО наилучшего решения равна 40 000 дол. Следует отметить, что наличие состояния с вероятностями 50 % неудачи и 50 % удачи на практике часто означает, что истинные вероятности игроку скорее всего неизвестны и он всего лишь принимает такую гипотезу (так называемое предположение «fifty - fifty» - пятьдесят на пятьдесят). Усложним рассмотренную выше задачу. Пусть перед тем, как принимать решение о строительстве, руководство компании должно определить, заказывать ли дополнительное исследование состояния рынка или нет, причем предоставляемая услуга обойдется компании в 10 000 дол. Руководство понимает, что дополнительное исследование по-прежнему не способно дать точной информации, но оно поможет уточнить ожидаемые оценки конъюнктуры рынка, изменив тем самым значения вероятностей. Относительно фирмы, которой можно заказать прогноз, известно, что она способна уточнить значения вероятностей благоприятного или неблагоприятного исхода. Возможности фирмы в виде условных вероятностей благоприятности и неблагоприятности рынка сбыта представлены в табл. 3.2. Например, когда фирма утверждает, что рынок благоприятный, то с вероятностью 0,78 этот прогноз оправдывается (с вероятностью 0,22 могут возникнуть неблагоприятные условия), прогноз о неблагоприятности рынка оправдывается с вероятностью 0,73. Таблица 3.2
Предположим, что фирма, которой заказали прогноз состояния рынка, утверждает: • ситуация будет благоприятной с вероятностью 0,45; • ситуация будет неблагоприятной с вероятностью 0,55. На основании дополнительных сведений можно построить новое дерево решений (рис. 3.2), где развитие событий происходит от корня дерева к исходам, а расчет прибыли выполняется от конечных состояний к начальным.
Рис. 3.2. Дерево решений при дополнительном обследовании рынка (см. условные обозначения к рис. 3.1) Анализируя дерево решений, можно сделать следующие выводы: • необходимо проводить дополнительное исследование конъюнктуры рынка, поскольку это позволяет существенно уточнить принимаемое решение; • если фирма прогнозирует благоприятную ситуацию на рынке, то целесообразно строить большое предприятие (ожидаемая максимальная прибыль 116 400 дол.), если прогноз неблагоприятный - малое (ожидаемая максимальная прибыль 12 400 дол.). 3.4.3. ОЖИДАЕМАЯ ЦЕННОСТЬ ТОЧНОЙ ИНФОРМАЦИИ Предположим, что консультационная фирма за определенную плату готова предоставить информацию о фактической ситуации на рынке в тот момент, когда руководству компании надлежит принять решение о масштабе производства. Принятие предложения зависит от соотношения между ожидаемой ценностью (результативностью) точной информации и величиной запрошенной платы за дополнительную (истинную) информацию, благодаря которой может быть откорректировано принятие решения, т.е. первоначальное действие может быть изменено. Ожидаемая ценность точной информации о фактическом состоянии рынка равна разности между ожидаемой денежной оценкой при наличии точной информации и максимальной ожидаемой денежной оценкой при отсутствии точной информации. Рассчитаем ожидаемую ценность точной информации для примера, в котором дополнительное обследование конъюнктуры рынка не проводится. При отсутствии точной информации, как уже было показано выше, максимальная ожидаемая денежная оценка равна: ОДО = 0,5 * 100 000 - 0,5 * 20 000 = 40 000 дол. Если точная информация об истинном состоянии рынка будет благоприятной (ОДО =200 000 дол., см. табл. 3.1), принимается решение строить крупное производство; если неблагоприятной, то наиболее целесообразное решение - продажа патента (ОДО=10 000 дол.). Учитывая, что вероятности благоприятной и неблагоприятной ситуаций равны 0,5, значение ОДОт.и (ОДО точной информации) определяется выражением: ОДОт.и = 0,5 * 200 000 + 0,5 * 10 000 = 105 000 дол. Тогда ожидаемая ценность точной информации равна: ОЦт.и = ОДОт.и - ОДО = 105 000 - 40 000 = 65 000 дол. Значение ОЦт.и показывает, какую максимальную цену должна быть готова заплатить компания за точную информацию об истинном состоянии рынка в тот момент, когда ей это необходимо. Задача 3.5. Компания «Российский сыр» - небольшой производитель различных продуктов из сыра на экспорт. Один из продуктов - сырная паста - поставляется в страны ближнего зарубежья. Генеральный директор должен решить, сколько ящиков сырной пасты следует производить в течение месяца. Вероятности того, что спрос на сырную пасту в течение месяца будет 6, 7, 8 или 9 ящиков, равны соответственно 0,1; 0,3; 0,5; 0,1. Затраты на производство одного ящика равны 45 дол. Компания продает каждый ящик по цене 95 дол. Если ящик с сырной пастой не продается в течение месяца, то она портится и компания не получает дохода. Сколько ящиков следует производить в течение месяца? Решение. Пользуясь исходными данными, строим матрицу игры. Стратегиями игрока 1 (компания «Российский сыр») являются различные показатели числа ящиков с сырной пастой, которые ему, возможно, следует производить. Состояниями природы выступают величины спроса на аналогичное число ящиков. Вычислим, например, показатель прибыли, которую получит производитель, если он произведет 8 ящиков, а спрос будет только на 7. Каждый ящик продается по 95 дол. Компания продала 7, а произвела 8 ящиков. Следовательно, выручка будет 7*95, а издержки производства 8 ящиков 8*45. Итого прибыль от указанного сочетания спроса и предложения будет равна: 7*95 - 8*45 = 305 дол. Аналогично производятся расчеты при других сочетаниях спроса и предложения. В итоге получим следующую платежную матрицу в игре с природой (табл. 3.3). Как видим, наибольшая средняя ожидаемая прибыль равна 352,5 дол. Она отвечает производству 8 ящиков. Таблица 3.3
* В скобках приведена вероятность спроса на ящики. На практике чаще всего в подобных случаях решения принимаются исходя из критерия максимизации средней ожидаемой прибыли или минимизации ожидаемых издержек. Следуя такому подходу, можно остановиться на рекомендации производить 8 ящиков, и для большинства ЛПР рекомендация была бы обоснованной. Именно так поступаем мы, когда в гл. 6 - 8 рассматриваем различные прикладные задачи принятия решений в играх с природой. Однако, привлекая дополнительную информацию в форме расчета среднего квадратичного отклонения как индекса риска, мы можем уточнить принятое на основе максимума прибыли или минимума издержек решение. Это в полной мере согласуется с характеристиками вариантов, представленных на рис. 1.1. Дополнительные рекомендации могут оказаться неоднозначными, зависимыми от склонности к риску ЛПР. Вспомним необходимые для наших исследований формулы теории вероятностей [2, с. 109, 119]: дисперсия случайной величины x, равна D x = M( x 2 ) – (M x ) 2 ; среднее квадратичное отклонение
где D и М - соответственно символы дисперсии и математического ожидания. Проводя соответствующие вычисления для случаев производства 6, 7, 8 и 9 ящиков, получаем: 6 ящиков
7 ящиков
8 ящиков
9 ящиков
Вывод. Из представленных результатов расчетов с учетом полученных показателей рисков - средних квадратичных отклонении - очевидно, что производить 9 ящиков при любых обстоятельствах нецелесообразно, ибо средняя ожидаемая прибыль, равная 317, меньше, чем для 8 ящиков (352,5), а среднее квадратичное отклонение (76) для 9 ящиков больше аналогичного показателя для 8 ящиков (63,73). А вот целесообразно ли производство 8 ящиков по сравнению с 7 или 6 - неочевидно, так как риск при производстве 8 ящиков (sx = 63,73) больше, чем при производстве 7 ящиков (sx = 28,5) и тем более 6 ящиков, где sx = 0. Вся информация с учетом ожидаемых прибылей и рисков налицо. Решение должен принимать генеральный директор компании «Российский сыр» с учетом его опыта, склонности к риску и степени достоверности показателей вероятностей спроса: 0,1; 0,3; 0,5; 0,1. Авторы, учитывая все приведенные числовые характеристики случайной величины - прибыли, склоняются к рекомендации производить 7 ящиков (не 8, что вытекает из максимизации прибыли без учета риска!). Читателю предлагается обосновать свой выбор. Задача 3.6. Рассмотрим упомянутую выше проблему закупки угля для обогрева дома. Имеются следующие данные о количестве и ценах угля, необходимого зимой для отопления дома (табл. 3.4). Вероятности зим: мягкой - 0,35; обычной - 0,5; холодной - 0,15. Таблица 3.4
Эти цены относятся к покупкам угля зимой. Летом цена угля 6 ф. ст. за 1 т, у вас есть место для хранения запаса угля до 6 т, заготавливаемого летом. Если потребуется зимой докупить недостающее количество угля, докупка будет по зимним ценам. Предполагается, что весь уголь, который сохранится до конца зимы, в лето пропадет.* Сколько угля летом покупать на зиму? * Предположение делается для упрощения постановки и решения задачи. Решение. Построим платежную матрицу (табл. 3.5). Таблица 3.5
Произведем расчет ожидаемой средней платы за уголь (табл. 3.6). Таблица 3.6
Как видим из табл. 3.6, наименьшая ожидаемая средняя плата приходится на случай мягкой зимы (30,15 ф. ст.). Соответственно если не учитывать степени риска, то представляется целесообразным летом закупить 4 т угля, а зимой, если потребуется, докупить уголь по более высоким зимним ценам. Если продолжить исследование процесса принятия решения и аналогично задаче 3.5 вычислить средние квадратичные отклонения платы за уголь для мягкой, обычной и холодной зимы, то соответственно получим: • для мягкой зимы sx = 5,357; • для обычной зимы sx = 2,856; • для холодной зимы sx = 0. Минимальный риск, естественно, будет для холодной зимы, однако при этом ожидаемая средняя плата за уголь оказывается максимальной - 36 ф. ст. Вывод. Мы склоняемся к варианту покупки угля для обычной зимы, так как согласно табл. 3.6 ожидаемая средняя плата за уголь по сравнению с вариантом для мягкой зимы возрастает на 3,5 %, а степень риска при этом оказывается почти в 2 раза меньшей (sx = 2,856 против 5,357). Отношение среднего квадратичного отклонения к математическому ожиданию (средний риск на затрачиваемый 1 ф. ст.) для обычной зимы составляет Эти соотношения и позволяют нам рекомендовать покупку угля, ориентируясь не на мягкую, а на обычную зиму. Задача 3.7. АО «Фото и цвет» - небольшой производитель химических реактивов и оборудования, которые используются некоторыми фотостудиями при изготовлении 35-мм фильмов. Один из продуктов, который предлагает «Фото и цвет», - ВС-6. Президент АО продает в течение недели 11, 12 или 13 ящиков ВС-6. От продажи каждого ящика АО получает 35 дол. прибыли. Как и многие фотографические реактивы, ВС-6 имеет очень малый срок годности. Поэтому, если ящик не продан к концу недели, он должен быть уничтожен. Каждый ящик обходится предприятию в 56 дол. Вероятности продать 11, 12 и 13 ящиков в течение недели равны соответственно 0,45; 0,35; 0,2. Как вы советуете поступить? Как вы порекомендуете поступить, если бы «Фото и цвет» мог сделать ВС-6 с добавкой, значительно продлевающей срок его годности? Решение. Матрицу игры с природой (здесь АО «Фото и цвет» - игрок с природой, а природа - торговая конъюнктура) строим по аналогии с рассмотренными выше задачами (табл. 3.7). Таблица 3.7
* В скобках приведены вероятности спроса на ящики. Расчет средней ожидаемой прибыли производится с использованием вероятностей состояний природы, как и в задачах 3.5 и 3.6. Вывод. Наибольшая из средних ожидаемых прибылей (385 дол.) отвечает при заданных возможностях спроса производству 11 ящиков ВС-6. Производство 11 ящиков в неделю и следует рекомендовать АО «Фото и цвет», ибо показатель риска - среднее квадратичное отклонение, как нетрудно убедиться, sx = 0 - минимален при максимальной средней ожидаемой прибыли. Если срок службы химического реактива будет удлинен, то его производство даже при прежнем спросе можно увеличить, частично поставляя на склад для последующей реализации. ЗАДАЧИ ДЛЯ САМОСТОЯТЕЛЬНОГО РЕШЕНИЯ Задача 3.8. Компания, производящая стиральный порошок, работает в условиях свободной конкуренции. Порошок выпускается блоками, причем цена одного блока в будущем месяце является неопределенной: 10 руб. с вероятностью 0,3; 15 руб. с вероятностью 0,5; 20 руб. с вероятностью 0,2. Полные затраты (ПЗ) на производство Q блоков стирального порошка определяются зависимостью ПЗ = 1000 + 5Q + 0,0025Q2 . Постройте таблицу решений и определите суточный выпуск продукции компании (в блоках), при котором среднесуточная прибыль будет максимальной. Задача 3.9. Спрос на некоторый товар, производимый монополистом, определяется зависимостью Q = 100 — 5р + 5j , где j - достоверно неизвестный уровень дохода потребителей, р - цена товара. По оценкам экспертов, Полные затраты на производство товара определяются зависимостью ПЗ = 5 + 4Q + 0,05Q2 . Сколько товара должен выпускать монополист и по какой цене продавать, чтобы максимизировать свою ожидаемую прибыль? Задача 3.10. Молодой российский бизнесмен предполагает построить ночную дискотеку неподалеку от университета. По одному из допустимых проектов предприниматель может в дневное время открыть в здании дискотеки столовую для студентов и преподавателей. Другой вариант не связан с дневным обслуживанием клиентов. Представленные бизнес-планы показывают, что план, связанный со столовой, может принести доход в 250 тыс. руб. Без открытия столовой бизнесмен может заработать 175 тыс. руб. Потери в случае открытия дискотеки со столовой составят 55 тыс. руб., а без столовой- 20 тыс. руб. Определите наиболее эффективную альтернативу на основе средней стоимостной ценности в качестве критерия. Задача 3.11. Небольшая частная фирма производит косметическую продукцию для подростков. В течение месяца реализуется 15, 16 или 17 упаковок товара. От продажи каждой упаковки фирма получает 75 руб. прибыли. Косметика имеет малый срок годности, поэтому, если упаковка не продана в месячный срок, она должна быть уничтожена. Поскольку производство одной упаковки обходится в 115 руб., потери фирмы составляют 115 руб., если упаковка не продана к концу месяца. Вероятности продать 15, 16 или 17 упаковок за месяц составляют соответственно 0,55; 0,1 и 0,35. Сколько упаковок косметики следует производить фирме ежемесячно? Какова ожидаемая стоимостная ценность этого решения? Сколько упаковок можно было бы производить при значительном продлении срока хранения косметической продукции? Задача 3.12. Магазин «Молоко» продает в розницу молочные продукты. Директор магазина должен определить, сколько бидонов сметаны следует закупить у производителя для торговли в течение недели. Вероятности того, что спрос на сметану в течение недели будет 7, 8, 9 или 10 бидонов, равны соответственно 0,2; 0,2; 0,5 и 0,1. Покупка одного бидона сметаны обходится магазину в 70 руб., а продается сметана по цене 110 руб. за бидон. Если сметана не продается в течение недели, она портится, и магазин несет убытки. Сколько бидонов сметаны желательно приобретать для продажи? Какова ожидаемая стоимостная ценность этого решения? Задача 3.13. Найти наилучшие стратегии по критериям: максимакса, Вальда, Сэвиджа, Гурвица (коэффициент пессимизма равен 0,2), Гурвица применительно к матрице рисков (коэффициент пессимизма равен 0,4) для следующей платежной матрицы игры с природой (элементы матрицы - выигрыши):
Задача 3.14. Директор лицея, обучение в котором осуществляется на платной основе, решает, следует ли расширять здание лицея на 250 мест, на 50 мест или не проводить строительных работ вообще. Если население небольшого города, в котором организован платный лицей, будет расти, то большая реконструкция могла бы принести прибыль 250 тыс. руб. в год, незначительное расширение учебных помещений могло бы приносить 90 тыс. руб. прибыли. Если население города увеличиваться не будет, то крупное расширение обойдется лицею в 120 тыс. руб. убытка, а малое - 45 тыс. руб. Однако информация о том, как будет изменяться население города, отсутствует. Построите дерево решений и определите лучшую альтернативу, используя критерии Вальда. Чему равно значение ОДО для наилучшей альтернативы в отсутствие необходимой информации? Пусть при тех же исходных данных государственная статистическая служба предоставила информацию об изменении численности населения: вероятность роста численности населения составляет 0,7; вероятность того, что численность населения останется неизменной или будет уменьшаться, равна 0,3. Определите наилучшее решение, используя критерий максимизации ожидаемой денежной оценки. Чему равно значение ОДО для наилучшей альтернативы при получении дополнительной информации? Какова ожидаемая ценность дополнительной информации? Задача 3.15. При крупном автомобильном магазине планируется открыть мастерскую по предпродажному обслуживанию и гарантийному ремонту автомобилей. Консультационная фирма готова предоставить дополнительную информацию о том, будет ли рынок благоприятным или нет. Эти сведения обойдутся магазину в 13 тыс. руб. Администрация магазина считает, что эта информация гарантирует благоприятный рынок с вероятностью 0,5. Если рынок будет благоприятным, то большая мастерская принесет прибыль в 60 тыс. руб., а маленькая - 30 тыс. руб. При неблагоприятном рынке магазин потеряет 65 тыс. руб., если будет открыта большая мастерская, и 30 тыс. руб.- если откроется маленькая. Не имея дополнительной информации, директор оценивает вероятность благоприятного рынка как 0,6. Положительный результат обследования гарантирует благоприятный рынок с вероятностью 0,8. При отрицательном результате рынок может оказаться благоприятным с вероятностью 0,3. Постройте дерево решений и определите: • Следует ли заказать консультационной фирме дополнительную информацию, уточняющую конъюнктуру рынка? • Какую мастерскую следует открыть при магазине: большую или маленькую? • Какова ожидаемая денежная оценка наилучшего решения? • Какова ожидаемая ценность дополнительной информации? Задача 3.16. Фирма, производящая вычислительную технику, провела анализ рынка нового высокопроизводительного персонального компьютера. Если будет выпущена крупная партия компьютеров, то при благоприятном рынке прибыль составит 250 тыс. руб., а при неблагоприятных условиях фирма понесет убытки в 185 тыс. руб. Небольшая партия техники в случае ее успешной реализации принесет фирме 50 тыс. руб. прибыли и 10 тыс. руб. убытков - при неблагоприятных внешних условиях. Возможность благоприятного и неблагоприятного исходов фирма оценивает одинаково. Исследование рынка, которое может провести эксперт, обошлось фирме в 15 тыс. руб. Эксперт считает, что с вероятностью 0,6 рынок окажется благоприятным. В то же время при положительном заключении благоприятные условия ожидаются лишь с вероятностью 0,8. При отрицательном заключении с вероятностью 0,15 рынок также может оказаться благоприятным. Используйте дерево решений для того, чтобы помочь фирме выбрать правильную технико-экономическую стратегию. Ответьте на следующие вопросы: • Следует ли заказывать эксперту дополнительное обследование рынка? • Какую максимальную сумму фирма может выплатить эксперту за проделанную работу? • Какова ожидаемая денежная оценка наилучшего решения? Задача 3.17. Автомобильный завод получает реле поворота от двух поставщиков: А и В. Качество этих изделий характеризуется данными в табл.3.8. Таблица 3.8
Полные затраты, связанные с ремонтом одного бракованного реле, составляют 5 руб. Реле поступают партиями по 20 000 шт. Поскольку качество изделий у поставщика В хуже, он уступает всю партию на 500 руб. дешевле. Постройте дерево решений. Какого поставщика следует выбрать? Глава 4 ФУНКЦИЯ ПОЛЕЗНОСТИ НЕЙМАНА - МОРГЕНШТЕРНА 4.1. ОСНОВНЫЕ ОПРЕДЕЛЕНИЯ И АКСИОМЫ Обоснование выбора решения в предыдущих главах выполнялось с позиции объективиста. Если же ЛПР - субъективист, то он будет руководствоваться индивидуально определенным БДЭ. Поясним смысл этой величины. Рассмотрим ситуацию, когда игрок с вероятностью 0,8 выигрывает 40 дол. и с вероятностью 0,2 проигрывает 20 дол. Попробуем выяснить, за какую сумму ЛПР уступит свое право участвовать в игре. Как отмечалось, объективист пользуется правилом: БДЭ = ОДО = 0,8*40 + 0,2 (–20) = 28 дол. Поэтому свое право на игру он уступит не менее чем за 28 дол. Субъективист, как правило, готов уступить свое право на игру за меньшую сумму, поскольку для него БДЭ < ОДО. Причинами такого поведения могут быть: • финансовое состояние игрока (возможно, он на грани банкротства и ему необходимы денежные средства); • отношение игрока к риску вообще (склонность к риску); • настроение или состояние здоровья игрока; • множество других, даже непосредственно не относящихся к бизнесу причин. Величина БДЭ может изменяться со временем в зависимости от обусловленных указанными причинами обстоятельств. Например, в случае катастрофической нехватки финансовых средств (наличных денег) право на игру можно уступить и за более низкий эквивалент. Исследуем реалистичность критерия выбора решения, основанного на расчете ОДО. Рассмотрим две альтернативы: 1) выигрыш 1 000 000 дол. с вероятностью 1; 2) игра (лотерея): выигрыш 2 100 000 дол. с вероятностью 0,5 и проигрыш 50 000 дол. с вероятностью 0,5. В этом случае ОДО= 0,5* 2 100 000 - 0,5* 50 000 = 1 025 000 дол. Относительно получаемого среднего выигрыша указанные альтернативы практически эквивалентны, и если игрок безразличен к риску, он выберет вторую альтернативу. Если он к риску не безразличен, а подавляющее число людей именно таковыми являются, то выбор будет зависеть главным образом от финансового состояния игрока. Игроки, имеющие скромный денежный доход, предпочтут не рисковать и выберут гарантированный выигрыш. Для ЛПР, обладающего достаточно крупным капиталом, проигрыш в 50 000 дол. невелик, и он предпочтет рискнуть. Рисковать будут также игроки, патологически склонные к финансовым авантюрам. В данной главе будут изложены основы математической теории принятия субъективных решений [13]. Методология рационального принятия решений в условиях неопределенности, основанная на функции полезности индивида, опирается на пять аксиом, которые отражают минимальный набор необходимых условий непротиворечивого и рационального поведения игрока. Для компактного изложения аксиом нам потребуется следующее определение. Определение 4.1. Предположим, что конструируется игра, в которой индивид с вероятностью а получает денежную сумму х и с вероятностью (1 – a ) - сумму z. Эту ситуацию будем обозначать G(x, z: a ). Аксиома
1.
Аксиома сравнимости (полноты). Для всего множества S
неопределенных альтернатив (возможных исходов) индивид может сказать, что либо исход х
предпочтительнее исхода у
(х Аксиома 2.
Аксиома транзитивности (состоятельности). Если х
Аксиома 3.
Аксиома сильной независимости. Предположим, что мы конструируем игру, в которой индивид с вероятностью а получает денежную сумму х и с вероятностью (1 - α) — сумму z
, т.е. G(x,
z
: α). Сильная независимость означает, что если индивид безразличен в отношении к выбору между х
и у
(х
Аксиома 4.
Аксиома измеримости. Если х
Поясним смысл этой аксиомы. Пусть, например, имеем три исхода: х =
1000; у =
0; z
означает смерть игрока. Исходя из здравого смысла смерть нельзя сравнивать ни с каким выигрышем, и соответствующего этому исходу значения вероятности α существовать не может. Однако в жизни бывают ситуации, когда некий проигрыш равнозначен смерти. Тогда утверждение у
Аксиома 5.
Аксиома ранжирования. Если альтернативы у
и и
находятся по предпочтительности между альтернативами х
и z
и можно построить игры, такие, что индивид безразличен в отношении к выбору между у
и G
(x, z:
α2
), a также к выбору между и
и G(x, z:
α2
), то при Поясним смысл этой аксиомы. Пусть существуют следующие альтернативы: х = 1000; у = 500; и = 200; z = –10. Пусть эквивалентны две пары ситуаций, одна из которых неигровая, а другая игровая: 1) гарантированно получить 500 или игра: с вероятностью α1 , выиграть 1000 и с вероятностью (1 – α1 ) проиграть 10, т.е. 500 2) гарантированно получить 200 или игра: с вероятностью α2 выиграть 1000 и с вероятностью (l - α2 ) проиграть 10, т.е. 200 Очевидно, что при указанных условиях α1
Утверждение аксиомы вполне соответствует здравому смыслу: чем больше вероятность крупного выигрыша, тем больше игра «стоит», т.е. тем большая плата потребуется за приобретение права участвовать в этой игре. Если принять приведенные аксиомы и предположить, что люди предпочитают большее количество некоторого блага меньшему, то все это в совокупности определяет рациональное поведение ЛПР. При названных предположениях американскими учеными Дж. Нейманом и О. Моргенштерном было показано, что ЛПР при принятии решения будет стремиться к максимизации ожидаемой полезности. Другими словами, из всех возможных решении он выберет то, которое обеспечивает наибольшую ожидаемую полезность. Сформулируем определение полезности по Нейману-Моргенштерну. Определение 4.2. Полезность - это некоторое число, приписываемое лицом, принимающим решение, каждому возможному исходу. Функция полезности Неймана - Моргенштерна для ЛПР показывает полезность, которую он приписывает каждому возможному исходу. У каждого ЛПР своя функция полезности, которая показывает его предпочтение к тем или иным исходам в зависимости от его отношения к риску. Определение 4.3. Ожидаемая полезность события равна сумме произведений вероятностей исходов на значения полезностей этих исходов. Проиллюстрируем практическую реализацию введенных понятий на примере расчета ОДО и сопоставления этого значения с полезностью. Задача 4.1. Нефтеперерабатывающая фирма решает вопрос о бурении скважины. Известно, что если фирма будет бурить, то с вероятностью 0,6 нефти найдено не будет; с вероятностью 0,1 запасы месторождения составят 50 000 т; с вероятностью 0,15 -100 000 т; с вероятностью 0,1 - 500 000 т; с вероятностью 0,05 -1 000 000 т. Если нефть не будет найдена, то фирма потеряет 50 000 дол.; если мощность месторождения составит 50 000 т, то потери снизятся до 20 000 дол.; мощность месторождения в 100 000 т принесет прибыль 30 000 дол.; 500 000 т- 430 000 дол.; 1 000 000 т - 930 000 дол. Дерево решений данной задачи представлено на рис. 4.1. Нетрудно рассчитать ожидаемое значение выигрыша: ОДО = 0,6(-50 000) + 0,1 (-20 000) + 0,15*30 000 + + 0,1*430 000 + 0,05*930 000 = 62 000 дол.
Рис. 4.1. Дерево решений для задачи 4.1 (прибыль указана в долларах) Если ЛПР, представляющий фирму, безразличен к риску и принимает решение о проведении буровых работ на основании рассчитанного ОДО, то он воспринимает ожидаемую полезность как пропорциональную ОДО, полагая U = 62. Учитывая, что U - индивидуальное число, характеризующее ЛПР, нули, отвечающие расчету ОДО, можно отбросить. В этом случае функция полезности U(v), где v - прибыль, получаемая при различных исходах, является прямой с положительным наклоном. Ниже будет показано, что U можно задавать с точностью до некоторого монотонного преобразования. Для принятия решения в случае небезразличия ЛПР к риску необходимо уметь оценивать значения полезности каждого из допустимых исходов. Дж. Нейман и О. Моргенштерн предложили процедуру построения индивидуальной функции полезности, которая (процедура) заключается в следующем: ЛПР отвечает на ряд вопросов, обнаруживая при этом свои индивидуальные предпочтения, учитывающие его отношение к риску. Значения полезностей могут быть найдены за два шага. Шаг 1. Присваиваются произвольные значения полезностей выигрышам для худшего и лучшего исходов, причем первой величине (худший исход) ставится в соответствие меньшее число. Например, для приведенной выше задачи U (-50 000 дол.) = 0, а U (930 000 дол.) = 50. Тогда полезности промежуточных выигрышей будут находиться в интервале от 0 до 50. Полезность исхода даже для одного индивида определяется не однозначно, а с точностью до монотонного преобразования. Пусть, например, имеем x1 , х 2 ,..., х n - полезности, приписываемые п ожидаемым значениям выигрышей. Тогда α+βx1 , α+ βх 2 ,..., α+ βх n (где (β > 0) также будут полезностями. Если в задаче 4.1 при расчете полезности отбросить последние нули, это будет эквивалентно линейному преобразованию функции полезности при α = 0 и β = 0,001. Шaг 2. Игроку предлагается на выбор: получить некоторую гарантированную денежную сумму U
( Рассчитаем полезность результатов любого из возможных исходов для задачи 4.1. Пусть для ЛПР безразлично: потерять 20 000 дол. или принять участие в игре (выигрыш 930 000 дол. с вероятностью 0,1 или проигрыш 50 000 дол. с вероятностью 0,9). Согласно формуле (4.1) имеем: U (-20) = 0,1 U (930) + 0,9 U (-50) = 5, при этом по определению принято, что U (-50) = 0, U (930) = 50, откуда следует, что U (-20) = 5. Таким образом, если определена шкала измерения, то может быть построена функция полезности ЛПР (рис. 4.2).
Рис. 4.2. График полезности для задачи 4.
Рис. 4.3. Типы функции полезности Неймана — Моргенштерна для ЛПР, не склонного к риску (а), безразличного к риску (б), склонного к риску (в) В общем случае график функции полезности может быть трех типов (рис. 4.3): • для ЛПР, не склонного к риску, — строго вогнутая функция, у которой каждая дуга кривой лежит выше своей хорды (рис. 4.3 а); • для ЛПР, безразличного к риску, — прямая линия (рис. 4.3 б), • для ЛПР, склонного к риску, — строго выпуклая функция, у которой каждая дуга кривой лежит ниже своей хорды (рис. 4.3 в ). 4.2. ИЗМЕРЕНИЕ ОТНОШЕНИЯ К РИСКУ Исследуем график функции полезности, представленной на рис. 4.4. Для такого типа ЛПР полезность среднего выигрыша (полезность ОДО) больше ожидаемой полезности игры: с вероятностью p выиграть М 1 и с вероятностью (1 - р ) выиграть М 2 .
Рис. 4.4. График функции полезности ЛПР, не склонного к риску Формально мы имеем график вогнутой функции, о которой известно, что ордината любой точки кривой больше ординаты точки хорды кривой. Определим соотношение, характеризующее ЛПР, не склонного к риску. Нетрудно видеть, что U(M1 ) - значение полезности в точке А; U(M2 ) - значение полезности в точке В; U(pM1 + (1 - р )М 2 ) - значение полезности в точке С . Уравнение хорды АВ имеет вид: U1 = а + bМ , где U1 - совокупность точек, лежащих на отрезке прямой. Найдем значения параметров а и b уравнения прямой. В точке А имеем U(M1 ) = а + bМ 1 . В точке В имеем U(M2 ) = а + bМ 2 . Вычитаем из первого выражения второе, исключая величину a: U(M1 ) – U(M2 ) = b(M1 – М 2 ) , откуда получаем: После подстановки значений для параметров а и b уравнение хорды АВ имеет вид: где М 1 £ М £ M2 . Пусть М = рМ 1 + (1 – р )М 2 , где 0 £ р £ 1, тогда в точке С справедливо неравенство
Подставив в это неравенство вычисленные значения а и b , получим: или U (pM1 + (1 - р)М 2 ) > PU(M1 ) + (1 - p )U(M 2 ). (4.2) Неравенство (4.2) характерно для функции полезности ЛПР, не склонных к риску. Оно действительно показывает, что полезность среднего выигрыша (полезность ОДО) больше ожидаемой полезности игры: с вероятностью р выиграть М 1 и с вероятностью ( 1 – р) выиграть М 2 . Аналогично можно показать, что для функций полезности ЛПР, склонных к риску, справедливо неравенство U(pM1 + ( 1 – р)М 2 ) < pU(M1 ) + (1 – p)U(M2 ). (4.3) Для функций полезности ЛПР, безразличных (нейтральных) к риску, имеет место равенство U(pM1 + ( 1 – р)М 2 ) = pU(M1 ) + (1 – p)U(M2 ). (4.4) Склонность или несклонность ЛПР к риску, как уже отмечалось, зависит от его финансового положения, текущей ситуации принятия решения и других факторов. Иначе говоря, эта характеристика ЛПР не является абсолютной, присущей ему при любых обстоятельствах. Приведем пример игры, по отношению к которой любой игрок не склонен к риску. Петербургский парадокс (игра придумана петербургскими гусарами). Играют двое. Один бросает монету до тех пор, пока не выпадет «орел». Выигрыш равен (2)n руб., где п - число бросков до появления «орла». Ожидаемая величина выигрыша: ОДО = 2(1/2) + (2)2 (1/4) + (2)3 (1/8) + ... = 1+1+1+ ... . Вряд ли какой-либо игрок согласится заплатить за право участвовать в этой игре сумму, равную ОДО: эта сумма бесконечно велика. Предположим теперь, что имеет место игра (лотерея) с альтернативами a и в , т.е. G(a,в: a). Исследуем проблему, как целесообразнее поступить ЛПР: играть или получить гарантированный выигрыш, равный ожидаемому выигрышу. Пусть функция полезности игрока определена как U(W) = ln(W ), где W - величина благосостояния. Пусть игра заключается в выигрыше 5 дол. с вероятностью 0,8 и в выигрыше 30 дол. с вероятностью 0,2. Ожидаемая величина выигрыша (ОДО): E(W) = 5*0,8 + 30*0,2 = 10 дол. Для указанной логарифмической функции полезности имеем зависимость, выраженную в табл. 4.1. Таблица 4.1
Рассчитаем полезность ОДО для данной игры: U(E(W)) = U (10) = ln(10) = 2,3, т.е. полезность отказа от игры при получении гарантированного выигрыша, равного 10 дол. (ОДО данной игры), оценивается в 2,3 ютиля (ютиль - условная единица полезности). Если ЛПР предпочтет игру, то E(U(W)) = 0,8U (5) + 0,2U (30) = 0,8*1,61 + 0,2*3,40 = 1,97 ютиля. Для рассмотренной логарифмической функции полезности большей полезностью обладает вариант с получением гарантированного выигрыша, равного E (W )=ОДО, а не участие в игре (2,3 > 1,97). Такое лицо, принимающее решение, не склонно к риску. Выводы. Из соотношении (4.2) – (4.4) вытекает: • если U(E(W)) > E(U(W)), игрок не склонен к риску; • если U(E(W)) = E(U(W)), игрок нейтрален (безразличен) к риску; • если U(E(W)) < E(U(W}), игрок склонен к риску. Здесь Е и U - соответственно символы математического ожидания и функции полезности. Пусть по-прежнему полезность выражается логарифмической зависимостью U(W) = ln(W) (см. табл. 4.1). Определим, какую максимальную сумму пожелает заплатить ЛПР, чтобы избежать игры, в которой с вероятностью 0,8 он выигрывает 5 дол. (уменьшение выигрыша на 5 дол. по сравнению с ОДО = 10 дол.) и с вероятностью 0,2 выигрывает 30 дол. (увеличение выигрыша на 20 дол. по сравнению с ОДО). Значение ожидаемой полезности игры составляет 1,97 ютиля, что соответствует гарантированному выигрышу 7,17 дол. (ln7,17 = 1,97). С другой стороны, сумма ожидаемого выигрыша в случае игры (ОДО) равна 10 дол. Поэтому, чтобы избежать игры, ЛПР согласится заплатить максимальную сумму, равную 10 – 7,17 = 2,83 дол. Из этого следует, что, если ЛПР предлагают застраховаться от игры и просят за это сумму, меньшую, чем 2,83 дол., ему выгодно принять предложение. В данном случае величина, равная 2,83 дол., - премия (максимальная плата) за риск. Рассмотрим некоторые приложения теории полезности. Задача 4.2. Оптимальная величина страхования. Ювелир владеет бриллиантом стоимостью 100 000 дол. и желает застраховать его от кражи. Страховка покупается по правилу: цена страховки составляет 20 % от суммы, которую страхуют. Например, если бриллиант страхуется на всю стоимость (100 000 дол.), страховка стоит 20 000 дол., если страхуется на половину цены (50 000 дол.). то страховка обходится в 10 000 дол. Если ювелир будет знать (построит) свою функцию полезности, он сможет рассчитать, на какую оптимальную сумму следует застраховать дорогую вещь. Ювелир может оказаться в одной из двух ситуации: 1) бриллиант украден; 2) бриллиант не украден. Чем больше сумма страхования, тем больше его состояние (капитал), если бриллиант украден, но тем меньше его состояние, если бриллиант не украден. Например, если бриллиант застрахован на 50 000 дол., имеют место два случая: 1. Бриллиант украден. При этом потери ювелира рассчитываются следующим образом: -100 000 (бриллиант) - 10 000 (страховка) + 50 000 (компенсация) = -60 000 дол., а капитал 50 000-10 000 = 40 000 дол. 2. Бриллиант не украден. В этом случае капитал ювелира составит: 100 000 (бриллиант) - 10 000 (страховка) = 90 000 дол. Если бриллиант застрахован на 100 000 дол., то в случае кражи бриллианта капитал составит 100 000 - 20 000 = 80 000 дол. Если бриллиант не украден, капитал также составит 80 000 дол. Обозначим капитал ювелира в случае, если бриллиант не украден, через Yn : Yn = 100 000 - 0,2К, (4.5) где К - сумма страхования. Если бриллиант украден, то капитал ювелира определим как Yt : Yt = 0,8 K . Соответствующий график, отражающий бюджетное ограничение, представлен на рис. 4.5.
Рис. 4.5. Графическое решение задачи 4.2 Предположим, что можно экспертно определить вероятность р того, что бриллиант будет украден. Тогда полезность капитала Y t , равна U(Yt ). Вероятность того, что бриллиант не украден, составляет (1-р ), и U(Yn ) - полезность капитала Yn в этом случае. Ожидаемая полезность U «игры» (с вероятностью р бриллиант украден и с вероятностью (1 - р ) - не украден) определяется согласно формуле (4.1) выражением U = pU(Yt )+ (1-p )U (Yn ). Значения Yt и Yn следует выбирать таким образом, чтобы ожидаемая полезность была максимальной, т.е. pU(Yt
) +
(1-р)(Yn
) Пусть точка касания кривой безразличия (линия одинаковой полезности) на рис. 4.5 соответствует Yn = 86 000 дол., Yt = 56 000 дол. Тогда согласно формуле (4.5) имеем: 86 000 = 100 000 - 0,2К, откуда оптимальная величина страхования К = 70 000 дол. Задача 4.3. Спрос на страхование. Пусть финансовое состояние индивида оценивается заданным значением W. Предполагается, что можно вычислить вероятность р потери некоторой части этого состояния, определяемой суммой L £ W (например, в результате пожара). Индивид может купить страховой полис, в соответствии с которым ему возместят нанесенный ущерб в размере q. Плата за страхование составляет p q, где p - доля страхования в объеме нанесенного ущерба. Проблема состоит в определении значения q. Исследуем задачу максимизации ожидаемой полезности финансового состояния индивида в ситуации, когда с вероятностью р страховой случай происходит и с вероятностью ( 1 –р) - не происходит. Тогда задача сводится к поиску максимума по q ожидаемой полезности капитала индивида:
Применим необходимое условие оптимальности - продифференцируем выражение в квадратных скобках по q и приравняем производную нулю: где q* - оптимальное значение q. В результате получаем: Предполагая известным вид функции U, из соотношения (4.6) находим значение q*. Рассчитаем ожидаемую прибыль страховой компании, учитывая, что страховой случай имеет вероятностный характер. Если страховой случай произошел, компания получает доход p q – q. Если страховой случай не наступил, компания получает доход p q. Поэтому ожидаемая прибыль компании р( p q - q)+ (1 - р) pq = p p q - pq + p q - p p q = q( p - р), где р - вероятность наступления страхового случая. Конкуренция между страховыми компаниями уменьшает прибыль, которая в условиях совершенной конкуренции стремится к нулю, т.е. из условия q(
p - р) = 0
следует, что p
Это означает, что доля платежа от страхуемой суммы p приближается к вероятности несчастного случая р. Если соотношение p = р ввести в условие максимума ожидаемой полезности, то получим:
Если потребитель не склонен к риску, то W – L + (1 - p )q* =W – p q* , или – L + q* – p q* = – p q*, откуда q* = L. Вывод. Страховаться целесообразно на сумму, которую можно потерять в результате несчастного случая. ЗАДАЧИ ДЛЯ САМОСТОЯТЕЛЬНОГО РЕШЕНИЯ Задача 4.4. Допустим, что функция полезности ЛПР логарифмическая U(W) = ln(W) и весь его капитал составляет 5 тыс. руб. Возникают две ситуации: 1. С вероятностью 0,5 ЛПР может выиграть и проиграть 1 тыс. руб. Есть ли смысл покупать страховой полис, устраняющий риск, за 125 руб.? 2. ЛПР рискнул, отказался от страхового полиса и проиграл 1 тыс. руб. Та же ситуация возникла во второй раз. Следует ли ему застраховаться от риска на прежних условиях (125 руб. за страховой полис). Что целесообразнее: приобрести полис или принять участие в игре? Задача 4.5. Предположим, что ваша функция полезности определяется логарифмической зависимостью U(W)= ln(W) и вы сталкиваетесь с ситуацией, когда можете с равными шансами выиграть и проиграть 1 тыс. руб. Сколько вы готовы заплатить, чтобы избежать риска, если текущий уровень вашего благосостояния равен 10 тыс. руб.? Сколько вы заплатили бы, если бы ваше состояние было 1 млн руб.? Задача 4.6. Мелкий бизнесмен сталкивается с ситуацией, когда с вероятностью 10 % пожар может уничтожить все его имущество, с вероятностью 10 % - уменьшить его недвижимость до 50 тыс. руб., с вероятностью 80 % огонь не принесет ему вреда и стоимость его имущества останется равной 100 тыс. руб. Какую максимальную сумму он готов заплатить за страховку, если его функция полезности имеет логарифмический вид U(W) = ln(W ), а страховые выплаты составляют 100 тыс. руб. для первого случая и 50 тыс. руб. для второго случая? Задача 4.7. Пусть функция полезности «нового русского» имеет вид: U(W ) = 10 + 2W, где W - денежный выигрыш. Бизнесмен может вложить в строительство магазина 25 тыс. руб. и считает, что с вероятностью 0,5 он получит прибыль в 32 тыс. руб. и с вероятностью 0,5 потеряет весь свой капитал. Определите: • Следует ли осуществлять инвестирование проекта? • Если будет сделано инвестирование, то какова ожидаемая полезность этого мероприятия? Задача 4.8. В профессиональном теннисе нередко имеет место практика дележа призов за первое и второе места поровну между финалистами (тайный сговор до начала состязания). Например, если первый приз равен 100 000 дол., а второй - 32 000 дол., то каждый получает по 66 000 дол. (66 000 = (100 000 + 32000) / 2). Определите: • Если игрок склонен к риску и уверен, что его выигрыш и проигрыш равновероятны (50 %), то согласится ли он участвовать в дележе? • Предположим, что функция полезности одного из игроков имеет вид, представленный на рис. 4.6. Пожелал бы такой игрок участвовать в дележе призов, если шанс выиграть составляет 50 %? • Как правило, игроки, попавшие в финал, не соглашаются на предварительный дележ призов, поскольку они уверены в своей победе. Какова должна быть минимальная вероятность выигрыша, чтобы с представленной на рис. 4.6 функцией полезности рассчитывать на получение приза за первое место?
Рис. 4.6. Функция полезности одного из игроков в задаче 4.8 Задача 4.9. Предполагается, что типичная функция полезности дохода для человека имеет вид, показанный на рис. 4.7. Определите: • Предпочтет ли такой человек получить со 100 %-ной определенностью доход В или принять участие в игре, в которой с вероятностью 0,5 получает доход А и с вероятностью 0,5 - доход С, где В = А/2 + С/2?
Рис. 4.7. Типичная функция полезности дохода для человека • Предпочтет ли человек с такой функцией полезности получить со 100 %-нои определенностью доход D или принять участие в игре, в которой выигрывает сумму С с вероятностью 0,5 и сумму Е с вероятностью 0,5 (D=C/2 + E /2)? Задача 4.10. Управляющий банком во время своего отпуска желает совершить кругосветное путешествие, которое стоит 10 000 дол. Полезность путешествия можно оценить количеством денег, потраченных на отдых (W). Пусть его функция полезности выражается зависимостью U(W) = ln(W). Определите: • Если существует вероятность, равная 0,25, потерять во время путешествия 1 000 дол., то какова ожидаемая полезность кругосветного путешествия? • Отдыхающий банкир может приобрести страховку от потери 1 000 дол. за 250 дол., купив, например, дорожные чеки. Покажите, что ожидаемая полезность в случае, когда он покупает страховку, выше по сравнению с ситуацией, когда потеря 1 000 дол. происходит без страхования. • Какова максимальная денежная сумма, которую банкир готов заплатить за страховку от потери 1 000 дол.? Глава 5 ФИНАНСОВЫЕ РЕШЕНИЯ В УСЛОВИЯХ РИСКА 5.1. ДИНАМИЧЕСКИЕ МОДЕЛИ ПЛАНИРОВАНИЯ ФИНАНСОВ Опишем модели оптимального многоэтапного планирования инвестиции в различные проекты. Индекс риска, связанного с реализацией каждого из проектов, оценивается экспортно по десятибалльной шкале. Каждому допустимому проекту отвечает свой заданный индекс риска. Общий подход к построению моделей в форме линейного программирования демонстрируется на задачах 5.1 и 5.2. Задача 5.1. Акционерное общество (АО) закрытого типа заключило контракт на покупку нового оборудования для производства железобетонных блоков стоимостью 750 000 дол. В соответствии с условиями контракта 150 000 дол. в качестве аванса необходимо уплатить через 2 месяца, а остальную сумму - через 6 месяцев, когда оборудование будет установлено. Чтобы расплатиться полностью и в указанные сроки, руководство АО планирует создать целевой фонд, предназначенный для инвестиций. Поскольку инвестиционная деятельность принесет дополнительную наличность к моменту расчета за приобретенное оборудование, отложить следует не всю сумму в 750 000 дол., а меньшую. Сколько именно, зависит от имеющихся возможностей и правильности организации процесса инвестирования. Акционерное общество решило сосредоточиться на 4 направлениях (12 возможностях) использования средств целевого фонда. Данные для задачи финансового планирования приведены в табл. 5.1. Руководство АО ставит перед собой три основные цели: 1) при данных возможностях инвестирования и утвержденного графика выплат должна быть разработана стратегия, минимизирующая наличную сумму денег, которые АО направляет на оплату оборудования по контракту; Таблица 5.
2) при разработке оптимальной стратегии средний индекс риска инвестиционных фондов в течение каждого месяца не должен превышать 6. Этот показатель индекса риска, как предполагается, отвечает возможностям менеджера фирмы по управлению проектами; 3) в начале каждого месяца (после того, как сделаны новые инвестиции) средняя продолжительность погашения инвестиционных фондов не должна превышать 2,5 месяца. Причины те же, что и в п. 2. Таким образом, среди потенциально реализуемых проектов выбираются наиболее экономически эффективные, при этом проекты повышенной рисковости должны компенсироваться менее рисковыми, а очень длинные проекты должны выполняться одновременно с более краткосрочными. Для решения данной задачи необходимо, во-первых, подготовить и систематизировать имеющуюся исходную информацию и, во-вторых, построить адекватную сформулированным целям экономико-математическую модель. Динамика возможных вложений и условий возврата денежных средств отражена в табл. 5.2. Обозначения в модели: А i - объем инвестиций в направление (проект) А в начале месяца i (i = 1,2,...,6); В i - объем инвестиций в направление (проект) В в начале месяца i (i = 1,3,5); Таблица 5.2
С i - объем инвестиции в направление (проект) С в начале месяца i (i = 1,4); Di - объем инвестиций в направление (проект) D в начале месяца i (i = 1); К - объем инвестиций в начале первого месяца. Цели, на достижение которых направлена инвестиционная деятельность АО, а также необходимые ограничения формализуются следующими соотношениями: 1. Начальная сумма инвестиций К должна быть минимальной: К ® min. 2. Согласно табл. 5.2 балансовые ограничения на структуру инвестиций для каждого месяца имеют вид:
3. Ограничения на средневзвешенные риски проектов (для каждого месяца)*:
4. Ограничения на средний срок погашения инвестиционного фонда (для каждого месяца):
* Запись А Таким образом, задача описывается моделью линейного программирования, имеющей 19 ограничений в форме равенств и неравенств и 13 переменных.* Оптимальное решение, найденное с помощью специальной компьютерной программы на ПК IBM PC/AT, имеет вид:
* Последние два ограничения в блоке 4 в силу неотрицательности искомых переменных выполняются всегда, и их можно не учитывать. Благодаря полученному оптимальному решению удалось обеспечить уплату в срок обусловленных контрактом 150 000 дол. и вместо необходимых для конечных расчетов 600 000 дол. (750 000 - 150 000 = 600 000 дол.) заработать К = 683 176,44 дол., часть из которых способствовала уменьшению долговых обязательств по контракту (на 13,86 %). Оптимальное решение показывает, каким неочевидным заранее, но эффективным способом распределяются инвестиционные ресурсы по месяцам реализации проекта. Это демонстрирует возможности линейного программирования, обусловливая эффективность того, что на первый взгляд таковым не казалось. Задача 5.2. В табл. 5.3 отражены пять проектов, которые конкурируют между собой за получение инвестиционных фондов компании. Мы видим, какие наличные деньги будут получены на вложение одного доллара. Таблица 5.3
Например, проект А - это инвестиции, которые можно сделать в начале первого года на два следующих года, причем в конце этого же года можно возвратить 30 центов на вложенный доллар, а в конце следующего года можно дополнительно получить еще 1 дол. Максимальная сумма, которая может быть вложена в этот проект, составляет 500 000 дол. Проект В полностью аналогичен проекту А, но вложение денег можно сделать только в начале следующего года и т.д. Деньги, полученные в результате инвестиций, можно реинвестировать в соответствии с предложенной схемой. В дополнение к этому компания может получать по 6 % годовых за краткосрочный вклад всех денег, которые не были вложены в инвестиции в данном году. У компании имеется 1 000 000 дол. для инвестиций. Она хочет максимизировать сумму денег, накопленных к конечному периоду. Сформулируем задачу линейного программирования и получим решение на ЭВМ. Решение. Построим экономико-математическую модель и приведем полученное на ЭВМ оптимальное решение. Обозначения: a1 , b1 , c1 , d1 , е 1 - инвестиции в проекты А, В, С, D, Е соответственно; индексы 1,2,3 указывают первый, второй и третий годы вложения инвестиций; s1 , s2 , s3 - суммы, которые можно положить под краткосрочные 6 % соответственно в первом, втором, третьем годах. Экономико-математическая модель: а) в проект А в первый год не может быть вложено более 500 000 дол.: а 1 £ 500 000; б) поскольку у компании имеется 1 000 000 дол., то во все проекты эта сумма должна быть вложена в первом году (иначе к конечному периоду компания не максимизирует своих накоплений): a1 , + с 1 + d1 + s1 = 1 000 000; в) аналогичный баланс на второй год: 0,30a1 + 1,1с 1 + 1,06s1 = b1 + s2 ; г) аналогичный баланс на третий год: а 1 + 0,3b 2 + 1,06s2 = e3 + s3 ; д) максимальный доход к конечному периоду: b2 + 1,75d1 + 1,4e3 + 1,06s3 ® max. Полученное оптимальное решение: Максимальный доход к конечному периоду равен 1 797 600 дол., что указывает на высокую эффективность инвестиционного процесса (прирост на 79,76 %). Остальные не приведенные значения указанных переменных модели равны нулю. 5.2. ОЦЕНКА ТЕКУЩЕЙ СТОИМОСТИ ФИРМЫ Будем рассматривать экономическое поведение неограниченно долго работающей акционерной фирмы в условиях неопределенности. Покажем, что для такой фирмы, функционирующей во времени, существует простое правило, которому она должна следовать, чтобы максимизировать свою прибыль: максимизировать текугцую стоимость фирмы (включая и стоимость потенциальной возможности выполнения ею проектов). 5.2.1. ЧИСТАЯ ПРИВЕДЕННАЯ СТОИМОСТЬ (БЕЗРИСКОВАЯ СИТУАЦИЯ) Дается ответ на вопрос: сколько вы сегодня заплатите за проект, который через год даст 100 дол. дохода? Плата составляет X дол., r - заданный процент прибыли (r % годовых - коэффициент дисконтирования): Рассмотрим безрисковую ситуацию, которая обеспечивается государственными ценными бумагами (облигациями, сертификатами и т.д.). Общее правило: если через t лет мы получим чистые наличные в стоимостном выражении NCF, то приведенная к начальному моменту стоимость проекта PV равна: Величину PV можно интерпретировать как сумму ожидаемого дохода минус процент на капитал в качестве компенсации за ожидание. Исходя из формулы (5.1) выявим некоторые практически важные закономерности. 1. Существует обратная зависимость между величиной PV и продолжительностью периода времени, через которую сумма NCF будет получена: PV для периода t будет больше, чем для периода t + i . Другими словами, сегодняшние деньги дороже завтрашних даже при отсутствии инфляции. А инфляция этот процесс только усиливает. 2. Существует обратная зависимость между величиной Р V при определенном размере NCF и коэффициент дисконтировая r : чем больше r , тем значение PV меньше при NCF = const, т.е. чем больше r , тем более сегодняшние деньги дороже завтрашних. 3. Существует прямая зависимость между PV и NCF при фиксированных значениях r и периоде выплаты t . Пусть в течение периода t мы получаем: через год – NCF1 , через 2 года – NCF2 ,..., через t лет – NCFt и пусть r t – ежегодный процент на капитал, который мы получаем через t лет (предполагается, что процент на капитал может ежегодно меняться, как это и наблюдается на практике). Тогда приведенная к начальному моменту стоимость PV равна: Суть формулы (5.1) при различных значениях г графически отражена на рис.5.1.
Рис. 5.1. Темпы спада pV в зависимости от времени и коэффициента дисконтирования Пример 5.1. Пусть в конце 1986 г. руководству одной из фирм США предложили участвовать в строительстве и эксплуатации нового офиса в течение 6 лет. Строительство должно начаться 1 января 1987 г. и закончиться 31 декабря 1987 г. Доходы от сдачи здания в аренду и расходы известны с определенностью и представлены в табл. 5.4 (цифры условные). Таблица 5.4
Предполагается для простоты, что платежи и поступления имеют место в конце каждого гада. В конце 1992 г. стоимость здания составляла бы 1 млн дол. Какова приведенная стоимость ( к началу 1987 г.) проекта в конце 1992 г. - начале 1993 г., если процентные ставки государственных облигации, соответствующие одному, двум, ... , шести годам, будут такими, как показано в табл. 5.5? Таблица 5.5
В 1987 г. здание еще строилось и прибыли не давало. Поэтому NCF1 = 0. С учетом данных табл. 5.4 и 5.5 приведенная к начальному моменту (1987 г.) стоимость проекта PV (строительство здания и сдача его в аренду) равна:
Пример 5.2. Рассчитаем чистую приведенную стоимость проекта NPV. Она равна разности между приведенной стоимостью всех начальных поступлений от проекта и текущей платой за проект: NPV = PV - плата за проект. (5.3) Пусть согласно условиям примера 5.1 фирме предложили 33%-ное участие в шестилетнем соглашении за 450 тыс. дол. Тогда для фирмы NPV = 0,33*1 393 966 - 450 000 = 10 009 дол. (5.4) Таким образом, с помощью формул (5.1) - (5.4) отражена экономика одного проекта фирмы. Потенциальные возможности фирмы можно охарактеризовать, по существу, портфелем ее проектов. Ценность фирмы - это ее чистая приведенная стоимость плюс чистая приведенная стоимость портфеля проектов, т.е. сумма чистых приведенных стоимостей проектов портфеля. Каким должно быть деловое поведение фирмы, желающей максимизировать свою приведенную стоимость? Пусть фирма представляется совокупностью п проектов. Станет ли она богаче, приобретя еще один, (n +1)-й, проект? Очевидно, что чистая приведенная стоимость фирмы увеличивается, если предельная выгода (приведенная стоимость дополнительного проекта) будет больше предельных затрат (того, что мы заплатили за дополнительный проект), т.е. фирма станет богаче, если чистая приведенная стоимость дополнительного проекта положительна. Фирма может выиграть от сокращения, продав проекты (капитал), которые имеют отрицательную чистую приведенную стоимость. То, что невыгодно данной фирме, может быть выгодно другой, поэтому такие проекты могут купить. Итак, чтобы максимизировать ценность (стоимость) фирмы в условиях определенности, нужно приобретать капитал (осуществлять проекты) с положительными NPV и избавляться от капитала с отрицательным NPV. Согласно формуле (5.4) предложенный проект имел чистую приведенную стоимость NPV= 10009дол.>0, однако если бы при той же (33 %) доле участия цена за это участие составляла 470 000 дол. (вместо 450 000), то NPV = –9 991 дол. < 0, т.е. такой проект следовало бы отвергнуть. Таким образом, в условиях определенности относительно малые цифры в разнице (450 000 и 470 000 дол.) затрат за участие в проекте могут решить судьбу проекта с точностью до наоборот. 5.2.2. КОЭФФИЦИЕНТЫ ДИСКОНТИРОВАНИЯ ДЛЯ РИСКОВАННОГО ПРОЕКТА Коэффициенты rt - процент на капитал, - как уже упоминалось, иначе еще называют коэффициентами дисконтирования. Коэффициенты дисконтирования от реализации рискованного проекта должны быть выше соответствующих безрисковых (гарантированных) коэффициентов, чтобы компенсировать фирме риск: rij = rt + премия за риск для j -го проекта, где r t - гарантированный коэффициент дисконтирования в году t (рис. 5.2). В практике экономики США премия за риск задается в виде экспертных оценок (табл. 5.6).
Рис. 5.2. Гарантированный коэффициент дисконтирования в году t и с учетом риска Таблица 5.6
Чем выше степень рисковости проекта (премия за риск), тем больше значения знаменателей в формуле (5.2) и соответственно меньше значение приведенной стоимости проекта и тем менее охотно инвесторы склонны вкладывать капиталы в такие проекты. Эта ситуация характерна сейчас для России и других стран СНГ. Отсюда вывод: если фирма хочет постоянно повышать свою стоимость, равную стоимости ведущихся ею проектов, она должна привлекать к себе доверие потенциальных инвесторов, уменьшая премию за риск и повышая тем самым стоимость приведенных к начальному моменту проектов. Привлечение доверия включает своевременную выплату дивидендов, другие акты взаимного доверия. Таким образом, постоянно действующей на рынке капитала фирме выгодно быть честной, это повышает ее прибыли за длительный период. Ведение инвестиционных проектов очень затрудняется в экономике вообще, если теряется доверие инвесторов. 5.3. ОЦЕНКА ПЕРСПЕКТИВНОГО ПРОЕКТА Ранее мы смотрели на проблему максимизации прибыли с точки зрения динамики и неопределенности. Относительно динамики установлено, что «сегодняшние деньги дороже завтрашних». В части фактора неопределенности доказано, что коэффициент дисконтирования должен увеличиваться за счет «премии за риск» и по этой причине снижается приведенная к начальному моменту стоимость проекта. Теперь рассмотрим, какие проекты фирме следует предпринимать. Согласно формуле (5.3) чистая приведенная стоимость проекта равна приведенной к начальному моменту стоимости проекта минус приведенные затраты на его осуществление. Запишем формулу (5.3) по-другому:
где Е — математическое ожидание. Если E(NPV) > 0, j -й проект следует принять. Если E(NPV) < 0, j -й проект следует отклонить. Процедура реализации этого правила следующая: 1. Спрогнозировать спрос и получить ожидаемую выручку (поступления) от j -го проекта E(Rjt ) в период t . 2. Спрогнозировать затраты (оценить их) и получить Е(С jt ). 3. Рассчитать E(NCFjt ) = E(Rjt ) – Е (С jt ). 4. С использованием табл. 5.5 и 5.6 определить r jt . 5. Получить ожидаемую приведенную стоимость j -го проекта E(PVj ). 6. Вычесть текущую цену j -го проекта (приведенные издержки на проект) и согласно формуле (5.3) получить E(NPVj ). Проиллюстрируем реализацию этих правил на следующем практическом примере. Рассматривается вопрос о приобретении фирмой нового оборудования за 5,3 млн дол. (далее все цифры условные, но приближенные к реальным для фирм США) [11]. Оборудование того же типа, что и остальное на фирме. Предполагается использовать это оборудование в течение пяти лет, а затем продать. Следует осуществлять этот проект или отклонить его? Менеджеры фирмы подготовили следующую информацию. Затраты фирмы - средние (А - average) и общие (Т- total) на единицу продукции описываются соответственно формулами: AVC = 20 – 3Q + 0,25 Q2 ; TVC = AVC*Q, где Q - выпуск продукции в млн единиц в год. Прогноз цены (оптимистической, наиболее вероятной и пессимистической) на продукцию фирмы по годам реализации проекта с учетом вероятностей ее возникновения отражен в табл. 5.7. Таблица 5.7
* В скобках указаны вероятности соответствующих цен. Оптимальный выпуск продукции и ожидаемая выручка по годам реализации проекта представлены в табл.5.8. Ожидаемая выручка рассчитывается как математическое ожидание с учетом вероятностей исходов согласно табл. 5.7. Например (первая цифра сверху в последней колонке табл. 5.8): 10,2 = 16 * 0,3 + 10,7 * 0,5 + 0 * 0,2. Зная объем выпуска, можно определить полные переменные затраты и, прибавив ежегодные фиксированные затраты, определить полные ежегодные затраты. Пусть в нашем случае ежегодные фиксированные затраты составляют 3,5 млн дол. Таблица 5.8
В табл. 5.9 приведены полные затраты при различных ценах и различных вероятностях исходов. Таблица 5.9
* В скобках указаны вероятности соответствующих цен. Расчет ожидаемых полных затрат (верхнее число в правой колонке, см. табл. 5.9): 10,4 = 13,1 * 0,3 +11,5 * 0,5 + 3,5 * 0,2 . Получив из табл. 5.8 и 5.9 ожидаемую выручку и ожидаемые затраты, комбинируем рассчитанные данные и получаем ожидаемые чистые поступления по годам в млн дол., т.е. E(NCFt ), табл. 5.10. Таблица 5.10
Теперь определяем коэффициент дисконтирования, считая проект средним между рискованным и высокорискованным. С учетом данных табл. 5.6 примем премию за риск, равную 7,5 %. В результате получим приведенную стоимость проекта (табл. 5.11). Таблица 5.11
Всего за 5 лет приведенная стоимость проекта составит: -0,177 - 0,155 + 1,766 + 1,835 + 3,39 = 6,659 млн дол. Чистая приведенная стоимость рассматриваемого j- го проекта за это же время равна: E{NPV j ) = 6,659 - 5,3 = 1,359 млн дол. > 0, (5.6) где 5,3 млн дол. - затраты на приобретение оборудования по первоначальному условию. Вывод. Проект следует принять. Все представленные расчеты выполнены на уровне математических ожиданий, поэтому действительный результат в отношении чистой приведенной стоимости проекта может отличаться и в ту, и в другую сторону. Тем не менее, несмотря на приближенность расчета, это обоснование проекта, а не принятие решения «по интуиции» или просто волевое решение - без обоснования. 5.4. АЛЬТЕРНАТИВНЫЕ МЕТОДЫ ПРИНЯТИЯ ПРОЕКТА Кроме описанного наиболее точного, но и наиболее трудоемкого метода принятия инвестиционных решений используются другие методы, определяемые следующими критериями: • срок окупаемости; • прибыль на капитал; • внутренняя норма прибыли. Рассмотрим суть этих методов. Срок окупаемости. Это период, в течение которого фирма вернет начальные капитальные вложения. Если срок окупаемости меньше заданного нормативного срока, то проект принимается. В противном случае отвергается. Пример 5.3. Пусть для рассмотренного в разд. 5.3 инвестиционного проекта установлен нормативный срок окупаемости капитальных вложений 3 года. Начальные капитальные вложения были определены выше и равны 5,3 млн дол. Из табл. 5.11 очевидным образом получается табл. 5.12. Поскольку наличные капиталовложения равны 5,3 млн дол., то проект окупится, как видно из табл. 5.12., лишь через 4 года при нормативном сроке 3 года. Поэтому проект должен быть отклонен. Таким образом, использование критерия по сроку окупаемости может привести к отклонению инвестиционного проекта с положительной ожидаемой чистой стоимостью (она у нас была равна 1,359 млн дол.). Нетрудно видеть, что при других нормативных сроках освоения капитальных вложений согласно данному критерию можно также прийти к принятию проекта с отрицательной ожидаемой чистой стоимостью E(NPVj ) < 0. Причина в том, что поступления от проекта в разные моменты времени не дисконтируются. Следовательно, по этому критерию слишком большой вес придается ранним поступлениям и слишком малый - более поздним. Поступления после заданного срока окупаемости не имеют ценности вообще, что противоречит здравому смыслу. Да и заданный нормативный срок окупаемости (в данном случае 3 года) субъективный. Если бы в данном примере был установлен срок 4 года, проект был бы принят. Таблица 5.12
Таким образом, метод простой, но за простотой стоит очень невысокая точность результатов, что, впрочем, логично: без серьезных научных исследований нельзя получить достаточно надежных результатов. Прибыль на капитал. Средняя прибыль на капитал инвестиционного проекта определяется как среднегодовая прибыль, деленная на сумму инвестиций в проект. Принять или не принять проект, определяется сравнением прибыли проекта с заданной. Пример 5.4. Пусть требуемая средняя норма прибыли проекта равна 60 %. Суммарные чистые поступления от проекта составляют 11,9 млн дол. в течение 5 лет (см. табл. 5.12), т.е. среднегодовая прибыль равна:
Инвестиции составили 5,3 млн дол., поэтому прибыль проекта будет
что меньше заданных 60 %. Таким образом, проект и по этому критерию отклоняется, хотя для него согласно формуле (5.6) положительная ожидаемая чистая стоимость E(NPV) > 0, и при более точной оценке проект должен быть принят. В отличие от критерия по сроку окупаемости здесь, наоборот, слишком большой вес придается поздним поступлениям: поскольку поступления не дисконтируются, удаленные по времени поступления рассматриваются как текущие, нарушается установленное выше правило, что «сегодняшние деньги дороже завтрашних». Внутренняя норма прибыли. Суть этого критерия проиллюстрируем на следующем примере. Пример 5.5. Рассмотрим однопериодный инвестиционный проект: Инвестиции, дол. ............................................. 100 000 Чистые поступления в конце года, дол. ....... 108 000 Норма прибыли N при этом равна: Следовательно, для одного периода критерий, эквивалентный правилу чистой приведенной стоимости проекта, был бы такой: принять проект, если коэффициент дисконтирования (процент на капитал) r меньше 8 %. Другими словами, вместо принятия проекта с инвестициями 100 000 дол. и под прибыль r = 8 % выгоднее просто положить деньги в банк под р % годовых, если р>r . По этой схеме работают фирмы по продаже автомашин, недвижимости в ряде западных стран. Машину можно купить в кредит под 6 % годовых, а деньги положить в банк под 9 % годовых. Здесь коэффициент дисконтирования r = 6 % < 9 %. Если бы r стал больше 9 %, состоятельные люди покупали бы машины за наличные, а часть других, возможно, не покупала бы вообще. В результате спрос на автомашины снизился бы, что было бы невыгодно производителям автомобилей. На западном рынке так обстоит дело с приобретением многих товаров и услуг, в результате значительная часть общества живет в кредит, хотя это никак не говорит об их бедности. 6.1. О БЩИЕ СВЕДЕНИЯ Создателем теории статистических игр считается А. Вальд. Он показал, что в теории принятия решений статистические игры являются основным подходом, если решение принимается в условиях частичной неопределенности. Статистические модели представляют собой игру двух лиц (человека и природы) с использованием человеком дополнительной статистической информации о состояниях природы. Она существенно отличается от антагонистической игры двух лиц с нулевой суммой, где выигрыш одного равен проигрышу другого. В статистической игре природа не является разумным игроком, который стремится выбрать для себя оптимальные стратегии. Этот игрок не заинтересован в выигрыше. Другое дело -человек, в данном случае статистик. Он имеет целью выиграть игру с воображаемым противником, т. е. с природой. Игрок-природа не выбирает оптимальной стратегии, но статистик должен стремиться к определению распределения вероятностей состояния природы. Следовательно, основными отличиями статистической игры от стратегической являются: • отсутствие стремления к выигрышу у игрока-природы, т. е. отсутствие антагонистического противника; • возможность второго игрока - статистика провести статистический эксперимент для получения дополнительной информации о стратегиях природы. Так, например, статистик, работающий в фирме «Одежда», может изучить многолетние данные о погодных условиях в местностях, где одежда будет продаваться, и в зависимости от наиболее вероятного состояния погоды выработать рекомендации, куда и какое количество партий изделий отправлять, где выгоднее и на каком уровне провести сезонное снижение цен и т. д. Таким образом, теория статистических решений является теорией проведения статистических наблюдений, обработки этих наблюдений и их использования. В теории статистических решений основные правила могут быть детерминированными и рандомизированными. В статистических играх используются понятия: риск (функция риска), потери (функция потерь), решение (функция решения), функции распределения при определенных условиях. Необходимо пояснить понятие рандомизации. Это статистическая процедура, в которой решение принимается случайным образом. Математическая энциклопедия это определяет более подробно: «Статистическая процедура принятия решения, в которой по наблюденной реализации х случайной величины Х решение принимается с помощью розыгрыша по вероятностному закону, называется рандомизацией»*. * Математическая энциклопедия. Т.4. - М.: Советская энциклопедия, 1984. - С. 865. Введем условные обозначения: В или W - множество состояний природы; В. или Qj - отдельное состояние природы, Qj Î W; А — множество действий (решений) статистика; а - отдельное решение статистика, a Î А; L - функция потерь. Множества W и А предполагаются численно определенными, поэтому представляется возможным установить распределение вероятностей. Если принятое статистиком решение a Î А и состояние природы Q Î W, то функция потерь запишется L (Q; a ); D - совокупность всех нерандомизированных (чистых) функций решения; d( F (x |Q) - функция условного распределения случайной переменной х. Предполагается, что для каждого состояния природы Q известно значение функции F (x |Q); п - объем выборки; x
Q
—
множество всех выборок объема п.
После получения результата эксперимента х
статистик использует некоторую функцию решения и принимает одно из решений а
Î
А,
когда результат эксперимента - вектор
R — функция риска; R (Q, d) - функция риска, определенная на прямом произведении W´D множества состояний природы и множества решений. Игра (W, A, L) - исходная стратегическая игра, соответствующая стратегической задаче принятия решения; G = (W, D, R) - статистическая игра; s - рандомизированная функция решения; D* - множество случайных функций решения, s Î D*. Подразумевается, что D Ì D*, так как чистая функция решения (нерандомизированная) может быть рассмотрена как смешанная, которая используется с вероятностью, равной 1; G (Q) - функция априорного распределения состояний природы Q; X - совокупность всех априорных распределений x Î X. 6.2. СВОЙСТВА СТАТИСТИЧЕСКИХ ИГР Функция решения, отображающая множество выборок X
Q
в множество решений статистика A
, называется нерандомизированной (чистой) функцией решения статистика.
Так, по результатам эксперимента Функция риска зависит от множества состояний природы и от множества функций решения и принимает значение, выраженное действительными числами. Она определяет математическое ожидание функции потерь при некотором состоянии природы Q и известной статистику функции распределения F
( Представим функцию риска: где M - знак математического ожидания; L(
Q, a) -
функция потерь при состоянии природы Q и d(
В теории статистических функций любую неотрицательную функцию L, определенную прямым произведением W´D, называют функцией потерь. Значение L( Q,d) функции потерь L в произвольной точке (Q, d) Î W´D интерпретируют как ущерб, к которому приводит принятие решений d, d ÎD, если истинное значение параметра есть Q, Q Î W. Выражение W´D - прямое произведение множества состояний природы и множества функций решения. Функция R( Q, d) не является случайной величиной, а принимается как платеж статистика в его игре с природой при следующих условиях: • состояние природы фиксировано; • функция решений выбрана, d Î D . Стратегическая игра (W, A, L)
становится статистической, G
= (W, D, R),
если используется результат эксперимента - вектор • X Q - множество n -мерных выборок; • D - множество функций решений, которые преобразуют X Q в А ; • W - множество состояний природы; • R (Q, d ) - функция риска. Статистическая игра записывается как G = (W, D, R). Данная игра является игрой двух лиц с нулевой суммой, где d ÎD - функция решения статистика, а риск R (Q, d ) статистика - платеж природе. Статистик может не прибегать к рандомизации, если он использует как оптимальную байесовскую функцию решения r (см. разд. 6.2.1). Рандомизация на стороне статистика проводится двумя методами: 1) применение решений а ÎА с определенными вероятностями (смешение решений); 2) смешение чистых функций решения d ÎD, т.е. рандомизация функций решения. Чаще применяется второй метод. Распределение вероятностей в на множестве D чистых функций решения d называется рандомизированной (смешанной) функцией решения статистика. Функция риска становится случайной величиной, если экспериментатор применяет в статистической игре случайную функцию решения dÎD *, т. е. когда каждой чистой функции решения d ÎD приписывается вероятность, с которой она должна использоваться. Платежом будет математическое ожидание функции потерь, взятое для некоторого состояния природы Q при распределении d, определенном на множестве чистых функций решения D :
Если статистик использует случайные функции решения dÎD *, то этим расширяется (обобщается) статистическая игра. Расширенная статистическая игра (W, D*, R) называется также смешанным расширением статистической игры с рандомизацией на стороне статистика. Дальнейшее расширение статистической игры может быть достигнуто при предположении, что природа также «применяет» стратегию при «выборе» своего состояния Q. Априорное распределение вероятностей x на множестве W состояний природы означает распределение до проведения эксперимента. Это априорное распределение xÎX состояний природы является случайной (смешанной) стратегией природы в статистической игре, где природа не рассматривается как разумный игрок. Если Q предполагается случайной величиной с априорным распределением x, то риск R (Q,d) становится случайной переменной при фиксированной функции решения d. В данном случае математическое ожидание риска R (Q,d) при априорном распределении x, задаваемом функцией распределения G( Q), определяется как где r (x,d) -байесовский риск функции решения в с учетом априорного распределения x. Если в качестве оптимальной принимается байесовская функция решения, то используется формула r (x,d). Вводя рандомизацию на стороне природы, приходим к дальнейшему расширению статистической игры. Игра (X, D*, r ) со смешанным расширением статистической игры с рандомизацией на стороне статистика и на стороне природы называется полностью расширенной статистической игрой. Поясним в полностью расширенной статистической игре (X, D*, r ) ее составляющие: X - множество всех априорных распределений x состояний природы или множество ее смешанных стратегий; D* - множество всех случайных функций решения; r = r (x,d) - байесовский риск. Представим схему расширения статистической игры (рис. 6.1). При наличии данных без учета стохастических распределений имеем исходную стратегическую игру двух лиц с нулевой суммой, которая относится к антагонистическим играм. Данная игра является исходной для соответствующей статистической задачи принятия решения.
Рис. 6.1. Расширение статистической игры Если статистик (экспериментатор) не имеет возможности провести эксперимент со случайной величиной X, чтобы получить ее распределение, которое зависит от состояния природы, он вынужден будет использовать только стратегическую игру (W, A, L ). Однако очень часто статистик может провести эксперимент и получить в результате вектор Далее у статистика остаются две альтернативы: 1) воспользоваться рандомизацией состояний природы и перейти к расширенной (X, D, r) статистической игре; 2) воспользоваться рандомизацией функций решения и перейти к расширенной статистической игре (W, D*, R). Наконец, если статистик применит смешанные стратегии для обоих игроков, то получит полностью расширенную статистическую игру ((W, D*, r). На практике статистик для выбора оптимальной стратегии может не производить рандомизацию, а в качестве оптимальной взять байесовскую функцию решения. А. Вальд, создавая теорию статистических игр, опирался на созданную Д. Нейманом теорию стратегических игр, поэтому сравним далее понятия стратегических игр двух лиц с нулевой суммой и понятия статистических игр статистика с природой. Для этого укажем основные обозначения в стратегической и статистической играх: Х - совокупности стратегий игрока 1; Y - совокупности стратегий игрока 2; W— платежная функция; W(X,Y) - платеж игрока 2 игроку 1; G == (X,Y,W) - игра игрока 1 с игроком 2; Г = (X, Н, К) ~ смешанное расширение игры G = (X, Y,W), где X - множество всех смешанных стратегий x игрока 1; Н - множество всех смешанных стратегий h игрока 2; К - риск игрока 2. Составим сравнительную таблицу задач статистических решений с игрой двух лиц с нулевой суммой (табл. 6.1). Таблица 6.1
Для всех состояний природы не существует одной наилучшей функции решения. От статистика требуется применение таких методов, которые дают оптимальные функции решения в более узком диапазоне. Для этого необходимо использовать критерии оптимальности. Статистик в статистической игре (W, D, R) или в расширенных статистических играх стремится к выигрышу, т. е. к определению наилучшей функции решения, при которой риск R (Q, d) был бы минимальным. Но это не просто, так как для каждого состояния природы Q имеется своя лучшая функция. Пусть у нас имеются две различные функции решения d1 и (рис. 6.2).
Рис. 6.2. Сравнение двух функций решения Можно выделить область, где функция d1 будет лучшей, - в диапазоне состояний природы Q1 < Q<Q2 . Вторая функция d2 будет лучшей для состояния природы при Q<Q1 и при Q>Q2 . Функция в Î D называется допустимой, если в множестве D* нет никакой другой функции решения d0 , которая была бы лучшей в для всех QÎW. Данная функция для каждого QÎW должна удовлетворять неравенству R (Q, d0 ) £ R (Q, d). Таким образом, допустимая функция решения не будет доминирующей стратегией статистика в статистической игре. Рассмотрение только допустимых функций существенно уменьшит множество D* до множества допустимых функций решения. Отметим, что байесовские функции решения входят в класс допустимых функций. Определение. Функция решения d0 ÎD * называется байесовской относительно априорного распределения xÎX состояний природы Q, если она минимизирует байесовский риск r (x, d) на множестве D*. Таким образом, r
(x, d) =
Теорема. Если событие А может наступить только при условии появления одного из событий В 1 , В 2 , ..., Bn , образующих полную группу несовместных событий, то вероятность события А равна сумме произведений вероятностей каждого из событий В 1 , В 2 , ..., Bn на соответствующую условную вероятность события А: где P (Bi ) - вероятность события Bi ; Р(А |В i ) - условная вероятность события А в случае, если событие В i уже произошло. Формула Байеса используется тогда, когда событие А появляется совместно с каким-либо из полной группы несовместных событий В 1 , В 2 , ..., Bn . Событие А произошло, и требуется произвести количественную переоценку вероятностей событий В 1 , В 2 , ..., Bn . При этом известны вероятности Р(В 1 ), Р(В 2 ),..., Р (Bn ) до опыта (априорные). Требуется определить вероятности после опыта (апостериорные). Апостериорные вероятности представляют собой условные вероятности Р(В 1 |А), Р(В 2 |А) ,..., Р(В n |А). Вероятность совместного наступления событий А с любым из этих событий В j по теореме умножения равна:
Эту формулу можно переписать исходя из формулы полной вероятности:
Задача 6.1. Собирается партия исправных изделий с трех предприятий. Первый завод поставляет 60 %, второй - 30 %, третий - 10 % изделий. В 1 , В 2 , В 3 - события, соответствующие тому, что изделия изготовлены на первом, втором и третьем предприятиях. Вероятность исправной работы изделий первого предприятия равна 0,98, второго - 0,99, третьего - 0,96. Определить вероятность того, что в собранную партию исправных изделий попали соответственно изделия с первого, второго и третьего предприятий. Введем обозначения: А - событие, заключающееся в том, что изделие исправно; Р(А) - полная вероятность того, что изделие исправно; Р(В 1 |А), Р(В 2 |А), Р(В 3 |А) - условные вероятности того, что исправное изделие изготовлено соответственно на первом, втором и третьем предприятиях; Р( A|В 1 ), Р( A|В 2 ), Р( A|В 3 ) - условные вероятности того, что изделие, изготовленное соответственно на первом, втором и третьем предприятиях, исправно; Р(В 1 ), Р(В 2 ), Р(В 3 ) - вероятности того, что изделие изготовлено соответственно на первом, втором и третьем предприятиях. Известно: Р (А |В 1 ) = 0,98; Р (А |В 2 ) = 0,99; Р (А |В 3 ) = 0,96; Р (В 1 ) = 0,60; Р (В 2 ) = 0,30; Р (В 3 ) = 0,10. Требуется определить Р(А); Р(В 1 |А); Р(В 2 |А); Р(В 3 |А) . Решение. 1. Определим полную вероятность того, что изделия, прибывшие с разных предприятии, исправны: 2. Вычислим условные вероятности того, что в партию исправных попали изделия с первого, второго и третьего предприятии соответственно: 3. Проверим: Р(В 1 |А) + Р(В 2 |А) + Р(В 3 |А) = 0,599 + 0,303 + + 0,098 = 1. Вывод. По формуле Байеса количественная переоценка доли предприятии в партии исправных изделии составляет: первое предприятие имеет 59,9 %; второе - 30,3 %; третье - 9,8 %. Остановимся на некоторых нестандартных принципах принятия решений. Принцип Байеса - Лапласа. Данный принцип отступает СП-условий полной неопределенности. В нем предполагается, что возможные состояния природы могут достигаться с вероятностями Р 1 , P2 ,..., Р n при условии, что Р 1 + P2 + ,..., + Р n = 1. Байес в 1763 г. предложил считать равными вероятности отдельных состояний природы. В 1812 г. Лаплас обобщил этот принцип на случай различных вероятностей, но тем не менее говорят и о байесовском подходе. Если напомнить, что байесовские функции решения входят в класс допустимых функций, то будет понятно их широкое использование в практике принятия решений (см. гл. 3). Принцип Гурвица. Этот принцип является упрощенным вариантом принципа Байеса - Лапласа. Если известны вероятности отдельных состояний, то берут среднее арифметическое результатов при наилучшем решении. Иногда, если существует возможность определить вес наихудшего и наилучшего решений, то используют их взвешенную среднюю арифметическую. Проиллюстрируем применение данного принципа на примере строительства предприятий при четырех разных состояниях природы и наличии четырех разных типов предприятий. Задача 6.2. Имеются определенные средства на возведение предприятий. Необходимо наиболее эффективно использовать капиталовложения с учетом климатических условий, подъездных путей, расходов по перевозкам и т.д. Сочетание этих факторов по влиянию на эффективность капиталовложений можно разбить на четыре состояния природы B1 , В 2 , В 3 , В 4 . Типы предприятий обозначим А 1 , А 2 , А 3 , А 4 . Эффективность строительства определяется как процент прироста дохода по отношению к сумме капитальных вложений. Информацию, отражающую постановку задачи, представим в табл. 6.2. Таблица 6.2
Варианты решений 1. Решение по принципу стратегических игр, по принципу максимина: Изменим условия задачи и предположим, что в табл. 6.2 отражены затраты на строительство предприятий, тогда выбор типа предприятий следует осуществить по принципу минимакса: 2. Решение по принципу Гурвица. Если известны все вероятности, определяющие состояния природы, сделаем выбор с помощью среднего арифметического лучшего и худшего результатов. Согласно табл. 6.2 это будет рекомендация строить предприятие А
2
,
обеспечивающее максимальную среднюю эффективность Ф = 3. Применим принцип Байеса при равных вероятностях состояний природы Р(В 1 )=Р(В 2 ) =Р(В 3 ) =Р(В 4 ) =1/4. Определим рентабельность, соответствующую решению А 1 , т. е. М 1 :
Далее определяем М 2 , М 3 , и М 4 .
Выводы. Предполагая, что все вероятности состояний природы равны, следует строить предприятие А 3 , так как M3 = 7,5 = max (M1 , M2 , M3 , M4 ). Отметим, что принцип Байеса-Лапласа имеет смысл применять, если возможно оценить вероятности отдельных состояний природы. При этом необходимо, чтобы решения также повторялись многократно. Когда события повторяются многократно, действует закон больших чисел, согласно которому достигается максимальный средний результат. При единичных решениях принцип Байеса - Лапласа не следует применять. Принцип Гурвица фактически является упрощением байесовских оценок. Гурвиц допускает, в частности, при отсутствии информации о вероятностях возникновения отдельных состояний природы брать среднее арифметическое значение результатов наилучшего и наихудшего решений. 6.2.2. МАКРОЭКОНОМИЧЕСКИЕ РЕШЕНИЯ При применении теории статистических игр на предприятии, в фирме бывает возможным получить дополнительную статистическую информацию, которая позволяет перейти от стратегической к статистической игре с природой. Очень часто при возможности многократного повторения как состояний природы, так и решений статистика мы можем принимать минимаксные байесовские решения. Для макроэкономических задач значительно реже удается получать информацию о состояниях природы. Кроме того, имея распределение вероятностей ее состояний, мы не всегда можем этой информацией воспользоваться. Принятие решения может носить одноразовый характер. В этой ситуации наилучшая байесовская стратегия при многократном принятии решения утрачивает свои оптимизационные свойства. Задачи, решаемые в условиях неопределенности, имеющие характер игры с природой, делятся на два типа: 1) в условиях полной неопределенности, когда отсутствует возможность получения дополнительной статистической информации о состояниях природы; основной моделью при этом служит стратегическая игра (W, A, L), которая не преобразуется в статистическую; 2) в условиях риска, если существует возможность сбора дополнительной статистической информации о распределении состояний природы; эти задачи можно преобразовать к статистической игре (W, D, R), в которой функции риска рассматриваются как платежи. Рассмотрим практический пример. Задача 6.3. Получение лицензии на новую продукцию. Требуется выбрать лучшую лицензию на выпуск легкового автомобиля у иностранных фирм. Имеются четыре предложения, следовательно, множество решении А = {а
1
, а
2
, а
3
, а
4
},
где а
1
-
решение о покупке лицензии у инофирмы Ai
(i
= Фирмы требуют неодинаковые суммы за лицензии в зависимости от различных затрат на организацию производства и издержек эксплуатации. Известно, что основным требованиям владельцев автомобилей (эстетика, количество мест в салоне, скорость) удовлетворяют все четыре фирмы. В результате главным критерием являются затраты, связанные со сделкой. Пусть на основе экономического расчета вычислена эффективность покупки каждой из четырех лицензий. Эта эффективность зависит от длительности периода, в течение которого можно будет выпускать автомобили по лицензии, учитывая уровень их рентабельности и соответствия последним достижениям науки и техники в области автомобилестроения. Множество состояний природы Представим формулу экономической эффективности:
где У - продажная цена автомобиля; С - себестоимость; W- выигрыш игрока 1, в данном случае статистика, представляющего автомобильную промышленность. Отразим в табл. 6.3 полученные значения эффективности W (Q, a ). Таблица 6.3.
О стратегиях природы нет информации, и ее невозможно получить. Решение нужно найти при полной неопределенности, так как нет данных для перехода от стратегической игры к статистической. Применим максиминный критерий Вальда. Для этого перепишем табл. 6.3 и найдем минимальные значения по строке и максимальные - по столбцу. Это определит матрицу игры (табл. 6.4). Таблица 6.4
Матрица игры (W, A, W) имеет седловую точку, равную 22 %, поскольку
Итак, оптимальной нерандомизированной максиминной стратегией статистика (игрока 1), представляющего интересы автомобильной промышленности, будет решение а2 , что соответствует покупке лицензии у фирмы А2 на производство легкового автомобиля. Это наиболее осторожная стратегия в игре с природой при отсутствии дополнительной статистической информации. При этом в качестве функций платежей была принята эффективность сделки W (Q , a) = 22. Глава 7 ИНВЕСТИЦИОННЫЕ РЕШЕНИЯ 7.1. ВЫБОР ОПТИМАЛЬНОГО ВАРИАНТА КАПИТАЛОВЛОЖЕНИЙ ПРИ СТРОИТЕЛЬСТВЕ ЭЛЕКТРОСТАНЦИЙ Задача 7.1. Необходимо построить в регионе электростанцию большой мощности. В данном регионе имеются возможности: • а1 - построение большого водохранилища и гидроэлектростанции; • a 2 - сооружение тепловой электростанции на основном (газовом) топливе и резервном (мазуте); • a3 - сооружение атомной электростанции. Возможные решения А = {а 1 , а 2 , а 3 }. Экономическая эффективность каждого варианта рассчитана проектным институтом, который учитывал затраты на строительство и эксплуатационные расходы. На эксплуатационные расходы гидроэлектростанции влияют климатические условия, например, такие, как погодные условия, определяющие уровень воды в водохранилищах. Большое число случайных факторов воздействует на экономическую эффективность тепловой станции: цены на мазут и газ, срывы поставок мазута из-за неритмичности работы транспорта в зимнее время, особенно во время снегопадов и продолжительных морозов. Экономическая эффективность атомной электростанции будет зависеть от больших затрат на строительство и устойчивости агрегатов и системы управления во время эксплуатации. Таким образом, погодные условия будут в основном сказываться на расходах по эксплуатации гидроэлектростанции и тепловой электростанции. Следовательно, на эффективность тепловой электростанции будут влиять как погодные условия, так и цены на газ и мазут. Случайные факторы, от которых зависит экономическая эффективность вариантов капиталовложении, объединим в четыре возможных состояния природы - W = (Q1 , Q2 , Q3 , Q4 ) с учетом окупаемости: Q1 - цены на газ и мазут низкие и климатические условия благоприятные; Q2 - цены на газ и мазут высокие и климатические условия благоприятные; Q3 - цены на газ и мазут низкие и климатические условия неблагоприятные; Q4 - цены на газ и мазут высокие и климатические условия неблагоприятные. Решение. Представим в табл. 7.1 полученные расчеты эффективности W (Q, a ). Таблица 7.1
В стратегической игре (W, A, W) игрок 1 - статистик, а игрок 2 - природа. Матрица игры имеет седловую точку, равную 30 ед.: Если бы не было дополнительной статистической информации, то на этом игра закончилась бы решением a3 - строить атомную электростанцию. Это было бы осторожным решением. С помощью имеющихся временных рядов можно получить апостериорную информацию, поскольку о влиянии на цены за газ, мазут таких состоянии, как наводнения, засухи, морозы, сильные снегопады и т.п., существует статистическая информация. По данным многолетней статистики цен и состояний получены оценки апостериорного распределения состояний природы. Данные непосредственного наблюдения состояний природы позволили получить апостериорное распределение состояний природы: P (Q1 ) = 0,15; Р (Q3 ) = 0,20; P (Q2 ) = 0,30; P (Q4 ) = 0,35. Имея апостериорное распределение состояний природы, можно преобразовать стратегическую игру (W, A, W) в статистическую, в которой платеж игроку (статистику) будет определен как математическое ожидание в данном распределении состояний природы M [W (Q, a )]. Математическое ожидание максимизирует оптимальная байесовская стратегия статистика, что эквивалентно минимизации байесовского риска в статистической игре, в которой функция потерь L (Q, a) = -W( Q, a). Для отдельных решений получим математические ожидания M[W(Q, a)]: M [W( Q, a1 )] = 50*0,15 + 50*0,30 + 25*0,20 + 25*0,35 = 36,25; M [W( Q, а 2 ) ] = 40*0,15 + 25*0,30 + 35*0,20 + 20*0,35 = 27,50; M [W( Q, a3 )]=30*0,15+30*0,30+30*0,20+30*0,3 5=30,00; max M [W (Q, a )]=M [W (Q, a 1 )]=36,25. Вывод. Оптимальным решением будет инвестирование средств в проект а 1 - строительство гидроэлектростанции. 7.2. ИНВЕСТИЦИИ В РАЗРАБОТКУ ПОЛЕЗНЫХ ИСКОПАЕМЫХ Задача 7.2. Разведка недр в регионе показала наличие месторождений серы. Требуется решить, разрабатывать месторождение, т. е. инвестировать строительство комплекса (а 1 ), или воздержаться (a2 ). Таким образом, множество решений А= {а 1 , а 2 }. Проведенные геологические исследования позволили открыть месторождение, но не дали ответа, строить или не строить комплекс. Состоянием природы в данном случае будет глубина залегания, так как истинное залегание пластов неизвестно. Если глубина небольшая, то экономическая эффективность разработки будет высокой. Если глубина большая, то эффективность может оказаться низкой и добыча серы может не окупиться. Введем обозначения для состояний природы: Q1 - месторождение находится на глубине, благоприятной для разработки; Q2 - месторождение находится как на малой, так и на большой глубине; Q3 - месторождение находится в основном на большой глубине. Решение. Проведем экономический расчет эффективности и результаты расчета в рублях представим в табл. 7.2. Таблица 7.2
Нулевая эффективность относится к случаю отказа от разработки, a1 = –30 означает, что разработка и добыча месторождений серы не оправдают затрат, а, наоборот, приведут к убыткам в 30 тыс. руб. Полную неопределенность можно уменьшить благодаря дополнительной статистической информации. Тогда задача станет не стратегической, а статистической. Эту информацию можно получить, проведя сейсморазведку и поисковое бурение, что позволит более точно, чем при разведочных работах, определить среднюю глубину Залегания пластов серы, так как станут известны вероятности залегания. Это несколько снизит эффективность, но оправдает дополнительные затраты. По результатам дополнительных исследований получим множество Х = {х 1 , х 2 , x3 }, где х 1 , х 2 , x3 - малая средняя, умеренная средняя и большая средняя глубина залегания пластов соответственно. По данным дополнительных исследований были оценены условные вероятности получения отдельных результатов х i Î Х для соответствующих состояний природы QÎW:
От стратегической игры (W, A, W) переходим к задаче в условиях риска (W, D, R). При этом игроком 1 будет природа, а игроком 2 - статистик. Обозначим D - множество стратегий статистика, т. е. множество функций d, отображающих множество Х во множество А. Функцией платежей будет функция риска R( Q, d) = M [L( Q, а)], где функция потерь принимает значения L (Q, a ) = –W( Q, а) (табл. 7.3). Таблица 7.3
Составим таблицу множества возможных нерандомизированных функций d (d Î D; 23 = 8) решений при разных х i (табл. 7.4). Рассчитаем по табл. 7.4 значения риска. Воспользуемся данными вероятностей состояний природы и получим на основании функции потерь их математические ожидания, т. е. функции риска:
Таблица 7.4
Продолжая далее расчеты, получим таблицу значении риска. Матрица (табл. 7.5) имеет седловую точку, равную нулю. Но это решение нельзя отнести к разумной стратегии. С учетом чрезмерной осторожности всегда предполагается принятие решения a2 - не разрабатывать месторождение, не инвестируя - не рискуешь, но и прибыли не получишь. Таблица 7.5
Оптимальной стратегией статистика, представляющего инвестиционную организацию, будет байесовская функция решения, которую можно оценить с использованием функции распределения вероятностей залегания серы на разной глубине, полученной на основе полных, достаточно обширных геологических исследований и равной: P (Q1 ) = 0,2; P( Q2 ) = 0,5; P( Q3 ) = 0,3. С учетом априорного распределения r (x, d) можно определить оптимальную байесовскую функцию, минимизируя риски. Для этого вычислим все восемь значений и возьмем минимальное из них:
Из полученных данных заключаем, что Итак, оптимальной байесовской стратегией статистика в статистической игре (W, D, R), которая моделирует эксплуатацию месторождений, будет функция решения d2 , в которой d2 (x1 ) = a1 ; d2 (x2 )=a1 ; d2 (x3 )=a2 . Вывод. Инвестиции оправдывают затраты и могут дать прибыль 27,3 тыс. руб., если дополнительные исследования дали результат x1 - малая глубина или х 2 - средняя глубина залегания серы. Только в случае, если геологические исследования дадут результаты x3 (в среднем глубокое залегание), нужно принять решение а 2 : в связи с экономической неэффективностью разработки месторождения воздержаться от его инвестирования. Глава 8 ЗАДАЧИ ИЗ РАЗНЫХ ОБЛАСТЕЙ ХОЗЯЙСТВЕННОЙ ДЕЯТЕЛЬНОСТИ 8.1. ПРОЕКТИРОВАНИЕ МАРШРУТОВ ГОРОДСКОГО ТРАНСПОРТА Задача 8.1. Выбор трассы новой автобусной линии в городе. Построен за городом новый жилой микрорайон, который нужно связать с центром города. Имеем исходную стратегическую игру ( W,A,L). Статистик пришел к выводу, что линию можно провести до пункта А 1 , или А 2 , или А 3 . Решение А = {а 1 , а 2 , а 3 }, где a1 , означает проведение трассы до А 1 , а 2 - до А 2 , а 3 - до А 3 , причем А 1 и А 3 находятся в разных концах города. Множеством состояний природы W являются Q1 , Q2 , Q3 - состояния, когда большинство жителей микрорайона работает соответственно в окрестности пункта А 1 , пункта А 2 и пункта А 3 , находящегося в самом центре города. Если принятое решение провести трассу не будет удовлетворять нужды жителей микрорайона, то транспортное предприятие понесет потери. Потери будут максимальными при ошибочном решении проложить трассу к пункту А 3 вместо А 1 или наоборот. Решение. Функция L( Q, а) потерь характеризуется матрицей (табл. 8.1). Таблица 8.1
Преобразуем стратегическую игру (W, A, L) в статистическую (W, D, R) при учете информации о действительном состоянии природы. Для этого проводится выборочный опрос жителей микрорайона. Результаты этого опроса образуют вектор где x1 , х 2 , х 3 , - доля от общего числа опрошенных (не менее 50 %), которые предлагают строительство трассы до пунктов А 1 , А 2 , A3 соответственно; x 4 — любое из трех направлений не получило решающего количества голосов. Действительные данные результата опроса показали следующие вероятности рекомендаций жителей (табл. 8.2) в зависимости от состояний природы Q. Таблица 8.2
В результате опроса получаем условные вероятности P(x1 | Q1 ) = P(x2 | Q2 ) = P(x3 | Q3 ) = 0,7. Пусть d(x) = а - нерандомизированная функция решения, преобразующая множество Х результатов эксперимента в множество решений. Множество D нерандомизированных решений при наличии четырех результатов эксперимента и трех возможных решений будет иметь 34 = 81 различную функцию решений статистика в статистической игре с природой (W, D, R}. Из них мы ограничимся шестью допустимыми функциями: d1 , d2 , ... , d6 (табл. 8.3). Таблица 8.3
Какие же решения не вошли в допустимые? Недопустимые функции решения — это все функции d ÎD, которые не ставят в соответствие хотя бы одному из результатов x1 , x2 , x3 решение а 1 , а 2 , a3 потому, что для этих функции значение риска R( Q, d) будет всюду большим по сравнению с другими функциями решений. Результат х 4 при этом во внимание не принимается, поскольку он не отражает конструктивного предложения. Учтем полученные условные вероятности и, зная значения функций потерь, вычислим математические ожидания функций потерь, т. е. получим функции риска для допустимых функций решений:
Из табл. 8.3 видно, что вне зависимости от х 1 , х 2 х 3 , х 4 решение d 4 будет соответствовать решению а 1 , d5 ®a2 , d6 ®a3 . Объединим все полученные решения в табл. 8.4 и выпишем минимальные значения функции риска по строке и максимальные значения - по столбцу. Таблица 8.4
Таким образом, как показывает табл. 8.4, среди нерандомизированных функций решений нет минимаксной функции: v1 =0<v 2 =1,75. Следовательно, минимаксную функцию решения надо искать во множестве D* рандомизированных функций d. В данной статистической игре (W, D, R) в качестве оптимальной нужно принять минимаксную функцию решения. Для того чтобы найти рандомизированную минимаксную функцию решения d0 , следует обратиться к линейному программированию (см. приложение). Пусть в - распределение вероятностей на множестве нерандомизированных функций решения d. Обозначим это распределение h1 = P(d1 ), h2 = P(d2 ), ... , h6 = P(d6 ). Теперь обозначим через u цену расширенной статистической игры (W, D*, R) при рандомизации функций решений и запишем в терминах линейного программирования задачу статистика, который решает ее в интересах транспортного предприятия. Для этого воспользуемся данными табл. 8.4:
Преобразуем переменные, разделив h на цену игры u> 0, и введем дополнительные переменные q7 , q8 , q9 . В результате перейдем от неравенств к равенствам:
при qj
> 0, j
=
Решим эту задачу линейного программирования симплексным методом (техника решения известна и здесь не излагается) и получим базисное оптимальное решение: q1 = q3 = 2/7; q2 = q4 = q 5 = q б = 0. Значит, Z max = q1 + q3 = 2/7 +2/7 = 4/7. Отсюда u = l/Zmax = 2/7 = 1,75. Перейдем к исходным переменным hi
= qi
u; i =
Итак, получена минимаксная рандомизированная функция решения d0 с распределением вероятностей: P(d1 ) = 1/2; P(d3 ) = 1/2. Как ее охарактеризовать? Это смешанная стратегия d0 с одинаковыми вероятностями чистых функций решения d1 и d3 . Они различаются только результатом статистического эксперимента. Вывод. В задаче выбора транспортным предприятием наилучшей трассы маршрута новой автобусной линии получена оптимальная минимаксная функция решения: • если по эксперименту с анкетами получен результат х 1 , или x2 , или x3 , то следует принять решение а 1 или а 2 , или a3 соответственно; • если получен результат х 4 , то нужно использовать механизм случайного выбора между решениями а 1 (трассу вести до А 1 ) и a3 (трассу вести до А 3 ) с одинаковыми вероятностями, равными 0,5. Следует сделать одно важное замечание: в данном случае мы из расчетов получили одинаковые вероятности. (Это решение не имеет ничего общего с принципом равновероятности, который иногда необоснованно применяется при отсутствии информации о возможных вероятностях событии.) 8.2. ПРИНЯТИЕ РЕШЕНИЙ В СЕЛЬСКОМ ХОЗЯЙСТВЕ Задача 8.2. Планирование участков земли под картофель, проводимое методом Байеса. При наличии больших массивов земли в хозяйстве можно сознательно выбирать наиболее выгодные для урожая участки с учетом их влажности. В период вегетации требуется определенное количество влаги. Если влажность будет излишняя, то часть посадочного материала начнет гнить, урожай будет плохим. Картофель в средней полосе сажают обычно в апреле. В это время трудно предвидеть, каким будет лето - сухим или влажным. Фактически создается ситуация, которую можно считать игрой с природой. Мы должны принять решение, на каких участках сажать картофель: на сухих или на тех, которые сами по себе являются влажными. Введем условные обозначения: W = {Q1 , Q2 } - множество состояний природы; Q1 - осадки выше нормы; Q2 – сухое лето (осадки не выше нормы); А = {а 1 , a2 } - множество решений статистика; а 1 - посадку производить на участках с большой влажностью почвы; a2 - посадку производить на сухих участках, так как ожидается влажное лето. Известны средние урожаи в зависимости от принятого решения и состояния природы. При этом наименьшие урожаи бывают, если осадки выше нормы (Q1 ), и принимается решение а 1 - сажать картофель на влажных участках. Наибольшие урожаи в среднем бывают при решении а 2 - сажать картофель на сухих участках и при состояниях природы Q1 - влажное лето. Прибыль на 1 га в тыс. руб. в среднем известна по многолетним результатам (табл. 8.5). Таблица 8.5
Итак, мы получили значения прибыли, а нас интересуют потери. Решение. Представим функцию потерь L (Q, a ) в виде разности между наибольшей прибылью и прибылью, которая может быть получена во всех остальных случаях (табл. 8.6). Статистик должен получить дополнительную информацию о состояниях природы при наблюдениях погоды в апреле, когда проводится посадка. Таблица 8.6
Пусть X = {x1 , x2 } - множество наблюдений, где х 1 и х 2 - наблюдается большое и малое количество осадков соответственно. В зависимости от состояния природы Qj и наблюдения погоды х i получим следующие значения условных распределений:
По двум решениям статистика а 1 и а 2 и результатам наблюдения получаем четыре нерандомизированные функции решения d Î D (табл. 8.7). Таблица 8.7
В статистической игре (W, D, R ), которая посвящена выбору участков земли для посадки картофеля, определим функции риска R (Q, d ):
Полученные результаты функций риска R( Q, d) представим в табл. 8.8, откуда видно, что функция решения d2 доминирует над функцией d3 . Следовательно, d2 недопустима. Она не относится к подмножеству допустимых функций решения. Мы в этом убедимся при расчете байесовских рисков. Таблица 8.8
Будем считать, что в рассматриваемом районе априорное распределение состояний природы приводит к одинаковым шансам для сухого и влажного лета при исследовании состояний природы. Значит, Р( Q1 ) = 0,5; P( Q2 ) = 0,5. Вычислим байесовский риск r (x, d) :
Минимальный байесовский риск наблюдается для функции d3 , что не противоречит выводу, сделанному из табл. 8.8. Вывод. Нерандомизированная функция решения d3 , которая включает решение для d(x1 ) = а 2 и d(x2 ) = а 1 , является байесовской функцией решения. Это оптимальная стратегия статистика: в рассматриваемых условиях, если весной много осадков (x1 ), принимается решение а 2 о том, что картофель нужно сажать на сухих участках земли А 2 . Если весной мало осадков (x2 ), принимается решение а 1 о посадке картофеля на участках А 1 , где влажность почвы большая. Задача 8.3. Планирование участков земли под посевы картофеля методом линейного программирования. В задаче 8.2 мы получили оптимальное байесовское решение d3 . Теперь попробуем получить минимаксную, более осторожную стратегию. Минимаксную функцию решения следует искать как смешанную стратегию среди рандомизированных функций решения, потому что матрица значений функций риска R( Q, d) для нерандомизированных функций решения d Î D не имеет седловой точки. Применяя метод линейного программирования и учитывая, что при оптимальном решении ограничения записываются как равенства, получаем из табл. 8.8 при ненулевых значениях h1 и h3 систему уравнений, которая включает цену игры v :
В результате решения этой системы уравнений получим:
Вывод. Минимаксная стратегия, еще более осторожная, чем оптимальная байесовская, для сельскохозяйственного предприятия заключается в использовании стратегий d1 и d3 с вероятностью соответственно 0,04 и 0,96. Как это применять на практике? Если весной наблюдается х 1 (большое количество осадков), то осуществляется случайный выбор с вероятностями 0,04 и 0,96 одного из решений: а 1 или а 2 . При наблюдении х 2 (малое количество осадков весной) принимается решение a 1 о посадке картофеля на влажных участках А 1 . 8.3. СТАТИСТИЧЕСКИЙ КОНТРОЛЬ ПАРТИИ ГОТОВЫХ ИЗДЕЛИЙ И ВЕРОЯТНОСТЬ ПЕРЕБОЕВ ПРОИЗВОДСТВА На основе статистических планов приемки продукции всегда должно быть известно, сколько изделий следует случайным образом отобрать для статистического контроля и при каких условиях принимается решение о браковке или приемке партии. Планов контроля имеется большое множество, однако благодаря своей простоте часто применяется одноступенчатый статистический план премки k|n, где п - объем выборки; k - приемочное число. Если из проверенных изделий число дефектных Z не будет превышать k, партия принимается. Значит, k - допустимое число дефектных в выборке из п изделий. Представитель торгового предприятия при Z £ k считает партию хорошей и принимает ее на основе анализа выборки. Затем производитель покрывает стоимость каждого обнаруженного в переданной партии бракованного изделия путем замены, бесплатного ремонта или другим путем, означенным в договоре. Если Z > k, то партия не принимается торговым предприятием, а производитель осуществляет сплошную проверку партии и выявляет дефектные изделия. Задача 8.4. Выбрать оптимальное критическое число k. Значение k может быть определено при помощи статистической игры. Введем обозначения: W (W ÎW), доля дефектных изделий, - состояние природы Q; N - объем партии изделии; W = [0,1] - интервал от 0 до 1 с включением границ этого интервала; А = {а 1 , a2 }- множество решении статистика, где а 1 , а 2 - решения о приемке и о браковке партии со сплошным ее контролем соответственно; С 1 - затраты на проверку одного изделия; С 2 - сумма, уплачиваемая производителем за каждое обнаруженное дефектное изделие после приемки партии. Функция потерь
где С 1 п - стоимость контроля выборочной совокупности изделии в процессе контроля; C2 (N–n)W - сумма, выплачиваемая производителем за изделия, когда они окажутся дефектными после приемки; С 1 n + С 2 ( N–п) - затраты на сплошной контроль, если партия не была принята. Итак, стратегическая игра будет иметь вид (W, A, L). Для определенности будем считать: • торговая фирма оплачивает только исправные изделия, а дефектные заменяются исправными; • при большой партии распределение вероятностей случайной переменной - числа дефектных изделий Z - подчиняется биномиальному закону. Функция вероятности зависит от действительной доли бракованных изделий в принимаемой партии W:
• контролер наблюдает число Z в выборке объема п; • d(Z) = а - статистическая нерандомизированная функция решения контролера. Контролер может принять одно из двух значений: a1 (принять) или a2 (не принять партию). Однако нам необходимо осуществить оптимальный выбор критического числа k, поэтому перейдем к статистической игре. В этой игре используем информацию о числе Z забракованных изделий в выборке объемом п; распределение Z зависит от состояния природы W - доли дефектных изделий. Решение. Для состояния природы W и статистической нерандомизированной функции решения d(Z), определяющей критическое число k при контроле партии готовых изделий, можно в статистической игре (W, D, R) найти функцию платежей или функцию риска R(W, d):
Это выражение можно раскрыть, используя биномиальное распределение. Далее в качестве целевой функции d(Z), определяющей оптимальное критическое число k выберем байесовскую нерандомизированную функцию. Пусть процесс производства является отлаженным, тогда доля дефектных изделий в партии W будет иметь бета-распределение, заданное на интервале [0,1]. В зависимости от принятых параметров р и q можно определить априорное распределение доли дефектных изделий W в принимаемых партиях. Таким образом, априорным распределением x состояний природы W принимается бета-распределение с функцией плотности
Известно, что существует связь между бета- и гамма-функциями:
Байесовский риск при этом распределении будет
Этот байесовский риск следует минимизировать относительно k. При известных размерах партии N, выборки п, затрат C1 и С 2 , параметров априорного бета-распределения р и q байесовский риск будет только функцией k: r( x, d) = f(k). Теперь нужно найти такое натуральное k, чтобы удовлетворялись неравенства f(k) £ f(k+ 1) и f(k) £ f(k– 1) Рассмотрим неравенство f(k) £ f(k+ 1), из которого следует, что f(k+ 1) – f(k) ³ 0. Используя связи между бета- и гамма-распределениями Значит, (p+k+
1)
³ Обратимся к неравенству f
(k–
1) – f(k)
³ 0 и найдем значение k,
для которого оно выполняется. При этом необходимо преобразовать байесовский риск r
(x, d)
= f(k),
после чего получаем неравенство f
(k–
1) – f(k)
³ 0, которое выполняется, если С
2
р +
k)/(p + q + п)
– C1
£ 0. Тогда (p
+
k)
£
Вывод. С помощью нерандомизированной байесовской функции получаем решение при одноступенчатом статистическом плане приемки партии изделий, если известно распределение доли дефектных изделий в партии, т.е. априорное распределение состояний природы. Пример 8.1. Производитель продает торговой фирме большую (п = 100) партию изделий. По договору представитель торговой фирмы отбирает случайным образом п = 30 изделий. Контроль проводится по согласованной программе при одноступенчатом плане. Стоимость проверки одного изделия C1 = 180 руб., стоимость исправного изделия С 2 = 2 000 руб. Требуется найти критическое число k при предположении, что доля дефектных изделий W подчинена бета-распределению. Предполагаем, что доля бракованных изделий при отлаженном производстве близка к нулю, поэтому g(W) будет иметь большое значение. Пусть аргументы бета-функции B(p,q) равны: p=1, q= 5. Нужно построить график распределения и определить минимальное число k. (Функция на графике при росте доли дефектных изделий будет быстро стремиться к нулю.) Решение. Определим B(p,q):
Используя значения доли W (пусть W = 0; 0,05; 0,1; 0,2; ...,0,9;1), получаем:
Составим таблицу распределения g{W) при значении аргументов бета-функции: q = 5, р = 1 (табл. 8.9). Таблица 8.9
Найдем критическое число k при п = 30, которое должно удовлетворять двойному неравенству:
Подставив численные значения параметров в эти неравенства, получаем k: 0,09*36 - 1 - 1 £ k £ 0,09*36 - 1. 1,24 £ k £ 2,24. Следовательно, k = 2 . Вывод. Критическое число равно 2, статистический план запишется (2|30). Партия будет принята при числе бракованных в выборке из 30 изделий, не превышающем 2 шт. В противном случае партия будет забракована. Пример 8.2. Для условий примера 8.1 при плане (2|30) подсчитать функцию потерь при: k = 3; k = 2 и возможном отказе в принятой партии двух изделий из числа непроверенных (N-n), если N = 100; k = 2 и возможном возврате изделий из числа непроверенных, если W= 0,05. Решение. Определим функцию потерь при k = 3, полагая согласно рис. 8.1, что р = 1:
Рис. 8.1. Бета-распределение при р = 1,q=5 Найдем функцию потерь при k = 2, когда партия была принята, но затем в торговой фирме было обнаружено 2 неисправных изделия из числа непроверенных при сдаче: L(W, a1 ) = 180n +2C2 +2C2 = 180*30 + 4*2 000 = 5 400 + 8 000 = 13400 руб. Вычислим функцию потерь при k = 2 и возможных отказах при W =0,05: L(W, а 1 ) = 180n + 2C2 + C2 (N - n ) = 5 400 + 4 000 + 70*0,050C2 = 9400 + 3,5*2000 = 16400 руб. Поскольку 3,5 отказа невозможны (могут быть 3 или 4), добавляем (отнимаем) половину стоимости изделия и получаем: L(W, a1 ) = (16400 ± 1000) руб. Пример 8 .3. Оставим условия примера 8.1, но изменим объем выборки. Вместо п = 30 примем п = 45. Требуется определить критическое число k, если оно удовлетворяет двойному неравенству при нерандомизированной байесовской функции решения r( x, d)=f(k): Решение. Запишем в принятых выше обозначениях условия: С 1 = 180 руб.; С 2 = 2 000 руб.; р = 1; q = 5, п = 45: (p+q+n
)=1+5+45=51; Вычислим минимальное значение k: 0,09*51 - 1 - 1 £ k £ 0,09*51 - 1; 2,59 £ k £ 3,59. Таким образом, k = 3. Вывод. Партия будет принята при k == 1, 2 или 3, а при k = 4 или более партия изделии будет забракована, 4 бракованных изделия будут заменены в выборке на годные, остальные 55 из 100 изделий будут проверены. Пример 8.4. Оценить возможности сбоев производства из-за нарушения кооперированных поставок. С помощью методов математического программирования можно составить оптимальный план производства. Однако этот план при нерегулярности кооперированных поставок смежников может быть фактически не реализован. В данной ситуации возможно вычислить вероятность регулярности кооперированных поставок, что должно соответствовать вероятности отсутствия сбоев производства. Введем обозначения: Q (состояние природы) - вероятность отсутствия сбоев производства Q Î W = [0,1]; А = [0,1] - область решения статистика; а - оценка вероятности Q. Примем в виде квадратичной функцию потерь L( Q, a )= (Q - а )2 . Оценим вероятность Q по информации за предыдущий месяц. Пусть W и N - события, заключающиеся в том, что в предыдущем месяце были соответственно выполнены и не выполнены кооперированные поставки. Пространство выборок Х= {W, N}; в - нерандомизированная функция решения статистика, отображающая пространство выборок Х в пространство решений А. Решение. Функция решения может быть записана следующим образом: d(W) = a 1 ; d(N) = a2 ; a1 Î А ; а 2 Î А. Имеет место статистическая игра (W, D, R). Опишем функцию риска: R( Q, d) = ML( Q, a). Считаем, что вероятности событии будут: P{W| Q} = Q; P{N| Q} = 1 - Q. Запишем функцию риска через а и Q.
Предположим, что для ряда месяцев вероятность отсутствия сбоев кооперированных поставок - это случайная величина с бета-распределением, имеющим параметры р > 0 и q > 0. Функция плотности распределения вероятностей будет иметь вид:
Вид данной функции плотности распределения вероятностей можно определить, если примем бета-распределение с параметрами р = 3 и q = 1 (рис. 8.2 и табл. 8.10).
Рис. 8.2. Бета-распределение при р = 3, q = 1 Таблица 8.10
Бета-распределение является априорным распределением x состояний природы QÎW = [0,1]. Определим байесовский риск:
где M (Q) = m1 , и М (Q2 ) = т 2 - первый начальный и второй начальный моменты Q при бета-распределении с функцией плотности g( Q) соответственно. Известно, что
Чтобы определить выражения для получения a1 и a2 , необходимо минимизировать байесовский риск для априорного распределения x. Продифференцируем r (x, d) по a1 и a2 и результаты приравняем к нулю:
Вывод. Вероятность бесперебойной работы определится как т 2 /т 1 , если в прошлом месяце не было срывов кооперированных поставок. В противном случае вероятность бесперебойной работы предприятия будет равна (т 1 – m2 )/( 1 – m1 ). Пример 8.5. Оценить вероятность отсутствия перебоев в кооперированных поставках в данном месяце, если события W и N состоят соответственно в отсутствии и наличии срыва поставок в предыдущем месяце. Априорное распределение - это бета-распределение с параметрами р = 3, q = 1. В данном распределении значения Q, близкие к единице, имеют большую плотность, чем значения, близкие к нулю. Решение. Определим
Вычислим
Определим вероятность бесперебойной работы предприятия при отсутствии срыва поставок в предыдущем месяце:
Оценим вероятность бесперебойной работы предприятия, если в прошлом месяце было событие N - срыв кооперированных поставок:
Выводы. Вероятность бесперебойной работы предприятия в данном месяце при условии выполнения договорных обязательств по кооперированным поставкам, если в прошлом месяце также не было срывов, равна 0,8. Если же в прошлом месяце был срыв в кооперированных поставках, то вероятность бесперебойной работы предприятия снизится в этом месяце до 0,6. 8.4. ОПРЕДЕЛЕНИЕ ОПТИМАЛЬНОГО ЗАПАСА ПРОДУКЦИИ ТОРГОВОЙ ФИРМЫ НА ОСНОВЕ СТАТИСТИЧЕСКИХ ДАННЫХ Пусть Q - рыночный спрос на продукт торговой фирмы для фиксированного периода (день, неделя, месяц). Воспримем это как спрос игрока 1. Этот спрос может быть любым действительным положительным числом. Область состояний W = [0, ¥]. Продаваемый продукт оценивается, например, в килограммах и может заказываться в любом количестве. Нереализованный в данном периоде продукт не может быть продан в следующем периоде, так как теряет за время хранения свои потребительские качества. Значение QÎW заранее неизвестно. Введем обозначения: а - запас продукта на некоторый период. Следовательно, считаем, что множество решений фирмы А = [0, ¥]; а ÎА - конкретное решение фирмы (игрока 2), принимаемое в статистической игре с природой, которая определяет действительный спрос Q на продукт; L (Q, a ) - функция потерь. Она является функцией платежей в исходной стратегической игре (W, A, L); k1 - себестоимость + дополнительные затраты на хранение 1 кг продукта, который не был продан в установленное время, так как спрос на него оказался меньше прогнозируемого; k 2 - потеря прибыли на 1 кг продукта, обусловленная отсутствием товара, спрос на который превысил заказанное количество. Принимая указанные обозначения, запишем кусочно-линейную функцию потерь фирмы:
Стратегическую игру (W, A, L) можно преобразовать в статистическую, если получить дополнительную статистическую информацию о спросе на продукт QÎW. Действительный спрос по периодам представлен заказчиком. Это вектор который в различные периоды времени представляет разные размеры спроса. Пусть а = d(x) - статистическая нерандомизированная функция решения. Значение функции, определяющей оптимальное решение а об уровне запаса, найдем с помощью байесовской функции решения. Известна функция действительного спроса на товар, соответствующего статистическому наблюдению, т. е. Функцию априорного наблюдения G
(Q| Имеет место теорема: «Если, решая задачу, поставленную в форме статистической игры, статистик (игрок 2) провел эксперимент, наблюдая случайную величину Х с
функцией условного распределения G
(Q| Согласно данной теореме нужно минимизировать математическое ожидание С использованием формулы (8.1) можно определить математическое ожидание при апостериорном распределении спроса Q:
Минимизируя математическое ожидание функции потерь (8.2) относительно о, получим:
где f(a) - плотность в точке а апостериорного распределения спроса. В соответствии с необходимым условием (8.3) получим уравнение
откуда Итак, с помощью байесовской функции получено выражение для оптимального запаса. Оно равно числу а0 , удовлетворяющему равенству
где F(a0 ) -функция апостериорного распределения спроса Q на продукт. Результат (8.4) с учетом (8.5) означает, что для a0
в распределении спроса Q должно выполняться условие Для вычисления оптимального запаса а 0 данного продукта на определенный период времени нужно: 1. Знать параметры k1 и k2 , входящие в функцию потерь L( Q, a). 2. На основе статистических наблюдений получить апостериорное распределение спроса на товар. 3. С помощью функции этого распределения определить квантиль порядка Если, в частности, k
1
= k2
,
то оптимальный уровень запаса a0
будет соответствовать равенству F(a0
)
=
Распределение близко к нормальному N(M, d ), где М - математическое ожидание, d - среднее квадратичное отклонение. Значение a0
(или квантиль порядка Иногда распределение не относится ни к одному из известных исследователю законов распределения, тогда с помощью графика функции распределения спроса нужно определить квантиль порядка Пример 8.6. Требуется определить оптимальное значение запаса товара. Известно: k1 = 0,8; k2 = 0,2; распределение спроса Q. Решение. Представим распределение дневного спроса на товар, полученное по данным наблюдения (табл. 8.11). Таблица 8.11
По табл. 8.11 строим график распределения спроса на товар (рис. 8.3).
Рис. 8.3. Определение квантиля распределения Рассчитаем квантиль распределения:
По квантилю, равному 0,2 (см. рис. 8.3), определяем a0 = 12,3 тыс. руб. Это стоимостное выражение искомого оптимального запаса продукции торговой фирмы, равное 12,3 тыс. руб. Первоначально развитие теории стратегических матричных игр осуществлялось параллельно и независимо от линейного программирования. Позже было установлено, что стратегическая матричная игра может быть сведена к паре двойственных задач линейного программирования. Решив одну из них, получаем оптимальные стратегии игрока 1; решив другую, получаем оптимальные стратегии игрока 2. Математическое соответствие между стратегическими матричными играми и линейным программированием было установлено Дж. Б. Данцигом, сформулировавшим и доказавшим в 1951 г. основную теорему теории игр [23]. Теорема. Каждая матричная игра с нулевой суммой всегда имеет решение в смешанных стратегиях, т.е. существуют такое число v и такие стратегии U* и W* игроков 1 и 2 соответственно, что выполняются неравенства:
Поясним смысл доказываемых неравенств: если игрок 1 отклоняется от своей оптимальной стратегии, то его выигрыш не увеличивается по сравнению с ценой игры; если от своей оптимальной стратегии отклоняется игрок 2, то по сравнению с ценой игры его проигрыш не уменьшается. Доказательство.
Пусть матрица игры равна A
=
Из этого следует, что от увеличения всех элементов матрицы A
= Для определения среднего оптимального выигрыша игрока 1, соответствующего первоначальной платежной матрице, необходимо из найденной цены игры вычесть величину а. Рассмотрим теперь пару двойственных задач линейного программирования с матрицей условий A
=
где Х- вектор искомых переменных задачи (П1). То же в скалярной форме:
Двойственная задача к задаче линейного программирования (П1) может быть записана следующим образом:
где Y - вектор искомых переменных задачи (П2). То же в скалярной форме:
Все элементы матрицы А по предположению положительны, поэтому многогранные множества задач (П1) и (П2) ограничены. Многогранник задачи (П1) не пуст, так как Х = 0 является допустимым планом. Следовательно, задача (П1), а с ней (по первой теореме двойственности) и задача (П2) разрешимы, и их функционалы в оптимальных планах совпадают (вторая теорема двойственности): (С, X* ) = (У* В ). С учетом выбранных единичных векторов С и В получаем следующее соотношение:
Из условия YA ³ С следует, что Y* ¹ 0, поэтому
Положительность значения v обеспечивается положительностью всех значений элементов платежной матрицы А. Обозначим U* = vY*, W* = vX*. Поскольку v , X*, Y* неотрицательны, то U* ³ 0, W* ³ 0. Кроме того,
или
Умножим обе части неравенства (ПЗ) слева на произвольный w-мерный вектор U ³ 0, для которого справедливо
где В - единичный вектор. Получим: UAM* ³ v(U,B) = v , т.е. имеет место неравенство UAM* ³ v. (П5) Также умножим обе части неравенства (П4) справа на произвольный n -мерный вектор W > 0 , для которого справедливо
где С - единичный вектор. Получим: U *AM ³ v (C,W ) = v , т.е. справедливо неравенство U*AM ³ v. (П 6) Сравнивая неравенства (П5) и (П6), приходим к соотношению UAW* £ v £ U*AW, т.е. U* и W* - оптимальные стратегии, а v - цена игры с платежной матрицей А, что и требовалось доказать. Следствие (С1).
В процессе доказательства основной теоремы теории игр с платежной матрицей A
=
Составляющие оптимальных стратегий
Цена игры
Следствие (С2). Вместо приведенной выше пары двойственных задач линейного программирования (П7) иногда удобнее рассматривать другую пару задач, имеющих более ясный содержательный экономический смысл: 1. Прямая задача. Игрок 1 стремится увеличить цену игры: v ® mах (П8) при условиях:
т. е. игрок 1 действует так, чтобы его средний выигрыш при использовании его стратегий с частотами ui для любой j -й стратегии игрока 2 был не меньше величины v , которую он стремится увеличить;
т. е. сумма частот применения стратегий игрока 1 равна единице. 2. Двойственная задача. Игрок 2 стремится уменьшить свой проигрыш: v ® min (П9) при условиях:
т. е. игрок 2 действует так, чтобы его средний проигрыш при использовании его стратегий с частотами wj для любой i -й стратегии игрока 1 не превышал величины v , которую он стремится уменьшить;
т. е. сумма частот применения стратегий игрока 2 равна единице. В такой постановке каждая из задач (П8) и (П9) содержит на одно переменное (v
) и на одно ограничение ( Пример решения задачи. Решить аналитически (используя мажорирование) игру с платежной матрицей
Решение. Если для первых двух строк матрицы взять весовые коэффициенты соответственно 0,25 и 0,75, то получим: 0,25 * 24 + 0,75 * 0 + 6 > 4; 0,25 * 0 + 0,75 * 8 = 6 > 4. В итоге третья строка матрицы мажорируется выпуклой линейной комбинацией первой и второй строк, поэтому третья строка вычеркивается, а матрица преобразуется к следующему виду:
В матрице есть два нуля. Для того чтобы все элементы матрицы стали больше нуля, прибавим к каждому элементу по единице. Матрица примет вид:
Далее ставим и решаем пару задач (двойственных) линейного программирования:
Для первой задачи (игрока 2) из условия угловой точки следует: 25x1 + x2 = 1; х 1 + 9x2 = 1, откуда получаем оптимальное решение:
Находим оптимальные смешанные стратегии игрока 2:
Для второй задачи (игрока 1) из условия угловой точки следует: 25y1 + y2 = 1; y1 + 9 y2 = 1, откуда оптимальное решение равно:
Оптимальными смешанными стратегиями игрока 1 будут:
Цена игры рассчитывается с учетом ее поправки на единицу: v = 1:0,1427-1=6,008. Ознакомившись теперь с основной теоремой теории игр, методом их сведения к паре двойственных задач линейного программирования, мы видим, что, если в исходной матрице игры А в силу любых причин не произведены все возможные мажорирования строк и столбцов, это не скажется на результатах решения игры, но задачи линейного программирования получатся большей размерности, чем потенциально они могли быть. Соответственно в составе оптимальных смешанных стратегий игроков окажутся неактивные чистые стратегии. Вероятность случайного события - основная категория в теории вероятностей - положительное число, заключенное между нулем и единицей: 0 < Р(А) < 1, где Р - обозначение вероятности, А - случайное событие. Дискретные и непрерывные случайные величины - основные числовые показатели в теории вероятностей. Дискретная случайная величина может принимать конечное или бесконечное счетное множество значений. Возможные значения непрерывной случайной величины занимают некоторый интервал числовой оси (конечный или бесконечный). Дисперсия - числовая характеристика степени разброса значений случайной величины. Дисперсия постоянной величины равна нулю. Постоянный множитель можно выносить за знак дисперсии, возведя его в квадрат: D(CX) = C2 D(X), где D - знак дисперсии; С — постоянная величина. Дисперсия суммы двух независимых случайных величин равна сумме дисперсий этих величин: D(X + Y) = в (X) + D(Y). Дисперсия суммы нескольких взаимно независимых случайных величин равна сумме дисперсий этих величин. Сумма постоянной и случайной величин равна дисперсии случайной величины. Дисперсия разности двух независимых величин равна сумме их дисперсий. Достоверное событие - событие, в котором каждый элементарный исход испытания благоприятствует событию. Вероятность достоверного события равна 1. Закон распределения случайной величины - соотношение, устанавливающее связь между возможными значениями случайной величины и соответствующими им вероятностями. Простейшей формой задания закона распределения дискретной случайной величины Х является таблица, в которой перечислены возможные значения случайной величины и соответствующие им вероятности (ряд распределения). Для непрерывной случайной величины нельзя построить ряд распределения, так как она содержит бесконечное множество возможных значений, которые сплошь заполняют некоторый промежуток. Эти значения нельзя перечислить в какой-либо таблице. Каждое отдельное значение непрерывной случайной величины не обладает никакой отличной от нуля вероятностью. Линейное программирование - раздел прикладной математики, изучающий задачу отыскания минимума (максимума) линейной функции многих переменных при линейных ограничениях в виде равенств или неравенств. Общую задачу линейного программирования формулируют так: найти минимум функции п
переменных
Задача максимизации линейной функции сводится к задаче ее минимизации заменой знаков всех коэффициентов с j на противоположные. Математическое ожидание - числовая характеристика случайной величины, определяющая ее среднее значение. Свойства: математическое ожидание постоянной величины равно самой постоянной; постоянный множитель можно выносить за знак математического ожидания; математическое ожидание произведения двух независимых случайных величин равно произведению их математических ожиданий: M(Х Y) = M(X)M(Y); математическое ожидание суммы (разности) двух случайных величин равно сумме математических ожиданий слагаемых: М(Х+ Y) = М(Х) + M(Y), где М - знак математического ожидания; М(Х) - математическое ожидание случайной величины X. Невозможное событие - событие, которое не может произойти в результате испытания. Вероятность невозможного события равна 0. Независимое событие - событие В не зависит от А, если появление события А не изменяет вероятность события В, т.е. условная вероятность события В равна его безусловной вероятности: Р A (В) = Р(В) . Если событие В не зависит от события А, то и событие А не зависит от события В. Это означает, что свойство независимости событий взаимно. Попарно-независимые события - несколько событий, каждые два из которых независимы. Пусть А, В, С попарно независимы, тогда независимы А и В, А и С, В и С. Вероятность совместного появления нескольких событий, независимых в совокупности (АВС), равна произведению вероятностей этих событий: Р(АВС) = Р(А)Р(В)Р(С). Практически достоверное событие - событие, вероятность которого не в точности равна единице, но очень близка к ней: Р(А) » 1. Практически невозможное событие - событие, вероятность которого не в точности равна нулю, но очень близка к нему: Р(А) » 0. Например, если парашют не раскрывается с вероятностью 0,01, - это недопустимо, а если поезд дальнего следования опоздает на 0,01 мин, можно считать, что поезд пришел вовремя. Предмет теории вероятностей - изучение вероятностных закономерностей массовых однородных случайных событий. Противоположное событие — событие А (не А), состоящее в непоявлении события А. Теорема умножения вероятностей - инструмент для вычисления вероятности совместного события: Р(АВ) = Р(А)Р A (В), где Р(АВ) — вероятность совместного события; Р(А) - вероятность появления события А; Р A (В) - вероятность появления события В при условии, что событие А уже наступило. Вероятность совместного появления нескольких событий равна произведению вероятностей одного из них на условные вероятности всех остальных, причем вероятность каждого последующего события вычисляется в предположении, что все предыдущие события уже появились. В частности, для трех событий: Р(АВС) = Р(А)РA (В) Р AB (С). Порядок, в котором расположены события, может быть любым. Теорема умножения независимых событий - частный случай теоремы умножения вероятностей. Вероятность совместного наступления независимых событий А и В равна произведению вероятностей этих событий: Р(АВ) = Р(А)Р(В). Функция распределения (или интегральный закон распределения) - функция F(x), определяющая для каждого значения х вероятность того, что случайная величина Х примет значение, меньшее х, т.е. F(x) = Р(Х < х). Эта функция распределения существует как для дискретных, так и для непрерывных случайных величин. 1. Вальд А. Последовательный анализ: Пер. с англ. - М.: Физмат-гиз, 1960. 2. Вентцель Е. С., Овчаров А. А. Теория вероятностей и ее инженерные приложения. - М.: Наука, 1988. 3. Гольштейн Е. Г., ЮдинД. Б. Новые направления в линейном программировании. - М.: Сов. радио, 1966. 4. Дубров А. М. Последовательный анализ в статистической обработке информации. - М.: Статистика, 1976. 5. Дубров А. М. Математико-статистическая оценка эффективности в экономических задачах. - М.: Финансы и статистика, 1982. 6. Дубров А. М. Статистические методы в инвестиционной деятельности // Рубин Ю. Б., Солдаткин В. И., Петраков Н. Я. Общая редакция. Инвестиционно-финансовый портфель. - М.: Совинтэк, 1993. - С. 163-176. 7. Замков О. О., Толстопятенко А. В., Черемных Ю. Н. Математические методы в экономике. - М.: ДИС, 1997. - С. 245-267. 8. Клейнер Г. Б. Риски промышленных предприятий // Российский экономический журнал. - 1994. - № 5-6. - С. 85-92. 9. Клейнер Г. Б., Тамбовцев В. Л., Качалов Р. М. Предприятие в нестабильной экономической среде: риски, стратегии, безопасность. -М.: Экономика, 1997. 10. Комарова Н. В., Гаврилова Л. В. Фирма: стратегия и тактика управления рисками // Вестник Санкт-Петербургского университета. Сер. 5. Экономика. - 1993. - Вып. 2 (12). - С. 92-95. 11. Лагоша Б. А. Об оценке эффективности инвестиционных проектов //Тез. докл. научной конференции «Организационные науки и проблемы государственного регулирования рыночной экономики». - М.: ЦЭМИ РАН, Международная академия организационных наук, 1996. -С. 75-77. 12. Мак Кинси Дж. Введение в теорию игр: Пер. с англ. - М.: Физматгиз, 1960. 13. Нейман Дж., Моргенштерн О. Теория игр и экономическое поведение: Пер. с англ. - М.: Наука, 1970. 14. Основные методические положения оптимизации развития и размещения производства / Под. ред. академиков А. Г. Аганбегяна и Н. П. Федоренко. - М.: Наука, 1978. 15. Ожегов С. И. Словарь русского языка. - М.: Русский язык, 1981. 16. Первозванский А. А., Первозванская Т.Н. Финансовый рынок: расчет и риск. - М.: Инфра-М, 1992. 17. Самуэльсон П. Экономика. Т. 1. - М.: МГП «Алгон», ВНИИСИ, 1992. 18. Соколинская Н. Э. Экономический риск в деятельности коммерческого банка. (Методы оценки и практика регулирования). - М.: Общество «Знание» РСФСР, 1991. 19. Уилкс С. Математическая статистика. - М.: Наука, 1967. 20. Хозяйственный риск и методы его измерения: Пер. с венг. / Т. Бочкаи, Д. Месена, Д. Мико, Е. Сеп, Э. Хусти. — М.: Экономика, 1979. 21. Gren J. Ocena jacosej wyrobow obiektow ze wzgledn na wielle wymagan. - Warszawa, 1970. 22. Gren J. Statystyczne i ich Zastosowania. Panstwowe Wydawnictwo Ekonomiczne. - Warszawa, 1972. 23. Dantzig G. B. A proof of the equivalence of the programming and the game problem. Activity Analysis of Production and Allocation, ed. By Koopmans T. C., Cowles Commission Monograph, № 13, New York, Wiley, 1951. -P.330-335. Безразличие к риску 73, 74 Безусловный денежный" эквивалент (БДЭ) 50, 67 Величина страхования оптимальная 78, 80 Вероятность 13, 15, 25, 33, 57, 62, 65, 72, 81, 101, 112, 117, 157 Дерево решений 47, 48, 53 Дисперсия 13, 58 Задача линейного программирования 19, 30, 36, 86, 90,158, 162 Игра антагонистическая 18, 108, 113 одношаговая 19 многошаговая 19 с природой 20, 38, 45, 64 с седловой точкой 22, 24, 26, 33, 37 статистическая 20, 108, 110, 111, 114, 123, 129, 136, 149, 153 стратегическая 16, 20, 38, 42, 113, 114, 123, 129, 153 Инвестиции 86, 88, 92, 99, 104 Индекс риска 86 Комбинация стратегий линейная выпуклая 33, 34 Коэффициент дисконтирования 93, 94, 97, 99, 103, 106 Критерий максимакса 42, 45 минимаксного риска (Сэвиджа) 43, 45 пессимизма-оптимизма (Гурвица) 43, 44, 45 Мажорирование (доминирование) стратегий 32, 35, 39, 41, 164 Максимин 21, 22 Математическое ожидание 13, 26, 58, 101, 111, 113 Матрица выигрышей 41, 43, 47 платежная 17, 29, 32, 38, 40, 47, 51, 56, 60, 64 рисков 40, 43, 47 Минимакс 21, 22 Неопределенность 40, 42 Несклонность к риску 73, 74 Ожидаемая денежная оценка (ОДО)50, 52, 55, 65, 67, 71, 74, 77 Полезность по Нейману - Моргенштерну 70, 71, 73, 76, 80 Планирование финансовое 86 Рандомизация 109, 112 Риск 10, 38, 40, 46, 59, 68, 71, 74, 76, 89, 109, 114, 115 Склонность к риску 44, 59, 73, 74, 76 Спрос на страхование 80, 82 Среднее квадратичное отклонение 13, 59, 61 Стратегия активная 27, 29 игрока 17, 20, 158 оптимальная 24, 27, 29, 108 смешанная оптимальная 26, 27, 29, 30 чистая оптимальная 23 Стоимость проекта чистая приведенная 93, 96, 97,99 Теорема основная теории игр 158, 165 Теория игр 16 статистических решений 46 Точка седловая 20, 23 Функция рандомизированная 110, 136, 141 нерандомизированная 110, 124, 136, 140, 144, 149 потерь 111 решения байесовская 112, 114 риска 111, 112, 141 Цена игры 22, 26, 27, 29 чистая верхняя 21, 24 чистая нижняя 21, 24 Ценность ожидаемая точной информации 55, 56 фирмы 96 Учебное пособие Дубров Абрам Моисеевич Лагоша Борис Александрович Хрусталев Евгений Юрьевич МОДЕЛИРОВАНИЕ РИСКОВЫХ СИТУАЦИЙ В ЭКОНОМИКЕ И БИЗНЕСЕ Ведущий редактор Л.А. Табакова Редактор А.М. Мжтормка Художественный редактор Ю.И. Артюхов Технический редактор Е.В. Кузьмина Корректоры Т.М. Колоакова, Т.М. Васильева Обложка художника Н.М. Биксеитеевж Компьютерная верстка О.Е. Хрусталева ИБ№3965 Лицензия ЛР № 010156 от 29.01.97 Подписано в печать 17.01.2000. Формат 60х88/16 Гарнитура «Таймс». Печать офсетная усл.п.л. 10,8. Уч.-изд. л. 8.23 Тираж 4000 экз. Заказ 325 «С» 031 Издательство «Финансы и статистика» 101000, Москва, ул. Покровка, 7 Телефон (095) 925-35-02, факс (095) 925-09-57 E-mail: mail@finstat.ru http://www.finstat.ru Великолукская городская типография Комитета по средствам массовой информации и связям с общественностью администрации Псковской области, 182100, г. Великие Луки, ул. Полиграфистов, 78/12 Тел./факс: (811-53) 3-62-95 E-mail: VTL@MART.RU |
||||||||||||||||||||||||||||||||||||||||||||||||||||||||||||||||||||||||||||||||||||||||||||||||||||||||||||||||||||||||||||||||||||||||||||||||||||||||||||||||||||||||||||||||||||||||||||||||||||||||||||||||||||||||||||||||||||||||||||||||||||||||||||||||||||||||||||||||||||||||||||||||||||||||||||||||||||||||||||||||||||||||||||||


























































































































