Реферат: Решение транспортных задач в Excel
|
Название: Решение транспортных задач в Excel Раздел: Рефераты по информатике Тип: реферат | |||||||||||||||||||||||||||||||||||||||||||||||||||||||||||||||||||||||||||||||||||||||||||||||||||||||||||||||||||||||||||||||||||||||||||||||||||||||||||||||||||||||||||||||||||||||||||||||||||||||||||||||||||||||||||||
| Министерство образования Российской Федерации Саратовский Государственный Технический Университет Кафедра «Организация перевозок и управление на транспорте» КУРСОВАЯ РАБОТА по дисциплине «Информационные технологии на транспорте» Зачетная книжка №070047 Выполнил: студент гр. ОПТ-33 Авдошин А.С. Проверил: Красникова Д.А. Саратов 2009Содержание1. Классическая транспортная задача 3 1.1 Математическая постановка задачи 4 1.2 Решение задачи в среде Excel 6 2. Транспортная задача с промежуточными пунктами 8 2.1 Математическая постановка задачи 9 2.2 Решение задачи в среде Excel 11 3. Задача о назначениях 15 3.1 Математическая постановка задачи 15 3.2 Решение задачи в среде Excel 17 Заключение 24 Список использованной литературы 25 Задание 1 Классическая транспортная задача Оптовая фирма по продаже цемента имеет четыре склада, находящиеся в разных районах г.Саратова, объёмы запасов на которых представлены на рисунке 1. Фирма обслуживает строительные организации, которые производят капитальный ремонт четырёх объектов, спрос которых также представлен на рисунке 1. Расстояния между складами и объектами строительства представлены в таблице 1.
![]() Рисунок 1 – Объемы спроса и предложенияТаблица 1 – Кратчайшие расстояния, км
Средняя стоимость перевозки 1 мешка с цементом на 1 км составляет 5 рублей. В результате получаем, представленную в таблице 2, стоимость перевозок по каждому маршруту. Таблица 2 - Стоимость перевозок по каждому маршруту
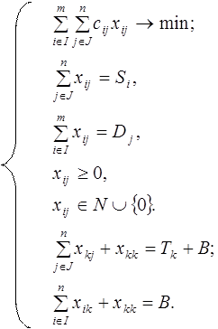
1.1 Математическая постановка задачи В исследовании операций под транспортной задачей обычно понимают задачу выбора плана перевозок некоторого товара (изделий, груза) от m источников (пунктов производства, поставщиков) к n стокам (станциям назначения, пунктам сбыта), обеспечивающего минимальные транспортные затраты. При этом предполагают, что: а) мощность i-го источника (объем поставок товара от i -го источника) равна Si >0, i =1,...,m ; б) мощность j-го стока (объем поставок товара к j -му стоку) равна Dj >0, j =1,...,n ; в) стоимость перевозки единицы товара (в условных денежных единицах) от i -го источника к j -му стоку равна c ij ;
Далее под объемом товара будем понимать его количество в фиксированных единицах измерения.
случае x i1 + x i2 +...+ xin — общий объем поставок товара от i -го источника, т.е. мощность этого источника; x 1 j + x 2 j +...+ xmj — общий объем поставок товара к j-му стоку, т.е. мощность этого стока; c 11 x 11 + c 12 x 12 +...+ cmn xmn — суммарная стоимость перевозок товара от источников к стокам. С учетом этого рассматриваемая задача может быть представлена в следующем виде: На рисунке 3 показано представление транспортной задачи в виде сети с m пунктами отправления и n пунктами назначения, которые показаны в виде узлов сети. Дуги , соединяющие узлы сети, соответствуют маршрутам, связывающим пункты отправления и назначения. С дугой (i , j ), соединяющей пункт отправления i с пунктом назначения j , соотносятся два вида данных: стоимость cij перевозки единицы груза из пункта i в пункт j и количество перевозимого груза xij . Объем грузов в пункте отправления i равен Si , а объем грузов в пункте назначения j равен Dj . Задача состоит в определении неизвестных величин xij , минимизирующих суммарные транспортные расходы и удовлетворяющих ограничениям, накладываемым на объемы грузов в пунктах отправления (предложение) и пунктах назначения (спрос).
Рисунок 3 – Представление транспортной задачи в виде сети Когда суммарный объем предложений (грузов, имеющихся в пунктах отправления) не равен общему объему спроса на товары (грузы), запрашиваемые пунктами назначения, транспортная задача называется несбалансированной . В этом случае, при решении классической транспортной задачи методом потенциалов , применяют прием, позволяющий несбалансированную транспортную задачу сделать сбалансированной. Для этого вводят фиктивные пункты назначения или отправления. Выполнение баланса транспортной задачи необходимо для того, чтобы иметь возможность применить алгоритм решения, построенный на использовании транспортных таблиц. 1.2 Решение задачи в среде Excel Данную задачу можно решить симплекс-методом или с помощью, так называемой, транспортной таблицы . Исходные данные для решения классической транспортной задачи целесообразно представить в виде двух таблиц, в первой из которых представлены значения стоимости перевозок единицы товара cij от i -го поставщика к j -му потребителю. Во второй таблице представлены: значения Si предложения каждого i -го поставщика; значения Dj спроса каждого j -го потребителя; переменные xij , первоначально принимающие нулевые значения; вспомогательная строка и вспомогательный столбец "Сумма". Целевая ячейка D24 должна содержать формулу, выражающую целевую функцию: =СУММПРОИЗВ(B12:C13;C20:D21) Используя меню СервисÞПоиск решения открываем диалоговое окно Поиск решения, в котором устанавливаем целевую ячейку равной минимальному значению, определяем диапазон изменяемых ячеек и ограничения и запускаем процедуру вычисления, щелкнув по кнопке Выполнить.
В Excel несбалансированная транспортная задача решается путем изменения ограничений по спросу (если спрос превышает предложение) или по предложению (если предложение превышает спрос). Таблица 9 – План оптимального закрепления
Потребительский спрос бассейна и школы удовлетворены полностью. На складе Волжского района остается не вывезенным 300 мешков, на Ленинском складе – 250 мешков. Общая стоимость перевозки составляет 53500 условных единств. Задача 2. Транспортная задача с промежуточными пунктамиВ транспортной сети, показанной на рисунке 2, осуществляются перевозки груза из пунктов 1 и 2 в пункты 5 и 6 через транзитные пункты 3 и 4. Стоимость перевозки единицы груза между пунктами показана в таблице 3. Предложение пунктов 1, 2 (П1 и П2) и спрос пунктов 5,6 (С5 и С6) выбирается соответственно из таблиц 4 и 5. Построить транспортную модель с промежуточными пунктами.
Рисунок 2 – Схема транспортной сети Таблица 3 – Стоимость перевозки единицы груза между пунктами транспортной сети
Таблица 4 – Предложение пунктов 1 и 2
Таблица 5 – Спрос пунктов 5 и 6
2.1 Математическая постановка задачи Одно практически важное обобщение классической транспортной задачи связано с учетом возможности доставки товара от i-го источника к j-му стоку по маршруту, проходящему через некоторый промежуточный пункт (склад). Так, например, промежуточные пункты являются составной частью распределительной системы любой крупной компании, имеющей сеть универсальных магазинов во многих городах. Такая компания обычно имеет зональные оптовые базы (источники), снабжающие товарами более мелкие региональные склады (промежуточные пункты), откуда эти товары поступают в розничную торговую сеть (стоки). При этом товар для каждого фиксированного стока в общем случае может быть доставлен не из любого источника и по маршрутам, не обязательно проходящим через все промежуточные пункты. Кроме того, промежуточные пункты могут обладать вполне определенной спецификой. Так, например, при транспортировке товара от источника к стоку по маршруту, проходящему через склад, часть товара может быть использована для создания неприкосновенного запаса на складе. Задачу выбора плана перевозок товаров от источников стокам с учетом промежуточных пунктов, обеспечивающего минимальные транспортные затраты и потребности стоков, в исследовании операций называют транспортной задачей с промежуточными пунктами. Для приобретения практических навыков в построении математических моделей таких задач обратимся к следующему примеру. На рисунке 4 представлена схема размещения складов, на которой указаны: а) склады в виде узлов сети с номерами от 1 до 6; б) избыток товара на складе, который должен быть перераспределен в системе складов (указан в квадратных скобках рядом с узлом сети положительным числом и выражен в единицах измерения товара); в) недостаток товара на складе, который должен быть устранен за счет его поставок с других складов системы (указан в квадратных скобках рядом с узлом сети отрицательным числом).
Рисунок 4 – Схема размещения складов На рисунке 4 видно, что суммарный избыток товара, имеющийся на складах системы с номерами 1 и 2, равен суммарному недостатку товара, имеющемуся на складах с номерами 5, 6. Перераспределение товара может происходить через склады с номерами 3 и 4, которые в рассматриваемой задаче и являются промежуточными или транзитными пунктами. Истинными пунктами отправления являются лишь склады с номерами 1 и 2, на которых имеется избыток товара и с которых товар можно только вывозить, а истинным пунктом назначения является склад с номером 6, на котором есть недостаток товара, и на этот склад товары можно только завозить. Заметим также, что между складами с номерами 3 и 4 возможны перевозки в обоих направлениях, но в общем случае c34 ¹c43 (например, наличие одностороннего движения по кратчайшему маршруту). Объемы спроса и предложения, соответствующие этим пунктам отправления и назначения, вычисляются следующим образом. Объем предложения истинного пункта отправления = объем исходного предложения. Объем предложения транзитного пункта = объем исходного предложения + объем буфера. Объем спроса истинного пункта назначения = объем исходного спроса. Объем спроса транзитного пункта = объем буфера. Объем буфера должен быть таким, чтобы вместить объем всего предложения (или спроса).
2.2 Решение транспортной задачи с промежуточными пунктами в Excel Необходимо найти решение транспортной задачи с промежуточными пунктами, если стоимость перевозки единицы товара составляет: c13 =2 у.е., c14 =3 у.е., c23 =5 у.е., c24 =4 у.е., c34 =3 у.е., c35 =6 у.е., c43 =3 у.е., c45 =4 у.е., c46 =5 у.е., c56 =4 у.е. В Excel необходимо создать 2 таблицы: Стоимость перевозки единицы товара и Плана перевозок товара между складами. В таблице Стоимость перевозки единицы товара мы видим, что если между отдельными складами отсутствует возможность перевозки товара, то в соответствующие ячейки таблицы заносится любое большое число (в данном случае 100)(таблица 10). Таблица 10 – Стоимость перевозки единицы товара
B = общий объем предложения = S1 +S2 =170+180 = 350 ед.
B = общий объем спроса =D6 +D5 = 155 + 195= 350 ед. Для остальных складов объемы предложения Si или объемы спроса Dj равны нулю.
Используя меню СервисÞПоиск решения открываем диалоговое окно Поиск решения, в котором устанавливаем целевую ячейку равной минимальному значению, определяем диапазон изменяемых ячеек и ограничения и запускаем процедуру вычисления, щелкнув по кнопке Выполнить.
Результат решения данной задачи представлен в таблице 11. Таблица 11 – Оптимальный план перевозок
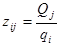
Видно, что оптимальный план перевозок товара между складами следующий: - со склада 1 товар в количестве 170 единиц перевозиться в транзитный пункт 4; - со склада 2 товар в количестве 180 единиц перевозиться в транзитный пункт 4; - со склада 4 товар в количества 155 и 195 единиц перевозиться в транзитный пункт 5 и 6, который является истинным пунктом назначения. Стоимость перевозок при этом минимальна и составляет 2825 условных денежных единиц. Задача 3 Задача о назначениях У автотранспортной компании имеется n автомобилей разных марок (выбирается из таблицы 7). Автомобили разных марок имеют разную грузоподъёмность qi (т ) и разные удельные эксплуатационные затраты ci ($/км ) – таблица 6. Компания получила заказы от m клиентов на перевозку грузов. Причём в каждом заказе указан объём перевозимого груза Qj (т ) и расстояние перевозки L j (км ). Заказы на перевозку выбираются из таблицы 8. Требуется, используя табличный процессор Excel, оптимальным образом назначить автомобили на рейсы для выполнения заказов клиентов, полагая тарифы (руб./ткм) для клиентов на перевозки одинаковыми. Таблица 6 – Характеристики автомобилей по маркам
Таблица 7 – Структура парка автомобилей автотранспортной компании
Таблица 8 – Заказ на перевозку груза
3.1 Математическая постановка задачи
Предположим, что имеется n различных работ, каждую которых может выполнить любой из n привлеченных исполнителей. Стоимость выполнения i-й работы j-м исполнителем известна и равна cij (в условных денежных единицах). Необходимо распределить исполнителей по работам (назначить одного исполнителя на каждую работу) так, чтобы минимизировать суммарные затраты, связанные с выполнением всего комплекса работ.
В исследовании операций задача, сформулированная выше известна как задача о назначениях. Введем переменные xij , принимающие значение 1 в случае, когда i-ю работу выполняет j-й исполнитель и значение 0 во всех остальных случаях, i,j = 1, n. Тогда ограничение гарантирует выполнение каждой работы лишь одним исполнителем, ограничение
гарантирует, что каждый из исполнителей будет выполнять лишь одну работу.
Стоимость выполнения всего комплекса работ равна Таким образом, задачу о назначениях можно записать следующим образом:
Задача о назначениях является частным случаем классической транспортной задачи, в которой надо положить n = m, Si = 1, i = 1,...,n, Dj = 1, j = 1,...,n. При этом условие xij Î{0, 1}, i,j = 1,...,n, означает выполнение требования целочисленности переменных xij . Это связано с тем, что мощности всех источников и стоков равны единице, откуда следует, что в допустимом целочисленном решении значениями переменных могут быть только 0 и 1. Как частный случай классической транспортной задачи, задачу о назначениях можно рассматривать как задачу линейного программирования. Поэтому в данном случае используют терминологию и теоретические результаты линейного программирования. В задаче о назначениях переменное xij , может принимать значение 0 или 1. При этом в любом допустимом решении лишь n переменных могут принимать значения 1. Таким образом, любое допустимое базисное решение задачи о назначениях будет вырожденным. На практике встречаются задачи о назначениях, в постановках которых параметр cij для i,j= 1,...,n понимается как эффективность выполнения i-й работы j-м исполнителем. В этих случаях нужно так распределить работы между исполнителями, чтобы суммарная эффективность их выполнения был бы максимальной, т.е.
где максимум ищется при указанных выше ограничениях. 3.2 Решение задачи о назначениях в Excel У автотранспортной компании имеется n автомобилей разных марок. Автомобили разных марок имеют разную грузоподъёмность qi (т ) и разные удельные эксплуатационные затраты ci ($/км ). Компания получила заказы от m клиентов на перевозку грузов. Причём в каждом заказе указан объём перевозимого груза Qj (т ) и расстояние перевозки Lj (км ). Требуется, используя табличный процессор Excel, оптимальным образом назначить автомобили на рейсы для выполнения заказов клиентов, полагая тарифы на перевозки одинаковыми. Покажем, что представленная задача удовлетворяет рассмотренным выше требованиям. 1) Поскольку тарифы одинаковые, то в качестве целевой функции следует выбрать эксплуатационные затраты. Эти затраты необходимо минимизировать путём оптимального распределения автомобилей по клиентам. 2) Поскольку в общем случае m ¹ n , то задачу необходимо сбалансировать путём введения фиктивных заказов или фиктивных автомобилей. Получим: а) При n > m заказов меньше, чем автомобилей (избыток провозных возможностей). В этом случае дополнительно вводятся n - m фиктивных клиентов с нулевыми объёмами заказов (т.е. Qj =0 и Lj =0). Поскольку для фиктивных клиентов заказы нулевые, то для их выполнения будут назначаться самые неэффективные по затратам автомобили. Практически выполнение заказа фиктивного клиента означает резервирование автомобиля (автомобиль остаётся в парке). б) При n < m заказов больше, чем автомобилей (недостаток провозных возможностей). В этом случае дополнительно вводятся m - n фиктивных автомобилей с бесконечно большими удельными затратами (т.е. с j ®¥). Практически это означает отказ от самых невыгодных в смысле затрат заказов. 3) Окончательно получим сбалансированную задачу, описываемую квадратной матрицей эксплуатационных затрат размерностью k ´ k , где k = max{m , n }. Алгоритм решения данной задачи в Excel сводится к следующему. Количество рейсов i -го автомобиля у j -го клиента вычисляется по формуле
Количество рейсов - величина целочисленная, принимающая значение большее или равное 1. Для её вычисления следует воспользоваться функцией округления частного от деления в большую сторону. Например, если исходные данные находятся в ячейках B29:C29 и D26:D27, то количество рейсов определяется функцией (второй параметр функции округления равен 0)
Пробег i -го автомобиля у j -го клиента вычисляется по формуле
=ОКРУГЛВВЕРХ($B6/D$3;0)*$C6*D$4 Дополнительная целочисленная переменная логического типа принимает значения
Целевая функция имеет вид
при ограничениях:
Найдем решение задачи 3.1 в Excel, используя следующие исходные данные. Автотранспортная компания располагает 10 автомобилями разных марок: 0 автомобилей марки A; 4 автомобиля марки B; 3 автомобиля марки C; 2 автомобиль марки D; 1 автомобилей марки E. Представим в Excel таблицу с исходными данными. Поскольку заказов меньше имеющихся у компании автомобилей, необходимо ввести фиктивного клиента с нулевым объёмом перевозок. В той же таблице произвести необходимые промежуточные расчёты затрат по приведённым выше формулам Таблица 12 – Матрица затрат Sij
Введем Матрицу Xij , содержащую переменные логического типа xij Матрица произведения Sij *Xij , в которой отразится результат оптимального закрепления автомобилей за клиентами и, соответствующие этому закреплению, минимальные затраты. Используя меню СервисÞПоиск решения открываем диалоговое окно Поиск решения, в котором устанавливаем целевую ячейку равной минимальному значению, определяем диапазон изменяемых ячеек со значениями логической переменной xij (Матрица Xij ) и ограничения, и запускаем процедуру вычисления, щелкнув по кнопке Выполнить. Результат поиска будет находиться в изменяемых ячейках Матрицы Xij (i - автомобиль; j - клиент) и в целевой ячейке (эксплуатационные затраты) (Таблица 13 и Таблица 14). Таблица 13 - Оптимальное закрепление автомобилей Очевидно, что девятый автомобиль, назначенный фиктивному десятому клиенту, будет простаивать в парке. Таблица 14 – Затраты, соответствующие оптимальному закреплению автомобилей
Видно, что минимальные затраты на перевозки составят: - автомобиль №1 закреплен за 6-ым клиентом, минимальные затраты на перевозку составляют 44; - автомобиль №2 закреплен за 3-ым клиентом, минимальные затраты на перевозку составляют 116; - автомобиль №3 закреплен за 4-ым клиентом, минимальные затраты на перевозку составляют 59; - автомобиль №4 закреплен за 1-ым клиентом, минимальные затраты на перевозку составляют 192; - автомобиль №5 закреплен за 9-ым клиентом, минимальные затраты на перевозку составляют 69; - автомобиль №6 закреплен за 5-ым клиентом, минимальные затраты на перевозку составляют 14; - автомобиль №7 закреплен за 2-им клиентом, минимальные затраты на перевозку составляют 105; - автомобиль №8 закреплен за 8-ым клиентом, минимальные затраты на перевозку составляют 6; - автомобиль №10 закреплен за 7-ым клиентом, минимальные затраты на перевозку составляют 22. Эксплуатационные затраты составляют 627у.е. ЗаключениеПрименение таблиц Excel позволило автоматизировать поиск решений при решении транспортной задачи, а именно при решении классической транспортной задачи и транспортной задачи с промежуточными пунктами найти оптимальную грузоперевозку между пунктами с минимальными затратами, а также оптимальное распределение машин между клиентами для осуществления перевозки с минимальными затратами. Преимуществами данных методов решения является их универсальность и простота в работе при высокой точности результатов. Список использованной литературы 1 Бочкарев А.А. Решение задач транспортного типа в Excel: Учеб. пособие по спец. 062200 - Логистика / А.А. Бочкарев. СПбГИЭУ. - СПб., 2002. - 64 с. 2 Волков И.К., Загоруйко Е.А. Исследование операций: Учеб. для вузов / И.К. Волков, Е.А. Загоруйко. / Под ред. В.С. Зарубина, А.П. Крищенко. - М.: Изд-во МГТУ им. Н.Э. Баумана, 2000. - 436 с. 3 Кожин А.П. Математические методы в планировании и управлении автомобильными перевозками: Учеб. пособие для студентов экон. спец. вузов. / А.П. Кожин - М.: Высш. школа, 1979. -304 с. 4 Попов А.А. Excel: практическое руководство: Учеб. пособие для вузов. / А.А. Попов - М.: ДЕСС КОМ, 2001. -302с. 5 Таха, Хэмди, А. Введение в исследование операций, 6-е издание.: / Таха, Хэмди, / Пер. с англ. - М.: Издательский дом "Вильямс", 2001. -912 с. 6 Транспортная логистика: Учебник для транспортных вузов. / Под общей редакцией Л.Б. Миротина. - М.: Издательство "Экзамен", 2002. -512 с. |
|||||||||||||||||||||||||||||||||||||||||||||||||||||||||||||||||||||||||||||||||||||||||||||||||||||||||||||||||||||||||||||||||||||||||||||||||||||||||||||||||||||||||||||||||||||||||||||||||||||||||||||||||||||||||||||














