Реферат: Основные положения молекулярно-кинетической теории
|
Название: Основные положения молекулярно-кинетической теории Раздел: Рефераты по физике Тип: реферат | |||||||
| Основные положения молекулярно-кинетической теории. Молекулярно-кинетическая теория (МКТ) занимается изучением свойств веществ, основываясь при этом на представлениях о частицах вещества. МКТ базируется на трех основных положениях: 1. Все вещества состоят из частиц - молекул, атомов и ионов. 2. Частицы вещества беспрерывно и беспорядочно движутся. 3. Частицы вещества взаимодействуют друг с другом. Беспорядочное (хаотичное) движение атомов и молекул в веществе называют тепловым движением, потому что скорость движения частиц увеличивается с ростом температуры. Экспериментальным подтверждением непрерывного движения атомов и молекул в веществе является броуновское движение и диффузия. Частицы вещества. Все вещества и тела в природе состоят из атомов и молекул - групп атомов. Такие большие тела называются макроскопическими. Атомы и молекулы относятся к микроскопическим телам. Современные приборы (ионные проекторы, туннельные микроскопы) позволяют видеть изображения отдельных атомов и молекул.
Силы взаимодействия между молекулами. На очень малых расстояниях между молекулами действуют силы отталкивания. Благодаря этому молекулы не проникают друг в друга и куски вещества никогда не сжимаются до размеров одной молекулы. Молекула - это сложная система, состоящая из отдельных заряженных частиц: электронов и атомных ядер. Хотя в целом молекулы электрически нейтральны, но между ними на малых расстояниях действуют значительные электрические силы: происходит взаимодействие электронов и атомных ядер соседних молекул. Если молекулы находятся на расстояниях, превышающих их размеры в несколько раз, то силы взаимодействия практически не сказываются. Силы между электрически нейтральными молекулами являются короткодействующими. На расстояниях, превышающих 2 - 3 диаметра молекул, действуют силы притяжения. По мере уменьшения расстояния между молекулами сила притяжения сначала увеличивается, а затем начинает убывать и убывает до нуля, когда расстояние между двумя молекулами становится равным сумме радиусов молекул. При дальнейшем уменьшении расстояния электронные оболочки атомов начинают перекрываться, и между молекулами возникают быстро нарастающие силы отталкивания.
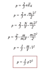
Идеальный газ. Основное уравнение МКТ. Известно, что частицы в газах, в отличие от жидкостей и твердых тел, располагаются друг относительно друга на расстояниях, существенно превышающих их собственные размеры. В этом случае взаимодействие между молекулами пренебрежимо мало и кинетическая энергия молекул много больше энергии межмолекулярного взаимодействия. Для выяснения наиболее общих свойств, присущих всем газам, используют упрощенную модель реальных газов - идеальный газ. Основные отличия идеального газа от реального газа: 1. Частицы идеального газа - сферические тела очень малых размеров, практически материальные точки. Реальные разреженные газы действительно ведут себя подобно идеальному газу. Воспользуемся моделью идеального газа для объяснения происхождения давления газа. Вследствие теплового движения, частицы газа время от времени ударяются о стенки сосуда. При каждом ударе молекулы действуют на стенку сосуда с некоторой силой. Складываясь друг с другом, силы ударов отдельных частиц образуют некоторую силу давления, постоянно действующую на стенку. Понятно, что чем больше частиц содержится в сосуде, тем чаще они будут ударяться о стенку сосуда, и тем большей будет сила давления, а значит и давление. Чем быстрее движутся частицы, тем сильнее они ударяют в стенку сосуда. Мысленно представим себе простейший опыт: катящийся мяч ударяется о стенку. Если мяч катится медленно, то он при ударе подействует на стенку с меньшей силой, чем если бы он двигался быстро. Чем больше масса частицы, тем больше сила удара. Чем быстрее движутся частицы, тем чаще они ударяются о стенки сосуда. Итак, сила, с которой молекулы действуют на стенку сосуда, прямо пропорциональна числу молекул, содержащихся в единице объема (это число называется концентрацией молекул и обозначается n), массе молекулы mo
, среднему квадрату их скоростей и площади стенки сосуда. В результате получаем: давление газа прямо пропорционально концентрации частиц, массе частицы и квадрату скорости частицы (или их кинетической энергии). Зависимость давления идеального газа от концентрации и от средней кинетической энергии частиц выражается основным уравнением молекулярно-кинетической теории идеального газа. Мы получили основное уравнение МКТ идеального газа из общих соображений, но его можно строго вывести, опираясь на законы классической механики. Приведем одну из форм записи основного уравнения МКТ:
Основные итоги.
|
На иллюстрации показаны примеры разных веществ, имеющих строение соответственно в виде атомов, молекул и ионов.






