| 1.
Финансовая математика: предмет, принцип «временной стоимости денег», виды процентных ставок
Финансовая математика – раздел количественного анализа финансовых операций, предметом которого является изучение функциональных зависимостей между параметрами коммерческих сделок или финансово-банковских операций и разработка на их основе методов решения финансовых задач определенного класса.
Фактор времени играет огромную роль и определяется принципом неравноценности денег, относящимся к разным моментам времени. Сегодняшние деньги ценнее будущих по следующим причинам:
· во-первых, деньги можно продуктивно использовать во времени как приносящий доход финансовый актив, т.е. деньги могут быть инвестированы, и тем самым принести доход. Рубль в руке сегодня стоит больше, чем рубль, который должен быть получен завтра ввиду процентного дохода, который вы можете получить, положив его на сберегательный счет или проведя другую инвестиционную операцию;
· во-вторых, инфляционные процессы ведут к обесцениванию денег во времени. Сегодня на рубль можно купить товара больше, чем завтра на этот же рубль, т.к. цены на товар повысятся;
· в-третьих, неопределенность будущего и связанный с этим риск повышает ценность имеющихся денег. Сегодня рубль в руке уже есть и его можно израсходовать на потребление, а будет ли он завтра в руке, – еще вопрос.
Относительный показатель, характеризующий интенсивность начисления процентов за единицу времени, – процентная ставка. Методика расчета проста: отношение суммы процентных денег, выплачивающихся за определенный период времени, к величине ссуды. Этот показатель выражается либо в долях единицы, либо в процентах. Таким образом, процентная ставка показывает, сколько денежных единиц должен заплатить заемщик за пользование в течение определенного периода времени 100 единицами первоначальной суммы долга.
Виды процентных ставок:

Простая процентная ставка применяется к одной и той же первоначальной сумме долга на протяжении всего срока ссуды, т.е. исходная база (денежная сумма) всегда одна и та же.
Сложная процентная ставка применяется к наращенной сумме долга, т.е. к сумме, увеличенной на величину начисленных за предыдущий период процентов, – таким образом, исходная база постоянно увеличивается.
Фиксированная процентная ставка – ставка, зафиксированная в виде определенного числа в финансовых контрактах.
Постоянная процентная ставка – неизменная на протяжении всего периода ссуды.
Переменная процентная ставка – дискретно изменяющаяся во времени, но имеющая конкретную числовую характеристику.
Плавающая процентная ставка – привязанная к определенной величине, изменяющейся во времени, включая надбавку к ней (маржу), которая определяется целым рядом условий (сроком операции и т.п.). Основу процентной ставки составляет базовая ставка, которая является начальной величиной.
2.
Схема и основные параметры кредитной операции. Простые проценты при краткосрочных ссудах. Три варианта расчета простых процентов
Основные параметры
простой кредитной операции:
P – первоначальная сумма денег, S – наращенная сумма, I – плата за кредит (общая сумма процентных денег).
P________________S
T – период начисления
i
=
I
/
P
= (
S
-
P
)/
P
– процентная ставка простейшей кредитной сделки.
Простые ставки
процентов применяются обычно в краткосрочных финансовых операциях, когда интервал начисления совпадает с периодом начисления (срок менее года), или когда после каждого интервала начисления кредитору выплачиваются проценты.
Расчет простых процентов может быть произведен одним из трех возможных способов:
1. Обыкновенные проценты с приближенным числом дней ссуды, или, как часто называют, "германская
практика расчета", когда продолжительность года условно принимается за 360 дней, а целого месяца – за 30 дней. Этот способ обычно используется в Германии, Дании, Швеции.
2. Обыкновенные проценты с точным числом дней ссуды, или "французская
практика расчета", когда продолжительность года условно принимается за 360 дней, а продолжительность ссуды рассчитывается точно по календарю. Этот способ имеет распространение во Франции, Бельгии, Испании, Швейцарии.
3. Точные проценты с точным числом дней ссуды, или "английская
практика расчета", когда продолжительность года и продолжительность ссуды берутся точно по календарю. Этот способ применяется в Португалии, Англии, США.
Чисто формально возможен и четвертый вариант: точные проценты с приближенным числом дней ссуды, – но он лишен экономического смысла.
Система
|
Число дней в месяце, d
|
Число дней
в году
|
День приема /
выдачи вклада
|
| Неполный месяц
|
Полный месяц
|
А) Германия
|
Факт
|
30
|
360
|
-1
|
| Б) Англия
|
Факт
|
Факт
|
Факт
|
-1
|
| В) Франция
|
Факт
|
Факт
|
365
|
-1
|
3.
Простые проценты. Расчет наращенной суммы, срока кредита, величины процентной ставки. Расчет наращенной суммы при простых переменных ставках
Простые ставки
процентов применяются обычно в краткосрочных финансовых операциях, когда интервал начисления совпадает с периодом начисления (срок менее года), или когда после каждого интервала начисления кредитору выплачиваются проценты.
Рассмотрим процесс наращения
(accumulation), т.е. определения денежной суммы в будущем, исходя из заданной суммы сейчас. Экономический смысл операции наращения состоит в определении величины той суммы, которой будет или желает располагать инвестор по окончании этой операции. Здесь идет движение денежного потока от настоящего к будущему.
При использовании простых ставок процентов проценты (процентные деньги) определяются исходя из первоначальной суммы долга. Схема простых процентов предполагает неизменность базы, с которой происходит начисление процентов. Из определения процентов нетрудно заметить, что проценты представляют собой, по сути, абсолютные приросты:
I
=
S
-
P
.
Поскольку база для их начисления является постоянной, то за ряд лет общий абсолютный прирост составит их сумму или произведение абсолютных приростов на количество лет ссуды:
I
=
(S-P)
n = [
(S-P) / P • P]
n = i • P • n,
где i
= (
S
- P
) / P
- процентная ставка.
Таким образом, размер ожидаемого дохода зависит от трех факторов: от величины инвестированной суммы, от уровня процентной ставки и от срока финансовой операции.
Тогда наращенную сумму
по схеме простых процентов можно будет определять следующим образом:
S = P + I = P + i • P • n = P
(1 + i • n) = P • k
н
.
,
где kн
– коэффициент (множитель) наращения простых процентов.
Данная формула называется "формулой простых процентов"
. Для облегчения финансовых расчетов можно использовать финансовые таблицы, содержащие коэффициенты наращения по простым процентам.
Для расчета процентов
используется методика расчета с вычислением процентных чисел: каждый раз, когда сумма на счете изменяется, производится расчет "процентного числа" за период, в течение которого сумма на счете была неизменной. Процентное число вычисляется по формуле:
Процентное число = (Сумма на счете • Длительность периода в днях) / 100 == (P • t
) / 100
Для определения суммы процентов за весь срок их начисления все "процентные числа" складываются, и их сумма делится на постоянный делитель, который носит название "процентный ключ" или дивизор, определяемый отношением количества дней в году к годовой процентной ставке:
I
= Σ Процентных чисел : Постоянный делитель, где
Постоянный делитель = Продолжительность года в днях / Годовая ставка процентов = T / i
Проценты
, вычисляемые с использованием дивизора, рассчитанного исходя из 365 дней в году, называются точными
и будут меньше, чем проценты обыкновенные
(коммерческие), где количество дней в году принято за 360.
При простых переменных
ставках формула наращения принимает вид:
S = P(1+n1
i1
+n2
i2
+…) = P(1+Σnt
it
),
где
it
– ставка простых процентов в периоде с номером t,
nt
– продолжительность периода t – периода начисления по ставке it
.
4.
Два метода дисконтирования. Расчет текущей стоимости, используя: ставку наращения, учетную ставку
Процесс начисления и удержания процентов вперед, до наступления срока погашения долга, называют учетом, а сами проценты в виде разности наращенной и первоначальной сумм долга дисконтом (discount): D =
S
-
P
Термин дисконтирование в широком смысле означает определение значения стоимостной величины на некоторый момент времени при условии, что в будущем она составит заданную величину.
Нередко такой расчет называют приведением стоимостного показателя к заданному моменту времени, а величину P называют приведенной
(современной или текущей) величиной S. Таким образом, дисконтирование
– приведение будущих денег к текущему моменту времени, и при этом не имеет значения, имела ли место в действительности данная финансовая операция или нет, а также независимо от того, можно ли считать дисконтируемую сумму буквально наращенной.
Именно дисконтирование позволяет учитывать в стоимостных расчетах фактор времени, поскольку дает сегодняшнюю оценку суммы, которая будет получена в будущем. Привести стоимость денег можно к любому моменту времени, а не обязательно к началу финансовой операции.
Исходя из методики начисления процентов, применяют два вида дисконтирования:
· математическое дисконтирование по процентной ставке;
· банковский учет по учетной ставке.
Различие в ставке процентов и учетной ставке заключается в различии базы для начислений процентов:
· в процентной ставке в качестве базы берется первоначальная сумма долга:
i
= (
S
-
P
) / P
· в учетной ставке за базу принимается наращенная сумма долга:
d
= (
S
-
P
) /
Sn
Учетная ставка более жестко отражает временной фактор, чем процентная ставка. Если сравнить между собой математическое и банковское дисконтирование в случае, когда процентная и учетная ставка равны по своей величине, то видно, что приведенная величина по процентной ставке больше приведенной величины по учетной ставке.
Современная величина и процентная ставка, по которой проводится дисконтирование, находятся в обратной зависимости
: чем выше процентная ставка, тем при прочих равных условиях меньше современная величина.
В той же обратной зависимости находятся современная величина и срок финансовой операции: чем выше срок финансовой операции, тем меньше при прочих равных условиях современная величина.
Банковский учет – второй вид дисконтирования, при котором, исходя из известной суммы в будущем, определяют сумму в данный момент времени, удерживая дисконт.
Операция учета (учет векселей) заключается в том, что банк или другое финансовое учреждение до наступления платежа по векселю покупает его у предъявителя по цене ниже суммы векселя, т.е. с дисконтом. Сумма, которую получает векселедержатель при досрочном учете векселя, называется дисконтированной величиной векселя. При этом банк удерживает в свою пользу дисконт. Подобным образом (с дисконтом) государство продает большинство своих ценных бумаг.
Для расчета дисконта используется простая учетная ставка:
D =
S-P
= S • n • в = S • t / T • d
,
где n – прод-сть срока в годах от момента учета до даты выплаты известной суммы в будущем.
Отсюда: P = S - S • n • в = S
• (1 - n • d
),
где (1 - n • d) – дисконтный множитель.
Очевидно, что чем выше значение учетной ставки, тем больше дисконт. Дисконтирование по простой учетной ставке чаще всего производится по французской практике начисления процентов, т.е. когда временная база принимается за 360 дней, а число дней в периоде берется точным.
В том случае, когда учету подлежит долговое обязательство, по которому предусматривается начисление процентов, происходит совмещение начисления процентов по процентной ставке и дисконтирования по учетной ставке: P
2
= P1
• (1 + n1
• i ) • (1 - n2
• в ),
где P1
– первоначальная сумма долга;
P2
– сумма, получаемая при учете обязательства;
n1
– общий срок платежного обязательства;
n2
– срок от момента учета до погашения.
5.
Расчет суммы, выплачиваемой при учете обязательств с начислением простых процентов
Когда учету подлежит долговое обязательство, по которому предусматривается начисление простых процентов, происходит совмещение начисления процентов по процентной ставке и дисконтирования по учетной ставке:
P
2
= P1
• (1 + n1
• i ) • (1 - n2
• в ),
где P1
– первоначальная сумма долга;
P2
– сумма, получаемая при учете обязательства;
n1
– общий срок платежного обязательства;
n2
– срок от момента учета до погашения.
Пример:
Платежное обязательство уплатить через 100 дней 2 млн. руб. с процентами, начисленными по ставке простых процентов i=20% годовых, было учтено за 40 дней до срока погашения по учетной ставке d=15%. Требуется определить сумму, получаемую при учете.
Решение:
Р2 = 2(1+100/365*0,2)(1-40/360*0,15)=2,074 млн. руб
При наращивании использовалась временная база 365 дней, а при дисконтировании – 360.
6.
Расчет удвоения суммы для простых и сложных процентов
В целях оценки своих перспектив кредитор или должник может задаться вопросом: через сколько лет сумма ссуды возрастет в N раз пр иданной процентной ставке. Ответ можно получить, приравняв множитель наращения величине N:
а) для простых процентов (1+niпр.
) = N, откуда n = (N-1) / iпр
.
б) для сложных процентов (1+iсл.
)n
= N, откуда n = ln N/ ln(1+iсл
.)
Особенно часто используется N=2, тогда эти формулы называются формулами удвоения и принимают следующий вид:
а) для простых процентов n
= 1 /
i
пр,
б) для сложных процентов n
=
ln
2 /
ln
(1+
i
сл
.)
Если учесть , что ln2=0,7, а ln(1+iсл
.)=i, то n
=0,7/
i
Важно учесть следующее:
1. Одинаковое значение ставок простых и сложных процентов приводит к совершенно различным результатам.
2. При малых значениях ставки сложных процентов точная и приближенная формулы дают практически одинаковые результаты.
Пример:
Рассчитать, за сколько лет долг увеличится вдвое при ставке простых и сложных процентов 3%. Результаты сравнить.
Решение
:
а) при простых процентах: n = 1/iпр = 1/0,03 = 33 1/3 года;
б) при сложных процентах и точной формуле:
n = ln2/ln(1+iсл
.) = 0.693147/ln(1+0.03) = 0.693147/0.0295588 = 23.45 года;
в) при сложных процентах и приближенной формуле:
n = 0.7/i = 0.7/0.03 = 23.33 года
7.
Расчет начисления сложных процентов при дробном числе лет
Достаточно часто финансовые контракты заключаются на период, отличающийся от целого числа лет. В случае, когда срок финансовой операции выражен дробным числом лет, начисление процентов возможно с использованием двух методов:
· общий
метод заключается в прямом расчете по формуле сложных процентов:
S
= P
• (1 + i)n
,
n = a + b,
где n – период сделки;
a – целое число лет;
b – дробная часть года.
· смешанный
метод расчета предполагает для целого числа лет периода начисления процентов использовать формулу сложных процентов, а для дробной части года – формулу простых процентов:
S = P • (1 + i)a
• (1 + bi).
Поскольку b < 1, то (1 + bi) > (1 + i)a
, следовательно, наращенная сумма будет больше при использовании смешанной схемы.
• в ряде коммерческих банков применяется правило, в соответствии с которым за отрезки времени меньше периода начисления проценты не начисляются, т.е. S
= P
• (1 + i)
a
Пример. В банке получен кредит под 9,5% годовых в размере 250 тыс. долларов со сроком погашения через два года и 9 месяцев. Определить сумму, которую необходимо вернуть по истечении срока займа двумя способами, учитывая, что банк использует германскую практику начисления процентов.
Решение:
а) Общий метод:
S = P • (1 + i)n
= 250 • (1 + 0,095)2,9
= 320,87 тыс. долларов.
б) Смешанный метод:
S = P • (1 + i)a
• (1 + bi) =
= 250 • (1 + 0,095)2
• (1 + 270/360 • 0,095) =
= 321,11 тыс. долларов.
Таким образом, по общему методу проценты по кредиту составят
I = S - P = 320,87 - 250,00 = 70,84 тыс. долларов,
а по смешанному методу
I = S - P = 321,11 - 250,00 = 71,11 тыс. долларов.
Как видно, смешанная схема более выгодна кредитору.
8.
Расчет наращения сложных процентов по номинальной ставке
Период начисления по сложным процентам не всегда равен году, однако в условиях финансовой операции указывается не ставка за период, а годовая ставка с указанием периода начисления – номинальная ставка (j).
Номинальная ставка (nominal rate) – годовая ставка процентов, исходя из которой определяется величина ставки процентов в каждом периоде начисления, при начислении сложных процентов несколько раз в год.
Эта ставка
· во-первых, не отражает реальной эффективности сделки;
· во-вторых, не может быть использована для сопоставлений.
Если начисление процентов будет производиться m раз в год, а срок долга – n лет, то общее количество периодов начисления за весь срок финансовой операции составит N = n • m
Отсюда формулу сложных процентов можно записать в следующем виде:
S = P
• (1 + j / m)N
= P • (1 + j /m)mn
,
где j – номинальная годовая ставка процентов.
Если срок ссуды измеряется дробным числом периодов начисления, то при m разовом начислении процентов в году наращенную сумму можно рассчитывать несколькими способами:
а) по формуле сложных процентов
S
=
P
• (1 +
j
/
m
)
N
/
r
где N
/
r
- число периодов начисления (возможно, дробное)
б) по смешанной формуле
S
=
P
• (1 +
j
/
m
)
a
*(
1+
bj
/
m
)
Пример: Сумма в размере 2000 дол. дана в долг на 2 года по ставке процента равной 10% годовых. Определить проценты и сумму, подлежащую возврату, введя ежеквартальное начисление процентов.
Решение:
Количество периодов начисления:
N = m • n = 4 • 2 = 8
Наращенная сумма составит:
S = P • (1 + j / m)mn
= 2'000 • (1 + 0,1 / 4 )8
= 2'436,81 руб.
Сумма начисленных процентов:
I = S - P = 2'436,81 - 2'000 = 436,81 руб.
Таким образом, через два года на счете будет находиться сумма в размере 2'436,81 руб., из которой 2'000 руб. является первоначальной суммой, размещенной на счете, а 436,81 руб. – сумма начисленных процентов.
В финансовой практике значительная часть расчетов ведется с использованием схемы сложных процентов.
Применение схемы сложных процентов целесообразно в тех случаях, когда:
· проценты не выплачиваются по мере их начисления, а присоединяются к первоначальной сумме долга. Присоединение начисленных процентов к сумме долга, которая служит базой для их начисления, называется капитализацией процентов;
· срок ссуды более года.
9.
Дисконтирование: по сложной годовой процентной ставке, по сложной годовой учетной ставке
Сложные ставки процентов
учитывают возможность реинвестирования процентов, так как в этом случае наращение производится по формуле не арифметической, а геометрической прогрессии, первым членом которой является начальная сумма P
, а знаменатель равен (1 + i
)
P
, P
(1 + i
), P
(1 + i
)2
, P
(1 + i
)3
, …, P
(1 + i
)n
,
где число лет ссуды n
меньше числа членов прогрессии k
на 1 (n
= k
– 1).
Наращенная стоимость (последний член прогрессии) находится по формуле
,
где (1 + i
)n
– множитель наращения декурсивных сложных процентов.
Более широко распространено математическое дисконтирование
по сложной процентной ставке i
. Для m
= 1 получаем
,
где 1/(1 + i
)n
– дисконтный множитель математического дисконтирования по сложной процентной ставке.
При неоднократном начислении процентов в течение года формула математического дисконтирования принимает вид
,
где j
– номинальная сложная процентная ставка; 1/ – дисконтный множитель математического дисконтирования по сложной номинальной процентной ставке.
Для дисконтирования при сложной процентной ставке
- при начислении процентов один раз
в году - используется формула:

А при начислении процентов m
раз в году
формула:

При учете вексель выполняет две функции: коммерческого кредита и средства платежа.Абсолютная величина дисконта определяется как разность между номиналом векселя и его современной стоимостью на момент проведения операции. При этом дисконтирование осуществляется по учетной ставке d, устанавливаемой банком: где t - число дней до погашения;d – учетная ставка банка;P - сумма, уплаченная владельцу при учете векселя;N - номинал;Современная стоимость PV (ценные обязательства Р) при учете векселя по формуле:Суть данного метода заключается в том, что проценты начисляются на сумму, подлежащую уплате в конце срока операции. При этом применяется учетная ставка d.При дисконтировании по учетной ставке чаще всего используют временную базу 360/360 или 360/365. Используемую при этом норму приведения называют антисипативной ставкой процентов[2]. Учетная ставка в иногда применяется и для наращивания по простым процентам. Необходимость в таком наращивании возникает при определении будущей суммы контракта, например, общей суммы векселя. Формула определения будущей величины в этом случае имеет вид:Пример 1:Простой вексель на сумму 100 000 с оплатой через 90 дней учитывается в банке за 60 дней до погашения. Учетная ставка банка 15 %. Определить величину дисконта в пользу банка и сумму, полученную владельцем векселя.Disc = (100000 * 60 * 0.15) / 360 = 2500;Соответственно, владелец векселя получит величину PV:PV=100000 – 2500 = 97500;Предположим, что в рассматриваемом примере владелец векселя решил учесть вексель немедленно после получения, тогда:Disc = (100000 * 90 * 0.15) / 360 = 3750;PV = 100000 – 3750 = 96250;Как следует из полученного результата, при неизменном значении ставки в чем раньше производится учет векселя, тем больше будет величина дисконта в пользу банка и тем меньшую сумму получит владелец. 10.
Дисконтирование: по сложной номинальной процентной ставке
m
раз в году, по сложной учетной ставке
m
раз в году
11.
Непрерывные проценты: наращение, дисконтирование, связь дискретных и непрерывных процентных ставок
Для непрерывных процентов не существует различий между процентной и учетной ставками, поскольку сила роста – универсальный показатель. Однако наряду с постоянной силой роста может использоваться переменная процентная ставка, величина которой меняется по заданному закону (математической функции).
Непрерывное начисление процентов используется при анализе сложных финансовых задач, например, обоснование и выбор инвестиционных решений. Оценивая работу финансового учреждения, где платежи за период поступают многократно, целесообразно предполагать, что наращенная сумма непрерывно меняется во времени и применять непрерывное начисление процентов.
Все ситуации, которые мы до сих пор рассматривали, относились к дискретным процентам, поскольку их начисление осуществляется за фиксированные промежутки времени (год, квартал, месяц, день, час). Но на практике нередко встречаются случаи, когда проценты начисляются непрерывно, за сколь угодно малый промежуток времени. Если бы проценты начислялись ежедневно, то годовой коэффициент (множитель) наращения выглядел так:
kн
= (1 + j / m)m
= (1 + j / 365)365
Но поскольку проценты начисляются непрерывно, то m стремится к бесконечности, а коэффициент (множитель) наращения стремится к e j
:

где e ≈ 2,718281, называется числом Эйлера и является одной из важнейших постоянных математического анализа.
Отсюда можно записать формулу наращенной суммы для n лет:
FV = PV • e j • n
= P • e δ
• n
Ставку непрерывных процентов называют силой роста (force of interest) и обозначают символом δ, в отличие от ставки дискретных процентов ( j ).
Пример. Кредит в размере на 100 тыс. долларов получен сроком на 3 года под 8% годовых. Определить сумму подлежащего возврату в конце срока кредита, если проценты будут начисляться:
а) один раз в год;
б) ежедневно;
в) непрерывно.
Решение:
Используем формулы дискретных и непрерывных процентов:
начисление один раз в год
FV = 100'000 • (1 + 0,08)3
= 125'971,2 долларов;
ежедневное начисление процентов
FV = 100'000 • (1 + 0,08 / 365)365 • 3
= 127'121,6 долларов
непрерывное начисление процентов
FV = 100'000 • e0,08 • 3
= 127'124,9 долларов.
12.
Расчет срока кредита:
- при наращении по сложной годовой ставке %,
- при наращении по номинальной ставке %
m
раз в году,
- при наращении по постоянной силе роста
В любой простейшей финансовой операции всегда присутствуют четыре величины: современная величина (PV), наращенная или будущая величина (FV), процентная ставка (i) и время (n).
Иногда при разработке условий финансовой сделки или ее анализе возникает необходимость решения задач, связанных с определением отсутствующих параметров, таких как срок финансовой операции или уровень процентной ставки.
Как правило, в финансовых контрактах обязательно фиксируются сроки, даты, периоды начисления процентов, поскольку фактор времени в финансово-коммерческих расчетах играет важную роль. Однако бывают ситуации, когда срок финансовой операции прямо в условиях финансовой сделки не оговорен, или когда данный параметр определяется при разработке условий финансовой операции.
Обычно срок финансовой операции определяют в тех случаях, когда известна процентная ставка и величина процентов.
Если срок определяется в годах, то
n = (FV - PV) : (PV • i),
а если срок сделки необходимо определить в днях, то появляется временная база в качестве сомножителя:
t = [(FV - PV) : (PV • i)] • T.
Так же как для простых процентов, для сложных процентов необходимо иметь формулы, позволяющие определить недостающие параметры финансовой операции:
· срок ссуды:
n = [log (FV / PV)] / [log (1 + i)] = [log (FV / PV) ] / [log(1 + j / m)m
];
· ставка сложных процентов:

Пример. Что выгоднее: увеличение вклада в три раза за три года или 46% годовых?
Решение:
Такого рода задачи приходится решать не только лицам, занимающимся финансовой работой, но и населению, когда решается вопрос о том, куда выгоднее вложить деньги. В таких случаях решение сводится к определению процентной ставки:

Таким образом, увеличение вклада за три года в три раза эквивалентно годовой процентной ставке в 44,3%, поэтому размещение денег под 46% годовых будет более выгодно.
13.
Расчет срока кредита:
- при дисконтировании по сложной годовой учетной ставке,
- при дисконтировании по номинальной учетной ставке
m
раз в году.
14.
Расчет процентной ставки:
- при наращении по сложной годовой ставке %,
- при наращении по номинальной ставке %
m
раз в году,
- при наращении по постоянной силе роста
15.
Расчет процентной ставки:
- при дисконтировании по сложной годовой учетной ставке,
- при дисконтировании по номинальной учетной ставке
m
раз в году
16.
Эквивалентность простых процентных и простых учетных ставок
Эквивалентные процентные ставки
– ставки разного вида, применение которых при одинаковых начальных условиях дает одинаковые финансовые результаты.
Процедура нахождения эквивалентных ставок:
1) Выбирается величина, которую легко рассчитать при использовании различных процентных ставок, обычно FV;
2) Приравниваются 2 выражения, то есть составляют уравнение эквивалентности;
3) Преобразуя, выражают одну процентную ставку через другую.
Пример
:
iкв
=3%; iгод
-?

а) простые ставки процента, уравнение эквивалентности:

б) сложные ставки процента, уравнение эквивалентности:

Достаточно часто в практике возникает ситуация, когда необходимо произвести между собой сравнение по выгодности условий различных финансовых операций и коммерческих сделок. Условия финансово-коммерческих операций могут быть весьма разнообразными и напрямую несопоставимыми. Для сопоставления альтернативных вариантов ставки, используемые в условиях контрактов, приводят к единообразному показателю.
Различные финансовые схемы можно считать эквивалентными в том случае, если они приводят к одному и тому же финансовому результату.
Эквивалентная процентная ставка – это ставка, которая для рассматриваемой финансовой операции даст точно такой же денежный результат (наращенную сумму), что и применяемая в этой операции ставка.
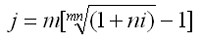
Классическим примером эквивалентности являются номинальная и эффективная ставка процентов:
i = (1 + j / m)m
- 1.
j = m[(1 + i)1 / m
- 1].
Эффективная ставка измеряет тот относительный доход, который может быть получен в целом за год, т.е. совершенно безразлично – применять ли ставку j при начислении процентов m раз в год или годовую ставку i, – и та, и другая ставки эквивалентны в финансовом отношении.
Поэтому совершенно не имеет значения, какую из приведенных ставок указывать в финансовых условиях, поскольку использование их дает одну и ту же наращенную сумму. В США в практических расчетах применяют номинальную ставку, а в европейских странах предпочитают эффективную ставку процентов.
Если две номинальные ставки определяют одну и ту же эффективную ставку процентов, то они называются эквивалентными.
Пример. Каковы будут эквивалентные номинальные процентные ставки с полугодовым начислением процентов и ежемесячным начислением процентов, если соответствующая им эффективная ставка должна быть равна 25%?
Решение:
Находим номинальную ставку для полугодового начисления процентов:
j = m[(1 + i)1 / m
- 1] = 2[(1 + 0,25)1/2
- 1] = 0,23607.
Находим номинальную ставку для ежемесячного начисления процентов:
j = m[(1 + i)1 / m
- 1] = 4[(1 + 0,25)1/12
- 1] = 0,22523.
Таким образом, номинальные ставки 23,61% с полугодовым начислением процентов и 22,52% с ежемесячным начислением процентов являются эквивалентными.
При выводе равенств, связывающих эквивалентные ставки, приравниваются друг к другу множители наращения, что дает возможность использовать формулы эквивалентности простых и сложных ставок:
простая процентная ставка:
i = [(1 + j / m)m • n
- 1] / n;
сложная процентная ставка:

17.
Эквивалентность простых и сложных % ставок
По простой 
По сложной 
Уравнения эквивалентности FVпр
= FVсл
В практической деятельности часто возникает необходимость изменения условий ранее заключенного контракта – объединение нескольких платежей или замене единовременного платежа рядом последовательных платежей. Естественно, что в таких условиях ни один из участников финансовой операции не должен терпеть убыток, вызванный изменением финансовых условий. Решение подобных задач сводится к построению уравнения эквивалентности, в котором сумма заменяемых платежей, приведенная к какому-то одному моменту времени, приравнена к сумме платежей по новому обязательству, приведенному к тому же моменту времени.
Для краткосрочных контрактов консолидация осуществляется на основе простых ставок. В случае с объединением (консолидированием) нескольких платежей в один сумма заменяемых платежей, приведенных к одной и той же дате, приравнивается к новому обязательству:
FV0
= ΣFVj
• (1 + i • tj
),
где tj
– временной интервал между сроками, tj
= n0
- nj
.
Пример 6. Решено консолидировать два платежа со сроками 20.04 и 10.05 и суммами платежа 20 тыс. руб. и 30 тыс. руб. Срок консолидации платежей 31.05. Определить сумму консолидированного платежа при условии, что ставка равна 10% годовых.
Решение:
Определим временной интервал между сроками для первого платежа и консолидированного платежа:
t1
= 11(апрель) + 31(май) - 1 = 41 день;
для второго платежа и консолидированного платежа:
t2
= 22(май) - 1 = 21 день.
Отсюда сумма консолидированного платежа будет равна:
FVo
б
.
= FV1
• (1 + t1
/ T • i) + FV2
• (1 + t2
/ T • i) =
= 20'000 • (1 + 41/360 • 0,1) + 30'000 • (1 + 21/360 • 0,1) = 50'402,78 руб.
Таким образом, консолидированный платеж со сроком 31.05 составит 50'402,78 руб.
Конечно, существуют различные возможности изменения условий финансового соглашения, и в соответствии с этим многообразие уравнений эквивалентности. Готовыми формулами невозможно охватить все случаи, возникающие в практической деятельности, но в каждой конкретной ситуации при замене платежей уравнение эквивалентности составляется похожим образом.
Если платеж FV1
со сроком n1
надо заменить платежом FVоб.
со сроком nоб.
(nоб.
> n1
) при использовании сложной процентной ставки i, то уравнение эквивалентности имеет вид:
FVоб.
= FV1
• (1 + i)n
об.
- n
1
Пример. Предлагается платеж в 45 тыс. руб. со сроком уплаты через 3 года заменить платежом со сроком уплаты через 5 лет. Найти новую сумму платежа, исходя из процентной ставки 12 % годовых.
Решение:
Поскольку nоб.
> n1
, то платеж составит:
FVоб
.
= FV1
(1 + i)n
об
.
- n
1
= 45'000 (1 + 0,12)5 - 3
= 56'448 руб.
Таким образом, в новых условиях финансовой операции будет предусмотрен платеж 56'448 руб.
Графическая иллюстрация соотношения наращенной суммы по простым и сложным процентам представлена на рисунке 4.

Рис. 4. Наращение по простым и сложным процентам.
Как видно из рисунка 4, при краткосрочных ссудах начисление по простым процентам предпочтительнее, чем по сложным процентам; при сроке в один год разница отсутствует, но при среднесрочных и долгосрочных ссудах наращенная сумма, рассчитанная по сложным процентам значительно выше, чем по простым.
При любом i,
если 0 < n < 1, то (1 + ni) > (1 + i)n
;
если n > 1, то (1 + ni) < (1 + i)n
;
если n = 1, то (1 + ni) = (1 + i)n
.
Таким образом, для лиц, предоставляющих кредит:
· более выгодна схема простых процентов, если срок ссуды менее года (проценты начисляются однократно в конце года);
· более выгодной является схема сложных процентов, если срок ссуды превышает один год;
· обе схемы дают одинаковый результат при продолжительности периода один год и однократном начислении процентов.
18.
Эквивалентность простой учетной ставки и сложной эффективной ставки годовых процентов
19.
Эквивалентность значений эффективной и номинальной годовых ставок
20.
Потоки платежей. Финансовые ренты и их классификация
В финансовой литературе ряд распределенных во времени выплат и поступлений называется потоком платежей.
Потоки платежей являются неотъемлемой частью всевозможных финансовых операций: с ценными бумагами, в управлении финансами предприятий, при осуществлении инвестиционных проектов, в кредитных операциях, при оценке бизнеса, при оценке недвижимости, выборе альтернативных вариантов финансовых операций и т. п.
Члены потока могут быть как положительными величинами (поступления), так и отрицательными величинами (выплатами), а временные интервалы между членами такого потока могут быть равными и неравными.
Поток платежей, все члены которого имеют одинаковое направление (знак), а временные интервалы между последовательными платежами постоянны, называется финансовой рентой или аннуитетом.
При рассмотрении финансовой ренты используются основные категории:
· член ренты (R) – величина каждого отдельного платежа;
· период ренты (t) – временной интервал между членами ренты;
· срок ренты (n) – время от начала финансовой ренты до конца последнего ее периода;
· процентная ставка (i) – ставка, используемая при наращении платежей, из которых состоит рента.
Поскольку условия финансовых сделок весьма разнообразны, постольку разнообразны и виды потоков платежей. В основе классификации финансовых рент положены различные качественные признаки:
· В зависимости от периода продолжительности ренты выделяют
o годовую ренту, которые представляют собой ежегодные платежи, т.е. период ренты равен 1 году;
o срочную ренту, при которой период ренты может быть как более, так и менее года.
· По числу начислений процентов различают
o ренты с начислением 1 раз в год;
o ренты с начислением m
раз в год;
o непрерывное начисление.
· По величине членов ренты могут быть
o постоянные ренты, где величина каждого отдельного платежа постоянна, т.е. рента с равными членами;
o переменные ренты, где величина платежа варьирует, т.е. рента с неравными членами.
· По числу членов ренты они бывают
o с конечным числом членов (ограниченные ренты), когда число членов ренты конечно и заранее известно;
o с бесконечным числом (вечные ренты), когда число ее членов заранее не известно.
· По вероятности выплаты ренты делятся на
o верные ренты, которые подлежат безусловной выплате, т.е. не зависят не от каких условий, например, погашение кредита;
o условные ренты, которые зависят от наступления некоторого случайного события.
· По методу выплаты платежей выделяют
o обычные ренты, которые на практике встречаются чаще всего, – с выплатой платежа в конце периода ренты (постнумерандо);
o ренты, с выплатой в начале периода ренты (пренумерандо).
Под потоком платежей
понимается некоторая последовательность платежей во времени (C
ash F
low).
Потоки могут быть:
- Регулярные;
- Нерегулярные.
Элементами нерегулярного потока являются как положительные поступления, так и отрицательные выплаты, а соответствующие платежи могут производиться через различные интервалы времени.
Финансовая рента (аннуитет)
– поток одинаковых платежей, все элементы которых положительные величины, а временные интервалы между платежами - одинаковы.
Характеристики ренты:
- Размер платежа (Payment – PMT);
- Период ренты;
- Срок ренты;
- Процентная ставка.

По моменту выплаты в пределах периода между платежами ренты делятся:
a) Постнумерандо – выплаты в конце периода;
b) Пренумерандо – выплаты в начале периода;
c) В середине периода.
21.
Расчет наращенной суммы постоянной годовой ренты ПОСТНУМЕРАНДО при начислении % один раз в год
Получатели поступлений оценивают свой доход суммарной величиной за полный срок действия платежа, разумеется, с учетом временной неравноценности денег.
Наращенная сумма – сумма всех платежей с начисленными на них процентами к концу срока ренты. Это может быть обобщенная сумма задолженности, итоговый объем инвестиций и т.п.

Рис. 7. Логика финансовой операции наращения финансовой ренты
Наращенные отдельные платежи представляют собой члены геометрической прогрессии с первым членом равным R и множителем равным (1 + i).
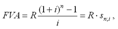
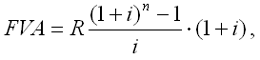
Рассмотрим определение наращенной суммы на примере наиболее простого случая, – годовой постоянной обычной ренты:

где FVA – наращенная сумма ренты;
R – размер члена ренты, т.е. размер очередного платежа;
i – годовая процентная ставка, по которой на платежи начисляются сложные проценты;
n – срок ренты в годах,
s n;i
– коэффициент наращения ренты.
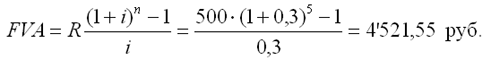
Пример. На счет в банке в течении пяти лет в конце каждого года будут вноситься суммы в размере 500 руб., на которые будут начисляться проценты по ставке 30%. Определить сумму процентов, которую банк выплатит владельцу счета.
Решение:
Поскольку период ренты равен одному году, то это годовая рента; проценты начисляются один раз в год; взносы будут в конце периода ренты, постнумерандо, значит это обычная рента; сумма платежа постоянна на протяжении всего срока ренты, что характерно для постоянной ренты; число членов ренты пять, т.е. конечно, следовательно, ограниченная рента; а выплаты носят безусловный характер, таким образом, это верная рента.
Сумма всех взносов с начисленными процентами будет равна:

Расчет современной стоимости постоянной годовой ренты ПОСТНУМЕРАНДО при начислении % один раз в год.
Помимо наращенной суммы обобщающей характеристикой потока платежей является современная величина. Современная (текущая) величина потока платежей (капитализированная или приведенная величина) – это сумма платежей, дисконтированных на момент начала ренты по ставке начисляемых сложных процентов. Это важнейшая характеристика финансового анализа, т.к. является основой для измерения эффективности различных финансово-кредитных операций, сравнения условий контрактов и т.п. Данная характеристика показывает, какую сумму следовало бы иметь первоначально, чтобы, разбив ее на равные взносы, на которые начислялись бы установленные проценты в течение всего срока, можно было бы получить указанную наращенную сумму.

Рис. 8. Логика финансовой операции определения современной величины потока платежей
В этом случае реализуется схема дисконтирования: все элементы с помощью дисконтных множителей приведены к одному моменту времени, что позволяет их суммировать.
В простейшем случае, для годовой обычной ренты с выплатами в конце каждого года, когда момент оценки совпадает с началом ренты, современная величина финансовой ренты равна:

Дробь в формуле – коэффициент приведения ренты (an;i
), значения которого табулированы для широкого круга значений, поскольку зависят от ставки процентов (i) и от числа лет (n) (Приложение 5).
Пример. Определить по данным примера современную величину ренты.
Решение:
Современная величина ренты составит:

Таким образом, все производимые в будущем платежи оцениваются в настоящий момент в размере 1'217,78 руб.
22.
Расчет наращенной суммы постоянной
p
-срочной ренты ПОСТНУМЕРАНДО при начислении %
m
раз в год (
p
=
m
)
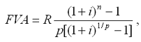
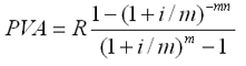
Бывают случаи, когда рентные платежи вносятся несколько раз в год равными суммами (срочная рента), а начисление процентов производится только раз в году. Тогда наращенная величина ренты будет определяться по формуле:

Также нередки случаи, когда рентные платежи вносятся несколько раз в году и начисление процентов также происходит несколько раз в год, но число рентных платежей не равно числу периодов начисления процентов, т.е. p ≠ m. Тогда формула по которой можно определить наращенную величину финансовой ренты примет вид:

На практике большее распространение получил поток постнумерандо, поскольку согласно общим принципам учета принято подводить итоги и оценивать финансовый результат операции или иного действия по окончании очередного отчетного периода. Что же касается поступления денежных средств в счет оплаты, то на практике они чаще всего распределены во времени неравномерно и поэтому для удобства все поступления относят к концу периода, что позволяет использовать формализованные алгоритмы оценки.
Поток пренумерандо имеет значение при анализе различных схем накопления денежных средств для последующего их инвестирования.
Рента пренумерандо отличается от обычной ренты числом периодов начисления процентов. Поэтому наращенная сумма ренты пренумерандо будет больше наращенной суммы обычной ренты в (1 + i) раз.
Для годовой ренты пренумерандо с начислением процентом один раз в год формула примет вид:

Для годовой ренты пренумерандо с начислением процентов несколько раз в год:

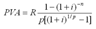
Расчет современной стоимости постоянной p-срочной ренты ПОСТНУМЕРАНДО при начислении % m раз в год (p=m).
Рассмотрим расчет современной величины ренты для различных ее видов:
· годовая рента с начислением процентов несколько раз в год:

· срочная рента при начислении процентов один раз в год:

· срочная рента с неоднократным начислением процентов в течение года, при условии, что число выплат не равно числе начислений, т.е. p ≠ m :

23.
Определение размера очередного платежа постоянной финансовой ренты ПОСТНУМЕРАНДО (
p
=
m
=1)
Последовательные платежи в виде постоянной обычной годовой ренты определяются основными параметрами:
R – размер платежа;
n – срок ренты в годах;
i – годовая ставка процентов.
Однако при разработке условий финансовой операции могут возникать ситуации, когда заданной величиной является одна из двух обобщающих характеристик и неполный набор параметров ренты. В таких случаях находят недостающий параметр.
При определении члена ренты возможны два варианта, зависящие от того, какая величина является исходной:
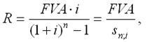
а) наращенная сумма. Если сумма долга определена на какой-либо момент в будущем (FVA), тогда величину последующих взносов в течение n лет при начислении на них процентов по ставке i можно определить по формуле:

Пример. Для покупки автомобиля через 5 лет потребуется 50 тыс. руб. Определите размер ежегодных взносов, вносимых в конце каждого года в банк, который начисляет проценты по ставке 40%.
Решение:
В данном случае известна наращенная величина постоянной финансовой ренты, поэтому размер ежегодных взносов будет равен:

Таким образом, чтобы накопить на счете необходимую сумму для покупки автомобиля следует в конце каждого года в течении пяти лет откладывать 4'568 руб.
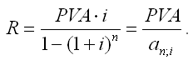
б) современная величина финансовой ренты, тогда, исходя из ставки процента и срока ренты, разовый платеж находится по формуле:

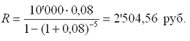
Пример. Сумма 10 тыс. долларов предоставлена в долг на 5 лет под 8% годовых. Определить ежегодную сумму погашения долга.
Решение:
Известна современная величина долга, отсюда:

Таким образом, ежегодно необходимо будет возвращать сумму 2'504,56 руб.
Можно произвести проверку: сумма долга с начисленными на нее процентами к концу пятого года будет составлять:
FV = 10'000 • (1 + 0,08)5
= 14'693,28 руб.
Наращенная сумма для потока платежей размером 2'504,56 руб. составит:

Следовательно, величина члена финансовой ренты определена верно. Незначительное расхождение вызвано округлением расчетов.
Современная величина ренты пренумерандо рассчитывается путем умножения современной величины обычной ренты на соответствующий множитель наращения.
Определение срока ссуды постоянной финансовой ренты ПОСТНУМЕРАНДО (
p
=
m
=1)
24.
Расчет наращенной суммы постоянной годовой ренты ПРЕНУМЕРАНДО при начислении процентов один раз в год
25.
Расчет современной стоимости для
p
-срочной вечной ренты при начислении процентов
m
раз в год (
m
=
p
)
26.
Стоимость облигации: с фиксированной купонной ставкой, с нулевым купоном
27.
Стоимость обыкновенной акции. Модель Гордона
28.
Метод расчета чистого приведенного дохода
29.
Метод расчета индекса доходности
30. Метод расчета нормы рентабельности инвестиций
31. Анализ эффективности инвестиционных проектов в условиях инфляции
Ставка процентов
не является застывшей на вечные времена величиной, поэтому в финансовых операциях, в силу тех или иных причин, предусматриваются дискретно изменяющиеся во времени процентные ставки. Например, наличие инфляции вынуждает собственника денег периодически варьировать процентной ставкой. В таких случаях наращенную сумму определяют, используя следующую формулу:
FV = PV • (1 + n1
• i1
+ n2
• i2
+ … + nk
• ik
),
где k – количество периодов начисления;
nk
– продолжительность k-го периода;
ik
– ставка процентов в k-ом периоде.
Инфляция – это экономическое явление, которое возникает вследствие целого комплекса как политических, так и социально-экономических событий. Уровень инфляции выступает обобщающим показателем финансово-экономического положения страны. Инфляция – устойчивый рост среднего уровня цен на товары и услуги в экономике. Инфляция – многомерное и многоаспектное явление, которое можно классифицировать на основе различных критериев. Внешним проявлением инфляции является повышение общего уровня цен, т.е. совокупный рост цен на товары и услуги в течение длительного времени. Соответственно на денежную единицу приходится меньше товаров, т.е. деньги обесцениваются.
Если наблюдается общее снижение цен, то происходит дефляция.
Темпы инфляции определяются с помощью индекса – относительного показателя, характеризующего среднее изменения уровня цен некоторого фиксированного набора товаров и услуг за данный период времени.
Индекс инфляции показывает во сколько раз выросли цены (Jτ
), а уровень инфляции показывает, насколько процентов возросли цены (τ), т.е. по своей сути это соответственно темп роста и темп прироста:
Jτ
= 1 + τ
Для оценки уровня инфляции используется система индексов цен.
Индекс потребительских цен (ИПЦ) – это показатель международной статистики, регулярно использующийся практически во всех странах мира (CPI – Consumer Price Index), который характеризует динамику затрат на постоянный набор товаров и услуг за счет ценностного фактора.
Индекс потребительских цен дает достаточно обобщенную характеристику инфляции, так как потребление является завершающим этапом в создании валового продукта, и здесь находят свое отражение все предыдущие стадии производства.
Расчет ИПЦ в России осуществляется за каждый месяц и нарастающим итогом с начала года (к декабрю прошлого года).
Отечественные исследователи часто расценивают уровень инфляции как темп прироста потребительских цен:
τ = ИПЦ - 100 (%)
В зависимости от уровня инфляции в год выделяют:
· нормальную (ползучую) – от 3% до 10%;
· галопирующую – от 10% до 100%;
· гиперинфляцию – свыше 50% в месяц.
Еще одним важным показателем международной статистики, оценивающим инфляцию, является дефлятор валового внутреннего продукта, который характеризует изменение стоимостного объема ВВП за счет его ценностного фактора. Дефлятор ВВП также дает обобщенную характеристику инфляции, поскольку характеризует движение цен на потребительском рынке, а также на рынке инвестиционных товаров и услуг.
Для характеристики инфляции могут применяться и другие показатели: размер эмиссий, сокращение товарных запасов и т.п.
Инфляция противодействует повышению стоимости денег, обесценивая их. Графически это представлено на рис. 9.

Рис. 9. Факторы изменения стоимости денег
Вследствие начисления процентов происходит увеличение денежных сумм, но их стоимость под влиянием инфляции уменьшается. Поскольку каждая денежная единица обесценивается вследствие инфляции, то в дальнейшем обесцениваются уже обесцененные деньги. Таким образом, формула для исчисления наращенной суммы с учетом влияния инфляции, принимает следующий вид:
FV = PV(1 + i)n
/ (1 + τ) n
Наращение осуществляется по простым или сложным процентам, но инфляция всегда оценивается по сложному проценту.
Поскольку ставка доходности ( i ) является фактором роста денег, то находится в числителе формулы, а показатель инфляции ( τ ) является фактором их обесценивания, поэтому находится в знаменателе формулы.
Пример. Пусть ежемесячный уровень инфляции 2,5%. Определить ожидаемый уровень инфляции за квартал.
Решение:
Индекс инфляции за месяц
Jτ
= 1 + τ = 1 + 0,025 = 1,025
Индекс инфляции за квартал, т.е. за три месяца
Jτ
= (1 + τ)3
= 1,0253
= 1,077
Уровень инфляции за квартал
τ = Jτ
- 1 = 1,077 - 1 = 0,077
Следовательно, ожидаемый квартальный уровень инфляции составит 7,7%.
Показатели финансовой операции могут быть представлены, как:
· номинальные, т.е. рассчитанные в текущих ценах;
· реальные, т.е. учитывающие влияние инфляции, и рассчитанные в сопоставимых ценах базисного периода.
Пример. Определить реальные результаты вкладной операции для суммы 5'000 руб., размещенной на полгода под 8% годовых, если ежемесячный уровень инфляции составляет 2%.
Решение:
Наращенная сумма вклада
FV = PV(1 + ni) = 5'000 (1 + 0,5 • 0,08) = 5'200,00 руб.
Индекс инфляции за срок хранения вклада составит
Jτ
= (1 + 0,02)6
= 1,126
Реальная сумма вклада
FVτ
= 5'200 / 1,126 = 4'618,11 руб.
Следовательно, наращенная величина по своей покупательной способности с учетом инфляции будет соответствовать сумме 4'618,11 руб., т.е. меньше первоначальной суммы.
Методы учета инфляции в финансовых расчетах
Владельцы денег не могут мириться с их обесцениванием в результате инфляции и предпринимают различные попытки компенсации потерь от снижения их покупательной способности.
Наиболее распространенным методом является индексация ставки процентов, по которой производится наращение, поскольку:
· если уровень инфляции равен ставке начисляемых процентов (τ = i), то реального роста денежных сумм не будет, т.к. наращение будет полностью поглощаться инфляцией;
· если уровень инфляции выше уровня процентной ставки (τ > i),то происходит "проедание" капитала, и реальная наращенная сумма будет меньше первоначальной денежной суммы;
· если уровень инфляции ниже процентной ставки (τ < i), то это будет соответствовать росту реальной денежной суммы.
В связи с этим вводится понятие номинальная ставка процента, т.е. ставки с поправкой на инфляцию ( iτ
).
Общая формула для определения простой ставки процентов, компенсирующей ожидаемую инфляцию, имеет следующий вид:
iτ
= [(1 + n i) • Jτ
- 1] : n
где i – простая ставка процентов, характеризующая требуемую реальную доходность финансовой операции (нетто-ставка);
iτ
– процентная ставка с поправкой на инфляцию.
Пример. Банк выдал клиенту кредит на один год в размере 20 тыс. руб. по ставке 6% годовых. Уровень инфляции за год составил 18%. Определить с учетом инфляции реальную ставку процентов по кредиту, погашаемую сумму и сумму процентов за кредит.
Решение:
Номинальная наращенная сумма
FV = PV(1 + n i) = 20'000 (1 + 0,06) = 21'200,00 руб.
Номинальные начисленные проценты
I = FV - PV = 21'200 - 20'000 = 1'200,00 руб.
Реальная наращенная сумма
FVτ
= FV / (1 + τ ) = 21'200 / 1,18 = 17'966,10 руб.
Реальные проценты
Iτ
= FVτ
- PV = 17'966,10 - 20'000 = -2'033,90 руб.
Таким образом, получен убыток от данной финансовой операции в размере 2'033,90 руб.
Ставка по кредиту с учетом инфляции должна быть равна
iτ
= [(1 + n i) • Iτ
- 1] : n = (1,06 • 1,18 - 1) / 1 = 0,2508
Наращенная сумма
FV = PV(1 + n i) = 20'000 (1 + 0,2508) = 25'016,00 руб.
Доход банка
I = FV - PV = 25'016 - 20'000 = 5'016,00 руб.
Реальный доход банка
Iτ
= FVτ
- PV = 25'016 / 1,18 - 20'000 = 1'200,00 руб.
Реальная доходность финансовой операции
i = Iτ
/ PV = 1'200 / 20'000 = 0,06
Таким образом, чтобы обеспечить доходность в размере 6% годовых, ставка по кредиту с учетом инфляции должна соответствовать 25,1% годовым.
Годовая ставка сложных процентов, обеспечивающая реальную доходность кредитной операции, определяется по формуле
iτ
= i + τ + iτ
Пример. Определить номинальную ставку процентов для финансовой операции, если уровень эффективности должен составлять 7% годовых, а годовой уровень инфляции 22%.
Решение:
Процентная ставка с учетом инфляции
iτ
= i + τ + iτ = 0,07 + 0,22 + 0,07 • 0,22 = 0,3054.
Таким образом, номинальная ставка составляет 30,54% при реальной ставке 7%.
Для расчета номинальной ставки можно использовать следующую модель:

из которой можно сравнивать уровни процентной ставки и инфляции, проводить анализ эффективности вложений и устанавливать реальный прирост вложенного капитала.
При начислении процентов несколько раз в год

Эти модели позволяют производить учет инфляции и корректировку процентных ставок.
На практике довольно часто довольствуются сравнением i и τ путем вычисления реальной ставки, т.е. уменьшенной ставки доходности на уровень инфляции:
i = (i - τ) / (1 + τ)
Пример. Определить реальную ставку при размещении средств на год под 35% годовых, если уровень инфляции за год составляет 30%.
Решение:
Определяем реальную ставку:
i = (0,35 - 0,2) / (1 + 0,2) = 0,125
Таким образом, реальная ставка 12,5% годовых.
31. Основные категории, используемые в финансово-экономических расчетах
В финансовой математике широко представлены все виды статистических показателей: абсолютные, относительные и средние величины.
Процентные деньги или просто проценты в финансовых расчетах представляют собой абсолютную величину дохода (приращение денег) от предоставления денег в долг в любой его форме (причем эта финансовая операция может реально и не состояться):
· выдача денежной ссуды;
· продажа в кредит;
· сдача в аренду;
· депозитный счет;
· учет векселя;
· покупка облигаций и т.п.
Таким образом, проценты можно рассматривать как абсолютную "цену долга", которую уплачивают за пользование денежными средствами.
Абсолютные показатели чаще всего не подходят для сравнения и оценки ввиду их несопоставимости в пространстве и во времени. Поэтому в финансово-коммерческих расчетах широко пользуются относительными показателями.
Относительный показатель, характеризующий интенсивность начисления процентов за единицу времени, – процентная ставка. Методика расчета проста: отношение суммы процентных денег, выплачивающихся за определенный период времени, к величине ссуды. Этот показатель выражается либо в долях единицы, либо в процентах. Таким образом, процентная ставка показывает, сколько денежных единиц должен заплатить заемщик за пользование в течение определенного периода времени 100 единицами первоначальной суммы долга.
Начисление процентов, как правило, производится дискретно, т.е. за фиксированные одинаковые интервалы времени, которые носят название "период начисления", – это отрезок времени между двумя следующими друг за другом процедурами взимания процентов. Обычные или декурсивные (postnumerando) проценты начисляются в конце периода. В качестве единицы периода времени в финансовых расчетах принят год, однако это не исключает использования периода менее года: полугодие, квартал, месяц, день,час.

Рис. 1. Период начисления процентов
Период времени от начала финансовой операции до ее окончании называется сроком финансовой операции.
Для рассмотрения формул, используемых в финансовой математике, необходимо ввести ряд условных обозначений:
I – проценты за весь срок ссуды (interest);
PV – первоначальная сумма долга или современная (текущая) стоимость (present value);
i – ставка процентов за период (interest rate);
FV – наращенная сумма или будущая стоимость (future value), т.е. первоначальная сумма долга с начисленными на нее процентами к концу срока ссуды;
n – срок ссуды в годах.
После начисления процентов возможно два пути:
· либо их сразу выплачивать, по мере их начисления,
· либо отдать потом, вместе с основной суммой долга.
Увеличение суммы долга в связи с присоединением к ней процентных денег называется наращением, а увеличенная сумма – наращенной суммой. Отсюда можно выделить еще один относительный показатель, который называется коэффициент наращения или множитель наращения, – это отношение наращенной суммы к первоначальной сумме долга. Коэффициент наращения показывает, во сколько раз наращенная сумма больше первоначальной суммы долга, т.е. по существу является базисным темпом роста.
Основу коммерческих вычислений составляют ссудо-заемные операции, в которых проявляется ярче всего необходимость учета временной ценности денег. Несмотря на то, что в основе таких расчетов заложены простейшие на первый взгляд схемы начисления процентов, эти расчеты многообразны ввиду многообразия условий финансовых контрактов в отношении частоты и способов начисления процентов, а также вариантов предоставления и погашения ссуд.
Существуют различные способы начисления процентов и соответствующие им виды процентных ставок.
Рис. 2. Виды процентных ставок
Российская экономика все более интегрируется в мировую экономику, что требует использования финансового инструментария, применяемого развитыми странами и международными организациями в финансовой практике.
Становление рыночных отношений в России сопровождается появлением навыков и методов, которыми приходится овладевать для оценки инвестиционных проектов, в операциях на рынке ценных бумаг, в ссудо-заемных операциях, в оценке бизнеса и др.
Кардинальное изменение банковской системы, внедрение новых форм собственности, развитие фондового рынка и финансовой самостоятельности предприятий сделали актуальным управление финансовыми ресурсами, одним из краеугольных элементов которого являются финансовые вычисления, базирующиеся на понятии временной ценности денег.
Известный всем лозунг "время – деньги" имеет под собой реальную основу, позволяющую определить истинную ценность денег с позиции текущего момента.
Важность учета фактора времени обусловлена принципом неравноценности денег, относящихся к различным моментам времени: равные по абсолютной величине денежные суммы "сегодня" и "завтра" оцениваются по разному, – сегодняшние деньги ценнее будущих
Существуют два подхода и соответствующие им два типа экономического мышления:
· статический подход не учитывает фактор времени, – в соответствии с этим, здесь возможно оперирование денежными показателями, относящимися к различным периодам времени, и их суммирование;
· динамический подход используется в финансовом анализе и финансовом менеджменте, где фактор времени играет решающую роль и его необходимо обязательно учитывать, поэтому здесь неправомерно суммировать денежные величины, относящиеся к различным моментам времени.
Эти два подхода соответствуют "бухгалтерскому" и "экономическому" принципам анализа затрат. Именно динамический подход предполагает включение в расходы так называемых неявных затрат, определяемых на основе принципа альтернативной ценности.
В условиях централизованно планируемой экономики на внутреннем уровне господствовал первый тип экономического мышления. Почему?
· Во-первых, ни юридические, ни физические лица, как правило, не располагали крупными суммами временно свободных денежных средств, поскольку для юридических лиц ресурсы жестко лимитировались, а для физических лиц заработать крупные суммы денег было невозможно.
· Во-вторых, единственный путь использования временно свободных денежных средств был связан с размещением их в Сбербанке.
Переход к рыночной экономике изменил ситуацию и тип экономического мышления, поскольку деньги приобретают для широкого круга людей объективно существующую временную ценность. Сегодня можно заработать любую сумму денег, поскольку нет жестких ограничений ни для физических, ни для юридических лиц. Заработанные деньги можно пустить на потребление или инвестировать в экономику, поскольку ликвидируется монополия государства на пользование сбережениями населения. Финансовые и коммерческие расчеты стали постоянно сопровождать любого человека, будь то предприниматель или пенсионер.
Если процентные деньги не выплачиваются сразу по мере их начисления, а присоединяются к первоначальной сумме долга, то долг, таким образом, увеличивается на невыплаченную сумму процентов, и последующее начисление процентов происходит на увеличенную сумму долга:
FV = PV + I = PV + PV • i = PV • (1 + i)
– за один период начисления;
FV = (PV + I) • (1 + i) = PV • (1 + i) • (1 + i) = PV • (1 + i)2
– за два периода начисления;
отсюда, за n периодов начисления формула примет вид:
FV = PV • (1 + i)n
= PV • kн
,
где FV – наращенная сумма долга;
PV – первоначальная сумма долга;
i – ставка процентов в периоде начисления;
n – количество периодов начисления;
kн
– коэффициент (множитель) наращения сложных процентов.
Эта формула называется формулой сложных процентов.
Как было выше указано, различие начисления простых и сложных процентов в базе их начисления. Если простые проценты начисляются все время на одну и ту же первоначальную сумму долга, т.е. база начисления является постоянной величиной, то сложные проценты начисляются на увеличивающуюся с каждым периодом начисления базу. Таким образом, простые проценты по своей сути являются абсолютными приростами, а формула простых процентов аналогична формуле определения уровня развития изучаемого явления с постоянными абсолютными приростами. Сложные проценты характеризуют процесс роста первоначальной суммы со стабильными темпами роста, при наращении ее по абсолютной величине с ускорением, следовательно, формулу сложных процентов можно рассматривать как определение уровня на базе стабильных темпов роста.
|