Реферат: Оценка качества производственной среды
|
Название: Оценка качества производственной среды Раздел: Рефераты по безопасности жизнедеятельности Тип: реферат | ||||||||||||||||||||||||||||||||||||||||||||||||||||||||||||||||||||||||||||||||||||||||||||||||||||
| Федеральное государственное образовательное учреждение высшего профессионального образования «АСТРАХАНСКИЙ ГОСУДАРСТВЕННЫЙ ТЕХНИЧЕСКИЙ УНИВЕРСИТЕТ» Институт экономики Кафедра «Безопасности жизнедеятельности и гидромеханики»
Расчетно-графическая работа по дисциплине «Безопасность жизнедеятельности» «Оценка качества производственной среды» Выполнила: студентка гр. ДФП-31 Левашова Н.В.
Проверила: Гаврилкина А.Г.
Астрахань 2010 Вариант 13
Производственная среда – часть техносферы, обладающая повышенной совокупностью негативных факторов. Основными носителями травмирующих и вредных факторов в производственной среде являются машины и другие технические устройства, химически и биологически активные предметы труда, источники энергии, нерегламентированные действия работающих, нарушения режимов и организации деятельности, а также отклонения от допустимых параметров микроклимата рабочей зоны. Травмирующие и вредные факторы подразделяются на физические, химические, биологические и психофизиологические. Температура воздуха ( теплый период) - относится к группе физических факторов. Теплый период года - период года, характеризуемый среднесуточной температурой наружного воздуха выше +10°С. В данном случаи рассматривается категория средней тяжести физических работ - категоря 2а. К категории 2а относятся работы, связанные с постоянной ходьбой, перемещением мелких (до 1кг) изделий или предметов в положении сидя или стоя и требующие определенного физического напряжения (ряд профессий в механосборочных цехах машиностроительных предприятий, в прядильно-ткацком производстве и т.п.). Фактор статические нагрузки для женщин относится к группе психофизиологических факторов. Физическая нагрузка — такая форма труда, при которой основная нагрузка приходится на опорно-двигательный аппарат и обеспечивающие его сердечнососудистую и дыхательную системы. Статическая нагрузка – такая, при которой не происходит движение, нагрузка происходит за счет внутреннего напряжения мышц. Этот фактор также относится к классу 3.1, т.е. в таких условиях труда у работника могут возникать функциональные изменения обратимого характера. Не свободная, но удобная рабочая поза – это поза, принимаемая работником в связи с выполняемой работой, но при этом человек не ощущает суеты, не выполняет лишних движений. Эта поза способствует повышению производительности труда, без преждевременного утомления. Запыленность воздуха. Борьба с пылью и профилактика заболеваний, развивающихся от воздействия аэрозолей, осуществляется комплексом мероприятий, как общих для всех отраслей промышленности, так и частных для некоторых из них. Большое значение в целях профилактики профессиональных заболеваний пылевой этиологии имеют меры законодательного порядка, направленные на создание благоприятных условий труда и охрану здоровья рабочих. В процессе производственной деятельности человек чаще сталкивается с влиянием так называемых фиброгенных видов пыли, вызывающих при длительном вдыхании повышенных концентраций развитие в легочной ткани и бронхах патологического процесса, приводящего к склеротическим изменениям и эмфиземе легких. С другой стороны, особое внимание, уделяемое фиброгенным видам пыли, обусловлено тем, что они являются основной причиной наиболее тяжелых видов профессиональной патологии — пневмокониозов и бронхитов пылевой этиологии. Риску поражения фиброгенной пылью подвергаются рабочие, находящиеся в наиболее трудоспособном возрасте и занятые в производствах, имеющих важнейшее значение: в горнодобывающей, металлургической, машиностроительной промышленности, промышленности стройматериалов и др. Монотонность труда — однообразное повторение рабочих операций. Опасность монотонности заключается в снижении внимания к процессу производства, быстрой утомляемости и снижении интереса к трудовому процессу, что влияет на безопасность труда в целом. Особое значение это имеет на сложных производствах или производствах с вредными условиями труда, где аккуратность и внимание имеют решающее значение. Этот фактор также относится к классу 3.1. Общая оценка условий труда по степени вредности и опасности устанавливается по наиболее высокому классу и степени вредности. В данном случае, это класс 3.2. 2 степень 3 класса - уровни вредных факторов, вызывающие стойкие функциональные изменения, приводящие в большинстве случаев к увеличению производственно обусловленной заболеваемости (что проявляется повышением уровня заболеваемости с временной утратой трудоспособности и, в первую очередь, теми болезнями, которые отражают состояние наиболее уязвимых органов и систем для данных вредных факторов), появлению начальных признаков или легких (без потери профессиональной трудоспособности) форм профессиональных заболеваний, возникающих после продолжительной экспозиции (часто после 15 и более лет). Для определения степени усталости человека к концу рабочего дня выполняется краткосрочный прогноз на основании сравнения двух показателей: показателя работоспособности и показателя утомления. Для практических целей разработана сравнительно простая методика определения категории тяжести и напряженности труда с помощью балльной оценки условий труда и интегральных показателей. Основным показателем при определении категории является интегральная оценка тяжести и напряженности труда. Интегральный показатель тяжести и напряженности труда:
где Ит - интегральная оценка тяжести и напряженности труда на рабочем месте, хопр - фактор, получивший наибольшую оценку в баллах на рабочем месте,
п - количество производственных факторов.
Зная интегральный показатель тяжести труда можно определить состояние организма работника на конец рабочей смены, определив показатели утомления и работоспособности. Показатель утомления связан с интегральной оценкой тяжести труда следующей формулой:
где 15,6 и 0,64 коэффициенты регрессии.
Между интегральной оценкой тяжести труда и уровнем работоспособности существует тесная взаимосвязь: чем выше интегральная оценка тяжести труда, тем больше утомление работающих, тем ниже падает уровень работоспособности. Если показатель утомления и показатель работоспособности связаны между собой формулой: K
инт
=100 —
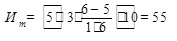
Работоспособность создается в результате происходящих в организме процессов в нервной системе, двигательном аппарате, органов дыхания и кровообращения, которые определяют потенциальные возможности человека выполнять конкретную работу при заданных режимах. В данном случае величина работоспособности равна:
По значению интегрального показателя тяжести и напряженности труда можно сделать вывод о том, что данный труд относится к пятой категории тяжести труда. Пятая категория тяжести - это работа, при которой с связи с неблагоприятными условиями труда у практически здоровых людей в конце рабочего периода формируется реакция, характерная для патологического состояния организма, требующая амбулаторного или стационарного лечения. Для этой категории характерно снижение работоспособности, повышается уровень общей заболеваемости, появляются производственно обусловленные заболевания, растет количество и тяжесть производственных травм.
Для улучшения условий труда на данном рабочем месте предлагают к внедрению два мероприятия. Мероприятие № 1 .Ввести дополнительные перерывы, общей продолжительностью 2 часа за смену.
По итогам внедрения мероприятия общий класс условий труда остался неизменным – 3.2 - уровни вредных факторов, вызывающие стойкие функциональные изменения, приводящие в большинстве случаев к увеличению производственно обусловленной заболеваемости, появлению начальных признаков или легких (без потери профессиональной трудоспособности) форм профессиональных заболеваний, возникающих после продолжительной экспозиции (часто после 15 и более лет). Интегральный показатель тяжести и напряженности труда:
Показатель утомления:
Величина работоспособности:
В результате внедрения мероприятия №1 категория тяжести труда также не изменилась. Пятая категория тяжести — работа при которой с связи с неблагоприятными условиями труда у практически здоровых людей в конце рабочего периода формируется реакция, характерная для патологического состояния организма, требующая амбулаторного или стационарного лечения. Для этой категории характерно снижение работоспособности, повышается уровень общей заболеваемости, появляются производственно обусловленные заболевания, растет количество и тяжесть производственных травм.
Мероприятие №2 Установка общеобменной вентиляции позволяет поддержать t воздуха и запыленность в пределах допустимых величин.
Общий класс условий труда 3.2 - условия труда, характеризующиеся такими отклонениями производственных факторов, которые могут вызывать стойкие функциональные изменения, приводящие к временной утрате трудоспособности, повышению частоты общей заболеваемости, появлению начальных признаков профессиональных заболеваний. При расчете интегрального показателя стоит учесть время воздействия фактора. Пересчитаем балльную оценку в соответствии с новой продолжительностью рабочей смены: Интегральный показатель тяжести и напряженности труда:
Показатель утомления:
Величина работоспособности:
В результате внедрения мероприятия №2 категория тяжести труда также не изменилась – пятая категория тяжести труда .Пятая категория тяжести - это работа, при которой с связи с неблагоприятными условиями труда у практически здоровых людей в конце рабочего периода формируется реакция, характерная для патологического состояния организма, требующая амбулаторного или стационарного лечения. Для этой категории характерно снижение работоспособности, повышается уровень общей заболеваемости, появляются производственно обусловленные заболевания, растет количество и тяжесть производственных травм.
Сопоставляя показатели работоспособности до и после улучшения условий труда можно определить возможный прирост производительности труда за счет повышения работоспособности по формуле:
Намечается прирост производительности труда при внедрении на предприятии мероприятия №2. |


