Контрольная работа: Контрольная работа по Эконометрике
|
Название: Контрольная работа по Эконометрике Раздел: Рефераты по математике Тип: контрольная работа | |||||||||||||||||||||||||||||||||||||||||||||||||||||||||||||||||||||||||||||||||||||||||||||||||||||||||||||||||||||||||||||||||||||||||||||||||||||||||||||||||||||||||||||||||||||||||||||||||||||||||||||||||||||||||||||||||||||||||||||||||||||||||||||||||||||||||||||||||||||
1. Построим поле корреляции (на отдельном листе) и сформулируем гипотезу о форме связи, предполагая, что генеральное уравнение регрессии – линейное:
2. Найдем оценки b0
и b1
параметров модели парной линейной регрессии
Тогда уравнение эмпирической линии регрессии (линии тренда) имеет вид:
3. С надежностью 0,95 проверим значимость оценок b0
и b1
теоретических коэффициентов регрессии Для уровня значимости a=0,05 и числа степеней свободы к=n-2=12-2=10 критерий Стьюдента равен Дисперсии средние квадратичные отклонения коэффициентов b0 и b1 уравнения регрессии определим из равенств с использованием результатов табл. 2.
Для определения статистической значимости коэффициентов b0 и b1 найдем t – статистики Стьюдента:
Сравнение расчетных и табличных величин критерия Стьюдента показывает, что 4. С надежностью 0,95 определим интервальные оценки теоретических коэффициентов Доверительные интервалы для этих коэффициентов равны:
Подставив числовые значения, значения коэффициентов b0 и b1 , их средние квадратичные отклонения и значение для t имеем:
Так как точка 0 (ноль) лежит внутри доверительного интервала, то интервальная оценка коэффициента b1 статистически незначима. 5. Определим коэффициент детерминации R2 и коэффициент корреляции rxy и сделаем соответствующие выводы о качестве уравнения регрессии. Определяем дисперсии и средние квадратичные отклонения независимого X и результативного Y факторов:
Тесноту связи между переменными X и Y определяем через ковариацию и коэффициент корреляции.
Величина rxy =0,1330 , близка к 1, что характеризует слабую линейную связь между независимым и результативным признаками. Для определения коэффициента детерминации воспользуемся результатами расчетов таблицы 2. По таблице 2 найдем: · общую ошибку (столбец 11):
· ошибку объясняемую регрессией (столбец 13)
· остаточную ошибку (столбец 9)
Причем имеем TSS=RSS+ESS Тогда коэффициент детерминации равен
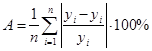
Полученная величина коэффициента детерминации свидетельствует о том, что необъясненная ошибка составляет более 98 процентов от общей ошибки. 6. Проверим при уровне значимости 0,05 значимость уравнения регрессии с помощью F статистики Фишера и сделаем соответствующие выводы о значимости уравнения регрессии. Статистика Фишера вычисляется по формуле: Имеем F = (1481,071/82232,60)·10=0,1801 Найдем для заданной доверительной вероятности 0,05 критическое значение статистики Фишера: По таблице Имеем F< Fкр , поэтому уравнение незначимо с надежностью 0,95. 7. Оценим с помощью средней ошибки аппроксимации качество уравнения регрессии.
A=14,934%. Судя по величине средней ошибки, качество уравнения регрессии среднее. 8. Рассчитаем прогнозное значение результата Yp, если прогнозное значение фактора Xр увеличится на 15% от его среднего уровня. Хр = 1,15*Хср = 1,15*1215,8333 = 1398,2083. Прогнозируемую величину yp определяем из равенства:
9. С уровнем значимости 0,05 определим интервальную оценку условного математического ожидания Уp для вычислинного значения Хp. Дисперсия математического ожидания прогнозируемой величины yp равна
Среднее квадратичное отклонение математического ожидания прогнозируемой величины равно
С уровнем значимости a=0,05 доверительный интервал для условного математического ожидания yp при данном xp равен:
10. С надежностью 0,95 определим доверительный интервал значения Уp для вычислинного значения Хp Имеем Дисперсия конкретного значения прогнозируемой величины yp равна
Среднее квадратичное отклонение ожидаемой прогнозируемой величины yp равно
Тогда получим,
11. Найдем основные регрессионные характеристики используя функцию Регрессия (У,Х) из надстройки "Анализ данных". Уровень надежности установим 95%.
Таблица 2
|
|||||||||||||||||||||||||||||||||||||||||||||||||||||||||||||||||||||||||||||||||||||||||||||||||||||||||||||||||||||||||||||||||||||||||||||||||||||||||||||||||||||||||||||||||||||||||||||||||||||||||||||||||||||||||||||||||||||||||||||||||||||||||||||||||||||||||||||||||||||








