Курсовая работа: Расчет связного передатчика 27 2 МГц
|
Название: Расчет связного передатчика 27 2 МГц Раздел: Рефераты по коммуникации и связи Тип: курсовая работа | |
Министерство образования Российской Федерации УРАЛЬСКИЙ ГОСУДАРСТВЕННЫЙ ТЕХНИЧЕСКИЙ УНИВЕРСИТЕТ КАФЕДРА "РАДИОПЕРЕДАЮЩИЕ УСТРОЙСТВА" КУРСОВАЯ РАБОТА "РАСЧЕТ СВЯЗНОГО ПЕРЕДАТЧИКА 27,2 МГц" Екатеринбург 2003 Дано: Передатчик с частотной модуляцией. 1. Мощность P1 = 2,5 Вт. 2. Частота f = 27,2 МГц. 3. EП = 12 В. 4. Антенна - штырь 1,5 м. 5. Ф2 = 25 дБ. - составить структурную схему передатчика; - рассчитать режим оконечной ступени; - рассчитать согласующее устройство оконечной ступени с антенной; - пояснить назначение всех элементов схемы. 1. Структурная схема передатчика
Умножитель Рис. 1 структурная схема передатчика УНЧ - усилитель низкой частоты; УЧ - управитель частоты; АГ - автогенератор (кварцевый); У - усилитель; Умножитель частоты на 2; ОУ - оконечный усилитель; СЦ - согласующая цепь. 2. Расчет режима оконечной ступени 2 .1 Расчет коллекторной цепиПаспортные данные: rнас = 1,73 Ом; Е'б = 0,7 В; Iк о доп = 0,8 А. Определим коэффициент использования выходного напряжения (Uвых )
Возьмем угол отсечки (q) равным 900 , тогда a1 (q) = 0,5. Определим амплитуду напряжения коллектора в граничном режиме: Uкгр = Ек *xгр ; Uкгр = 12*0,86 = 10,32 (В). Найдем первую гармонику тока коллектора:
Определим постоянную составляющую коллекторного тока:
Определим подводимую мощность P0 . P0 = Eк *Iк0 , P0 = 12*0,306 = 3,672 »3,7 (Вт) Определим мощность, рассеиваемую в виде тепла: Pк1 = P0 - P1 , Pк1 = 3,7 - 2,5 = 1,2(Вт) < Pдоп = 1/2Uкэдоп *Iк0доп = 26 (Вт) Определим коэффициент полезного действия (h)
Определим сопротивление коллектора (Rк )
2.2 Расчет базовой цепиОпределим сопротивление резистора Rд , включенного по РЧ между базой и эмиттером, которое определяется по следующей формуле: Rд »b0 /2pfТ CЭ Rд » 24/2*3,14*350*106 *124*10-12 » 88(Ом) Значение сопротивления Rбк резистора, включенного по РЧ между коллектором и базой: Rбк = b0 /2pfТ Cк Rбк = 24/2*3,14*350*106 *12*10-12 » 909,46 (Ом) Рассчитаем амплитуду тока базы:
где c = 1 + g1 (q)2pfТ Cк Rк c = 1 + 0,5*2*3,14*350*106 *12*10-12 *21,5 » 1,28
Максимальное обратное напряжение на эмиттерном переходе:
Постоянные составляющие базового и эмиттерного токов: Iб0 = I к0 /b 0 Iб0 = 0,306/24 = 0,013(А); Iэ0 = Iк0 + Iб0 Iэ0 = 0,306 + 0,013 = 0,319 (А). Напряжение смещения на эмиттерном переходе:
Рассчитаем элементы схемы:
LвхОЭ = 4*10-9 + 4*10-9 /1,28 » 9,12 (нГн);
Входное сопротивление транзистора (Zвх = rвх + jXвх ):
Входная мощность:
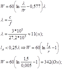
Коэффициент усиления по мощности транзистора: kp = P1 /Pвх kp = 2,5/0,09=27,78. 3. Расчет штырьевой антенны3.1 Из конструктивных соображений выбираем радиус штыря: r = 5*10-3 (м) 3.2 Находим волновое сопротивление антенны:
3.3 Входное сопротивление:
4 . Расчет согласующего устройства оконечной ступени с антенной4.1 Расчет трансформатора сопротивленияЕмкость С22 предназначена для разделения по постоянной составляющей тока Iк0, реактивное сопротивление ХС22 должно удовлетворять соотношению: ХC 22 << Rое = 4Rк , (ХС22 = Rое /[50…100]) XC 22 = (wC22) -1 = 4Rк /100 Þ С22 = 100/(4*21,5*2*3,14*27,2*10-6 ) = 6,8 (нФ); XL 2 >> Rое = 4Rк, (ХL2 = Rое *[50…100]) XL 2 = wL2 = 4Rк *100 Þ L2 = 4*21,5*100/(2*3,14*27,2*10-6 ) = 50,3 (мкГн). Волновое сопротивление: ZС = 2*21,5 = 43 (Ом). Ток в линии:
Требуемая индуктивность линии:
где a1 , и сходя из допустимой неравномерности АЧХ трансформатора на f =27,2 МГц, равен 0,1. Uпр = Uк = 10,32 (В).
Исходя из волнового сопротивления линии выбираем кабель КВФ-37: ZC = 37 Ом; Спогонная = 120 пФ/м; b = 2,56 мм (внешний диаметр кабеля); с = 0,78 мм (внутренний диаметр). Геометрическая длина линии:
где q < 18…54 при ZC = ZC треб (берем q = 30), e - диэлектрическая проницаемость диэлектрика (фторопласт e = 2,1).
Для данного уровня мощности, из условия обеспечения добротности Q не ниже 10 на частоте f, выбираем феррит марки 1000 НМ: mн = 1000; Q = 20 при B = 0,01 Тл. Выбираем многовитковую конструкцию на кольцевом ферритовом сердечнике с типоразмерами: D = 45 мм; d = 28 мм; h = 12 мм. Средний диаметр феррита: Dср = 0,5(D + d), Dср = 3,65 (мм). Максимальная магнитная индукция на рабочей частоте:
где P'ф - допустимые удельные тепловые потери в феррите (P'ф £ 0,3…1,5 Вт/см2 ).
Выберем Bf = 15*10-3 Тл. V = pDср S, V =3,14*3,65*(0,5*1,2*1,7)=11,7 (см3 ).
V > Vmin Число витков:
Уточняем Lпр.расч :
pd = 3,14*2,8 = 8,8 (см), wb = 10*0,256 = 2,56 (см), следовательно, все витки помещаются на феррит.
Удельные тепловые потери в феррите:
Мощность потерь в феррите:
4.2 Расчет колебательного контура Для определения номиналов элементов (С23 , L3 ) колебательного контура пересчитаем сопротивление антенны в контур следующим образом:
Рис. 2 Пересчёт сопротивления антенны в контур Сопротивление на зажимах контура равно 4Rк , добротность контура из конструктивных соображений примем равной 100.
Коэффициент включения равен:
Характеристическое сопротивление контура в резонансе:
Далее находим индуктивность контура:
Приведем конструктивный расчет индуктивности L3 : - диаметр провода катушки:
- число витков:
- электрическая прочность катушки: а) напряжение между соседними витками: Uв = 2Uк/N Uв = 2*10,32/3 » 6,9 (В). b) напряженность поля между витками: E = Uв/(g - d), E = 6,9/(1,5*2,26- 2,26) » 6,1 (В/мм) < Eдоп = 250 - 300 (В/мм). Библиографический список1. ГЕНЕРИРОВАНИЕ И ФОРМИРОВАНИЕ РАДИОСИГНАЛОВ: Методические указания к курсовому проектированию по дисциплине “Устройства генерирования и формирования радиосигналов” /Л.И. Булатов, Б.В. Гусев. Екатеринбург: Изд-во УГТУ, 1998. 2. "Проектирование радиопередатчиков": Учеб. пособие для вузов/В.В. Шахгильдян, М.С. Шумилин, В.Б. Козырев и др.; Под ред. В.В. Шахгильдяна. - 4 -е изд., перераб. И доп. - М.: Радио и связь, 2000. -656 с.: ил. 3. РАСЧЕТ И ПРОЕКТИРОВАНИЕ РАДИОПЕРЕДАЮЩИХ УСТРОЙСТВ: Методические указания к курсовому проектированию по дисциплине “Устройства формирования сигналов” /Л.И. Булатов, Б.В. Гусев. Екатеринбург: Изд-во УГТУ, 1997. 31 с. 4. М.С. Шумилин, В.Б. Козырев, В.А. Власов Проектирование транзисторных каскадов передатчиков. Учеб. пособие для техникумов. М.: Радио и связь, 1987. - 320 с.: ил. |




























