Контрольная работа: Задачи по статистике 12
|
Название: Задачи по статистике 12 Раздел: Рефераты по маркетингу Тип: контрольная работа | ||||||||||||||||||||||||||||||||||||||||||||||||||||||||||||||||||||||||||||||||||||||||||||||||||||||||||||||||||||||||||||||||||||||||||||||||||||||||||||||||||||||||||||||||||||||||||||||||||||
Государственный Университет Телекоммуникаций и Информатики Межрегиональный центр переподготовки специалистов Контрольная работа по дисциплине «Статистика» Выполнила: студентка Шадрина Анна Александровна Группа: ЭДВ-02 Проверила: Терехова Юлия Сергеевна Новосибирск 2010 Задача 1. Имеются данные о численности работников предприятия на начало каждого квартала года. Определить средние характеристики динамического ряда: средний уровень ряда (средняя численность работников), средний абсолютный прирост и средний темп роста и прироста. Указать виды средних, которые были использованы.
Решение
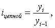
средней арифметической простой. Где Sy – сумма уровней ряда n – число уровней y¯ =300+310+315+328+330/5=1583/5=316, 6 тысяч работников Расчеты ежегодных абсолютных приростов, темпов роста и прироста проводятся по приведенным формулам Абсолютный прирост определяется
где y – уровень i-го члена ряда, yi-1 – уровень, предшествующий i-му члену ряда
где y0 – уровень начального члена ряда. Темп роста определяется:
Темп прироста определяется по формуле:
Средний абсолютный прирост определяется по формуле:
Для определения среднего тепа роста используется формула средней геометрической
где i1, i2, …in – цепные темпы рост; n – число темпов роста. Средний темп прироста определяется по формуле
Данные расчетов приводятся в Таблице 1. Таблица 1 Показатели анализа ряда динамики.
Среднегодовой абсолютный прирост рабочих составит: ∆¯= 10+5+13+2/4=7,5 Средний темп роста составляет: ip =1.423 Среднегодовой темп роста составляет 142.3%. Задача 2. На основании следующих данных таблицы определить:
Индекс производительности труда равен:
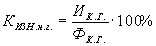
где П1 и П0 – производительность труда в отчетном и базисном периодах; Т1 – среднесписочная численность работников в отчетном периоде Производительность труда в целом по всем 4-х цехах возросла на 105.1%. Число высвобождаемых работников за счет роста производительности труда. ∑ T=∑i T1 -∑T1 ∑ T=1.051*(120+80+65+160) - (120+80+65+160)=21.675 бед Задача 3. На начало года стоимость производственных фондов составила 2300 млн. руб. Износ этих фондов составил 460 млн. руб. В течение года поступило фондов на сумму 420 млн. руб., из них новых – на сумму 350 млн. руб. В течение года выбыло фондов на сумму 200 млн. руб. из-за ветхости и износа. Норма амортизации 3,8%. Определить показатели состояния и движения фондов. Для оценки характеристик движения производственныех фондов используются коэффициенты выбывания и обновления. Коэффициент выбывания основных фондов:
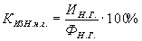
где Фвыб – фонды выбывшие в отчетном году (200 млн. руб.); Фн.г. – фонды на начало года(2300 млн. руб.); Квыб = 8,69% Коэффициент обновления основных фондов:
Фнов – введенные(новые) фонды (350 тыс. руб.) Фк.г. – основные фонды на конец года (2520 тыс. руб.) Кобн = 13,8% Для оценки состояния производственных фондов используюся коэффициенты износа и годности на начало года и конец года. Коэффициент износа и годности на начало года:
К инз и г. = 20% Коэффициент износа и годности на конец года:
Кизн и г. = 13,9 % Исходя из данных коэффициент обновления основных фондов на 5.11% больше коэффициента выбывания основных фондов, так же коэффициент износа и стойкости фондов значительно снизился к концу отчетного года на 16,2%, что не может не сказываться в целом положительно для предприятия. Задача 4. Имеются данные по двум населенных пунктам А и Б региона. Рассчитать стандартизированные показатели смертности для каждого региона, выполнить сравнение рассчитанных показателей и сделать выводы.
Решение. Исходные и расчетные данные показателей смертности населения
Расчет годового показателя смертности с учетом причины смерти: Этот показатель обычно рассчитывают на 100 000 населения по формуле:
где K -годовой показатель смертности; a - число умерших от данной причины среди населения данной территории; b - среднегодовая численность населения на данной территории. Задача 5. Стоимость основных производственных фондов на начало квартала составила: · На начало 1 квартала – 2400 млн. руб. · На начало 2 квартала – 2520 млн. руб. · На начало 3 квартала – 2640 млн. руб. · На начало 4 квартала – 2750 млн. руб. · На начало следующего года – 2829 млн. руб. Определить среднюю стоимость фондов. Указать вид средней. Которая была использована. Решение. Средняя стоимость фондов равна: Оср. = (1/2 * 2400 + 2520 + 2640 + 2750 + ½*2829) / 5-1 = 2631,1 млн. руб. При расчете применили формулу средней хронологической. |
||||||||||||||||||||||||||||||||||||||||||||||||||||||||||||||||||||||||||||||||||||||||||||||||||||||||||||||||||||||||||||||||||||||||||||||||||||||||||||||||||||||||||||||||||||||||||||||||||||




