Курсовая работа: Эксплуатационные свойства автомобиля 2
|
Название: Эксплуатационные свойства автомобиля 2 Раздел: Рефераты по транспорту Тип: курсовая работа | |||||||||||||||||||||||||||||||||||||||||||||||||||||||||||||||||||||||||||||||||||||||||||||||||||||||||||||||||||||||||||||||||||||||||||||||||||||||||||||||||||||||||||||||||||||||||||||||||||||||||||||||||||||||||||||||||||||||||||||||||||||||||||||||||||||||||||||||||||||||||||||||||||||||||||||||||||||||||||||||||||||||||||||||||||||||||||||||||||||||||||||||||||||||||||||||||||||||||||||||||||||||||||||||||||||||||||||||||||||||||||||||||||||||||||||||||||||||||||||||||||||||||||||||||||||||||||||||||||||||||||||||||||||||||||||||||||||||||||||||||||||||||||||||||||||||||||||||||||||||||||||||||||||||||||||||||||||||||||||||||||||||||||||||||||||||||||||||||||||||||||||||||||||||||||||||||||||||||||||||||||||||||||||||||||||||||||||||||||||||||||||||||||||||||||||||||||||||||||||||||||||||||||||||||||||||||||||||||||||||||||||||||||||||||||||||||||||||||||
Министерство образования и науки Российской Федерации Магнитогорский Государственный Технический Университет Факультет: Технологии и Качества Кафедра: Технологии, Сертификации, Сервиса Автомобилей Курсовая работа по предмету: “Эксплуатационные свойства автомобиля” Выполнил: ст. гр. ТСА-07 Сычев Н.О. Проверил: профессор, д.т.н. Мезин И.Ю. Магнитогорск 2010 ОГЛАВЛЕНИЕ 1.ОПИСАНИЕ ТРАНСПОРТНОГО СРЕДСТВА.. 4 2.ХАРАКТЕРИСТИКА УСОВЕРШЕНСТВУЕМОГО МЕХАНИЗМА.. 5 3.КОНСТРУКТОРСКИЕ И АНАЛИТИЧЕСКИЕ РАСЧЕТЫ... 6 5.СПИСОК ИСПОЛЬЗУЕМОЙ ЛИТЕРАТУРЫ... 20 1.ОПИСАНИЕ ТРАНСПОРТНОГО СРЕДСТВАВ данном курсовом проекте мы будем рассматривать автомобиль Лада Калина. Приведем технические характеристики автомобиля: Длина: 4040 мм, ширина: 1700 мм, высота: 1500 мм, количество дверей: 4, количество мест: 5, объем багажника: 400 литров. объем двигателя от 1390 см³ до 1596 см³. Мощность от 58,8 до 66,2 КВт. Автомобиль выпускается с 2004 года. Автомобиль Лада Калина имеет пятиступенчатую коробку переключения передач, способную передавать крутящий момент, равный 165 нм. 2.ХАРАКТЕРИСТИКА УСОВЕРШЕНСТВУЕМОГО МЕХАНИЗМАВ данном курсовом проекте мы будем модернизировать коробку передач автомобиля Лада Калина. Модернизацию будем производить путем замены передаточных чисел. Стандартная коробка передач не обеспечивает необходимую приемистость автомобиля. Время разгона с места до 100 км/ч составляет около 13 секунд. Мы попытаемся улучшить данный показатель при помощи спортивного ряда КПП. 3.КОНСТРУКТОРСКИЕ И АНАЛИТИЧЕСКИЕ РАСЧЕТЫПриведем характеристики стандартной коробки передач. В таблице 1 указаны передаточные числа коробки передач, в таблице 2 приведена зависимость скорости от оборотов для каждой передачи. Таблица 1- Характеристики КПП:
Таблица 2 – Зависимость скорости от оборотов для различных передач:
Рассмотрим спортивный ряд коробки переключения передач, в котором изменены все передаточные числа. В таблице 3 представлены передаточные числа спортивного ряда коробки передач. Передаточное число главной передачи оставим неизменным. Таблица 3 – Характеристики спортивного ряда:
В таблице 4 приведена зависимость скорости от оборотов для каждой передачи модернизированной коробки передач. Таблица 4 – Зависимость скорости от оборотов для различных передач модернизированной коробки:
На рисунке 1 изображен график сравнения скоростей автомобиля с модернизированной коробкой передач со стандартной коробкой ( красным цветом обозначена модернизированная коробка передач, синим - серийная коробка передач).
Рисунок 1 - Сравнение скоростей автомобиля Для сравнения данного ряда нам необходимо построить графики зависимостей ускорения автомобиля от скорости со стандартной коробкой передач, и автомобиля с модернизированной коробкой передач. Ускорение автомобиля в каждой расчетной точке определяется по формуле:
Примем
Примем
Найдем
Для легковых автомобилей
Следовательно, коэффициент учета вращающихся масс рассчитывается для каждой передачи. Значения коэффициента приведены для стандартной коробки приведены в таблице 5, для модернизированной коробки - в таблице 6.
Условно примем
Значения
Скорость воздушного потока принимается равной движению автомобиля. В таблице 5 приведены расчетные значения, необходимые для построения графика зависимости ускорения от скорости для автомобиля, оснащенного стандартной коробкой передач. Таблица 5- Расчетные значения для стандартной коробки передач:
Таблица 5- Расчетные значения для стандартной коробки передач (продолжение):
Примечание: В таблице 6 приведены расчетные значения, необходимые для построения графика зависимости ускорения от скорости для автомобиля, оснащенного модернизированной коробкой передач. Таблица 6- Расчетные значения для модернизированной коробки передач:
Таблица 6- Расчетные значения для модернизированной коробки передач (продолжение):
Примечание: У нас имеются данные для построения графика зависимости ускорения от скорости по передачам ( красный цвет – модернизированная коробка, синий – стандартная ). На рисунке 2 изображены графики зависимости ускорения от скорости для стандартной и модернизированной коробок передач.
Рисунок 2 - График зависимости ускорения от скорости Затем для более полного сравнения коробок передач нам необходимо определить время разгона до скорости 100 км/ч. Для этого нам необходимо построить график зависимости величины, обратной ускорению от скорости. Значения для построения графика приведены в таблице 7 для обоих коробок передач. В таблице Таблица 7 – Значения, необходимые для построения графика зависимости величины, обратной ускорению от скорости:
Таблица 7 – Значения для построения графика зависимости величины, обратной ускорению от скорости (продолжение):
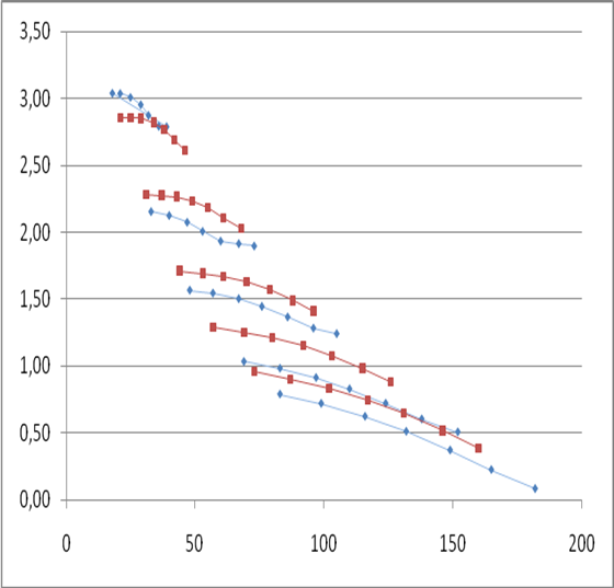
Построим два графика зависимости величины, обратной ускорению от скорости, так как мы будем по этим графикам вычислять время разгона автомобиля. На рисунке 3 показан график зависимости величины, обратной ускорению от скорости для стандартной коробки переключения передач.
Рисунок 3 - График зависимости величины, обратной ускорению от скорости для стандартной коробки передач На рисунке 4 показан график зависимости величины, обратной ускорению от скорости для модернизированной коробки переключения передач.
Рисунок 4 - График зависимости величины, обратной ускорению от скорости для модернизированной коробки передач Для определения времени разгона будем использовать графоаналитический метод. В нем используются построенные выше графики зависимости величины, обратной ускорению от скорости. Если рассмотреть на этом графике элементарную площадку Однако
В свою очередь масштаб времени разгона составляет величину
На графике:
На графике:
Время разгона в конечном интервале скоростей (от
F-площадь, ограниченная на рассматриваемых графиках, ограниченная осью абсцисс, кривой графика величины, обратной ускорению, и ординатами, соответствующими скоростями Зададим для каждого графика несколько интервалов скоростей , для каждого интервала найдем время разгона до максимальной скорости. При разбивке площадок под кривой, обратной ускорению, предполагается, что разгон на каждой передаче ведется до максимальной скорости. Последнее значение скорости примем равным 100 км/ч. Таким образом мы сравним время разгона до 100 км/ч. В таблице 8 приведены значения расчета времени разгона для серийной коробки передач. Таблица 8 – расчет времени разгона, для автомобиля, оснащенного стандартной коробкой передач:
Вывод: разгон до 100 км/ч у автомобиля на стандартной коробки передач занимает 12,64с. В таблице 9 приведены значения расчета времени разгона для модернизированной коробки передач. Таблица 9 - Расчет времени разгона, для автомобиля, оснащенного модернизированной коробкой передач:
Вывод: разгон до 100 км/ч у автомобиля с модернизированной коробкой передач занимает 11,2с. 4.ВЫВОДМы модернизировали коробку передач автомобиля Лада Калина. Установили спортивный ряд коробки переключения передач. В результате возросла приемистость. Время разгона до 100 км/ч снизилось на 1,4 сек. 5.СПИСОК ИСПОЛЬЗУЕМОЙ ЛИТЕРАТУРЫ1. Проектировочный тяговый расчет автомобиля: учебно-методическое пособие/ Л.А. Родионов, Е.Р.Шадыев-Самара:Самарский Государственный Технический Университет 2008 -58 страниц. 2.http://www.auto99.ru/?page=69. 3.http://www.auto99.ru/?page=110. 4.http://www.tuningsport.ru/transmission_tuning.php. |
|||||||||||||||||||||||||||||||||||||||||||||||||||||||||||||||||||||||||||||||||||||||||||||||||||||||||||||||||||||||||||||||||||||||||||||||||||||||||||||||||||||||||||||||||||||||||||||||||||||||||||||||||||||||||||||||||||||||||||||||||||||||||||||||||||||||||||||||||||||||||||||||||||||||||||||||||||||||||||||||||||||||||||||||||||||||||||||||||||||||||||||||||||||||||||||||||||||||||||||||||||||||||||||||||||||||||||||||||||||||||||||||||||||||||||||||||||||||||||||||||||||||||||||||||||||||||||||||||||||||||||||||||||||||||||||||||||||||||||||||||||||||||||||||||||||||||||||||||||||||||||||||||||||||||||||||||||||||||||||||||||||||||||||||||||||||||||||||||||||||||||||||||||||||||||||||||||||||||||||||||||||||||||||||||||||||||||||||||||||||||||||||||||||||||||||||||||||||||||||||||||||||||||||||||||||||||||||||||||||||||||||||||||||||||||||||||||||||||||



