Реферат: Производные ценные бумаги 4
|
Название: Производные ценные бумаги 4 Раздел: Рефераты по финансам Тип: реферат |
СОДЕРЖАНИЕ 1. Понятие производных ценных бумаг, их роль на рынке………………3 2. Виды производных ценных бумаг………………………………………4 3. Основы определения курсовой стоимости производных бумаг………7 4. Хеджирование……………………………………………………………..14 5. Заключение………………………………………………………………..20 6. Список использованных источников……………………………………21 1. Понятие производных бумаг, их роль на рынке. Появление и распространение производных ценных бумаг связано с поиском таких инвестиционных стратегий, которые обеспечивали бы не только получение дохода, но и страхование от рисков при неблагоприятном изменении цен. т.е. с решением проблемы оптимального размещения свободных денежных средств.[3] Производная ценная бумага или дериватив — это бездокументарная форма выражения имущественного права (обязательства), возникающего в связи с изменением цены лежащего в основе данной ценной бумаги биржевого актива. Рынок производных ценных бумаг или производных инструментов называют срочным рынком или рынком дериватов. [2,4] В настоящее время рынок производных финансовых инструментов является одним из наиболее динамично развивающихся сегментов финансового рынка в мире. Мощный импульс развитию валютного и фондового международных рынков дали такие факторы, как переход к плавающим валютным курсам, ослабление государственного регулирования в финансовой сфере, продолжающийся быстрый рост международной торговли товарами и услугами, достижение нового уровня в компьютерной и телекоммуникационной технологии и другие процессы.[3] На срочном рынке обращаются срочные контракты. Срочный контракт – это соглашение о будущей поставке предмета контракта. В момент его заключения оговариваются все условия, на которых он будет исполняться. В основе контракта могут лежать различные активы, например, ценные бумаги, фондовые индексы, банковские депозиты, валюта, товары. Актив, лежащий в основе срочного контракта, называют базисным или базовым активом. Срочный контракт возникает на основе базисного актива. Поэтому его также называют производным активом, т. е. инструментом, производным от базисного актива. Срочный рынок выполняет две важные функции: позволяет согласовывать планы на будущее и застраховать ценовые риски в условиях неопределенности экономической конъюнктуры. Срочные сделки позволяют застраховаться от изменения цен финансовых активов, валютных курсов, процентных ставок, товарных цен. Привлекательность срочного рынка состоит также в том, что его инструменты являются высокодоходными, хотя и более высокорискованными объектами инвестирования. [5] 2. Виды производных ценных бумаг, область применения разных видов Опцион (нем. option от лат. optio (optionis) — выбор) — один из видов ценных бумаг срочного контракта. По сути своей он является разновидностью сертификата и представляет собой самостоятельную ценную бумагу, с которой можно производить соответствующие операции по продаже или покупке. Однако по истечении срока действия он теряет эти качества. Опцион на биржах — привилегия, приобретаемая при уплате известной премии на получение товара по заранее установленной цене в течение определенного срока. В этот же срок можно отказаться от совершения определенной операции с ценными бумагами или товаром. Опционным свидетельством признается именная ценная бумага, закрепляющая право ее владельца в сроки и на условиях, указанных в сертификате данного свидетельства и решении о выпуске их (для документарной формы выпуска) или решении о выпуске таких свидетельств (для бездокументарной формы выпуска), на покупку (опционное свидетельство на покупку) или продажу (специальное свидетельство на продажу) ценных бумаг (базисного актива) эмитента опционных свидетельств или третьих лиц, отчет об итогах выпуска которых зарегистрирован до даты выпуска опционных свидетельств. Опционное свидетельство является производной ценной бумагой . Оно может быть выпущено как под обеспечение, предоставленное его эмитенту для целей выпуска третьими лицами, так и под залог определенного имущества эмитента. В частности, опционом является право обмена конвертируемых привилегированных акций или облигаций на обыкновенные акции, а также право члена трудового коллектива фирмы купить определенное число акций на льготных условиях и т.п. Различают опционы продажи ( put ) — право на продажу ценной бумаги и опционы покупки ( call ) — право на покупку ценной бумаги. Каждый из них является инструментом, с помощью которого можно позволить регулировать степень риска и прибыль. Инвестор, приобретая опцион, перекладывает этот риск на продавца опциона. За данный риск первый из них платит второму премию из своей предполагаемой прибыли, которую, кстати, он может заранее зафиксировать. Приобретение опциона put гарантирует участникам рынка ценных бумаг, скупающим акции у частных лиц, устойчивую их реализацию по фиксированной цене. Банкам подобная покупка опционов put предоставляет возможность безрискового кредитования под залог ценных бумаг, так как заранее известны процентные ставки по кредитам и условия опционного договора. В то же время покупка опциона call предоставляет возможность рассчитать устойчивую прибыль фирмы путем регулирования притока акций. Операции с опционом call привлекательны, хотя и достаточно рискованны для тех покупателей, которые ориентируются на акции инвестиционных компаний или приватизируемых предприятий с неустойчивым курсом котировки. Риск их в таком случае определен размером премии, в то время как прибыль не ограничена. В отличие от других видов ценных бумаг в сделке с опционом принимают участие только два лица . Одно из них покупает опцион, а другое продает. Сделка осуществляется или в любой день до истечения срока контракта (так называемый американский вариант), или только в день его истечения (европейский вариант). Статьей 314 ГК РФ исполнение обязательства предусматривается в определенный день, если оно устанавливает или позволяет установить день его исполнения, или соответственно в любое время в пределах срока действия договора, т.е., по существу, признается американский вариант погашения обязательств по сделкам. В остальном опцион имеет много общего с ордером.[6] Своп — торгово-финансовая обменная операция, в виде обмена разнообразными активами, в которой заключение сделки о купле (продаже) ценных бумаг, валюты сопровождается заключением контрсделки, сделки об обратной продаже (купле) того же товара через определенный срок на тех же или иных условиях. Существует ряд видов своп-операций: своп с целью продления сроков действия ценных бумаг представляет продажу ценных бумаг и одновременную покупку такого же вида ценных бумаг с более длительным сроком действия; валютная своп-операция — покупка иностранной валюты с немедленной оплатой в национальной валюте с условием последующего обратного выкупа; своп-операция с золотом состоит в продаже золота на условиях наличной поставки с одновременным заключением сделки на обратную покупку золота через определенный срок; своп-операция с процентами заключается в том, что одна сторона (кредитор) обязуется выплатить другой проценты, получаемые от заемщиков по ставке ЛИБОР в обмен на обратную выплату по фиксированной в договоре ставке. Это игровой контракт, в котором выигрывает сторона, лучше спрогнозировавшая динамику ставок; своп-операция с долговыми требованиями состоит в том, что кредиторы обмениваются не только процентами, но и всей суммой долга своих клиентов согласно условиям заключенного между ними контракта. Указанные виды сделок типа СВОП могут объединяться в одну комбинированную операцию.[7] Фьючерсный контракт
– это соглашение между сторонами о будущей поставке базисного актива, которое заключается на бирже. Биржа (расчетная палата) сама разрабатывает его условия, и они являются стандартными для каждого базисного актива. Биржа организует вторичный рынок данных контрактов. Исполнение фьючерсного контракта гарантируется биржей (расчетной палатой). После того как контракт заключен, он регистрируется в расчетной палате. С этого момента стороной по сделке как для продавца, так и для покупателя становится расчетная палата, т. е. для покупателя она выступает продавцом, а для продавца – покупателем. Поскольку фьючерсные контракты стандартны и гарантированы расчетной палатой, они высоколиквидны. Это значит, что участник сделки легко может закрыть открытую позицию с помощью обратной (оффсетной) сделки. Если участник контракта желает осуществить или принять поставку, он не ликвидирует свою позицию до дня поставки. В этом случае расчетная палата уведомляет его, кому он должен поставить или от кого принять базисный актив. 3. Основы определения курсовой стоимости производных бумаг Инвестируя в ценные бумаги, можно ожидать получение дохода за счет, например, прироста курсовой стоимости или выплаты дивиденда, в случае акции, или купонного дохода, в случае облигации, или кого-нибудь иного дохода. Оценить же эффективность вложений или же определить, какие ценные бумаги стоить выбрать, можно при помощи доходности. Поскольку курсовая стоимость ценной бумаги изменяется, то инвестор может не только получить доход, но и понести убыток. В результате изменения курсовой стоимости, инвестор несет риск получить потери, причем величина таких потерь может быть намного выше ожидаемых. [3] Право на подписку на новые акции выпускается акционерным обществом с целью соблюдения интереса акционеров в неизменности их доли в уставном капитале. Обычно несколько старых акций дают право подписаться на одну новую акцию. Обозначим рыночную цену старых акций за штуку Р. Цена подписки на новые акции составила П, тогда стоимость права на подписку Ц=(P-П)/К Пока права подписки обращаются вместе со старыми акциями, рыночная цена акций изменяется:
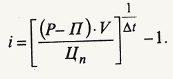
Когда права на подписку начинают обращаться самостоятельно, их рыночная цена может измениться независимо от акций. Варрант представляет собой право приобрести определенное количество акций по определенной цене. Пусть рыночная цена акций равна Р, цена акции, назначенная по варранту, П(П< Р), на один варрант можно купить К акций, тогда стоимость варранта Цв =(Р-П)*V При выпуске варранта цена на акции П, назначаемая по варранту, может быть выше рыночной Р, тогда в начале срока действия стоимость варранта отличается от теоретической. В этом случае он продается по цене ожидания Цо . Если же рыночная цена на акции со временем повышается и начинает превосходить цену, назначенную по варранту, то его стоимость приближается к теоретической. Доходность варранта определяется аналогично доходности других ценных бумаг из соотношения
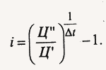
где Ц’ и Ц” - цены покупки и продажи; дельта t - время владения ценной бумагой. Отсюда доходность
В нашем случае Ц’ = Ц0, Ц”= (Р-П)*V,
Опционы - это контракты, представляющие собой право купить или продать определенное количество акций по определенной цене в установленный срок. Лицо, занимающее длинную позицию по опциону, получает право отказаться от его исполнения в случае неблагоприятной рыночной конъюнктуры. Опционы в последнее время достаточно широко распространяются на российском рынке ценных бумаг, поэтому приемы оценки их доходности представляют большой интерес. Рассмотрим два типа опционов: колл опцион (право на покупку) ц пут опцион (право на продажу). Покупая колл опцион, покупатель рассчитывает на повышение курса акций. Если к моменту окончания контракта рыночная цена акций увеличилась (Р > П), то доход покупателя колл опциона составит: ДС = (Р-Л)К-Ц, где Р – рыночная цена на акции на дату окончания контракта; П - цена на акции, назначенная в опционном контракте (цена-страйк); К - количество акций по опционному контракту; Ц – цена покупки опциона (опционная премия). Если же к моменту завершения контракта рыночная цена снизилась (Р < П), то владелец опциона откажется от покупки акций и при этом потеряет сумму, равную цене опциона:
Рис. 1. Функция дохода покупателя колл опциона Функция дохода покупателя колл опциона изображена на рис. 1. Из рисунка видно, что для покупателя колл опциона он становится выгодным, если рыночная цена на акции превысит величину (П + Ц/К), в противном случае имеют место убытки. Проанализируем, каков же доход продавца колл опциона. Имеется Д’с =(П-Р) К+Ц.
Рис. 2. Функция дохода продавца колл опциона Ломаные линии продавца колл опциона изображены на рис. 2. Когда Р < П, доход его постоянен и равен премии, полученной за опцион. При Р > П доход резко снижается (ломаная АА) в том случае, если продавец колл опциона не имел в наличии акций, фигурирующих в контракте, и ему пришлось покупать их по рыночной цене. Если же акции, на которые был составлен опционный контракт, были куплены им заранее по цене П0 , то в зависимости от величины П0 изменяется и ломаная линия дохода. Если П0 < П то доход описывается ломаной линией П. Случаю П < П0 < П + Ц/К соответствует ломаная линия 22. Для П0 > П + ЦIК имеет ломаную линию 33. Заметим, что на этих графиках часть координатной плоскости, находящаяся справа от оси ординат, соответствует ситуации, когда покупатель опциона принимает к выполнению условия контракта. Левая полуплоскость соответствует случаю, когда имеет место отказ от выполнения условий договора. Для продавца колл опциона можно сделать следующий вывод: имеет смысл продавать колл опцион только в том случае, если фондовый инструмент есть в наличии и куплен по цене П0 , находящейся с П, Ц и К в соотношении П0 <П + Ц/К. В противном случае контракт принесет убытки. Покупая пут опцион, покупатель рассчитывает на понижение рыночной цены на акции. Его доход в тех же обозначениях будет: ДР - (П-Р)К-Ц. Ломаные линии дохода покупателя пут опциона показаны на рис. 3.
Рис. 3. Функция дохода покупателя пут опциона Здесь левая полуплоскость соответствует ситуации, когда покупатель пут опциона принимает условия контракта, правая полуплоскость – когда покупатель отказывается от выполнения условий контракта. Ломаная линия АА соответствует случаю, когда у покупателя пут опциона не было в наличии требуемых фондовых инструментов и он, чтобы выполнить условия контракта, вынужден купить нужные акции на рынке по пониженной цене, а продать по цене П, за счет чего и имеет высокий доход. Отсюда следует вывод: при покупке пут опциона выгоднее не иметь в наличии заранее акции опционного контракта, а при продаже колл опциона выгоднее купить эти акции заранее. Рассмотрим теперь случай, когда покупатель пут опциона заранее купил требуемый фондовый инструмент по цене П0 . Ломаная линия 11 соответствует случаю, когда П0 < (П—Ц/К). Ломаная линия 22 отвечает ситуации (П-Ц/К)< П0 < П, а ломаная линия 33 - случаю П0 > П. Можно сделать вывод, что при наличии фондового инструмента, купленного по цене П0 , имеет смысл покупать пут опцион на этот фондовый инструмент, только если П, Ц и К удовлетворяют условию (П- Ц/К )>П0 в противном случае покупатель пут опциона окажется в убытке.
Рис. 4. Функция дохода продавца пут опциона Ломаная линия дохода продавца пут опциона изображена на рис. 4. Согласно этой функции, продавец пут опциона имеет доход, если рыночная цена фондового инструмента не уменьшается ниже величины (П—Ц/К). В противном случае он имеет убыток. Учитывая условия получения дохода от опционных контрактов различных контрагентов, можно выбрать параметры контракта так, чтобы обеспечить доход в любой ситуации. Доходность других производных ценных бумаг – фьючерсных контрактов (фьючерсов) имеет более простой графический вид – прямые, и связано это с тем, что в отличие от покупателя опциона покупатель фьючерса не может отказаться от выполнения условий фьючерсного контракта. Казалось бы, с помощью такой “простой” ценной бумаги невозможно обеспечить выгодную игру на рынке. Однако лица, оперирующие фьючерсными контрактами, нашли интересный способ обеспечения дохода. Для этого один фьючерсный контракт продается и одновременно аналогичный контракт покупается, но по другой цене. За счет разницы в ценах обеспечивается доход. Пусть продавец фьючерсного контракта продал фьючерс на поставку К штук акций по цене П1 в течение некоторого периода времени, в конце которого цена на акции стала рыночной Р. Доход продавца фьючерса здесь описывается прямой Д1 = (П1 -Р)К
Рис. 5. Функция доходов при операциях с фьючерсами Прямая Д1 изображена на рис. 5. Одновременно этот же продавец покупает аналогичный фьючерсный контракт на покупку К штук акций по цене П2 Сделки по одновременной продаже и покупке аналогичных фьючерсных контрактов называются офсетными. Доход по второму контракту будет: Д`2 = (Р1 -П2 )К. Суммарный доход для П2 < П1, описывается прямой 1, параллельной оси Р. В этом случае продавец и покупатель фьючерса всегда будут иметь доход. Если же П2 > П1 , то доход по купленному фьючерсному контракту описывается прямой Д2 “, тогда суммарный доход Д, +Д2 “ описывается прямой 2, т.е. он всегда отрицателен.[8] 4.Хеджирование Хеджирование - термин, который используется в банковской, биржевой и коммерческой деятельности для обозначения различных методов страхования от возможного изменения иен (курсов) при заключении сделок, использование которых предусматривается в будущем. С помощью хеджирования можно устранить или уменьшить неопределенность будущих денежных потоков, что позволяет компании рассчитывать на определенную величину будущих поступлений. Хеджирование заключается в принятии на срочном рынке уравновешивающей контрактной позиции, противоположной той. с которой связан риск, с целью защиты от возможных убытков. Таким образом, под хеджем понимается транзакция, которая уменьшает риск произведенных инвестиций. В связи с этим следует заметить, что в современной практике финансового менеджмента трактовка хеджа имеет несколько более обширный характер и охватывает всю совокупность действий, направленных на устранение или уменьшение рисков, имеющих природу возникновения от внешних источников. Целью хеджирования является не извлечение дополнительной прибыли, а снижение риска потенциальных потерь. Поэтому, прибегая к хеджу, компании отказываются от возможности получения прибыли в случае благоприятного изменения рыночной ситуации (например, для производителей - роста цен на реализуемую продукцию, экспортеров - падение курса национальной валюты) в обмен на уменьшение (минимизацию) величины потенциальных потерь при неблагоприятном изменении внешней конъюнктуры. Совершая операции на срочном рынке, хеджер передает часть риска контрагенту; таким контрагентом может выступать другой хеджер, также снижающий свой риск, но занимающий противоположную позицию, или спекулянт, целью которого является извлечение прибыли из движения цен (игра на разнице цен). Хеджеры используют рынок срочных контрактов, чтобы застраховать себя от различных видов риска:
Перечисленные вилы финансовых рисков могут хеджироваться, в отличие от операционных рисков, связанных с производственной и рыночной активностью, которые не хеджируются из-за отсутствия соответствующих им рыночных инструментов. В общем случае, успешная деятельность компаний находится в зависимости от таких рыночных факторов, как процентные ставки, обменные курсы, цены товаров. Так. для производственных компаний источниками ценового риска являются нереализованные товарные запасы готовой продукции, будущий урожай, еще непроизведенная продукция, заключенные форвардные контракты и т.д. Считается, что компания подвержена ценовому риску, если:
Механизм хеджирования основан на параллельном движении спот-цены и фьючерсной цены, результатом которого является возможность возместить на срочном рынке убытки, понесенные на рынке реального товара. На самом деле цены не всегда одинаковы, однако предел колебаний примерно один. Изменчивость базиса влечет за собой остаточный риск, не устраняемый с помощью хеджирования. Именно в том случае, когда при закрытии контрактов возникает разница иен на спот и срочном рынках, прибыль и убытки по контрактам не уравновешивают друг друга, и хеджер может нести небольшие убытки или получить небольшую прибыль от движения иен. несмотря на предпринятые усилия по страхованию. Так в ситуации backwardation, когда цены спот выше цен на срок, выигрывает продавец, имеющий наличный товар. Таким образом, успешное хеджирование зависит от степени корреляции наличных и фьючерсных цен. Чем она выше, тем эффективнее хедж. Однако всегда существует риск, что негативное изменение наличных цен не будет компенсировано полностью изменением фьючерсных цен. Поэтому смысл хеджирования заключается в том. что хеджер заменяет этим базисным риском обычно гораздо больший риск наличия незащищенной позиции на наличном рынке. В качестве хеджируемого актива может выступать товар или финансовый актив, имеющийся в наличии или планируемый к приобретению или производству. Однако не всегда удается подобрать биржевой товар, точно соответствующий объекту реальной сделки. В этих случаях приходится проводить дополнительный анализ для того, чтобы выяснить, какой биржевой товар или. возможно, группа товаров, наилучшим образом подходят для хеджирования товарной позиции на реальном рынке. В некоторых случаях при изменении иен изменяются потенциальные объемы сбыта. При этом может возникнуть ситуация "недохеджирования" (объем хеджа меньше объема реальной позиции) или "перехеджирования" (объем хеджа больше объема реальной позиции). В обеих ситуациях риск увеличивается. Выходом является динамическое хеджирование, когда происходит постоянный анализ соответствия размера срочной позиции ситуации на реальном рынке и. если необходимо, изменение этого размера. Итак, инструмент хеджирования выбирается таким образом, чтобы неблагоприятные изменения цены хеджируемого актива или связанных с ним денежных потоков компенсировались изменением соответствующих параметров хеджирующего актива. В зависимости от формы организации торговли, все инструменты хеджирования можно разделить на биржевые и внебиржевые. Внебиржевые инструменты хеджирования - это. в первую очередь, форвардные контракты и свопы. Сделки этих типов заключаются напрямую между контрагентами или при посредничестве дилера (например, дилера по свопам). Биржевые инструменты хеджирования - это фьючерсы и опционы. Биржевые и внебиржевые инструменты хеджирования имеют свои достоинства и недостатки, которые кратко изложены в табл. 2. Выбор конкретных инструментов хеджирования должен осуществляться только после детального анализа потребностей бизнеса хеджера, экономической ситуации и перспектив отрасли, а также экономики в целом.
Основной недостаток внебиржевых производных инструментов заключается в затруднениях, возникающих при появлении необходимости закрыть позицию. Однако для них имеются и очевидные преимущества, иногда, правда, связанные с дополнительным риском: Совокупность конкретных инструментов хеджирования и способов их применения для уменьшения финансовых рисков составляют стратегию хеджирования. Существует два основных типа хеджирования: хедж покупателя и хедж продавца. Хедж покупателя используется в случаях, когда предприниматель планирует купить в будущем актив и стремится уменьшить риск, связанный с возможным ростом его цены. Базовыми способами хеджирования будущей цены приобретения товара является покупка на срочном рынке фьючерсного контракта, покупка опциона типа "колл" или продажа опциона типа "пут". Хедж продавца применяется в противоположной ситуации, т.е.. при необходимости ограничить риски, связанные с возможным снижением цены актива. Способами такого хеджирования являются продажа фьючерсного контракта, покупка опциона типа "пут" или продажа опциона типа "колл". Целью хеджирования является снижение ценового (процентного, валютного) риска. Однако при осуществлении операций хеджирования появляются другие виды риска, свойственные именно этой деятельности, например:
Кроме этого, хеджирование - изначально затратная деятельность, причем заключение срочных контрактов с целью хеджирования требует осуществления долгосрочных инвестиций. Для зашиты будущих доходов компаниям необходимо нести определенные издержки уже в настоящем времени. Поэтому принятие решения о целесообразности хеджирования того или иного риска должно быть основано на оценке величины потенциальных потерь, которые компания может понести в случае отказа от хеджа. Эффективная программа хеджирования не ставит целью полностью устранить риск: она разрабатывается для того, чтобы трансформировать риск из неприемлемых форм в приемлемые. Оптимальная для компании структура риска устанавливает компромисс между выгодами от хеджирования и его стоимостью. Если потенциальные потери несущественны (например, мало влияют на доходы фирмы), выгоды от хеджирования могут оказаться меньше, чем затраты на его осуществление: в этом случае компании лучше воздержаться от хеджирования. Хорошо построенная программа хеджирования
уменьшает как риск, так и затраты. Согласно самым обшим рекомендациям, выбранная стратегия хеджирования должна иметь следующие свойства: Эффективность же хеджирования может быть оценена только в контексте - бессмысленно говорить о доходности или убытках операций хеджирования в отрыве от основной деятельности компаний на спот-рынке.[2,3] Заключение. При нормальном уровне развития финансовой системы страны объем рынков производных инструментов значительно превышает объем рынков базовых активов. Срочный рынок является наиболее интересным, слабо регулируемым ввиду своей динамичности) и быстроразвивающимся сектором финансового рынка. Инструменты, используемые на срочном рынке, кроме участия в операциях, преумножающих капитал, призваны увеличивать скорость оборота финансовых вложений, страховать ответственность и риски участников. Таких целей очень трудно достичь при больших сроках банковских расчетов, жестком контроле со стороны государства над операциями участников, высоком налоговом бремени (когда налогом облагается каждая сделка),значительных трудностях (из-за длительности сроков) привлечения к ответственности участников рынка. До кардинального изменения экономической и политической ситуации в нашей стране срочный рынок не имеет больших перспектив развития. СПИСОК ИСПОЛЬЗОВАННОЙ ЛИТЕРАТУРЫ 1. Рынок ценных бумаг: Учебник/Под ред. В. А. Галанова, А. И. Басова. — 2-е изд., перераб. и доп. — М.: Финансы и статистика, 2006. 2. Рынок ценных бумаг и производных финансовых инструментов:Буренин А.Н. –М.:1 Федеративная книготорговая компания,1998. 3. http://www.forex2.info/: «производные ценные бумаги, хеджирование» 4. http://ru.wikipedia.org/wiki/: «Ценная бумага» 5. http://www.sec.mbirzha.ru/: «Производные ценные бумаги» 6. http://www.elitarium.ru/: «Виды производных ценных бумаг» 7. http://slovari.yandex.ru/~книги/: «Своп» 8. http://www.finance-economy.ru/2009/11/: «Определение стоимости и доходности производных ценных бумаг» |





