Дипломная работа: Имущество предприятия его анализ и проблемы эффективного использования

Название: Имущество предприятия его анализ и проблемы эффективного использования
Раздел: Рефераты по экономике
Тип: дипломная работа

Имущество предприятия, его анализ и проблемы эффективного использования

Введение

В условиях Российской Федерации переход к рынку сопровождается для многих предприятий попаданием в зону хозяйственной неопределенности и повышенного риска, так как именно имущество дает гарантию независимости и надежности предприятия. Большинство хозяйствующих субъектов стало перед необходимостью объективной оценки своих активов. Одним из важнейших критериев оценки деятельности любого предприятия, имеющего своей целью получение прибыли, является эффективность использования имущества и раскрытие имущественного потенциала. Вне зависимости от организационно-правовых видов и форм собственности источниками формирования имущества любого предприятия являются собственные и заемные средства. Это основной источник пополнения средств предприятия.

Объектом исследования является состояние имущества ЗАО Абаканский туристический комплекс “Дружба”. Инструментам изучения объекта является общий факторный финансовый анализ. Цель дипломной работы: проанализировать состав имущества предприятия с точки зрения эффективности его использования для выявления его имущественного потенциала; провести планирование себестоимости туристских услуг на 2000 год.

Задачи анализа имущества:

· изучить теоретические основы анализа имущества предприятия;

· провести анализ внеоборотных активов с точки зрения более рационального его использования;

· проанализировать состояние оборотных средств и выявить резервы повышения эффективности их использования;

· выявить имущественный потенциал предприятия;

· разработать эффективную затратную политику по основному виду деятельности.

Дипломная работа состоит из 3-х глав.

I глава — теоретическая — содержит:

· анализ эффективности использования имущества;

· анализ иммобилизованных внеоборотных активов;

· анализ текущих оборотных активов.

II глава – практическая — содержит:

· состав и структура внеоборотных активов;

· состав оборотных активов и их оборачиваемость;

· состояние дебиторской задолженности.

В III главе содержатся рекомендации и выводы.

Глава 1. Теоретические основы анализа имущества предприятия

1.1. Анализ эффективного использования имущества

Анализ буквально означает расчленение, разложение изучаемого объекта на части, элементы, на внутренние присущие этому объекту составляющие. Анализ — важнейший инструмент воздействия на повышение эффективности использования имущества, приведения в действие резервов роста производительности труда, повышения качества продукции, услуг, снижения себестоимости, улучшения всех показателей производственно-хозяйственной деятельности предприятия.

На современном этапе развития народного хозяйства технические, экономические и социальные процессы тесно взаимосвязаны, взаимозависимы. Установление взаимосвязей, взаимозависимостей — наиболее важный момент анализа. Причинная связь опосредует все хозяйственные факты, явления, ситуации, процессы. Один и тот же фактор, будучи причиной одного явления, часто выступает следствием другого. Выявление таких причинно следственных связей, степени из взаимного влияния на деятельность предприятия служит факторный анализ.

Факторный анализ позволяет выделить влияние тех или иных факторов на имущественный потенциал предприятия, развития социально-экономических технических процессов. Технические приемы анализа позволяют облегчить и ускорить аналитическую работу по оценки имущества и обеспечивают рассмотрение различных факторов влияющих на деятельность предприятия во взаимосвязи. Выбор технических приемов определяется целью анализа и характером используемых источников.

Деятельность предприятия многогранна и характеризуется различными показателями. Результативность деятельности предприятия может оцениваться с помощью абсолютных и относительных показателей. Так, с помощью показателей первой группы можно проанализировать динамику показателей прибыли (балансовой, чистой, нераспределенной) за ряд лет. Вторая группа показателей практически не подвержена влиянию инфляции представляет собой различные соотношения прибыли и вложенного капитала (собственного, заемного). Экономический смысл значений указанных показателей (их принято называть рентабельности) состоит в том, что они характеризуют прибыль, полученную с каждого рубля средств, вложенных в предприятие. Анализируемые показатели необходимо организовать в таблицах, графиках, диаграммах, показывающих их динамику за определенные периоды, зависимость плановых и фактических данных.

В настоящее время возникла необходимость в анализе стоимости предприятия и объектов недвижимости. Оценка имущества предприятий имеет очень широкую область применения. Это приватизация государственной и муниципальной собственности, акционирование, сдача имущества в аренду и необходимость обоснования арендной платы при лизинговых операциях, продажа имущества всех форм собственности юридическим, российским, иностранным лицам, определения базы для налогообложения, определения уставного фонда, при акционировании или создании совместных предприятий, подготовка бизнес-плана развития и анализ производственной деятельности предприятия, страхование имущества и другие операции.

Во всех перечисленных операциях фигурирует понятие — имущества предприятия. Имущество предприятия — это то, чем оно владеет: основной капитал и оборотный капитал, выраженное в денежной форме и отраженное в самостоятельном балансе предприятия. В процессе анализа может быть использована такая классификация имущества по категориям риска:

· минимальный риск — наличные денежные средства, легко реализуемые краткосрочные ценные бумаги;

· малый риск — дебиторская задолженность предприятия с устойчивым финансовым положением, запасы товаров материальной ценности, готовая продукция, пользующаяся спросом;

· средний риск — продукция производственно-технического назначения, незавершенное производство, расходы будущих периодов;

· высокий риск — дебиторские задолженности предприятий, находящихся в тяжелом финансовом положении, запасы готовой продукции, вышедшей из употребления, неликвиды.

Наиболее простая и доступная следующая классификация имущества (активов):

· текущие оборотные мобильные:

- оборотные средства;

- затраты;

- запасы;

- денежные средства;

- готовая продукция;

- дебиторская задолженность;

- расходы будущих периодов;

· иммобилизованные внеоборотные активы:

- основные фонды;

- нематериальные активы;

- краткосрочные вложения.

В промышленно развитых странах сложилось несколько подходов к оценке имущества предприятий. Первый подход — имущественный. В его основе лежит оценка составляющих элементов имущества. Второй подход включает в себя не только оценку имущественных элементов, но и предприятие в целом как единой функционирующий комплекс. Наиболее простым и доступным методом оценки имущества предприятия является имущественный подход, с помощью которого можно определить стоимость имущества.

Более точно можно рассчитать стоимость имущества по величине нетто-активов, но с применением инфляционного баланса. Инфляционный баланс составляется по данным переоценки материальных активов предприятия. Техника этого метода заключается в определении стоимости имущества предприятия как суммы стоимости основных средств — нетто (Ан ) и оборотных средств, финансируемых из собственных источников, скорректированных на уровень инфляции (Аи ) С=Ан и . Этот метод оценки имущества предприятия на основе нетто-активов в наибольшей мере подвергается критике с позиции теории и связи с его обобщенностью и упрощенностью, но одновременно чаще всего применяется на практике.

Наиболее точной, по мнению практиков, считается оценка предприятий по методу внутренней стоимости. В этом случае имущество разделяется на группы — основной капитал, запасы, денежные активы и пассивы. В свою очередь группы подразделяются на подгруппы — оборудование, векселя, акции и т. д. На основании полученных оценок проводится экономический анализ эффективности использования имущества, главным образом его рентабельности, что дает ключ к определению финансовых возможностей предприятия.

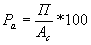
Существует и используется система показателей эффективности деятельности, среди них коэффициент рентабельности активов (имущества): , где Ра — коэффициент рентабельности активов (имущества); П — прибыль в распоряжении предприятия (фр. № 2); Ас — средняя величина активов. Этот коэффициент показывает, какую прибыль получает предприятие с каждого рубля, вложенного в активы.

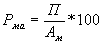
В аналитических целях определяется как рентабельность всей совокупности активов, так и рентабельность текущих активов: , где Рма — рентабельность текущих активов; Ам — средняя величина текущих активов (расчетно по данным баланса).

Необходимо отметить, что анализ расчетных коэффициентов рентабельности имеет практическую полезность лишь в том случае, если полученные показатели сопоставляются с данными предыдущих лет или аналогичными допустимой величине того или иного показателя рентабельности в нашей стране не публикуется, единственной базой для сравнения является информация о величине показателей за предыдущие годы. Существует взаимосвязь между показателями рентабельности имущества, оборачиваемостью активов и рентабельности реализованной продукции, которая может быть представлена в виде формулы: , где Оа — оборачиваемость активов; Р — рентабельность реализованной продукции.

, где В — выручка от реализации.

Иными словами, прибыль предприятия, полученная с каждого рубля средств, вложенных в активы, зависит от скорости оборачиваемости средств и от того, какова доля чистой прибыли в выручке от реализации. Оборачиваемость активов от объема реализации и средней величины активов.

1.2. Анализ иммобилизованных внеоборотных активов с точки зрения рационального его использования

Основные средства и нематериальные активы относятся к наименее ликвидному имуществу предприятия, используемому в его хозяйственной деятельности длительное время, в течение которого оно переносит свою стоимость на готовый продукт, услугу. Нематериальные активы представляют собой долгосрочные вложения средств, не имеющие какой-либо натурально-вещественной формы. К нематериальным активам относят стоимость имущественных прав на изобретения и другие объекты интеллектуальной собственности (авторские права патенты, лицензии, ноу-хау).

Анализ использования внеоборотных активов является активным средством воздействия на эффективность производства. При анализе устанавливают зависимость результатов от величины затрат и степени использования ресурсов, выявляют закономерности изменения эффективности использования внеоборотных активов. Основными задачами анализа внеоборотных активов является:

· анализ состава нематериальных активов;

· анализ долгосрочных финансовых вложений;

· изучение состава, структуры движения основных средств;

· определение степени их использования;

· разработка мероприятий по повышению эффективности, и улучшения использования основных фондов.

Основным направлением деятельности предприятия являются достижения наилучших результатов при наименьших затратах. Успешному осуществлению этой задачи во многом способствует эффективное использование внеоборотных активов.

Состав, структура и движение основных фондов

Для оценки структуры основных фондов существует деление их на активную часть, неопределенно участвующую в производственном процессе, и пассивную часть, с помощью которой обеспечивается нормальное функционирование активных основных фондов. Увеличение удельного веса активной части основных фондов и соответственно уменьшение доли из пассивной части являются важным фактором роста эффективности производственной деятельности.

Анализ состава и движения основных фондов осуществляется по данным годового отчета (форма № 11 “О наличии и движения основных фондов и амортизационного фонда”). В отчете содержатся данные, характеризующие наличие, состав и движение основных фондов по их полной первоначальной стоимости.

Оценка состояния основных фондов определяется коэффициентом их изношенности, характеризующем техническое состояние основных фондов. Если повышается коэффициент износа, то это свидетельствует о том, что качественные состояния основных фондов снижается и они не достаточно обновляются, показатель износа исчисляется как на начале, так и на конце отчетного периода по следующей формуле: , где И — сумма износа фондов; С — первоначальная стоимость.

Физическое состояние основных фондов характеризуется показатели их годности. Этот показатель исчисляется путем вычитания из 100 % износа. Коэффициент износа основных фондов дает возможность определять их техническое состояние и разработать мероприятие по их обновлению. Коэффициент обновления можно рассчитать по формуле: , где С0 — стоимость основных фондов, введенных в эксплуатацию в течении года; С1 — стоимость основных фондов на конец года.

Для полной характеристики степени обновления основных фондов исчисляют коэффициент по каждому виду и производят сравнения коэффициентов обновления за несколько лет. Движения основных фондов можно определить с помощью коэффициента выбытия, он равен: , где Свыб — выбывшие за отчетный год основные фонды, С — стоимость основных фондов на конец года.

Анализ эффективности использования фондов

Экономическая эффективность использования основных фондов характеризуется долей амортизации. Но, анализируя этот показатель, надо иметь в виду особенности его формирования. С ростом и совершенствованием техники сумма ежегодной амортизации также возрастает, увеличивается их доля с собственности продукции, услуг. Но поскольку увеличивается выпуск продукции, изготовленной на более производительном оборудовании, то сумма амортизации стоимости единицы изделия обычно уменьшаются. Экономия на амортизации особенно ощутима при перевыполнении, при постоянной величине основных фондов.

Важнейшими показателями использования основных фондов является фондоотдача, фондоемкость, фондовооруженность. Фондоотдача Ф0 — наиболее обобщающая стоимостной показатель, представляющий собой отношения объема производственной продукции (П) к среднегодовой стоимости основных фондов: , где Фемк — показатель обратной фондоотдачи.

Фондоемкость определяется отношением среднегодовой стоимости основных фондов (Ф) к стоимости выпускаемой продукции (П) и характеризует величину участия фондов в производстве единицы продукции: . Фондовооруженность труда Фв определяется отношением среднегодовой стоимости основных (Ф) фондов к числу работающих в наибольшую смену (Ч). Она отражает степень обеспеченности рабочих средствами труда (основными фондами): . Чтобы проследить взаимосвязь между показателями фондоотдачи, фондовооруженности и производительности труда, необходимо преобразовать формулу фондоотдачи: числитель и знаменатель разделить на численность рабочих в наибольшую смену: , где Ф — средняя стоимость основных фондов; П — объем продукции; Ч — число рабочих; Пт — производительность труда.

Таким образом, фондоотдачу можно представить в виде частного отделения производительности труда на фондовооруженность, следовательно, фондоотдача прямо пропорциональна производительности труда и обратно пропорционально его фондовооруженности. Поэтому для повышения фондоотдачи необходимо, чтобы темпы производительности труда опережали темпы роста фондовооруженности.

Рассмотрим как определяется влияние использование основных фондов на объем продукции двумя методами. За базу сравнения может быть принят предшествующий период. Здесь используется:

· Метод цепных подстановок: а) влияние изменения величины фондов () – и б) влияние изменения фондоотдачи () – . Сумма влияния факторов составит а) + б).

· Интегральный метод факторного анализа: а) влияние изменения величины фондов () – и б) влияние изменения фондоотдачи () – . Сумма влияния факторов равна а) + б).

Улучшение фондоотдачи следствие лучшего использования основных фондов можно рассчитать по следующей формуле: , где N — продукция; F — среднегодовая величина основных фондов; — фондоотдача.

Улучшение использования внешних активов на предприятии можно достигнуть путем:

· освобождения предприятий от излишнего оборудования, машин, др. ОС или сдачи их в аренду;

· своевременного и качественного проведения планово-предупредительных и капитальных ремонтов;

· приобретение высококачественных ОС;

· повышения уровня квалификации обслуживающего персонала;

· своевременного обновления, особенно актив. части, ОС с целью чрезмерного морального и физического износа;

· улучшение качества;

· повышения уровня механизации и автоматизации производства;

· внедрение новой техники и прогрессивной технологии энерго- и топливосберегающей;

· сдача свободных помещений в аренду юридическим лицам.

1.3. Анализ текущих оборотных мобильных активов

Финансовое положение предприятия находится в непосредственной зависимости от того, насколько быстро средство, вложенное в активы, превращаются в реальные деньги. Так, наибольший период оборота имеет недвижимое имущество и прочие внеоборотные активы (основные средства, нематериальные активы и др.), представляющие собой средства, предназначенные для долгосрочного использования предприятием. Все остальные активы, называемые текущие оборотные мобильные, будучи предназначенными для реализации или потребления, могут неоднократно менять свою формулу (материально-вещественную на денежную, и наоборот) в течение одного операционного цикла предприятия.

Первоначально при создании предприятия оборотные средства формировались как часть его уставного капитала. Они направляются на приобретение производственных запасов, поступающих для изготовления продукции. Готовая продукция поступает на склад и отгружается ее потребителям. До момента ее оплаты производитель испытывает потребность в денежных средствах. Величина этой потребности зависит не только от объема вложенных средств, но и от размера предстоящих расчетов, она может колебаться в течении года по разным причинам, по этому предприятия, организации и другие источники формирования оборотных средств — устойчивые пассивы, кредиторскую задолженность, прибыль, амортизационный фонд.

В качестве оборотных средств они используют устойчивые пассивы, которые приравниваются к собственным источникам, так как постоянно находится в обороте предприятия, используются для финансирования его хозяйственной деятельности, но ему не принадлежащие. К устойчивым пассивам относятся:

· минимальная переходящая задолженность по заработной плате и отчислениям на социальное страхование в пенсионный фонд, медицинское страхование, фонд занятости;

· минимальная задолженность по резервам на покрытие предстоящих расходов и платежей;

· задолженность заказчикам по авансам и частичной оплате продукции;

· задолженность бюджету по некоторым видам налогов;

· временно неиспользуемые остатки фондов специального назначения, образованные за счет прибыли.

Основные задачи анализа оборотных средств заключаются в определении обеспеченности предприятия собственными оборотными средствами, оборачиваемости оборотных средств, состояние дебиторской задолженности.

Определение потребности предприятия в оборотных средствах

Определение потребности в оборотных средствах определяется в процессе нормирования. Целью нормирования является определение рационального размера оборотных средств отвлекаемых на определенный срок в сферу производства и сферу обращения.

Потребность в оборотных средствах для каждого предприятия определяется при составлении финансового плана. Оборотные средства — это авансированная стоимость для планомерного образования основных производственных фондов и фондов обогащения в размерах необходимых предприятию для осуществления бесперебойного процесса.

Расчет потребности в собственных оборотных средствах

Потребность в собственных = запасы + НДС + дебиторская + кредиторская задолженность оборотных средств. Обобщающим показателем эффективности использования оборотных средств предприятия служит их оборачиваемость. Ускорение оборачиваемости оборотных средств способствует снижению себестоимости продукции, росту денежных накоплений и повышению рентабельности производства.

В общем случае скорость оборота активов предприятия принято рассчитывать с помощью формулы: . Информация о величине выручки (включая прочую реализацию) берется из данных ф. № 2 “отчет о прибылях и убытках”.

Средняя величина активов по данным баланса определяется по формуле: , где ОН , ОК — соответственно величина активов на начало и конец периода. Более точный расчет средней величины активов будет получен в случае использования ежемесячных данных о состоянии активов. Тогда величина активов определяется по формуле: , где Оn — величина активов в предыдущем месяце. Затем определяется продолжительность одного оборота в днях: . Чем выше коэффициент оборачиваемости и чем короче продолжительность одного полного оборота оборотных активов, тем эффективнее они используются.

Основными факторами, влияющие на величину и скорость оборотных средств являются:

· масштаб деятельности предприятия (малый бизнес);

· характер бизнеса или деятельности, то есть отраслевая принадлежность предприятия (туризм);

· количество и разнообразие потребляемых видов ресурсов;

· география потребителей продукции, услуг;

· система расчетов за услуги;

· платежеспособность клиентов;

· качество банковского обслуживания;

· темпы роста реализации услуг, продукции;

· доля добавленной стоимости в цене услуг, продукции;

· учетная политика общества;

· инфляция;

· квалификация менеджеров.

Анализ дебиторской задолженности

При анализе текущих активов особенного дебиторской задолженности следует иметь в виду, что в условиях инфляции (а сегодня наша экономика вступила в период гиперинфляции) всякая отсрочка платежа приведет к тому, что предприятие реально получит лишь часть стоимости реализованной продукции. Отсюда роль и значение этого раздела анализа для жизнедеятельности любого предприятия. Техника анализа состоит в следующем: падение покупательной способности денег за период характеризуется с помощью коэффициента Кu , обратного величине индекса цен. Если установленная договором сумма к получению составляет величину S, а динамика цен характеризуется индексом Iy , то реальная сумма денег с учетом их покупательной способности в момент оплаты составит: . Существуют некоторые общие реализации позволяющие управлять дебиторской задолженностью:

· контролировать состояние расчетов с покупателями по отсроченными (просроченными) задолженностям;

· по ведомости ориентироваться на большее число покупателей с целью уменьшения риска неуплаты одним или несколькими крупными покупателями;

· следить за соотношением дебиторской и кредиторской задолженности (значительное превышение дебиторской задолженности создает утраты финансовой устойчивости предприятия);

· использовать способ предоставления скидок при достаточной оплате.

Для снижения затрат большое значение имеет бухучет и анализ по центрам затрат. Центр затрат — это объект отношения затрат, где аккумулируются затраты, связанные с одной или несколькими функциями. Анализ отчетных данных по центрам затрат позволяет сделать заключения о том, на сколько высоки издержки и чем это вызвано. В себестоимость продукции (работ, услуг) включается:

· затраты, непосредственно связанные с производством продукции (работ, услуг), обусловленные технологией и организацией производства, включая материальные затраты и расходы на оплату труда работников, занятых производством продукции, выполнением работ и оказанием услуг;

· затраты на обслуживание производственного процесса по обеспечению производства сырьем, топливом, энергией, инструментом, приспособлениями и другими средствами и предметами труда;

· по обеспечению выполнения санитарно-гигиенических требований, включая затраты на содержание помещений и инвентаря, предоставляемых организациям медицинским учреждениям для создания медицинских пунктов непосредственно чистоты и порядка.

Снижение себестоимости продукции, услуг является важнейшим фактором развития экономики предприятия. Под себестоимостью услуги понимаются выраженные в денежной форме затраты всех видов ресурсов: основных фондов, топлива, материалов, энергии, труда, природного сырья используемых непосредственно в процессе изготовления продукции и оказание услуг, а также для сохранения и улучшения условий производства, реализации, его совершенствования.

Анализ себестоимости услуги направлен на выявление возможностей повышения эффективности использования материальных, трудовых и денежных ресурсов в процессе производства, снабжении и сбыта продукции, услуг с помощью факторного индексного анализа, который позволяет:

· оценивать влияние каждого фактора на изменение результативного показателя;

· оценить, каково отношение величины прироста (снижения), вызванного изменением каждого фактора к величине результативного показателя за базисный период;

· определить долю прироста (снижения), вызванного изменением каждого фактора, в общем приросте (снижении) результативного показателя можно проанализировать затраты.

Обозначим фактор “коэффициент затрат” через “a”, фактор “рентабельности затрат” — через “b”. Влияние изменения коэффициента затрат на изменения коэффициента прибыльности равно: (a1 -a0 ) *b1 . На коэффициент затрат влияют коэффициенты управленческих и коммерческих расходов. Для анализа этих показателей на изменения коэффициента затрат может быть использована следующая мультипликативная модель: , где Z — себестоимость продукции; BP — чистая выручка от реализации; PY — управленческие расходы; KP — коммерческие расходы.

Анализ самой емкой статьи затрат “Хозяйственные расходы” показывает, что основная доля расходов приходится на условно-постоянные и не зависит от объема выполненных услуг (амортизация, износ МБП, отопления, заработная плата и отчисления заработной платы).

Можно просчитать удорожания себестоимости за счет условно-постоянных затрат: Остальные статьи, затрат являются переменными и зависят от общего процента загрузки предприятия.

Таблица 1.

Амортизация основных средств пропорционально сумме чисел лет (арифметически-дегрессивная).

Год Стоимость на начало Сумма амортизации Стоимость на конец
1 30008 10002,6 20005
2 2005,4 8002,1 12003,3
3 12003,3 6001,6 6001,6
4 6001,6 4001 2000,7
5 2000,7 2000,7 0

Сумма амортизации составила 10 тыс. руб., а линейным способом равна 9 тыс. руб.: из этого следует, что рациональным является линейный метод начисления.

Таблица 2.

Оценка расходов запасов т/к “Дружба”.

Метод LIFA 40*120+20*240+40*360=24000
Метод FIFA 50*120+20*240+30*360=21600
Метод средней себестоимости (20*120+30*120+20*240+40*360) /110*100=22909

При применении метода FIFA расход составил 21600 руб.

Глава 3. Разработка эффективной затратной политики

Для предприятий туристского бизнеса, работающих в условиях рыночной экономики, часто имеют место экономические ситуации, связанные с колебанием спроса на отдельные туры по причинам сезонности и другим. Это влечет за собой изменение объемов производства туристских услуг и их продаж, что, в свою очередь, существенно влияет на себестоимость услуг и финансовые результаты тур фирмы.

Так как т/к “Дружба” несет убытки, а связано это с высокой себестоимостью, предлагается эффективная затратная политика, которая содержит:

· расчет себестоимости способом “директ-костинг”;

· выявление резервов экономии затрат;

· возможности по снижению величины и уровня себестоимости продукции, услуг;

· контроль за состоянием и характером изменений фактической себестоимости.

В России, к сожалению, туризм все еще не воспринимается как полноправная отрасль народного хозяйства. Нет ни одного отраслевого периодического научного издания. На государственном уровне в настоящее время проблемами туризма занимается госкомитет по физкультуре и туризму. Вообще понятие “туризм” чаще ассоциируется в России со спортом и укрепление здоровья, чем с отраслью экономики, приносящей значительные доходы, в том числе и в твердой валюте. Следует отметить и те положительные сдвиги, которые произошли в туризме и государственной политике в данной области за последние годы. Во-первых, это несомненный прорыв в правовое регулирование туристской деятельности:

· важным принципиальным моментом является принятие Федерального закона “Об основах туристской деятельности в Российской Федерации” (принят государственной Думой 4 октября 1996 года). Этот закон важен прежде всего в том смысле, что государство признает туризм одной из приоритетных отраслей экономики Российской Федерации и публично определяет основные принципы, цели и направления государственного регулирования туристской деятельности;

· правительство города Москвы также объявило приоритетной туристскую деятельность на территории города и гарантировало налоговые льготы субъектам малого предпринимательства, развивающим свою деятельность в данном секторе экономики, что также необходимо провести подобную льготную политику на территории Республики Хакасии;

· без сомнения большую положительную роль в повышение качества работы туристских фирм сыграло постановление Правительства Российской Федерации от 21 декабря 1995 года “О лицензировании международной туристической деятельности”. Лицензирование выполняет функцию своего рода сита, отсеивающего хотя бы часть фирм авантюристов, живущих одним днем и не заинтересованных в длительной работе на рынке туризма.

Во-вторых, безусловно положительным фактором развития российского рынка туризма является растущее число и влияние объединений туроператоров и турагентств. Наряду с такими известными объединениями, как РАТА (Российская ассоциация турагентств) и НТА (Национальная туристическая ассоциация). За последние годы сформировалось множество суботраслевых объединений в сфере туризма, например, Российская ассоциация социального туризма, Телевизионная ассоциация туристов. Можно предложить и нашим хакасским туристическим фирмам объединиться в единое целое. Будет больше капитала, больше возможности для дальнейшего роста и развития на международном туристском рынке. Ведь Республика Хакасия имеет прекрасную природную среду, незатронутые уголки природы, тайгу и горы, все это необходимо для перспективы в сфере туризма.

В-третьих, заметно активизировался рынок образовательных услуг для сферы туризма. Сегодня образование по специальности “менеджер туризма” можно получить как в целом ряде государственных вузов, так и в частных средних и высших учебных заведениях.

В последние десятилетия произошли существенные количественные и качественные изменения в спросе на туристские услуги. В целом этот период можно охарактеризовать как экспансию туризма, сопровождающуюся решением объема спроса. Приведу некоторые количественные показатели:

· число путешествий, предпринятых гражданами Хакасии с целью отдыха увеличилось с 1990 по 1999 гг. в 2 раза: 1990 г. — 80 тыс., 1999 г. — 160 тыс.;

· количество ночевок туристов в Хакасии с 1990 по 1999 гг. возросло с 20 до 67 тыс.;

· интенсивность туризма возросла: 1990 г. — 76 %, 1999 г. — 83 %;

· расходы на туризм составили в 1990 г. — 200 руб., 1999 г. — 1000 руб.

Цифры свидетельствуют, что в Хакасии число ночевок с 1990 по 1999 гг. возросло с 20 до 67 тыс., то есть в 3,3 раза. О замедлении роста в 1990-е годы сигнализирует такой показатель, как интенсивность туризма по Хакасии увеличилось с 76 % до 83 %, всего на 7 %.

Одним из путей выхода туристского комплекса “Дружба” из кризиса является оптимизация производственного процесса пути кооперации — горизонтального интегрирования предприятий, например, в форме делегирования независимыми предприятиями части своих хозяйствующих функций учрежденному ими центральному органу-союзу, объединению. Предприятия-учредители сохраняют свою самостоятельность и свободу предпринимательской деятельности. Среди возможных форм кооперации в гостиничном хозяйстве можно назвать следующие:

· обмен опытом;

· исследование рынка;

· реклама;

· инвестиционная деятельность;

· подготовка и переподготовка кадров;

· централизованное снабжение и сбыт;

· создание единых автоматизированных систем бронирования мест.

3.1. Анализ себестоимости продукции, услуг

Краткая характеристика предприятия ЗАО Абаканский т/к “Дружба”.

1. Основной вид деятельности — туризм (имеется лицензия на международный туризм).

2. Предприятие реализуется сформированные им туристско-экскурсионные путевки через сеть турагентств, а также непосредственно населению.

3. Среднесписочная численность работающих — 128 чел.

4. Количество сформированных за год туристско-экскурсионных путевок — 25870 шт. в отчетном периоде в натуральных единицах.

5. Реализовано туристско-экскурсионных путевок в отчетном периоде в натуральных единицах — 20700 шт.

6. Выручка от реализации туристско-экскурсионных путевок — 3104658 руб. (без НДС).

7. Расходы основного производства по формированию туристско-экскурсионных путевок в 3275307 руб. отчетном периоде.

8. Общепроизводственные расходы в отчетном периоде — 1200000 руб.

9. Общехозяйственные периоде — 960000 руб.

На основе этих данных проводится сравнение между расчетом себестоимости туристско-экскурсионных путевок традиционным способом и способом “директ-костинг”.

Таблица 3.

Традиционным способом Способом “директ-костинг”
Прямые расходы = 3275307 руб. Условно-переменные расходы = 3275307+1200000=4475307 руб.
Косвенные расходы = 2160000 руб. Условно-постоянные расходы = 960000 руб.
Формирование полной себестоимости туристско-экскурсионных путевок отчетного периода = 3275307+2160000=5435307 руб. Формирование сокращенной себестоимости туристско-экскурсионных путевок отчетного периода = 4475307 руб.
Расчет себестоимости одной туристско-экскурсионной путевки отчетного периода = 5435307/25870=210 руб. (шт.) Расчет себестоимости одной туристско-экскурсионной путевки отчетного периода = 44675307/25870=173 руб. (шт.)

Таблица 4.

Расчет себестоимости туристско-экскурсионных путевок относимой на реализацию продукции в отчетном периоде.

Традиционным способом Способом “директ-костинг”
5435307/25870*20700=4349085 руб. 4475307/25870*20700=3580937 руб.

Таблица 5.

Расчет себестоимости туристско-экскурсионных путевок относимой на остаток готовой продукции на конец отчетного периода.

Традиционным способом Способом “директ-костинг”
5435307-4349085=1086222 руб. 4475307-3580937=894370 руб.

Таким образом, выбор предприятием т/к “Дружба” рассмотренных выше альтернативных способов учета позволит ему снизить себестоимость туристско-экскурсионных путевок.

Резервы снижения затрат

Если обратиться к строке 020 формы № 2 “Отчет о прибылях и убытках”, то можно констатировать, что себестоимость реализации продукции, услуг в целом по предприятию в сравнении с прошлым годом увеличилось в 1,8 раз. Необходимо провести анализ и выявить резервы снижения себестоимости (таблица 6).

Таблица 6.

Факторный анализ себестоимости туристских услуг за 1999 г.

Показатели Отчетный период, руб. Прошлый год, руб. Отклонение (+/-) Темп роста, %
1 2 3 4 5
Материальные затраты 496030 153997 +342033 3,2

Затраты на оплату труда

910807 1093075 -182268 0,8
Отчисления на социальные нужды 348812 371726 -22914 0,9
Амортизация основных средств 310404 358659 -48255 0,8
Прочие затраты 2936743 551701 +2385042 5,3
Итого: 4975796 2529158 +2446638

С помощью многофакторной модели определяется уровень издержек производства:

У структурных сдвигов = , где — (доли издержек).

У постоянного состава = .

У переменного состава = .

Таблица 7.

Показатель Затраты Доля
Отчетный период Прошлый год Отчетный период Прошлый год
1 2 3 4 5
Затраты на оплату труда, руб. 910807 1093075 0,58 0,6
Отчисления на социальные нужды, руб. 348812 371726 0,22 0,2
Амортизация основных средств, руб. 310404 358659 0,2 0,2
Итого: 1570023 1822860

Y стр. сдвигов= . В абсолютном выражении: руб.

Y пост. сост. = . В абсолютном выражении: руб.

Y перем. сдвигов= . В абсолютном выражении: руб.

Аналитическое исследование показало, что в отчетном периоде по сравнению с базисным в среднем снизилась себестоимость на 1,8 % из-за уменьшения доли отчислений на социальные нужды, что в абсолютном выражении составляет 14427 рублей. В среднем издержки производства в целом по предприятию уменьшились на 15,3 % из-за снижения затрат на оплату труда, что в абсолютном выражении равно 120407,5 рублей.

Увеличение обобщающего показателя не перекрывает более высоких издержек производства. В результате уменьшилась себестоимость тур-продукта на 17 %, что в абсолютном выражении составляет 134834,5 рублей.

Увеличение материальных затрат в абсолютном выражении не является резервом снижения себестоимости, так как выручка от реализации продукции, услуг увеличилась в 4,9 раза (4600232 рубля), а значит отдача от вложенных затрат также увеличится. Увеличение прочих затрат является источником резерва снижения производительности, так как их объем резко возрос в 5 раз.

3.2. Пути выхода из кризисной ситуации

На сегодняшний день т/к “Дружба” имеет очень большие затраты, связанные с эксплуатацией и содержанием здания Ресторана. Предлагается для снижения этих затрат изменить батарейное отопление в ресторане на бойлерную установку, что существенно уменьшит расходы (таблица 8).

Таблица 8.

Сравнительная характеристика замены старого Оборудования на бойлерную установку.

Затраты

Существующее

оборудование

Предполагаемое к приобретению

оборудование

1 2 3
Содержание оборудования 33000 15000
Энергия 25000 40000
Налоги и страхование 200000 150000
Общая итоговая сумма 258000 205000

Сравнения показывают, что при использовании предлагаемого приобретения оборудования получится годовая экономия производственных затрат в сумме 47 тысяч рублей. На данный момент т/к “Дружба” имеет свободные площади, которые можно использовать в качестве аренды. Также имеются складские помещения, не нашедшие своего применения. Общество полностью не использует возможности реального получения прибыли.

Так как это не только туристский комплекс, но и гостиница, необходим полный перечень услуг: химчистка, прачечная, фотосалон, ателье, спортивный зал, сауна, комната отдыха. Работа с юридическими лицами и предпринимателями должна приносить прибыли при заключении договора-аренды гостиничного номера для офиса. Нужно отработать некоторые нюансы:

· при краткосрочной аренде 1 м2 =84 рубля, гостиничный номер для офиса 13 м2 —1092 рубля, за три месяца прибыль составит 3276 рублей. В арендную плату не входит текущий ремонт арендуемого помещения;

· внести изменения в раздел IV “порядок расчетов” в пункт 2: коммунальные услуги, эксплуатационные расходы, центральное отопление оплачивает арендатор, и которые не входят в стоимость арендной платы;

· при долгосрочной аренде можно предоставлять скидки в размере 5 % за 1 м2 . Обществу выгодно иметь отношения с постоянными надежными клиентами, которые своевременно вносят плату за арендуемые помещения.

Структура поступлений от сдачи в аренду свободного помещения выглядит следующим образом:

· плата за предоставляемые номера — 2520 тыс. руб. в год;

· аренда офисов — 500 тыс. руб. в год;

· аренда складов (45 руб. 1 м2 ) — 70 тыс. руб. в год;

· дополнительные доходы за счет инициативных т/к “Дружба” видов бизнеса (ресторан, бар, бизнес-центр) — 1600 тыс. руб. в год.

Для уменьшения хозяйственных расходов предлагается начинать отопительный сезон не с 1 октября, а с 1 ноября и заканчивать подачу тепла 1 апреля (на примере гостиницы “Абакан”).

Используя среднюю хронологическую можно определить сколько т/к “Дружба” сэкономит:

X хрон = руб. (за ноябрь) Сэкономленные 16200 рублей будут расходованы на приобретение комплексной компьютерной системы.

Заключение

На основе рассмотренных выше данных можно дать такую оценку влияния факторов на финансовое состояние имущества т/к “Дружба”. За отчетный период имущество т/к “Дружба” увеличилось на 4319 тысяч рублей, составив в конце периода 36111 тысяч рублей. Данное изменение на 2,4 % обусловлено увеличением основных средств. В конце периода удельный вес основных средств в имуществе предприятия увеличился на 23 % и составил 85,7 %, а удельный вес запасов уменьшился на 0,3 %, составив 0,1 %. На 0,01 % уменьшился к концу отчетного периода удельный вес дебиторской задолженности, равнявшейся к концу периода 0,09 %.

Увеличение имущества т/к “Дружбы” на 4319 тысяч рублей было обеспечено ростом собственных средств на 11,7 %. Для эффективности использования имущества т/к “Дружба” предлагается эффективная затратная политика. Разработанная затратная политика содержит управление затратами и себестоимостью продукции, услуг т/к “Дружба”, она носит комплексный характер и предусматривает решение вопросов формирования издержек производства и себестоимости, выявление и практическое использование резервов экономии затрат и снижение себестоимости, осуществление контроля за состоянием и характером изменений фактической себестоимости. Снижение себестоимости является важнейшим фактором развития экономики предприятия. Расчет себестоимости туристских путевок способом “директ-костинг” позволит т/к “Дружба” снизить себестоимость путевок на 960 тыс. рублей.

Факторный анализ себестоимости туристских услуг за 1999 год показал, что увеличение материальных затрат в 3,2 раза не является резервом снижения себестоимости, так как выручка от реализации продукции, услуг тоже увеличилась в 4,9 раза, а значит отдача от вложенных затрат тоже увеличится. Увеличение прочих затрат является источником резервом снижения производительности, так как их объем резко возрос в 5 раз. Резервами снижения себестоимости являются затраты на оплату труда, отчисления на социальные нужды, амортизация основных средств. В результате уменьшится себестоимость турпродукта на 17 %.

Для уменьшения затрат, связанных с эксплуатацией и содержанием здания Ресторана, предлагается заменить батарейное отопление на бойлерную установку, что существенно уменьшит расходы на 47 тыс. рублей. На примере гостиницы “Абакан” можно предложить начинать отопительный сезон на месяц раньше и заканчивать подачу тепла на месяц позже. В результате т/к “Дружба” сэкономит за 2 месяца 32 тыс. рублей. На эти деньги т/к “Дружба” приобретет комплексную компьютерную систему.

Все вышеперечисленные мероприятия помогут т/к “Дружба” финансово-хозяйственную деятельность. Сохраняется перспектива развития внутреннего и въездного туризма в Хакасию с привлечением клиентов ближайших регионов и из-за рубежа.

Библиографический список

1. Постановление Правительства РФ от 01.06.95 г. № 661 «О внесении изменений и дополнений в Положение о составе затрат по производству и реализации продукции (работ, услуг) включаемых в себестоимость продукции (работ, услуг), и о порядке формирования финансовых результатов, учитываемых при налогообложении прибыли».

2. Анализ хозяйственной деятельности предприятий пищевой промышленности / Под ред. Салопенко М. И. — М.: Агропромиздат, 1988.

3. Анализ хозяйственной деятельности / Под ред. Белобжедский И. А., Белобородова В. А. — М.: Финансы и статистика, 1985.

4. Артеминко В. Г., Беллендир М. В. Финансовый анализ. — М.: ДИС, НГАЭиУ, 1997.

5. Баканов М. И., Шеремет А. Д. Теория экономического анализа. — М.: Финансы и статистика, 1996.

6. Белобжедский И. А. Имущество предприятия: учет и аудит // Бухгалтерский учет. 1993. № 6.

7. Ветров А. А. Баланс: Оценка хозяйственного потенциала предприятия // Бухгалтерский учет. 1992. № 6.

8. Гостиничный и туристический бизнес / Под ред. Чудновского А. Д. — М.: Тандем, 1999.

9. Деркач Д. И. Анализ производственно-хозяйственной деятельности предприятий. — М.: Статистика, 1975.

10. Ефимова О. В. Как анализировать финансовое положение предприятия. — М.: Бизнес-школа, 1994.

11. Ефимова О. В. Анализ финансовой устойчивости // Бухгалтерский учет. 1993. № 9.

12. Ефимова О. В. Анализ оборачиваемости текущих активов // Бухгалтерский учет. 1993. № 11.

13. Ефимова О. В. Анализ финансовых результатов и эффективности использования имущества // Бухгалтерский учет. 1994. № 1.

14. Иминдер Д. И. Анализ хозяйственной деятельности в общественном питании. — М.: Экономика, 1985.

15. Ильянкова С. Д., Ильянкова Е. Д. Факторный индексный анализ финансовых показателей фирмы // Финансы. 1998. № 7.

16. Котов А. И. Оценка имущества предприятий // Бухгалтерский учет. 1995. № 8.

17. Методика экономического анализа деятельности производственного объединения / Под ред. Бужинского А. И., Шеремет А. Д. — М.: Финансы, 1978.

18. Методика экономического объединения / Под ред. Емельянова С. А., Миненко Н. Д. — М., 1978.

19. Морозова Т. В. Методы оценки имущества предприятия // Бухгалтерский учет. 1995. № 3.

20. Ришар Ж. Аудит и анализ хозяйственной деятельности предприятия. — М.: Аудит, ЮНИТИ, 1997.

21. Рыбина В. И. Анализ хозяйственно-финансовой деятельности предприятий и объединений. — М.: Финансы, 1980.

22. Рябикин В. И., Куприенко А. Н. Оценка и учет имущества приватизируемых предприятий в условиях инфляции // Бухгалтерский учет. 1992. № 7.

23. Севрук М. А. Экономический анализ в условиях самостоятельности предприятий. — М.: Финансы и статистика, 1989.

24. Шеремет А. Д., Сайфулин Р. С. Методика финансового анализа. — М.: ИНФРА-М, 1996.

25. Экономический анализ деятельности промышленных предприятий и объединений. — М.: Мысль, 1980.

26. Экономический анализ хозяйственной деятельности предприятий и объединений / Под ред. Барнгольц С. Б., Тация Г. М. — М.: Финансы и статистика, 1986.

27. Янкин В. Г. Финансово-хозяйственная деятельность предприятий: Методика анализа. — М.: Финансы и статистика, 1986.