Реферат: Финансовое планирование на предприятии 13
|
Название: Финансовое планирование на предприятии 13 Раздел: Рефераты по финансам Тип: реферат | |||||||||||||||||||||||||||||||||||||||||||||||||||||||||||||||||||||||||||||||||||||||||||||||||||||||||||||||||||||||||||||||||||||||||||||||||||||||||||||||||||||||||||||||||||||||||||||||||||||||||||||||||||||||||||||||||||||||||||||||||||||||||||||||||||||||||||||||||||||||||||||||||||||||||||||||||||||||||||||||||||||||||||||||||||||||||||||||||||||||||||||||||||||||||||||||||||||||||||||||||||||||||||||||||||||||||||||||||||||||||||||||||||||||||||||||||||||||||||||||||||||||||||||||||||||||||||||||||||||||||||||||||||||||||||||||||||||||||||||||||||||||||||||||||||||||||||||||||||||||||||||||||||||||||||||||||||||||||||||||||||||||||||||||||||||||||||||||||||||||||||||||||||||||||||||||||||||||||||||||||||||||||||||||||||||||||||||||||||||||||||||||||||||||||||||||||||||||||||||||||||||||||||||||||||||||||||||||||||||||||||||||||||||||||||||||||||||||||||||||||||||||||||||||||||||||||||||||||||||||||||||||||||||||||||||||||||||||||||||||||||||||||||||||||||||||||||||||||||||||
| Содержание Введение......................................................................................................................3 ГЛАВА 1. Планирование, как основа управления предприятием …………...…5 1.1. Основные понятия.................................................................................................5 1.2. Типы внутрифирменного планирования............................................................7 ГЛАВА 2. Бизнес – план ОАО«Фидель»……………………………… …...........8 2.1 Резюме……………………………………………………………………..…..…8 2.2 Характеристика предприятия и его продукции……………………………..…9 2.3 План маркетинговой деятельности………………………………………...….10 2.4 Организационный план…………………………………………………………13 2.5 Производственный план…………………………………………………….….17 2.6 Финансовый план……………………………………………………….………21 2.7 План по рискам и страхованиям…………………………………………….…25 Заключение……………………………………………………………………….…27 Список литературы...................................................................................................29 .
ВВЕДЕНИЕ В условиях рыночной экономики устойчивость и успех любого хозяйствующего субъекта может обеспечить только эффективное планирование его экономической деятельности. Планирование функционирует в таких сферах, как планирование деятельности отдельной хозяйственной единицы и планирование хозяйственных отношений. Планирование - один из важнейших факторов функционирования и развития промышленных фирм в условиях рыночной экономики. Эта деятельность постоянно совершенствуется в соответствии с объективными требованиями производства и реализации товаров, усложнением хозяйственных связей, повышением роли потребителя в формировании технико-экономических и иных параметров продукции. Большую роль играют также изменения в организационных формах и характере деятельности фирм, повышение значения транснациональных корпораций (ТНК) в мирохозяйственных связях. Сущность планирования в условиях рыночной экономики заключается в научном обосновании на предприятиях предстоящих экономических целей их развития и форм хозяйственной деятельности, выбора наилучших способов их осуществления, на основе наиболее полного выявления требуемых рынком видов, объемов и сроков выпуска товаров, выполнения работ и оказания услуг и установления таких показателей их производства, распределения и потребления, которые при полном использовании ограниченных производственных ресурсов могут привести к достижению прогнозируемых в будущем качественных и количественных результатов. С развитием экономики, расширением масштабов производства, усложнением межотраслевых, внутри отраслевых и внутрипроизводственных отношений постоянно совершенствуются методы планового руководства народным хозяйством. В условиях ускоряющихся темпов научно-технического прогресса и растущих потребностей общества происходят изменения в производстве, в сфере обращения и обслуживания. Повышается уровень концентрации производства, развивается внутрипроизводственная специализация. Неуклонно возрастает профессиональный и культурный уровень трудящихся.
ГЛАВА 1 ПЛАНИРОВАНИЕ, КАК ОСНОВА УПРАВЛЕНИЯ ПРЕДПРИЯТИЕМ. 1.1. Основные понятия. План – это документ, охватывающий весь комплекс производственной, хозяйственной и финансовой деятельности за установленный период, после завершения, которого начинает действовать план следующего периода. Планы составляются на разные периоды времени. Краткосрочные планы перекрываются долгосрочными. Планирование - это начальный этап управления, однако оно представляет собой не единственный акт, а процесс, продолжающийся до завершения планируемого комплекса операций. Внутрифирменное планирование как функция управления состоит в обоснованном определении основных направлений и пропорций развития производства с учетом материальных источников его обеспечения и спроса рынка. Сущность планирования проявляется в конкретизации целей развития всей фирмы и каждого подразделения в отдельности на установленный период, определения хозяйственных задач, средств их достижения, сроков и последовательности реализации, выявления материальных, трудовых и финансовых ресурсов, необходимых для решения поставленных задач. Таким образом, назначение планирования как функции менеджмента состоит в стремлении заблаговременно учесть по возможности все внутренние и внешние факторы, обеспечивающие благоприятные условия для нормального функционирования и развития предприятий, входящих в фирму. Оно предусматривает разработку комплекса мероприятий, определяющих последовательность достижения конкретных целей с учетом возможностей наиболее эффективного использования ресурсов каждым производственным подразделением и всей фирмой. Поэтому планирование призвано обеспечить взаимоувязку между отдельными структурными подразделениями фирмы, включающими всю технологическую цепочку: научные исследования и разработки, производство и сбыт. Эта деятельность опирается на выявление и прогнозирование потребительского спроса, анализ и оценку имеющихся ресурсов и перспектив развития хозяйственной конъюнктуры. Отсюда вытекает необходимость увязки планирования с маркетингом и контролем с целью постоянной корректировки показателей производства и сбыта вслед за изменением спроса на рынке. Чем выше степень монополизации рынка, тем точнее компании могут определить его размеры и воздействовать на его развитие. Внутрифирменное планирование в рамках крупных компаний охватывает как текущее, так и перспективное планирование, осуществляемое в виде прогнозирования и программирования. Если перспективное планирование призвано определить общие стратегические цели и направления развития фирмы, необходимые для этого ресурсы и этапы решения поставленных задач, то разрабатываемые на его основе текущие планы ориентированы на фактическое достижение намеченных целей развития. Поэтому текущие планы дополняют, развивают и корректируют перспективные направления развития с учетом конкретной обстановки. Формы планирования в зависимости от длительности планового периода: - перспективное планирование (прогнозирование); - среднесрочное планирование; - текущее планирование. По периодам действия планы могут быть: долгосрочные, среднесрочные, краткосрочные. На предприятиях РФ действует система планов, которая включает: стратегический план; прогнозные планы (программы), текущий план; оперативный план-график; бизнес-план. Так и планирование имеет свои виды: В зависимости от длительности (сроков) планового периода: 1.Долгосрочное планирование (перспективное, стратегическое, прогнозирование) - планирование сроком от 5 лет и более; 2. Среднесрочное планирование - сроком от года до пяти; 3. Краткосрочное планирование: 4. Текущее (годовое, полугодовое, квартальное, планирование на месяц) 5. Оперативное (на декаду, неделю, сутки, смену, час). Уровень и качество планирования определяются следующими важнейшими условиями: компетентностью руководства фирмы на всехуровнях управления; квалификацией специалистов, работающих в функциональных подразделениях; наличием информационной базы и обеспеченностью компьютерной техникой. Планирование направлено на оптимальное использование возможностей фирмы, в том числе наилучшее использование всех видов ресурсов и предотвращение ошибочных действий, могущих привести к снижению эффективности деятельности фирмы. Планирование включает в себя определение: конечных и промежуточных целей; задач, решение которых необходимо для достижения целей; средств и способов их решения; требуемых ресурсов, их источников и способа распределения.
1.2. Типы внутрифирменного планирования. В зависимости от направленности и характера решаемых задач различают три вида планирования: стратегическое, среднесрочное, тактическое. Стратегическое планирование заключается в основном в определении главных целей деятельности фирмы и ориентировано на определение намечаемых конечных результатов с учетом средств и способов достижения поставленных целей и обеспечения необходимыми ресурсами. Стратегическое планирование охватывает период в 10-15 лет, имеет отдаленные последствия, влияет на функционирование всей системы управления и основывается на огромных ресурсах. Тактическое планирование заключается в определении промежуточных целей на пути достижения стратегических целей и задач. ГЛАВА 2. БИЗНЕС-ПЛАН ОАО «ФИДЕЛЬ» 2.1 Резюме Несмотря на все трудности и проблемы, в сфере частного предпринимательства в России заняты уже миллионы людей. Однако бизнес - этот совершенно особая манера жизни, предполагающая готовность предпринимать самостоятельные решения и рисковать. Решив заняться бизнесом, предприниматель должен тщательно спланировать его организацию. Каждая фирма, начиная свою деятельность, обязана четко представлять потребность в перспективе в финансовых, материальных, трудовых и интеллектуальных ресурсах, источники их получения, а также уметь точно рассчитывать эффективность использования имеющихся средств в процессе работы фирмы. В рыночной экономике предприниматели не могут добиться стабильного успеха, если не будут четко и эффективно планировать свою деятельность, постоянно собирать и аккумулировать информацию, как о состоянии целевых рынков, положения на них конкурентов, так и о собственных перспективах и возможностях. Таким образом, разработка стратегии и тактики производственно- хозяйственной деятельности фирмы является важнейшей задачей для малого предпринимателя. Общепризнанной формой разработки стратегии и тактики является бизнес-план. Задачами бизнес-плана являются : - открытие нового дела, определение профиля будущей фирмы и основных направлений ее коммерческой деятельности; - перепрофилирование существующей фирмы, выбор новых видов, направлений и способов осуществления коммерческих операций; - разработка перспективных проектов; - подготовка заявок существующих и вновь создаваемых фирм на получение кредитов; - обоснование предложений по приватизации государственных предприятий; Каждая задача может быть решена только во взаимосвязи с другими. Тема данной курсовой очень актуальна, так как хорошо разработанный и грамотно подготовленный бизнес – план является залогом успешной деятельности любой организации. И я хотела бы рассмотреть его на примере одного из предприятий. Предприятие, о котором далее пойдёт речь называется «Фидель». Данное предприятие специализируется по производству и выпуску готовой продукции, а точнее по выпуску туши для ресниц. Главные ресурсы, которые необходимы: трудовые, финансовые. 2.2 Характеристика предприятия и его продукции Название нашей фирмы «Фидель», по организационно-прававой форме это открытое акционерное общество. Фирма находится рядом с торговым центром, единоличным владельцем фирмы является Паршина Э.О. Основной вид деятельности нашего предприятия это производство и выпуск туши для ресниц, но со временем мы планируем производить не только тушь, но и другие виды косметики. Наши туши для ресниц в первую очередь сделаны биологически чисто, минимизировав количество химикатов, и мы делаем основной упор на то, что наша тушь на 50% состоят из трав. Тушь для ресниц «Фидель» доступна всем желающим. Наша продукция не дорогая, и её могут приобрести все желающие. Также у нашей туши есть ряд особенностей: - во – первых, после нанесения туши на ресницы, глаза становятся более выразительными; - во – вторых благодаря специальному комплексу «Макси – лип» наша тушь придаст вашим ресницам желанный объём. Таблица № 2.1 Сравнительный анализ свойств и услуг
Вывод: Из данной таблицы мы можем сделать вывод, что количество сильных сторон нашего предприятия превышает количество слабых сторон. Наличие слабых сторон связано с тем, что любое предприятие в начале своей деятельности не имеет репутации, его доля на рынке маленькая, но у нас очень много положительных сторон, с помощью которых наши недостатки становятся менее заметными. Основные преимущества конкурентов заключаются в их сложившемся авторитете и очень разнообразном ассортименте. 2.3 План маркетинговой деятельности Продукция фирмы ''Фидель'' рассчитана на потребление достаточно широкими массами населения. Естественно основным контингентом покупателей нашей продукции являются девушки и женщины от 18 – 65 лет. В основном это средний слой населения и люди для которых в первую очередь важно чтоб не высокая цена сочеталась с хорошим качеством. Продукция будет поставляться: 1. На рынок, так как большое количество покупателей находиться именно там. 2. В магазины, будут заключены договора на ежемесячную поставку продукции. Большой плюс фирмы: принимаются индивидуальные заказы. Сейчас на рынке существует много косметических фирм, помимо нашей, основным их преимуществом является то, что они уже раскрутились и занимаются выпуском не только помад, но и других косметических средств. Таблица № 2.2Анализ конкурентов на основе сравнительной балльной оценки
Вывод: наше предприятие стоит на первом месте среди конкурентов, основным его сопреником является ООО «Брилиант» - Доля «Фидель» - 36% - Доля «Бриллиант» - 35% - Доля «Роза» - 29% Реклама – открытое оповещение фирмой возможных покупателей, потребителей производимых и продаваемых ею товаров и услуг, о местах и условиях продаж, о качестве, достоинствах, преимуществах этих товаров и услуг, а также заслугах самой фирмы, её опыте, известности. Цели рекламы: 1. Распространение положительных знаний о фирме, её товаре и Формировании положительного мнения о них у потенциальных клиентов; 2. Формирование потребностей в товаре; 3. Формирование доверия к товару и фирме; 4. Создание у покупателя чувства причастности к товару и его производителя; 5. Стимулирование обращения потребителей в определённую компанию; 6. Придание товару определённого образа;
Таблица № 2.3Бюджет расходов на рекламу и сбытВывод: Из таблицы видно, что во втором году затраты на рекламную продукцию увеличиваются. Это связанно связано с тем, что в дальнейшем наше предприятие планирует увеличить ассортимент выпускаемой продукции, и соответственно понадобится дополнительная реклама. Следовательно, бюджет планируемого года, превышает сумму отчетного года. Ценовая политика предприятия выступает составляющим элементом маркетинговой политики в целом. Цена – важнейшее экономическое понятие, которое означает количество денег, за которое покупатель готов купить, а продавец согласен продать единицу товара. Ценообразование – процесс образования, формирования цен на товары и услуги, использования методов, способов установления цен в целом. Так как наш товар новый для рынка, то мы используем определённый способ ценообразования. Это политика проникновения: она состоит в установлении низкой цены, чтобы с самого начала захватить большую долю рынка. Она предполагает наличие системы интенсивного сбыта, активных рекламных мероприятий и соответствующих производственных и сбытов возможностей. Эта политика рассчитана на значительные начальные инвестиции, которые не скоро будут возвращены. Сбыт - массовая продажа продукции, товаров предприятиями, предпринимателями в целях получения денежной выручки, превращение произведённого товара в деньги. 2.4 Организационный план Наша фирма является единоличным предприятием. Директор - владелец фирмы, который получает весь доход и несет весь риск от бизнеса. Нашему предприятию необходим ряд специалистов, в первую очередь со стажем работы и высшим образованием. Заместитель директора должен поддерживать функционирование предприятия и быть правой рукой директора В обязанности Главного бухгалтера входит ведение финансовой деятельности. Маркетолог- предлагает услуги фирмы на рынке. Химик-биолог должен обеспечивать с точки зрения медицины правильный состав продукции, так же предприятию необходимы секретарь, рабочие, кладовщик, водитель, уборщик В целом Для нашего предприятия необходимо 11 видов деятельности.
Рис.2.1 Схема организационной структуры предприятия
Заработная плата - это вознаграждение, которое предприятие, учреждение, организация обязано выплачивать работникам в соответствии с количеством и качеством затраченного ими труда по заранее определенным нормам и расценкам, устанавливаемым либо в централизованном порядке для работников бюджетной сферы, либо локальными нормами непосредственно на предприятиях, в учреждениях, организациях без ограничения ее максимальными пределами. Х = ∑Х i* Fi / ∑ Fi Х – заработная плата работников; F – численность работников. 1 год = 281000/21 =13381руб 2год =415000/27 =15370руб 3 год =602000/34 =17706руб Удельный вес численности управленческих кадров в общей численности: Куп = Уп / Очис * 100%, где: Уп – управленческий персонал; Очис – общая численность. 1год Куп = 3/21* 100%=14% 2год Куп = 3/27* 100%=11% 3год Куп = 3/34* 100%=9% Таблица № 2.4Потребность предприятия в персонале и заработной плате
Вывод: Среднюю заработную плату планируется увеличивать, т.к. планируется увеличить производственный план. 2.5 Производственный план Таблица № 2.5Бюджет производства и продажи продукции (услуг)
Вывод: Как мы видим, из данной таблицы следует, что количество выпускаемой продукции в планируемом году растёт, это связанно с увеличением ассортимента нашей продукции. Основные фонды предприятия - это те предметы производства, которые используются им в течении длительного времени ( более одного года ) и переносят свою стоимость на стоимость созданного готового продукта по частям по мере износа и амортизации. К основным фондам относят: - здания; - сооружения; - передаточное устройство; - транспортные средства; - хозяйственный инвентарь.
Таблица № 2.6 Потребности в основных фондах
Вывод. стоимость основных фондов составляет 4550000 руб Таблица № 2.7Расчет годовых амортизационных отчислений
Вывод: Величина амортизационных отчислений составляет 1400000. Норма амортизации: Амортизационные отчисления:
Оборотные фонды — важная часть национального богатства страны, его наиболее мобильный, постоянно возобновляемый элемент. Они являются материальной частью оборотных средств производителей, в состав которых входят также нематериальные активы. Таблица № 2.8Бюджет затрат на материалы
Вывод: Из таблицы следует, что с каждым годом наши материальные затраты увеличиваются в связи с увеличением количества продукции.
Фонд заработной платы на предприятии включает в себя все виды выплат по дополнительным окладам, тарифным ставкам, системам премии и компенсационные выплаты Таблица № 2.9 Бюджет затрат на оплату труда и отчислений на заработную плату
Вывод: Из таблицы мы можем сделать вывод, что общая сумма отчислений к 2010 году будет составлять 9102240. Калькуляция себестоимости - исчисление в денежном выражении затрат на производство и реализацию продукции, работ и услуг. Себестоимость единицы продукции определяется по калькуляционным статьям затрат - группам затрат, выделяемым в калькуляции.
Таблица №2.10 Калькуляция себестоимости
Вывод: Себестоимость единицы продукции уменьшится в 2010 году связи с увеличением ассортимента и призводственной программы. 2.6 Финансовый план Конечный финансовый результат (прибыль или убыток) слагается из финансовых результатов от реализации и доходов от внереализационных результатов, уменьшенных на сумму расходов по этим операциям. Финансовый результат от реализации включает прибыль (убыток) от реализации готовой продукции (работ, услуг), основных средств и прочих активов.
Таблица№ 2.11 Бюджет доходов и расходов
Вывод: Из данной таблицы следует, что чистая прибыль нашего предприятия растёт, соответственно это говорит об эффективности развития нашего предприятия. Рентабельность – эффективность, прибыльность, доходность предприятия или предпринимательской деятельности. Таблица № 2.12 Расчетный баланс
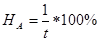
Таблица№ 2.13 Расчеты показателей рентабельности
Вывод: Из данной таблицы можно сделать вывод, что предприятие является наиболее рентабельным в 2009 году, и в целом можно сказать, что предприятие является рентабельным.
Таблица № 2.14 Показатели эффективности использования ресурсов
Вывод: Делая вывод по этой таблице, мы видим, как некоторые показатели эффективности использования ресурсов повышаются, а некоторые понижаются. В общем можно сказать, что предприятие работает эффективно. Таблица № 2.15 Переменные и постоянные затраты
Точка безубыточности - это тот объем производства, при котором предприятие покрывает все свои издержки, но получает нулевую прибыль (порог рентабельности). Аналитическим методом можно найти точку без убыточности Тбез = Постоянные издержки/Цена – Переменные издержки Тбез = 328029 2.7 План по рискам и страхованиям Риск представляет собой вероятность возникновения потерь убытков, вероятность получения отрицательного результата в процессе возникновения предпринимательской деятельности. Виды рисков: По направлению предпринимательства риск бывает: - производственный; - коммерческий; - финансовый; - потребительский. Причины риска: - падение спроса на продукцию; - повышение цен реализации; - потеря конкурентоспособности; - влияние внешних экономических факторов. Таблица № 2.16 Оценка риска
Вывод: Наиболее вероятным риском на мой взгляд является риск возникновения неплатежёспособности покупателя.
Методы снижения рисков: - Технические; - Экономические; - Организационные; - Страхование; - Перестрахование; - Поручительство; - Залог.
ЗАКЛЮЧЕНИЕ Содержание внутрифирменного планирования как функция управления крупной фирмой состоит в обоснованном определении основных направлений и пропорций развития производства с учетом материальных источников его обеспечения и спроса рынка. Сущность планирования проявляется в конкретизации целей развития всей фирмы и каждого подразделения в отдельности на установленный период, определения хозяйственных задач, средств их достижения, сроков и последовательности реализации, выявления материальных, трудовых и финансовых ресурсов, необходимых для решения поставленных задач. Таким образом, назначение планирования как функции менеджмента состоит в стремлении заблаговременно учесть по возможности все внутренние и внешние факторы, обеспечивающие благоприятные условия для нормального функционирования и развития предприятий, входящих в фирму. Оно предусматривает разработку комплекса мероприятий, определяющих последовательность достижения конкретных целей с учетом возможностей наиболее эффективного использования ресурсов каждым производственным подразделением и всей фирмой. Поэтому планирование призвано обеспечить взаимоувязку между отдельными структурными подразделениями фирмы, включающими всю технологическую цепочку: научные исследования и разработки, производств и сбыта. Эта деятельность опирается на выявление и прогнозирование потребительского спроса, анализ и оценку имеющихся ресурсов и перспектив развития хозяйственной конъюнктуры. Отсюда вытекает необходимость увязки планирования с маркетингом и контролем, с целью постоянной корректировки показателей производства и сбыта вслед за изменением спроса на рынке. Чем выше степень монополизации рынка, тем точнее компании могут определить его размеры и воздействовать на его развитие. Внутрифирменное планирование в рамках крупных компаний охватывает как текущее, так и перспективное планирование, осуществляемое в виде прогнозирования и программирования. Планирование предполагает: обоснованный выбор целей; определение политики; разработку мер и мероприятий; методы достижения целей; обеспечение основы для принятия последующих долгосрочных решений. СПИСОК ИСПОЛЬЗУЕМОЙ ЛИТЕРАТУРЫ 1. Аивоваров К.В. «Бизнес-планирование», Москва, 2001. 2. Буров В. П., Морошкин В. А. «Бизнес-план, методика составления», 3. Буров М.Н. «Бизнес - план методика составления» Москва, 2006Москва, 2007. 4. Грибачев Н.П., Игнатьева И.П. «Бизнес-план. Практическое руководство по составлению» Санкт-Петербург, 2007. 5. Горемыкин В.А. , Богомолов А.Ю. «Бизнес-план: Методика разработки» Москва, 2002. 6. Дмитриев Ю. А., Гутман Г. В., Краев В. Н. «Бизнес - план/структура, содержание» Москва, 2006. 7. Пелих А. С. «Бизнес-план или как организовать собственный бизнес», Москва, 2006. 8. Попова В. Н. «Сборник бизнес-планов», Москва, 2008. 9. Практикум по разработке бизнес-плана и финансовому анализу предприятия. – М.: «Финансы и статистика», 2005 г. 10 Шепеленко Г.И. Экономика, организация и планирование производства на предприятии, Учебное пособие, - Ростов-на-Дону, «МарТ», 2005 г. (*); |
|||||||||||||||||||||||||||||||||||||||||||||||||||||||||||||||||||||||||||||||||||||||||||||||||||||||||||||||||||||||||||||||||||||||||||||||||||||||||||||||||||||||||||||||||||||||||||||||||||||||||||||||||||||||||||||||||||||||||||||||||||||||||||||||||||||||||||||||||||||||||||||||||||||||||||||||||||||||||||||||||||||||||||||||||||||||||||||||||||||||||||||||||||||||||||||||||||||||||||||||||||||||||||||||||||||||||||||||||||||||||||||||||||||||||||||||||||||||||||||||||||||||||||||||||||||||||||||||||||||||||||||||||||||||||||||||||||||||||||||||||||||||||||||||||||||||||||||||||||||||||||||||||||||||||||||||||||||||||||||||||||||||||||||||||||||||||||||||||||||||||||||||||||||||||||||||||||||||||||||||||||||||||||||||||||||||||||||||||||||||||||||||||||||||||||||||||||||||||||||||||||||||||||||||||||||||||||||||||||||||||||||||||||||||||||||||||||||||||||||||||||||||||||||||||||||||||||||||||||||||||||||||||||||||||||||||||||||||||||||||||||||||||||||||||||||||||||||||||||||||

