Реферат: Изучение методов интерполяции и аппроксимации
|
Название: Изучение методов интерполяции и аппроксимации Раздел: Рефераты по математике Тип: реферат | |||||||||||||||||||||||||||||||||||||
XIV муниципальная научно-практическая конференция «Ломоносовские чтения » Изучение методов интерполяции и аппроксимации Выполнила учащаяся группы ФМ3.2 Сарманова Снежана Геннадьевна Научный руководитель: Бородкин Дмитрий Константинович, преподаватель информатики Лицея №2 г.Ангарск, 2009 Содержание 1. Аннотация……………………………...…………………………………………………....3 2. Цель, задачи……………………………………………………………………...……….....3 3. Введение………………………………………………………………………..…….……...4 4. Линейная интерполяция………………………………………………………....……...….5 · Теория ………………………………………………………………………….........5 · Блок-схема……………………………………………………………...……………6 · Текст программы……………………………………………………………..….….7 · Пример…………………………………………………………………..……….…..7 5. Квадратичная интерполяция………….………………………………………..…………..8 · Теория…………………………………………………………………….……….. 10 · Блок-схема…………………………………………………………….....…………11 · Текст программы…………………………………………………………….……..12 · Пример……………………………………………………………………………...13 6. Инструкция по работе с программами……………............................................................16 7. Заключение…………………………………………………………………………………17 8. Список литературы………………………………………………………………………...18 Аннотация В данной работе излагаются основные численные методы решения математических задач, возникающих при исследовании физических и технических проблем. Изложенные методы пригодны как для расчетов на ЭВМ, так и для «ручных» расчетов. Огромное количество численных методов ставит актуальной задачей не столько создание новых, сколько исследование и классификацию старых, выявление лучших. Данная работа будет полезна студентам, аспирантам, преподавателям университетов и технических институтов, научным работникам и инженерам-исследователям, а так же всем, кто имеет дело с численными расчетами. Цель работы: разработать программы вычисления значений функции f( x) для значений х, не содержащихся в таблице. Задачи: · Изучить и проанализировать научную, справочную литературу · Подобрать наиболее простые и лучшие методы решения уравнений первой и второй степени · Составить алгоритм решения уравнений в виде блок-схемы · Разработать программы в системе программирования Borland Turbo Pascal 7.0 Гипотеза: создание программ для нахождения неизвестных значений функции в системе программирования позволит значительно сократить затраты времени по сравнению с ручными расчетами. Введение Если задана функция y ( x), то это означает, что любому допустимому значению х сопоставлено значение у . Но нередко оказывается, что нахождение этого значения очень трудоемко. Например, у(х) может быть определено как решение сложной задачи, в которой х играет роль параметра, или у(х) измеряется в дорогостоящем эксперименте. При этом можно вычислить небольшую таблицу значений функции, но прямое нахождение функции при большом числе значений аргумента будет практически невозможно. Функция у(х)
может участвовать в каких-либо физико-технических или чисто математических расчетах, где её приходится многократно вычислять. В этом случае выгодно заменить функцию у(х)
приближенной формулой, т. е. подобрать некоторую функцию φ (х),
которая близка в некотором смысле к у(х)
и просто вычисляется. Затем при всех значениях аргумента полагают у(х)
ИНТЕРПОЛЯЦИЯ (от лат. interpolatio — изменение, переделка ) - отыскание промежуточных значений величины по некоторым известным ее значениям. Например, отыскание значений функции f( x ) в точках x, лежащих между точками x0 по известным значениям yi = f( xi) (где i = 0,1,..., n). Если x лежит вне интервала ( x0 , xn ), аналогичная процедура называется экстраполяцией . Основная цель интерполяции – получить быстрый (экономичный) алгоритм вычисления значений f( x) для значений х, не содержащихся в таблице. АППРОКСИМАЦИЯ (от лат. approximo — приближаюсь ) - замена одних математических объектов (наприме р, чисел или функций) другими, более простыми и в том или ином смысле близкими к исходным (например , кривых линий близкими к ним ломаными). Огромное количество численных методов ставит актуальной задачей не столько создание новых, сколько исследование и классификацию старых, выявление лучших. Именно поэтому в данной работе будут рассмотрены два вида интерполяции – линейная и квадратичная. Линейная интерполяция Простейшим и часто используемым видом локальной интерполяции является линейная ( или кусочно-линейная) интерполяция. Она состоит в том, что заданные точки ( х i , у i ) ( i=0, 1, …, n ) соединяются прямолинейными отрезками, и функция f(х) приближается ломаной с вершинами в данных точках.
Рис. пример интерполяции Уравнения каждого отрезка ломаной в каждом случае разные. Поскольку имеется nинтервалов ( х i-1 , х i ), то для каждого из них в качестве уравнения интерполяционного многочлена используется уравнение прямой, проходящей через две точки. В частности, для i-го интервала можно написать уравнение, проходящей через точки ( х i-1 , у i-1 ) и (х i , yi ), в виде
Отсюда y= ai x + bi ; xi-1 ≤ x ≤ xi , (1)
Следовательно, при использовании линейной интерполяции сначала нужно определить интервал, в который попадает значение аргумента х , а затем подставить его в формулу (1) и найти приближенное значение функции в этой точке. Данный алгоритм представлен на рисунке
Нет
Нет
Текст программы: Program interpol; Const N=3; Var x: array [1..N] of real; y: array [1..N] of real; a, b, xр, yр : real; i: integer; begin for i:=1 to N do begin{ввод данных через массивы } writeln (‘x[‘,i,’]=’); readln (x[i]); writeln (‘y[‘,i,’]=’); readln (y[i]); end; write (‘vveditex=’); {ввод промежуточного значения} readln (xр); for i:=2 to N do if (x[i-1]<=xp) and (xp<=x[i-1]) then begin a:= (y[i] – y[i-1]) / (x[i] – x[i-1]); b:= y [i-1] – a*x[i-1]; yр:= a*xр + b else writeln (‘ekstrepolyazia’); readln; end; writeln (‘y=’, yр); {вывод искомого значения} readln; end. Пример . Найти значение функции y=f(x), изображенной на рисунке, при х=1
Воспользуемся формулой линейной интерполяции(1). Значение х=1 находится между точками хi =2 и хi-1 = 0. Отсюда имеем
bi = yi -1 – ai ٠xi -1 = 4 – 0.5٠0=4 у= а٠хр +b = -0.5 ٠1 + 4 = 3.5 Результаты выполнения программы На рисунке 1 показан вид окна программы при вводе исходных данных
Рис.1 На рисунке 2 представлен вид окна программы после вывода результатов
Рис.2 Исполнимый модуль программы находится в файле с именем interpol1. exe Пример 2. Если в два часа ночи температура воздуха была +10, а в шесть утра - +25, Квадратичная интерполяция В качестве интерполяционной функции на отрезке [х i-1 , xi + 1 ] принимается квадратный трехчлен. Такую интерполяцию называют также параболической. Уравнение квадратного трехчлена y = ai
x2
+ bi
x + ci
, xi-1
содержит три неизвестных коэффициента ai , bi , ci , для определения которых необходимы три уравнения. Ими служат условия прохождения параболы (2) через три точки ( xi -1 , yi -1 ), (xi , yi ), (xi +1 , yi +1 ). Эти условия можно записать в виде
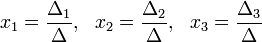
yi-1 = ai x2 i-1 + bi xi-1 + ci yi = ai x2 i + bi xi + ci (3) yi +1 = ai x2 i+1 + bi xi +1 + ci Данная система уравнений решается методом Крамера.
Определители:
Решение:
Алгоритм нахождения приближенного значения функции с помощью квадратичной интерполяции можно записать в виде структурограммы, как и для случая линейной интерполяции. Вместо формулы (1) нужно использовать (2) с учетом решения системы линейных уравнений (3). Интерполяция для любой точки x є [xo , xn ] приводится по трем ближайшим к ней узлам. Данный алгоритм представлен на рисунке
Да
Program interpol2; Const N=3; Var x: array [1..N] of real; y: array [1..N] of real; a, b, c, xр, yр, deltaA, deltaB, deltaC, delta : real; i: integer; begin for i:=1 to N do begin{ввод данных через массивы } writeln (‘x[‘,I,’]=’); readln (x[i]); writeln (‘y[‘,I,’]=’); readln (y[i]); end; write (‘vvedite x’); { ввод промежуточного значения } readln (xр); for i:=2 to N do if (x[i-1]<=xр) and (xр<=x[i-1]) then begin{вычисления} delta:= x[i-1]*x[i-1]*x[i] – x[i-1]*x[i-1]*x[i+1]+ x[i-1]*x[i+1]*x[i+1] – x[i-1]*x[i]*x[i] – x[i+1]*x[i+1]*x[i]+ x[i+1]*x[i]*x[i]; deltaA:= x[i+1]*y[i]– x[i-1]*y[i] +y[i-1]*x[i]-x[i+1]*y[i-1] – y[i+1]*x[i]+x[i-1]*y[i+1]; deltaB:=x[i-1]*x[i-1]*y[i] – x[i+1]*x[i+1]*y[i]- y[i-1]*x[i]*x[i] + y[i+1]*x[i]*x[i] – x[i-1]*x[i-1]*y[i+1] + x[i+1]*x[i+1]*y[i-1]; deltaC:= y[i+1]*x[i-1]*x[i-1]*x[i] – y[i]*x[i-1]*x[i-1]*x[i+1] + y[i]*x[i-1]*x[i+1]*x[i+1]- y[i+1]*x[i-1]*x[i]*x[i] –y[i-1]*x[i+1]*x[i+1]*x[i] + y[i-1]*x[i+1]*x[i]*x[i]; a:= delta/deltaA; b:=delta/deltaB; c:= delta/ deltaC; yр:= a*xр*xр + b*xр +c; end; writeln (‘y=’, yр); {вывод искомого значения} readln; end. Пример . Найти приближенное значение функции y = f ( x) при x = 2.5, если известна следующая таблица её значений:
Найдем приближенное значение функции с помощью формулы квадратичной интерполяции (2) . Составим систему уравнений (3). С учетом ближайших к точке x = 2.5 узлов xi -1 = 2 , xi = 3, xi +1 = 4. Соответственно yi -1 = 2 , yi = 4yi +1 = 7. Система (3) запишется в виде 22 ai + 2bi + ci = 2; 32 ai + 3bi + ci = 4 42 ai + 4bi + ci = 7. 4 2 1
16 4 1 2 2 1
7 4 1 4 2 1
16 7 1
16 4 7
Решая эту систему, находимai =0.5 , b i = -0.5, ci = 1. Искомое значение функции y На рисунке 1 показан вид окна программы при вводе исходных данных
Рис.1 На рисунке 2 представлен вид окна программы после вывода результатов
Рис.2 Исполнимый модуль программы находится в файле с именем interpol2. exe Инструкция по работе с программами Исполнимые модули программ находятся в файле с именами interpol. exe и interpol2. exe , запускаются на выполнение в операционной системе ее средствами. После запуска программы пользователь должен ввести исходные данные, как это показано на рисунке 1 (см. стр.8, 14) После ввода исходных данных программа производит вычисления и выводит результат на экран в том же окне, что и исходные данные, как это показано на рисунке 2(см. стр.9,15). Чтобы завершить работу программы, пользователь должен нажать любую клавишу. Составленные программы решают задачу интерполирования таблично заданной функции с произвольным расположением узлов. Как показывает анализ результатов, вычисления, производимые программами, верны. Заключение В данной работе была изучена и проанализирована справочная литература, вследствие чего были выявлены два наиболее простых и удобных вида интерполяции – линейная и квадратичная; созданы программы в системе программирования Borland Turbo Pascal 7.0 для вычисления значений функции f( x) и разработан быстрый (экономичный) алгоритм решения этой функции, предоставленный в виде блок-схем. Список использованных источников 1. Калиткин Н.Н.. Численные методы. – М.: Наука, 1982. 2. Марчук Г.И. Методы вычислительной математики – М.: Наука, 1977. 3. Носач В.В. Решение задач аппроксимации с помощью персональных компьютеров.. М.: Бином, 1994 4. Самарский А.А. Численные методы. – М.: Наука, 1989. |
|||||||||||||||||||||||||||||||||||||


















