Реферат: Многофакториальная эконометрическая модель выпуска продукции
|
Название: Многофакториальная эконометрическая модель выпуска продукции Раздел: Рефераты по математике Тип: реферат | ||||||||||||||||||||||||||||||||||||||||||||||||||||||||||||||||||||||||||||||||||||||||||||||||||||||||||||||||||||||||||||||||||||||||||||||||||||||||||||||||||||||||||||||||||
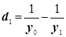
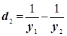
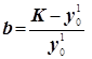
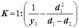
СОДЕРЖАНИЕ 1. Раскройте содержание многофакторных эконометрических моделей выпуска продукции. Метод трёх точек. Анализ результатов решения системы и выбор конкретных выводов и рекомендаций 2. Решение задачи Список использованной литературы 1. Раскройте содержание многофакторных эконометрических моделей выпуска продукции. Метод трёх точек. Анализ результатов решения системы и выбор конкретных выводов и рекомендаций. Множественная регрессия широко используется в решении проблем спроса, доходности акций, при изучении функции издержек производства, в макроэкономических расчетах и целом ряде других вопросов эконометрики. В настоящее время множественная регрессия один из наиболее распространенных методов в эконометрике. Основная цель множественной регрессии – построить модель с большим числом факторов, определив при этом влияние каждого из них в отдельности, а также совокупное их воздействие на моделируемый показатель. Построение уравнения множественной регрессии начинается с решения вопроса о спецификации модели. Он включает в себя два круга вопросов: отбор факторов и выбор вида уравнения регрессии. Включение в уравнение множественной регрессии того или иного набора факторов связано прежде всего с представлением исследователя о природе взаимосвязи моделируемого показателя с другими экономическими явлениями. Факторы, включаемые во множественную регрессию, должны отвечать следующим требованиям. 1. Они должны быть количественно измеримы. Если необходимо включить в модель качественный фактор, не имеющий количественного измерения, то ему нужно придать количественную определенность. 2. Факторы не должны быть интеркоррелированы и тем более находиться в точной функциональной связи. Включение в модель факторов с высокой интеркорреляцией, может привести к нежелательным последствиям. Система нормальных уравнений может оказаться плохо обусловленной и повлечь за собой неустойчивость и ненадежность оценок коэффициентов регрессии. Включаемые во множественную регрессию факторы должны объяснить вариацию независимой переменной. Таким образом, хотя теоретически регрессионная модель позволяет учесть любое число факторов, практически в этом нет необходимости. Отбор факторов производится на основе качественного теоретико-экономического анализа. Однако теоретический анализ часто не позволяет однозначно ответить на вопрос о количественной взаимосвязи рассматриваемых признаков и целесообразности включения фактора в модель. Поэтому отбор факторов обычно осуществляется в две стадии: 1) подбираются факторы исходя из сущности проблемы; 2) на основе матрицы показателей корреляции определяют статистики для параметров регрессии. Отбор факторов, включаемых в регрессию, является одним из важнейших этапов практического использования методов регрессии. Подходы к отбору факторов на основе показателей корреляции могут быть разные. Они приводят построение уравнения множественной регрессии соответственно к разным методикам. Наиболее широкое применение получили следующие методы построения уравнения множественной регрессии: 1. Метод исключения – отсев факторов из полного его набора. 2. Метод включения – дополнительное введение фактора. 3. Шаговый регрессионный анализ – исключение ранее введенного фактора. Возможны разные виды уравнений множественной регрессии: линейные и нелинейные. Ввиду четкой интерпретации параметров наиболее широко используется линейная функция. Классический подход к оцениванию параметров линейной модели множественной регрессии основан на методе наименьших квадратов (МНК). Практическая значимость уравнения множественной регрессии оценивается с помощью показателя множественной корреляции и его квадрата – показателя детерминации. Показатель множественной корреляции характеризует тесноту связи рассматриваемого набора факторов с исследуемым признаком или, иначе, оценивает тесноту совместного влияния факторов на результат. Независимо от формы связи показатель множественной корреляции может быть найден как индекс множественной корреляции. При правильном включении факторов в регрессионную модель величина индекса множественной корреляции будет существенно отличаться от индекса корреляции парной зависимости. Если же дополнительно включенные в уравнение множественной регрессии факторы третьестепенны, то индекс множественной корреляции может практически совпадать с индексом парной корреляции (различия в третьем, четвертом знаках). При использовании отдельных уравнений регрессии, например для экономических расчетов, в большинстве случаев предполагается, что аргументы (факторы) можно изменять независимо друг от друга. Однако, это предположение является очень грубым: практически изменение одной переменной, как правило, не может происходить при абсолютной неизменности других. Если нет полного ряда данных, в этих обстоятельствах оценки параметров функции, возможно на основе трёх точек. Пример. Предположим, что требуется провести логическую кривую через три точки: у = 12,9; у1 = 62,1; у2= = 152,7. Причем интервалы у0-у1 и у1-у2 равны 6 единицам времени.
Итак, Аналогично:
(d1 , d2 - это разность между точками)
Рассмотренный метод оценки параметров очень чувствителен к величине значений y y y , которые даже если получены усреднённым путём, могут содержать существенный элемент случайности. Несомненно, что построение любой модели, необходимо для прогнозирования дальнейшего развития событий при изменении одного или нескольких факторов. Выводы и рекомендации будут индивидуальны для каждого конкретного случая. Зависеть они будут от результатов анализа модели, от тенденции изменения факторов, от исходных данных и поставленной задачи. Проверить качество прогноза можно будет только в будущем, сравнив предсказанное значение с реальностью. Но следует ожидать, что модель, хорошо описывающая существующие данные, будет также давать хороший прогноз. 2. Обоснуйте целесообразность расширения производства, если: У(спрос) {84,3; 84,9; 85,1; 85,7; 85,9; 86,4 } Х1 (н. р.) {90,3; 90,4; 90,8; 91,3; 91,7; 91,8} Х2 (цена) {13,3; 13,7; 13,9; 14,1; 14,3; 14,8} При этом коэффициент использования производственной мощности не превышает 59 %. Решение задачи:
Рассчитаем коэффициент корреляции между X и Y применяя «Анализ данных»: Корреляция
r(y х 1 ) = 0,97 — связь прямая, сильная - линейная регрессия; r(yx2) = 0,99 - связь прямая, сильная - линейная регрессия, что свидетельствует о существовании линейной зависимости между X и Y. Линейная функция имеет вид: у= а + bх1 + сх2 Регрессионную функцию линейной зависимости у= а + bх1 + сх2 найдем с помощью анализа данных в Excel, представленных в Приложении 1. Получим следующие значения: Уравнение регрессии имеет вид: у=35,570 + 0,395 х1+0,989 х2 Доверительные интервалы для коэффициентов регрессии: Выводы: С достоверностью 97% можно утверждать, что при данной цене и росте спроса на 2,5 %, использовании производственной мощности на 59 %, расширение производства считается целесообразным. Список использованной литературы 1. Практикум по эконометрике: Учебн. пособие / Под ред. И.И. Елисеевой. – М.: Финансы и статистика, 2006. – 344 с. 2. Н.М. Хубулава. Эконометрика. Учебно-практическое пособие. М., МГТА, 2004. 3. Н.М. Хубулава. Практическое пособие по курсу: "Эконометрика". М., изд. Комплекс. 2005. 4. Эконометрика: Учебно-методическое пособие / Шалабанов А.К., Роганов Д.А. – Казань: ТИСБИ, 2005. – 56 с. 5. Эконометрика: Учебник / Под ред. И.И. Елисеевой. – М.: Финансы и статистика, 2006. – 576 с. ПРИЛОЖЕНИЕ 1
|
||||||||||||||||||||||||||||||||||||||||||||||||||||||||||||||||||||||||||||||||||||||||||||||||||||||||||||||||||||||||||||||||||||||||||||||||||||||||||||||||||||||||||||||||||








