Реферат: Теоретические аспекты маркетинговых исследований. Сущность и принципы, цели и функции маркетинга
|
Название: Теоретические аспекты маркетинговых исследований. Сущность и принципы, цели и функции маркетинга Раздел: Рефераты по маркетингу Тип: реферат | ||||||||||||||||||||||||||||||||||||||||||||||||||||||||||||
Тема 1. Теоретические аспекты маркетинговых исследований. Сущность и принципы, цели и функции маркетинга. ТЕОРЕТИЧЕСКИЕ АСПЕКТЫ МАРКЕТИНГА Маркетинг — это рыночная концепция управления производственно-сбытовой и научно-технической деятельностью фирм и предприятий, направленная на изучение предпринимательской среды, рынка, конкретных запросов потребителей и ориентацию на них производимых товаров и услуг. Цели маркетинга — формирование и стимулирование спроса, обеспечение обоснованности принимаемых управленческих решений и планов работы фирмы (предприятия), а также расширение объемов продаж, рыночной доли и прибылей. · определение значений показателей, характеризующих спрос на товары и услуги, производимые предприятием, на выбранный момент времени (например, на конец года); · сравнение полученных значений показателей спроса со значениями, определенными ранее для предшествующего момента времени (например, на начало года), и определение темпов их роста или снижения; · определение доли предприятия на рынке производимых им товаров и услуг по сравнению с конкурентами и ее изменения за выбранный интервал времени (например, за год), т.е. сегментацию рынка; · сравнение цен на продукцию, производимую предприятием, с ценами на аналогичную продукцию конкурентов и определение изменения цен за выбранный интервал времени, т.е. ценовую политику; · изучение мнений потребителей о деятельности предприятия, качестве и ценах производимых им товаров и услуг, об используемых способах их доставки, о возможных новых видах (новом качестве) товаров и услуг, которые они хотели бы получить или которые предлагает предприятие, и приемлемом уровне цен на них, о деятельности и продукции конкурентов и др.; · изучение влияния различных факторов на спрос на товары и услуги, производимые предприятием, и прогнозирование будущего спроса; · изучение методов и приемов деятельности конкурентов по продвижению своих товаров и услуг. Следует при этом отметить, что основными факторами, влияющими на продвижение товаров и услуг на рынке в условиях конкуренции и рост объема их продажи, являются качество товаров и услуг, их цена и возможность предложения новых товаров и услуг по сравнению с конкурентами. Таким образом, в целом по своему содержанию деятельность специалистов маркетинговой службы предприятия включает два основных направления: · деятельность, связанную с анализом рынка товаров и услуг, производимых предприятием (маркетинговые исследования); · деятельность, связанную с продвижением (обеспечением продажи) товаров и услуг предприятия на рынке в условиях конкуренции. Процесс маркетинговых исследований. Процесс маркетинговых исследований включает несколько стадий:
1. Определение проблемы и целей исследования.
2. Определение объектов исследования.
3. Разработка плана исследования. Создание проекта исследования является, возможно, самой важной стадией процесса маркетинговых исследований. Проект исследования — это общий план проведения маркетинговых исследований; он определяет потребности в различных данных и процедуру сбора, обработки и анализа этих данных. Со стороны исследователя разработка плана требует больших способностей. Эта стадия включает не просто выбор определенных методов проведения маркетинговых исследований, а разработку в рамках маркетинговых исследований специфических задач. 4. Сбор информации.
В зависимости от направления и характера исследований информация может черпаться из самых различных источников. Исследования могут разделяться на внутрифирменные исследования и исследования внешней среды. Источниками информации для внутрифирменных исследований являются, прежде всего, различные отчетные документы, характеризующие деятельность фирмы. Они составляются в основном работниками фирмы. Информация при исследованиях внешней среды обычно берется из трех основных источников: · собственные источники — информация, полученная в ходе исследований внешней среды, проводимых фирмой; · заказная информация — информация, которую для заказчика предоставляют специализированные фирмы; · независимые источники — отчеты, обзоры, подборки и т.д., публикуемые различными научно-исследовательскими, маркетинговыми и иными фирмами и обществами. Существует несколько способов сбора первичных данных. Они адекватны целям и задачам работы для конкретного заказчика. 5. Анализ собранной информации.
6. Представление полученных результатов.
7. Анализ использования исследования.
СУЩНОСТЬ, ЦЕЛИ, ОСНОВНЫЕ ПРИНЦИПЫ И ФУНКЦИИ МАРКЕТИНГА По определению американского ученого Ф. Котлера маркетинг – вид человеческой деятельности, направленный на удовлетворение нужд и потребностей посредством обмена. Исходной идеей, лежащей в основе маркетинга, является идея удовлетворения человеческихнужд и потребностей (физические нужды и потребности в пище, одежде, тепле, безопасности, социальные нужды и потребности, потребность в знаниях и самовыражении и т.п.). Потребности людей безграничны, а вот ресурсы для их удовлетворения ограничены. Так что человек будет выбирать те товары, которые доставляют ему наибольшее удовлетворение в рамках его возможностей. Спрос – это потребность, подкрепленная покупательской способностью. Нетрудно перечислить спрос конкретного общества в конкретный момент времени. Однако спрос – показатель недостаточно надежный, так как он меняется. На смену выбора влияют и изменения цен, и уровень доходов. Человек выбирает товар, совокупность свойств которого обеспечивает ему наибольшее удовлетворение за данную цену, с учетом своих специфических потребностей и ресурсов. Человеческие нужды, потребности и запросы удовлетворяются товарами. Под товаром в широком смысле можно понимать все, что может удовлетворить потребность или нужду и предлагается рынку с целью привлечения внимания, приобретения, использования или потребления. Обмен – это акт получения от кого-либо желаемого объекта с предложением чего-либо взамен. Рынок в маркетинге понимается как совокупность существующих и потенциальных потребителей товара (рынок сбыта). Ключевым аспектом маркетинга является образ мышления. Он предполагает, что при принятии маркетинговых решений менеджер должен смотреть на все глазами потребителя. Следовательно, эти решения должны быть такими, в которых потребитель нуждается и которых он хочет. Американская ассоциация маркетинга (AMA) определяет маркетинга следующим образом: Маркетинг – это процесс планирования и воплощения замысла, ценообразования, продвижения и реализации идей, товаров и услуг посредством обмена, удовлетворяющего цели отдельных лиц и организаций. Можно выделить в этом определении четыре составляющих: 1. действие менеджмента (предвидение, определение целей и планирование, удовлетворение спроса);
Таким образом, кратко можно выразить предыдущее определение так: «Маркетинг – управление удовлетворением спроса путем торговли». Целями маркетинга могут быть: · максимально высокое потребление; · достижение максимальной потребительской удовлетворенности; · предоставление максимально широкого выбора; · максимальное повышение качества жизни. С точки зрения управления предприятием можно выделить такие цели маркетинга: · увеличение дохода; · рост объемов продаж; · увеличение доли рынка; · создание и улучшение имиджа, известности предприятия и его продукции. Под управлением маркетингом понимают анализ, планирование, претворение в жизнь и контроль над проведением мероприятий, рассчитанных на установление и поддержание обменов с целевыми покупателями ради достижения определенных целей предприятия. Могут быть выделены следующие задачи маркетинговой деятельности на предприятии:
Тема 2. Маркетинговая среда, процесс управления маркетинга, планирования маркетинга и развивания маркетингового комплекса. МАРКЕТИНГОВАЯ СРЕДА Маркетинговая среда фирмы - это совокупность активных субъектов и сил, действующих за пределами фирмы и влияющих на возможности руководства службой маркетинга устанавливать и поддерживать с целевыми клиентами отношения успешного сотрудничества. Маркетинговая среда слагается из микросреды и макросреды.
Микросреда представлена силами, имеющими непосредственное отношение к самой фирме и ее возможностям по обслуживанию клиентуры, т.е. поставщиками, маркетинговыми посредниками, клиентами, конкурентами и контактными аудиториями. Макросреда представлена силами более широкого социального плана, которые оказывают влияние на микросреду такими, как факторы демографического, экономического, технического, политического, культурного характера. ОСНОВНЫЕ ФАКТОРЫ ВНЕШНЕЙ МИКРОСРЕДЫ ФУНКЦИОНИРОВАНИЯ ФИРМЫ . Основная цель любой фирмы - получение прибыли. Основная задача системы управления маркетингом - обеспечить производство товаров, привлекательных с точки зрения целевых рынков. Успех зависит также и от действия посредников, конкурентов и различных контактных аудиторий, приведенных ниже: Поставщики - это деловые фирмы и отдельные лица, обеспечивающие компанию и ее конкурентов материальными ресурсами, необходимыми для производства конкретных товаров или услуг. События в среде поставщиков могут серьезно повлиять на маркетинговую деятельность фирмы (цены на товары поставщиков, забастовки у поставщиков и др. факторы). Маркетинговые посредники - это фирмы, помогающие компании в продвижении, сбыте и распространении ее товаров среди клиентуры. Это торговые посредники, фирмы - специализирующиеся по организации товародвижения, агентства по оказанию маркетинговых услуг и кредитно-финансовые учреждения. Торговые посредники подыскивают клиентов и непосредственно продают товар фирмы. Для фирмы более разумно использовать посредника с развитой сетью торговли, чем создать аналогичную сеть для своей фирмы. Выбор торговых посредников - сложная задача, т.к. в развитом рынке обычно торговый посредник это мощная фирма, которая диктует свои условия, и вообще может не допустить проникновения производителя на некоторые рынки большой емкости. Фирмы - специалисты по организации товародвижения помогают компании создавать запасы своих изделий и продвигать их от места производства до места назначения. Склады - это предприятия, обеспечивающие накопление и сохранность товаров на пути к их очередному месту назначения. Железные дороги, организации автотранспортных перевозок, авиалинии, грузовой, водный транспорт и другие грузообработчики, перемещающие товары из одного места в другое. Фирме надо выбрать самые экономичные методы отгрузки, сбалансировав такие факторы, как стоимость, объем и скорость поставки, сохранность груза. Агентства по оказанию маркетинговых услуг - это фирмы маркетинговых исследований, рекламные агентства, организации средств рекламы и консультационные фирмы по маркетингу - помогают фирме точнее нацеливать и продвигать товары на подходящие рынки. Фирма должна предварительно изучить услуги, качество их и расценки агентств, чтобы не пришлось затем менять его. Кредитно-финансовые учреждения - банки, кредитные компании, страховые компании и прочие организации, помогающие фирме финансировать сделки и страховать себя от риска. КЛИЕНТУРА . Основными типами клиентурных рынков являются:
Контактные аудитории средств информации. Аудитории средств информации - организации, распространяющие новости, статьи, комментарии (газеты, журналы, радио- и теле- центры). Контактные аудитории государственных учреждений . Руководство фирмы должно откликаться и учитывать то, что происходит в государственной сфере (проблемы безопасности, истины в рекламе, прав дилеров и т.п.). Гражданские группы действий - это группы по защите окружающей среды, по борьбе за качество продукции и т.п. Местные контактные аудитории - это окрестные жители и общинные организации. Для работы с местным населением крупные фирмы обычно назначают специального ответственного за связи с общиной, который присутствует на собраниях членов общины, отвечает на вопросы. Широкая публика. Фирма должна придирчиво следить за отношением публики к своим товарам и своей деятельности. На публику действует образ фирмы. Она должна реагировать на претензии потребителей. Внутренние контактные аудитории. Это собственные рабочие и служащие фирмы, добровольные помощники, управляющие, члены совета директоров. Фирма издает информационные бюллетени и прибегает к другим формам коммуникаций (связей) с целью создания хорошего настроения по отношению к собственной фирме, т.к. их положительное отношение распространяется на другие контактные аудитории. Внутреннюю микросреду фирмы можно представить в виде схемы.
ОСНОВНЫЕ ФАКТОРЫ МАКРОСРЕДЫ ФУНКЦИОНИРОВАНИЯ ФИРМЫ . Макросреда слагается из шести основных сил. Демография - наука, изучающая население, с точки зрения его численности, плотности и т.п. Для маркетинга демографическая среда представляет большой интерес, поскольку рынки состоят из людей. Составляется таблица рынков в различных районах и определяется приблизительная численность населения и его структура. Экономические факторы . Деятели рынка должны обращать внимание на характер распределения доходов с учетом географического местоположения. Природные факторы включают: · дефицит некоторых видов сырья (разрушение озонового слоя, вырубки, истощение невосполняемых ресурсов - нефти и т.д.); · рост загрязнения среды; · решительное вмешательство государства в регулирование природных ресурсов. Научно – технические факторы включают: · ускорение научно - технического прогресса; · появление безграничных возможностей в создании новых товаров, биотехнологий, робототехники и т.п.; · рост ассигнований на НИОКР; · ужесточение госконтроля за качеством и безопасностью товара. Политико-правовые факторы представлены: · законодательством по регулированию предпринимательской деятельности; · повышением требований со стороны государства к государственным. учреждениям, следящим за соблюдением законов; · ростом числа групп по защите интересов общественности. Культурные факторы определяются: · приверженностью к культурным традициям; · субкультурой в рамках единой культуры; · временными изменениями вторичных культурных ценностей (прически, мода); · отношением людей к самим себе - приверженностью к определенным товарам; · отношением людей к обществу, природе, к мирозданию (культовые интересы). При проведении маркетинговых исследований все факторы микро и макросреды необходимо учитывать. ПРОЦЕСС УПРАВЛЕНИЯ МАРКЕТИНГОМ Каждая фирма заинтересована в эффективном управлении своей маркетинговой деятельности. Ей нужно знать, как анализировать рыночные возможности, отбирать подходящие целевые рынки, разрабатывать эффективный комплекс маркетинга и успешно управлять претворением в жизнь маркетинговых задач. Все это и составляет процесс управления маркетингом, элементы которого представлены на рис. 4
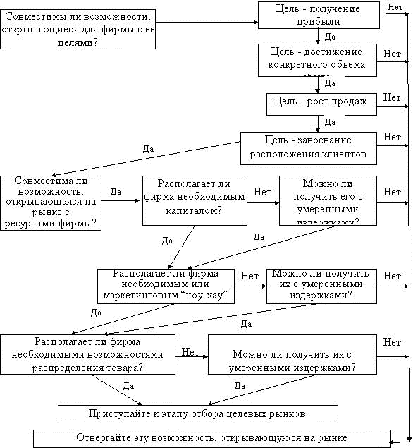
Рис.4 Процесс управления маркетингом АНАЛИЗ РЫНОЧНЫХ ВОЗМОЖНОСТЕЙ Оценку рыночных возможностей, с точки зрения целей и ресурсов фирмы, можно представить в виде схемы (рис. 5.). Фирме может показаться, что ее рыночные возможности ограничены, но это лишь подтверждает неумение мысленно увидеть будущее и осознать свои сильные стороны. Фирма может заняться выявлением новых рынков, используя, в частности, сетки развития товаров и рынка.
Рис. 6. Выявление новых рынков с помощью сетки развития товара и рынка С помощью данной сетки возможны следующие варианты:
Рис.5. Оценка рыночной возможности, с точки зрения целей и ресурсов Отбор целевых рынков состоит из четырех этапов: · замеры и прогнозирование спроса; · сегментирование рынка; · отбор целевых сегментов; · позиционирование товара на рынке. Замеры и прогнозирование спроса предполагают выявление всех аналогичных товаров, продающихся на рынке, оценку объема их продаж и оценку будущего размера рынка. Сегментирование рынка - это процесс разбивки потребителей на группы на основе различий в нуждах и поведении. Сегмент рынка состоит из потребителей, одинаково реагирующих на один и тот же набор побудительных стимулов маркетинга. Японский опыт выхода на рынок предполагает освоение одного, обойденного всеми рынка, завоевание имени, а затем освоение новых сегментов и захват доминирующего положения. Крупные компании стремятся к полному охвату рынка. Оценить причины, почему покупатели приобретают один вид товара, а не другой (например, аспирин - быстродействующий или медленнодействующий) помогает схема сравнения их свойств, с точки зрения покупателей, или схемы позиционирования товара. Позиция товара соответствует восприятию покупателей, а не их действительности. Чем ближе расположены друг к другу марки товара, тем, по мнению покупателей, они выглядят как удовлетворяющие одну и ту же нужду. Деятель рынка объединяет товары и потребительские предпочтения в сводную схему, которая показывает, что хотели бы приобрести покупатели. РАЗРАБОТКА КОМПЛЕКСА МАРКЕТИНГА Комплекс маркетинга включает 4 составляющих: · товар; · цена; · методы распределения; · методы стимулирования. Иначе комплекс маркетинга - это набор поддающихся контролю переменных факторов маркетинга, совокупность которых фирма использует в стремлении вызвать желательную ответную реакцию со стороны целевого рынка. ПРЕТВОРЕНИЕ В ЖИЗНЬ МАРКЕТИНГОВЫХ МЕРОПРИЯТИЙ Претворение в жизнь маркетинговых мероприятий требует системы управления маркетингом, которая включает планирование маркетинга, состоящего из стратегического и тактического (текущего) планирования, организацию управления и контроль. Цель системы стратегического планирования - удостовериться, что фирма находит и развивает сильные производства и сокращает или вообще сворачивает слабые. Под планированием маркетинга понимается разработка планов для каждого отдельного производства и рынка после того, как фирма приняла стратегическое решение относительно того, как поступать с каждым из своих производств. Фактически компания будет разрабатывать два плана: перспективный и годовой. Для реализации планов маркетинга создается на предприятии служба маркетинга по одной из ниже приведенных схем. Самой распространенной схемой является функциональная организация службы маркетинга .
Эта схема обладает простотой управления, однако по мере роста товарного ассортимента и рынков затрудняется составление планов по каждому товару и рынку и координация маркетинга фирмы в целом. Для компаний, торгующих по всей территории страны, используется другой подход: координация по географическому принципу.
Преимущество этой схемы в том, что торговые агенты могут жить в пределах обслуживаемых ими территорий, могут лучше узнавать клиентов и эффективно работать с минимальными издержками времени и средств на разъезды. Фирмы с широкой товарной номенклатурой используют организацию по товарному или товарно-марочному производству. Организация по товарному производству не заменяет функциональной организации, а является еще одним уровнем управления.
Преимущества этой организационной структуры в том, что управляющие по товару, в том числе по второстепенным товарам, координируют весь комплекс маркетинга по своему товару, быстро реагируют на возникающие на рынке проблемы, и это хорошая школа для молодых руководителей. Недостатки в том, что часто возникают конфликты из-за недостаточности прав у управляющих по товарам и система обходится дороже, чем предполагается вначале. Суть оргструктуры по рыночному типу в том, что вместо товара, управление организовано по рынкам сбыта (отраслям) , как показано на рис. 10.
Достоинство этой системы в ориентации фирмы на нужды потребителей, составляющих конкретные сегменты рынка. Организация по товарно-рыночному типу или матричному принципу
Система обладает преимуществами товарной и рыночной структур, однако основными ее недостатками являются большие затраты и частые конфликты. Однако большинство управляющих считают, что достоинства матричной системы перевешивают ее недостатки. Для того чтобы быть уверенным в эффективности деятельности фирмы, осуществляется маркетинговый контроль. Выделяют три типа маркетингового контроля: · контроль за выполнением планов; · контроль прибыльности; · стратегический контроль. СИСТЕМА ПЛАНИРОВАНИЯ МАРКЕТИНГА Любая фирма должна смотреть вперед, чтобы ясно сознавать, куда она хочет идти и каким образом добраться до цели. Не следует пускать на самотек собственное будущее. Чтобы этого не случилось, фирма использует сразу две системы: систему стратегического Минирования и систему планирования маркетинга. Система стратегического планирования исходит из того, что у компании есть несколько сфер деятельности. Каждая сфера деятельности представлена несколькими товарами. Не все эти сферы деятельности и не все товары одинаково привлекательны. Некоторые производства растут, другие стабилизировались на одном уровне, третьи приходят в упадок. Если бы все производства какой-либо компании испытывали спад, она была бы в серьезном затруднении. Компания должна быть уверена, что для поддержания своего роста она разворачивает достаточное количество новых перспективных производств (или предлагает товаров). Цель системы стратегического планирования — удостовериться, что фирма находит и развивает сильные производства и сокращает или вообще сворачивает слабые. Под планированием маркетинга понимается разработка планов для каждого отдельного производства, товара или товарной марки фирмы. При этом имеется в виду, что фирма уже приняла стратегическое решение относительно того, как поступать с каждым из своих производств. Теперь для каждого из них нужен детально разработанный план маркетинга. Предположим, к примеру, что компания «Элен Кертис» приняла решение продолжать предлагать рынку шампунь «Суав», поскольку у него есть большой потенциал роста продаж. В этом случае компания займется разработкой плана маркетинга, призванного обеспечить достижение желательного роста. Фактически компания будет разрабатывать два плана — перспективный и годовой. Управляющий сначала подготовит пятилетний план с изложением основных факторов и сил, которые будут оказывать влияние на рынок шампуня «Суав» в течение предстоящего пятилетия, изложением целей на пятилетку, основных стратегических приемов завоевания для марки намеченной доли рынка и получения намеченных прибылей, указанием суммы необходимых затрат и ожидаемых доходов. Каждый год этот пятилетний план будут пересматривать и корректировать, чтобы у фирмы всегда был действующий план на предстоящие пять лет. Затем разрабатывается годовой план — развернутый вариант наметок пятилетнего плана на первый год его осуществления. В годовом плане дается изложение текущей маркетинговой ситуации, перечисление существующих угроз и возможностей, целей и проблем, стоящих перед обычным или марочным товаром, излагается стратегия маркетинга на год и программа действий, указываются суммы сметных ассигнований, определяется порядок контроля. Этот план становится основой для координации всех видов деятельности — производственной, маркетинговой, финансовой. Тема 3. Основы формирования потребительского спроса, понятие спроса, его уровни, состояния спроса и задачи маркетинга, соответствующие этим состояниям, модель покупательского поведения и процесс принятия решения о покупке. ОСНОВЫ ФОРМИРОВАНИЯ ПОТРЕБИТЕЛЬСКОГО СПРОСА Понятие спроса, его эластичность Спрос определяется платежеспособной потребностью покупателей (потребителей). Спрос изображается в виде графика, показывающего количество продукта, которое потребители готовы и в состоянии купить по некоторой цене из возможных в течение определенного периода времени цен. Спрос выражает ряд альтернативных возможностей, которые можно представить в виде таблицы. Он показывает то количество продукта, на которое (при прочих равных условиях) будет предъявлен спрос при разных ценах. Спрос показывает количество продукта, которое потребители будут покупать по разным возможным ценам. Цена спроса — максимальная цена, по которой потребитель готов купить данную продукцию. Величины спроса должны иметь определенное значение и относиться к определенному отрезку времени. Коренное свойство спроса заключается в следующем: при неизменности всех прочих параметров снижение цены ведет к соответствующему возрастанию величины спроса. Бывают случаи, когда практические данные противоречат закону спроса, но это не означает его нарушение, а только лишь нарушение допущения при прочих равных условиях. Любая цена назначенная фирмой, так или иначе скажется на уровне спроса на товар. Деятелю рынка необходимо знать, на сколько чувствителен спрос к изменению цены. Если под влиянием небольшого изменения цены спрос почти не меняется, мы говорим, что он не эластичен. Если же спрос претерпевает значительные изменения, мы говорим, что он эластичен. Что определят эластичность спроса по ценам? Спрос, вероятнее всего, будет менее эластичным при следующих обстоятельствах: 1) товару нет или почти нет замены или отсутствуют конкуренты, 2) покупатели не сразу замечают повышение цен, 3) покупатели медленно меняют свои покупательские привычки и не торопятся искать более дешевые товары, 4) покупатели считают, что повышенная цена оправдана повышением качества товара, естественным ростом инфляции и т. п. СОСТОЯНИЯ СПРОСА, И ЗАДАЧИ МАРКЕТИНГА, СООТВЕТСТВУЮЩИЕ ЭТИМ СОСТОЯНИЯМ 1. Отрицательный спрос . Рынок находится в состоянии отрицательного спроса, если большая его часть недолюбливает товар и согласна даже на определенные издержки, лишь бы избежать его. У людей негативный спрос на прививки, стоматологические процедуры, операции на желчном пузыре. У работодателей ощущается отрицательный спрос на наем бывших заключенных и алкоголиков. Задача маркетинга - проанализировать, почему рынок испытывает неприязнь к товару и может ли программа маркетинга изменить негативное отношение рынка посредством переделки товара, снижения цен и более активного стимулирования. 2. Отсутствие спроса .Целевые потребители могут быть не заинтересованными в товаре или безразличными к нему. Так, фермеры могут не заинтересоваться новым агротехническим приемом, а студенты колледжа - изучением иностранного языка. Задача маркетинга - отыскать способы увязки присущих товару выгод с естественными потребностями и интересами человека. 3. Скрытый спрос. Многие потребители могут испытывать сильное желание, которое невозможно удовлетворить с помощью имеющихся на рынке товаров или услуг. Существует большой скрытый спрос на безвредные сигареты, безопасные жилые микрорайоны и более экономичные автомобили. Задача маркетинга - оценить величину потенциального рынка и создать эффективные товары и услуги, способные удовлетворить спрос. 4. Падающий спрос. Рано или поздно любая организация столкнется с падением спроса на один или несколько своих товаров. Снижается посещаемость церквей, падает число желающих поступать в частные колледжи. Деятель рынка должен проанализировать причины падения конъюнктуры и определить, можно ли снова стимулировать сбыт путем отыскания новых целевых рынков, изменения характеристик товара или установления более эффективной коммуникации. Задача маркетинга - обратить вспять тенденцию падения спроса благодаря творческому переосмыслению подхода к предложению товара. 5. Нерегулярный спрос. У многих организаций сбыт колеблется на сезонной, ежедневной и даже почасовой основе, что вызывает проблемы недогрузки и перегрузки. Большая часть общественного транспорта не загружена во время дневного затишья и не справляется с перевозками в часы пик. По будням в музеях мало посетителей, зато в выходные дни залы переполнены. Задача маркетинга - изыскать способы сгладить колебания в распределении спроса по времени с помощью гибких цен, мер стимулирования и прочих приемов побуждения. 6. Полноценный спрос. О полноценном спросе говорят, когда организация удовлетворена своим торговым оборотом. Задача маркетинга - поддерживать существующий уровень спроса не смотря на меняющиеся потребительские предпочтения и усиливающуюся конкуренцию. Организация должна неукоснительно заботиться о качестве товара и обслуживания, постоянно замерять уровень потребительской удовлетворенности, чтобы судить о правильности своих действий. 7. Чрезмерный спрос. У ряда организаций уровень спроса выше, чем они могут или хотят удовлетворить. Задача маркетинга. Именуемого в данном случае "демаркетингом", - изыскать способы временного или постоянного снижения спроса. При общем демаркетинге стремятся сбить чрезмерный спрос, прибегая к таким мерам, как повышение цен, ослабление усилий по стимулированию и сокращение сервиса. При выборочном демаркетинге стремятся сократить уровень спроса на тех участках рынка, которые менее доходны или требуют меньше сервисных услуг. Цель демаркетинга - не ликвидировать спрос, а всего лишь снизить его уровень. 8. Нерациональный спрос. Противодействие спросу на товары, вредные для здоровья, требует целеустремленных усилий. Проводятся кампании против распространения сигарет, спиртных напитков, наркотических средств, огнестрельного оружия. Задача маркетинга - убедить любителей чего-то отказаться от своих привычек, распространяя устрашающие сведения, резко поднимая цены и ограничивая доступность товара. Из таблицы видно, как влияет изменение потребительского спроса на маркетинговую стратегию предприятия. Взаимосвязь изменения спроса потребителей и стратегии предприятия
МОДЕЛЬ ПОКУПАТЕЛЬСКОГО ПОВЕДЕНИЯ И ПРОЦЕСС ПРИНЯТИЯ РЕШЕНИЯ О ПОКУПКЕ В прошлом деятели рынка учились понимать своих потребителей в процессе повседневного торгового общения с ними. Однако рост размеров фирм и рынков лишил многих распорядителей маркетинга непосредственных контактов со своими клиентами. Управляющим приходится все чаще прибегать к исследованию потребителей. Они тратят больше, чем когда-либо раньше, на изучение потребителей, пытаясь выяснить, кто именно покупает, как именно покупает, когда именно покупает, где именно покупает, и почему именно покупает. Основной вопрос: как именно реагируют потребители на резные побудительные приемы маркетинга, которые фирма может применять? Фирма, по-настоящему разобравшаяся в том, как реагируют потребители на различные характеристики товара, цены, рекламные аргументы и т. п. Именно поэтому и фирмы и научные работники тратят так много усилий на исследование зависимостей между побудительными факторами маркетинга и ответной реакцией потребителей. Отправной точкой всех этих усилий является простая модель, представленная на рис. 12. На нем показано, что побудительные факторы, маркетинга и прочие раздражители проникают в "черный ящик" сознания покупателя и вызывают определенные отклики.
На рис. 13 эта же модель представлена в более развернутом виде. В левом прямоугольнике - побудительные факторы двух типов. Побудительные факторы маркетинга включают в себя четыре элемента: товар, цену, методы распространения и стимулирования. Прочие раздражители слагаются из основных сил и событий из окружения покупателя; экономической, научно-технической, политической и культурной среды. Пройдя через "черный ящик" сознания покупателя, все эти раздражители вызывают ряд поддающихся наблюдению покупательских реакций, представленных в правом прямоугольнике: выбор товара, выбор марки, выбор дилера, выбор времени покупки, выбор объема покупки. Задача деятеля рынка - понять, что происходит в "черном ящике" сознания потребителя между поступлением раздражителей и проявлением откликов на них. Сам "черный ящик" состоит из двух частей. Первая - характеристики покупателя, оказывающие основное влияние на то, как человек воспринимает раздражители и реагирует на них. Вторая часть - процесс принятия покупательского решения, от которого зависит результат. Теперь необходимо рассмотреть этапы, которые покупатель преодолевает на пути к принятию решения о покупке и ее совершению. На рис. 14 представлены пять этапов, через которые проходит потребитель. Из этой модели следует, что процесс покупки начинается задолго до совершения акта купли-продажи, а ее последствия проявляются в течение долго времени после совершения этого акта. Процесс покупки начинается с того, что покупатель осознает проблему или нужду. Он чувствует разницу между своим реальным и желаемым состоянием. Нужда может быть возбуждена внутренними или внешними раздражителями. На этом этапе деятелю рынка необходимо выявить обстоятельства, которые обычно подталкивают человека к осознанию проблемы. Следует выяснить: а) какие именно ощутимые нужды или проблемы возникли, б) чем вызвано их возникновение, в) каким образом вывели они человека на конкретный товар.
Возбужденный потребитель может заняться, а может и не заняться поисками дополнительной информации. Если побуждение оказывается сильным, а товар, способный его удовлетворить, легкодоступен, потребитель скорее всего совершит покупку. Если нет, то нужда может просто отложиться в его памяти. При этом потребитель может либо прекратить поиски информации, либо поискать еще немного, либо заняться активными поисками. В поисках информации потребитель может обратиться к следующим источникам: · Личные источники (семья, друзья, знакомые). · Коммерческие источники (реклама, продавцы, упаковка, выставки). · Общедоступные источники (средства массовой информации). · Источники эмпирического опыты (осязание, изучение, использование товара) Относительное влияние этих источников информации варьируется в зависимости от товарной категории и характеристик покупателя. Каждый вид источников может по-разному сказываться на принятии решения о покупке. Самыми эффективными являются личные источники. Потребитель использует информацию для того, чтобы составить для себя комплект марок, из которого производится окончательный выбор. Вопрос заключается в том, как именно совершается выбор среди нескольких альтернативных марок, каким образом потребитель оценивает информацию. Для оценки вариантов можно выделить несколько основных понятий, с помощью которых она совершается. Во-первых, существует понятие о свойствах товара. Каждый потребитель рассматривает любой данный товар как определенный набор свойств. Больше всего человек обращает внимания на свойства, которые имеют отношение к его нужде. Во-вторых, потребитель склонен придавать разные весовые показатели значимости свойствам, которые он считает актуальными для себя. Можно провести различие между важностью того или иного свойства и его характерностью, т. е. заметностью. В-третьих, потребитель склонен создавать себе набор убеждений о марках. Набор убеждений о конкретном марочном товаре известен как образ марки. Убеждения потребителя могут колебаться от знания подлинных свойств по собственному опыту до знаний, являющихся результатом избирательного восприятия, избирательного искажения и избирательного запоминания. В-четвертых, считается, что каждому свойству потребитель приписывает функцию полезности. Функция полезности описывает степень ожидаемой удовлетворенности каждым отдельным свойством. В-пятых, отношение к марочным альтернативам складывается у потребителя в результате проведенной им оценки. Оценка вариантов ведет к ранжированию объектов в комплекте выбора. У потребителя формируется намерение совершить покупку, причем наиболее предпочтительного объекта. Купив товар, потребитель будет либо удовлетворен, либо неудовлетворен им. У него проявится ряд реакций на покупку, которые представляют интерес для деятеля рынка. Работа занимающегося маркетингом не кончается актом покупки, а продолжается и в послепродажный период. Что определяет степень удовлетворенности потребителя совершенной покупкой? Ответ кроется в соотношении между ожиданиями потребителя и воспринимаемыми эксплуатационными свойствами товара. Если товар соответствует ожиданиям, потребитель удовлетворен, если превышает их - потребитель весьма удовлетворен, если не соответствует им - потребитель неудовлетворен. Чем больше разрыв между ожидаемыми и реальными эксплуатационными свойствами, тем острее неудовлетворенность потребителя. Тема 4. Анализ рынков, метод изучения рынка, построение функции спроса и прогнозирования. АНАЛИЗ РЫНКОВ Под анализом рынка понимается сбор, сведение в систему и анализ числовых показателей, касающихся рынка и продаж. Благодаря этому становится ясной ситуация со сбытовой деятельностью в прошлом и выявляются сложившиеся на рынке тенденции и проблемы. В качестве цели ставится разработка сбытовой политики на предстоящий период. Если показатели сбыта плавно растут и нет изменений в выпускаемой продукции и методах сбыта, то достаточно учесть только обобщенные показатели фактической реализации без проведения структурного анализа. Во всех же остальных случаях необходимо выяснение причин, проблем и определение путей их преодоления. Нужно начинать с анализа показателей сбыта, но его изначально необходимо рассматривать в комплексе с анализом внешней информации. Следует отметить, что нет особой необходимости использовать излишне сложные методы математического анализа или проводить большой по объёму многоцелевой анализ. Анализ рынка является инструментом для предварительной оценки проблем и проверки положения предприятия на рынке в соответствии с видом его коммерческой деятельности. Различают три вида анализа рынка: Анализ рынка в целом и положения предприятия на нём, масштаб рынка, доля на рынке, анализ претензий потребителей и т.д. Изменения, выявленные при анализе, представляются и систематизируются следующим способами: · Аналитическими таблицами изменений: создается несколько таблиц изменений ситуаций на рынке с выбором сочетаний факторов и показателей. В сжатой форме описываются: Потребитель и его запросы, продаваемая продукция, конкуренты, тенденции реализации продукции на рынке в целом. · Составление карты позиционирования: в соответствии с целями выбираются соответствующие характеристики для откладывания их по вертикальной и горизонтальным осям, и определяется место предприятия на рынке по каждой группе продукции. · Анализ с помощью расчета фактических показателей сбыта и с использованием временных рядов (тенденций, сезонности и т.д.) Когда в условиях резких изменений маркетинговой обстановки фактические показатели сбыта не растут должным образом, необходимо взглянуть на них с новой точки зрения. В качестве возможных критериев могут быть: · анализ динамики сбыта в целом за последние несколько лет; · анализ динамики отдельных элементов (по сферам: по видам продукции, по группам потребителей, в том числе по конечным, по районам, по каналам сбыта); · анализ с рассмотрением взаимосвязи причинных факторов ( строится гипотеза о том, что существует ли причинно-следственная связь между фактическими показателями и конкретным фактором, после чего происходит практическая оценка гипотез, рассматриваются не только предметные факторы, но и абстрактные явления и факторы типа "восприимчивость" или "система ценностей"; · анализ степени вклада по сферам и внутри сфер или выявление тех моментов, на которые особо следует обратить внимание при управлении сбыта на предприятие. Анализ с использованием временных рядов есть по существу метод, при котором происходит сравнительный анализ данных за долговременный период и выявление тренда в изменении этих показателей с течением времени. Под трендом понимается тенденция развития явления во времени, которая определяется при анализе данных ряда динамики для характеристики изменений явления во времени. Существует 3-основных вида тренда: долговременный (долговременные колебания), сезонный (сезонные колебания) и периодический (периодические колебания). Для прогнозирования и создания планов сбыта, наиболее часто используется долговременный и сезонный тренд. Используют следующие типичные методы анализа долговременного тренда: метод критериев, метод двух средних, метод скользящей средней, метод наименьших квадратов и корреляционный анализ. · Анализ по классам ABC. Метод разделения важных и не важных данных из огромного объёма сведений о показателях продаж по отдельным видам продукции и отдельным категориям потребителей. · Анализ с помощью гипотез, высказываемых ответственными сотрудниками предприятия и экспертами. При анализе рынка нет смысла пользоваться всеми методами подряд и без разбору. Необходимо чётко определить цели анализа, выбрать те из них, которые будут наиболее эффективны, и отобрать нужные для них данные. · сумма (объём) продаж в абсолютном выражении; · маржинальная рентабельность, т.е. (выручка от реализации - переменные издержки), выручка от реализации, в целом по предприятию, подразделениям или отдельным группам, видам продукции; · темпы прироста прибыли; · окупаемость. В тоже время не стоит в процессе анализа увлекаться и анализом результатов в абсолютном изолированном значении. В этом случае существует опасность одностороннего взгляда. Например, если рассматривать в чистом виде объём продаж какого-либо вида продукции, имеющего абсолютные показатели, даже при низких темпах роста, может создаться впечатление, что свою стратегию надо связывать именно с ним. Для того, чтобы избежать этой опасности надо вводить в расчёт весовые коэффициенты по каждому показателю и использовать произведения параметров, а не их абсолютные значения. Анализируя рынок в целом, следует понимать, что тенденции рынка невозможно точно определить единичным изучением. За основными показателями следует наблюдать постоянно. При этом, если речь идет о продукции массового потребления, то изучение должно происходить в отношении изменения демографической структуры, географических аспектов, сезонных условий потребления, торговой обстановки в регионе, социально-экономических факторов, поведения потребителей в отношении покупки, стиля жизни, импорта. МЕТОДЫ ИЗУЧЕНИЯ РЫНКА В методике изучения рынка и разработки концепции маркетинга в последнее время все большую роль играют психологические методы, методы изучения мотивации покупателей, другими словами - почему покупатели охотнее покупают один товар и отказываются от другого, хотя с технической точки зрения оба товара одинаково удовлетворяют его потребности. Известно, что все решения людей, которые они принимают на протяжении всей своей жизни, обусловлены определенными мотивами. При определении мотивов поведения покупателей не следует никогда забывать о том, что их большинство иррационально. Поскольку, как показывают результаты проводимых исследований, большая часть причин, приводящих к принятию решения о покупке, не известна даже самим покупателям, то одной из главных задач изучения рынка в этом отношении является выявление тех мотивов, которые не известны самим покупателям. ПОСТРОЕНИЕ ФУНКЦИИ СПРОСА И ПРОГНОЗИРОВАНИЯ Понятие спроса Рыночный спрос на конкретный вид продукта – это максимальный объем продаж данного изделия в данном месте и в данный период по определенной цене. В наглядной форме спрос на конкретный продукт может быть представлен зависимостью цены единицы продукта от общего количества продаж продукции этого вида за некоторый период этого времени. Эту зависимость в экономической литературе называют функцией спроса. Функция спроса – это набор данных в графической или табличной форме о сложившимся на рынке соотношении между ценой на товар и возможным объемом его реализации по этой цене. При «эластичном» спросе эта зависимость имеет следующий вид:
![]() Рис.15. Функция спроса. При использовании метода регрессии прогноз спроса опирается на фактическую информацию о продажах и использует количественные приемы обработки данных за прошедший период времени. В наиболее наглядной форме метод построении регрессионной зависимости состоит в анализе временных рядов, продаж и цен, формировании представительной выработки и экстраполяции зависимости «цена-объем продаж» на ближайшее будущее. В основе метода лежит предложения о стабильности причинно-следственных связей и о регулярности эволюции факторов внешней среды, что делает возможным использование приемов экстраполяции тенденции, наблюдаемой в прошлом на будущее. Тема 5. Товарная политика в маркетинге, планирование товаров и стратегия маркирования. ТОВАРНАЯ ПОЛИТИКА В МАРКЕТИНГЕ Основные классификации товаров Товар - все, что может удовлетворить нужду или потребность и предлагается рынку с целью привлечения внимания, приобретения, использования или потребления. Это могут быть физические объекты, услуги, лица, места, организации и идеи. Наряду с понятием «товар» существует понятие «товарная единица». Товарная единица - обособленная целостность, характеризуемая показателями величины, цены, внешнего вида и прочими атрибутами. Каждую отдельную товарную единицу, предлагаемую потребителям, можно рассматривать относительно трех уровней: · товар по замыслу - это та основная услуга, которую действительно приобретает покупатель; · товар в реальном исполнении - это предлагаемый на продажу товар с определенным набором свойств, внешним оформлением, уровнем качества, марочным названием и упаковкой; · товар с подкреплением - это товар в реальном исполнении в совокупности с услугами, его сопровождающими, такими, как гарантия, установка или монтаж, профилактическое обслуживание и бесплатная доставка. В современных рыночных условиях предприятия разных отраслей вынуждены разрабатывать различные товарные классификации на основе присущих этим товарам характеристик. Для того чтобы выявить товары наибольшего спроса и местонахождение потребителей, применяют следующие классификации: по степени долговечности или материальной осязаемости товары можно разделить на три группы: · товары длительного пользования - материальные изделия, обычно выдерживающие многократное использование; · товары кратковременного пользования - материальные изделия, полностью потребляемые за один или несколько циклов использования; · услуги - объекты продажи в виде действий, выгод или удовлетворения. На основе покупательских привычек потребителей существует разделение товаров народного потребления на следующие группы: 1. товары повседневного спроса - товары, которые потребитель обычно покупает часто, без раздумий и с минимальными усилиями на их сравнение между собой. Такие товары можно дополнительно подразделить на группы: · основные товары постоянного спроса, т. е. те товары, которые люди покупают постоянно; · товары импульсной покупки покупают без всякого предварительного планирования и поисков, они, как правило, продаются во многих местах, поэтому потребители почти всегда могут их легко приобрести; · товары для экстренных случаев покупают при возникновении острой нужды в них; производители организуют распространение этих товаров через множество торговых точек, чтобы не упустить возможность продажи, когда потребителю вдруг понадобятся эти товары; 2. товары предварительного выбора - товары, которые потребитель в процессе выбора и покупки, как правило, сравнивает между собой по показателям пригодности, качества, цены и внешнего оформления. Товары предварительного выбора можно дополнительно подразделить следующим образом: · схожие - рассматриваются покупателем как изделия, одинаковые по качеству, но отличающиеся друг от друга по цене в такой мере, чтобы оправдать их сравнение между собой при покупке; · несхожие - рассматриваются потребителем относительно их свойств в большей степени, нежели относительно цены. Именно поэтому при продаже несхожих товаров предварительного выбора необходимо иметь широкий ассортимент, чтобы удовлетворять самые разнообразные индивидуальные вкусы, и держать штат хорошо подготовленных продавцов, которые могли бы снабдить потребителя необходимой информацией и дать ему совет; 3. товары особого спроса - товары с уникальными характеристиками и (или) отдельные марочные товары, ради приобретения которых значительная часть покупателей готова затратить дополнительные усилия; 4. товары пассивного спроса - товары, которых потребитель не знает или знает, но обычно не задумывается об их покупке. Понятие товарной политики Можно определить товарную политику следующим образом: Товарная политика - это маркетинговая деятельность, связанная с планированием и осуществлением совокупности мероприятий и стратегий по формированию конкурентных преимуществ и созданию таких характеристик товара, которые делают его постоянно ценным для потребителя и тем самым удовлетворяют ту или иную потребность, обеспечивая соответствующую прибыль фирме. Целью товарной политики является стремление придать управляемость процессу поиска фирмой своего места на рынке или рыночном сегменте. При этом товарная политика оказывается тесно связанной с концепцией привлекательности производства: каждой фирме необходима определенная политика, позволяющая управлять ростом производственных мощностей. Её основой должны быть оценка реальных и потенциальных возможностей фирмы и её конкурентные преимущества. Именно товарная политика становится центральным элементом политических решений в этой области. Товарная политика задаёт направление развития товарного ассортимента и поэтому неразрывно связана с инвестиционными задачами роста, сохранения позиций и изменения курса деятельности. Возможные варианты развития товаров: · Товары мировой новизны, создающие новые рынки; · Новые товарные линии, позволяющие фирме выйти на уже сложившиеся рынки, т.е. новые товары для фирмы; · Дополнения к существующему ассортименту изделий; · Перепозиционирование товара; · Модификации существующих товаров; · Снижение издержек. Решения в области товарной политики касаются 2 основных направлений: Первое связано с разработкой и выводом на рынок новых товаров/услуг (инновации). Второе - с управлением поведением товара на рынке (формирование ассортиментного портфеля, разработка стратегий с учетом Жизненного Цикла Товара (ЖЦТ), бренд-строительство и т.д.) Цели товарной политики и товарной стратегии. Рассматриваются с точки зрения необходимого потока прибылей. 1. Обеспечение текущей прибыли: фирма сосредотачивается на наращивании имеющихся мощностей и избегает проектов, требующих масштабных технических разработок или влекущих за собой крупные капитальные вложения; поиск возможностей снижения себестоимости и модификаций качества товаров как инструмент обеспечения текущей прибыли. 2. Обеспечение постоянства прибыли: скорее всего, фирма будет отказываться от принципиальных нововведений, а будет принята позиция конкурентного паритета; управление в данной ситуации будет носить ответный, а не упреждающий характер, и сосредоточится на развитии ассортимента и усовершенствовании товара. 3. Будущий рост прибыли: при использовании упреждающей стратегии упор делается на ведение конкурентной борьбы «на опережение», заключающейся в продаже нового товара или его аналога, обладающего уникальным конкурентным преимуществом. Управление, таким образом, сосредотачивается на ожидаемом росте прибыли посредством инноваций, что обычно означает наращивание усилий в области НИОКР с целью разработки новых товаров и усовершенствования производственного процесса или проведения маркетинга для освоения новых рынков. Этапы товарной политики (примерные): · расширение зон обслуживания (расширяются границы, ведётся поиск новых рынков); · финансирование (определяются способы финансирования и максимальная сумма расходов); · степень риска (определяется приемлемый уровень риска); · степень новаторства; · сбалансированный ассортимент. ПЛАНИРОВАНИЕ ТОВАРОВ И СТРАТЕГИЯ МАРКИРОВАНИЯ Процесс планирования новой продукции включает восемь этапов - от формирования идеи до ее коммерческой реализации. Во время этого процесса предприятие создает потенциальные возможности, оценивает их, устраняет наименее привлекательные, получает представление о потребителях, разрабатывает продукцию, испытывает ее и внедряет на рынок. Основные этапы планирования товара-новинки:
Генерация идеи - это постоянный систематический поиск возможностей создания новых товаров. Он включает выделение источников идей и методов их создания. Источниками идей могут быть сотрудники, каналы сбыта, конкуренты, правительство и пр. Источники, ориентированные на рынок, выявляют возможности, основанные на желаниях и нуждах потребителей; затем на удовлетворение этих желаний ориентируются научные исследования. Методы генерации новых идей включают мозговую атаку, анализ существующей продукции, опросы. После того как предприятие выделило потенциальные товары, оно должно провести фильтрацию продукции: исключить плохие, неподходящие идеи из дальнейшего рассмотрения. В настоящее время предприятия для первичной оценки используют фильтрующий перечень оценочных показателей для новой продукции. В нем предприятие перечисляет качества новых продуктов, которые оно считает наиболее значимыми, и сравнивает все идеи по этим параметрам. Перечень стандартизован и позволяет сопоставлять идеи между собой. Фильтрующего перечня новой продукции включает три основные группы характеристик: общие, маркетинговые и производственные. В рамках каждой группы оценивают несколько параметров продукции для каждой идеи на основе шкалы - от 1 (выдающаяся) до 10 (очень плохая). Кроме того, взвешивается важность каждого параметра продукции, поскольку они по-разному влияют на ее успех. Во время этапа фильтрации должна определяться возможность патентования новой продукции. Патент дает изобретателю полезного продукта или процесса исключительные права на продажу в течение 17 лет. Обладатель патента имеет право продать изобретение или получать лицензионные отчисления от него. Предприятие должно иметь обратную связь с потребителями. Проверить концепцию - значит представить потребителю предлагаемый товар и изменить его отношение и намерение совершить покупку на этом раннем этапе разработки. Проверка концепции - недорогой инструмент проверки энтузиазма потенциальных покупателей, которых просят выразить свои отношения к изображению, письменной информации или устному описанию товара до дорогостоящей длительной разработки прототипа. Экономический анализ оставшихся идей продукции гораздо более детализирован, чем этап фильтрации (как правило, он основывается на анализе прогнозов спроса, издержек, предполагаемых капиталовложений и прибылей). Поскольку следующий этап - дорогая и длительная разработка продукции, действенное использование экономического анализа необходимо, чтобы вовремя устранить малоэффективные варианты. На этапе разработки продукции идею продукта воплощают в физическую форму и определяют базовую маркетинговую стратегию путем конструирования продукта, упаковки, разработки марки, определения положения продукта, проверки отношения и использования потребителем. Принять решение о производстве товара - значит выбрать тип и качество материалов, из которых он состоит, установить метод и время начала производства, себестоимость единицы продукции, степень использования производственных мощностей, возможные размеры и цвета, а также период, необходимый для перехода от разработки до коммерческого использования. Решения об упаковке определяют материалы, которые будут использованы; функции, которые она должна выполнять; издержки; альтернативные размеры и цвета. Решения о товарной марке включают выбор нового или существующего наименования; эксклюзивности; защиты торговой марки и искомого образа. Определить положение продукта на рынке сбыта - значит выбрать рыночный сегмент, сопоставить новый продукт с конкурирующими товарами предприятий, проанализировать отношение к продукту потребителей. Пробный маркетинг - это реализация продукта в одном или нескольких выбранных регионах и наблюдение за реальным развитием событий в рамках предлагаемого плана маркетинга. Цель - оценить продукцию и предварительно проверить маркетинговую деятельность в реальных условиях до начала полномасштабной реализации продукции. Чтобы применить этот метод, надо принять несколько решений: когда, где, как долго, какую информацию получить и как применить результаты. Период времени определяется скоростью и выбором момента. В конкурентной борьбе предприятия стремятся проделать все это как можно быстрее. Выбрать место пробной реализации продукции - значит определить, в скольких и в каких городах она может быть представлена. Обычно предприятие проверяет рынок в двух или трех городах. Длительность проверки обычно составляет от двух месяцев до двух лет и зависит от того, насколько предприятие опережает конкурентов, от сложности тестов, темпов вторичных закупок продукции и стремления к секретности. Предприятие должно решить, как оно будет использовать результаты проверки. Некоторые предприятия применяют пробный маркетинг для того, чтобы получить признание потребителей, и как первый этап реализации в рамках всей страны. Другие - для определения необходимых изменений в продукции и планах маркетинга. Третьи - для окончательного решения судьбы продукта. После завершения всех испытаний предприятие готово поставить продукцию на весь целевой рынок. Коммерческая реализация соответствует этапу внедрения жизненного цикла и включает реализацию всего плана маркетинга и полномасштабного производства, часто требующего больших затрат и быстрого принятия решений. Среди факторов, которые необходимо рассматривать на этом этапе, - скорость признания потребителями, скорость признания каналами сбыта, интенсивность распределения (через несколько точек), производственные возможности, структура продвижения, цены, конкуренция, срок достижения прибыльности и стоимость коммерческой реализации. Неразрывная часть стратегии проектирования и использования упаковки – маркировка товара с применением этикеток, ярлыков, штрихового кодирования и других подсобных средств. Они могут иметь вид незамысловатой бирки, прикрепленной к товару, или сплошной графической композиции, являющейся неотъемлемой частью упаковки. На этикетке может быть указано только марочное название товара либо приведен большой объем информации о нем. Тема 6. Оценка товаров в маркетинге и ценовая стратегия. ОЦЕНКА ТОВАРОВ В МАРКЕТИНГЕ Определение цены Что такое цена? Ответ зависит от того, с какой точки зрения посмотреть: с точки зрения потребителя или производителя. Потребители воспринимают цену как денежное выражение ценности товара, соответствующей качеству или особым характеристикам данного товара/ услуги. Другими словами, цена товара - это плата за его качество. С точки зрения психологии, цена представляет собой количественную оценку и/или субъективный образ преимуществ отдельных характеристик товара или услуги. Следовательно, психологическое восприятие потребителем цены является одним из основных моментов принятия решения о покупке товара. Цена товара, устанавливаемая рынком, складывается из комплекса характеристик, присущих данному товару или услуге. Данный комплекс состоит как из физических или эксплуатационных характеристик, обеспечивающих функционирование изделия, его надежность, удобство в эксплуатации, универсальность и эстетичный внешний вид, так и из дополнительных характеристик: гарантийного обслуживания, технического обслуживания, безопасности, престижа и пр. К примеру, такие марки автомобилей, как Lexus, Infinity, Mercedes-Benz, ассоциируются с качеством, особенными техническими характеристиками, престижем и эксклюзивностью товара. Рассматривая цену с точки зрения затрат, менеджмент игнорирует рынок и заботится только лишь о покрытии затрат на производство и распределение товара, а также о получении прибыли. Ценообразование, основанное на издержках, широко используется для товаров, спрос на которые неэластичен по цене, например, бензин. Большинство компаний, исключая промышленные, подвергаются риску при формировании цены на основе издержек и нормы прибыли, так как сформированная маркетологами конечная цена может быть гораздо выше или ниже рыночной. При высокой цене объем продаж снижается, что может заставить покупателей искать заменители данного товара. Слишком низкая цена не позволяет получить прибыль, которая может быть получена от продажи товара по средней рыночной цене. Таким образом, в обоих случаях компания не максимизирует прибыль, т.к. не может предсказать ответную реакцию рынка на цену. Когда ценность товара не отражается в цене, а механизм спроса и предложения не влияет на установление цены или когда желателен контроль над продажей товара, часто имеет место вмешательство государства. Государство может прямо или косвенно участвовать в ценообразовании. Структура цены Структура цены определяется как ряд ценовых уровней, которые демонстрируют, какая цена должна быть установлена на товар. Такие ценовые уровни позволяют применять гибкую систему цен в зависимости от характеристик товара, различий в потребителях и покупательского поведения. Например, ценовая структура пылесосов представляет собой различные цены для каждой модели и типа покупателя - оптовый, розничный, коммерческий и постоянный клиент (скидка в зависимости от количества покупок). Авиакомпании, к примеру, устанавливают цены в зависимости от маршрута, времени суток, уровня сервиса, длительности пребывания. Использования ценовой структуры позволяет обеспечить гибкость цен, быструю приспособляемость к ценовым стратегиям конкурентов, усиливает стратегию сегментации рынка. Ценовые структуры используются фирмами независимо от специфики рыночных условий так часто, что существует лишь несколько примеров использования одной цены для всех товаров. Например, за обед в эксклюзивном ресторане все клиенты платят одинаковую цену вне зависимости от выбора. Чтобы избежать установления единой цены на одинаковые, по существу, товары и услуги, авиакомпании, фирмы, сдающие в аренду авто, телефонные компании используют ценовые структуры и всевозможные «уловки», например, такие, как «карточка постоянного клиента». Система заказа авиабилетов такая сложная и запутанная, что если вы решите повторно позвонить в туристическое агентство, вам могут предложить уже другую цену. Одна из основных причин применения ценовой структуры - ответная реакция на действия конкурентов или возможности рынка. Часто используются скидки с прейскурантной цены. Чтобы предугадать ответную ценовую политику конкурентов, следует установить существенные различия в обслуживании различных сегментов рынка. Например стоимость авиабилета зависит в большей степени от степени популярности маршрута, а не от затрат на горючее и прочих издержек. В результате чего цены авиабилетов на наиболее популярные маршруты ниже. Структура цен, в основе которой лежит глубокая сегментация рынка, дает возможность разным покупателям по-разному оценивать товар или услугу. В идеале структура цен позволяет назначить высокую цену для сегмента готового заплатить ее. К примеру, посетители концертов на открытых площадках купят билеты по разным ценам: независимо от концерта, билет в первых рядах будет стоить гораздо дороже, чем в последних или на танцевальных площадках. Этика ценообразования В процессе формирования цены может возникнуть конфликт с общественными ценностями. Подобная ситуация возможна как в случае с чрезмерно завышенными, так и в случае с чрезмерно заниженными ценами. Безусловно, высокие цены вызовут гораздо большее недовольство, чем низкие, действия продавца могут быть признаны неэтичными в обоих случаях. Высокие цены предполагают получение сверхприбыли, в то время как низкие уменьшают ценность товара для покупателя. В результате возникает разногласие между себестоимостью, ценностью и желаемой прибылью. Несколько примеров ситуаций, когда ценообразование подвергается сомнению: * Увеличение цены не влияет на увеличение ценности товара (модификация, расширение ассортимента) * Цена марочного товара гораздо выше цены не марочного (фармацевтика) * Непропорционально высокая цена для дополнительных деталей (запасные части для иномарки) * Цена на новые товары выше, чем стоимость обмена товара бывшего в употреблении (ложный моральный износ). ЦЕНОВЫЕ СТРАТЕГИИ Производитель должен принять важное решение относительно выбора ценовой стратегии компании - ценовой позиции компании относительно конкурентов. Компания может выбрать стратегию, ориентированную на высокий уровень цен на свою продукцию относительно цен конкурентов с тем, чтобы обособить свои продукты от аналогов конкурентов и выстроить имидж качественной продукции. В свою очередь, другая компания может придерживаться стратегии низких цен, стремясь захватить большую долю рынка. Какой бы ни была ценовая стратегия компании, она непременно затронет другие составляющие маркетингового комплекса - характеристики продукта, методы распределения, рекламную политику, стратегию продвижения. Выбор ценовой стратегия компании определяется целями, которые она собирается достичь. Максимизация прибыли может потребовать установления высоких цен, учитывая тот уровень, который рынок может принять. Увеличение рыночной доли может потребовать использования стратегии низких цен, что облегчит проникновение на новые или существующие рынки. Цена, являясь неотъемлемой частью комплекса маркетинга, способствует достижению целей маркетинга, которые в свою очередь соответствуют целям фирмы. Сосредотачиваясь на завоевании конкурентных преимуществ, служба маркетинга анализирует ситуацию на рынке, ставит специфические цели и разрабатывает стратегии или пути достижения поставленных целей. Деятель рынка должен решить, какая ценовая стратегия способна привести фирму к достижению поставленной цели. При разработке ценовой стратегии организации необходимо руководствоваться следующими правилами. 1. Объем продаж : исходя из объема продаж конкретного товара, необходимо решить, стоит ли разрабатывать для него отдельную ценовую политику? 2. Знания потребителей : м ожет ли потребитель оценить ценность товара, и различает ли он уровни цен? 3. Спрос : какую роль играет цена в принятии потребителем решения о покупке? 4. Информация : может ли деятель рынка точно установить соотношение между ценой и воспринимаемой ценностью товара? 5. Товар-заменитель :существуют ли товары-заменители? 6. Приверженность: предпочтут ли потребители товары конкурентов по иным причинам, нежели более привлекательная цена? Очень важно понять, что наиболее разумно при разработке ценовой политики ориентироваться на долгосрочную перспективу, в частности на обеспечение целостности фирмы и сохранение числа ее клиентов путем установления устойчивых связей между ними. Что касается стратегии и тактики ценообразования, то тактические мероприятия, приносящие сверхприбыль в короткосрочном периоде, как правило, не применяются на практике. Предпочтение в большинстве случаев отдается мероприятиям, способствующим установлению долгосрочных взаимосвязей с клиентами. К примеру, тактика повышения цен на дефицитные товары заменяется политикой ценообразования, направленной на завоевание лояльности потребителей. На основе данных о рыночных целях, структуре затрат, потребителях и конкурентах деятель рынка может установить соотношение между ценовыми стратегиями и другими элементами комплекса маркетинга и оптимизировать взаимодействие между ними. Положительное взаимодействие элементов комплекса маркетинга позволяет одному элементу усиливать другой. Примером служит использование премиальной цены для товаров высокого качества. Объединение элементов в единое целое - это еще один способ развития возможностей комплекса маркетинга. Например, первоначальная продажная цена товара может быть увеличена для покрытия издержек, связанных с бесплатным обслуживанием в течение первых пяти лет. Концепция маркетинговых средств воздействия предполагает моментальную ответную реакцию компании на реакцию потребителей. Предположим, что цель маркетинга - увеличение объема продаж товара и рыночной доли. При этом существуют три альтернативных варианта: 1. Дополнить товар особыми характеристиками и снизить цену. 2. Увеличить рекламные усилия, не изменяя качественных характеристик продукта и его цены. 3. Использовать скидки, не изменяя товара и рекламных усилий. Маркетолог выберет вариант, который принесет наибольший доход с каждой единицы вложенных средств. Для маркетинга снижение цены - то же, что и активизация рекламных действий. Тема 7. Маркетинговые каналы (каналы распределения) и управление маркетинговых каналов (каналов распределения). КАНАЛЫ РАСПРЕДЕЛЕНИЯ Канал распределения - это путь, по которому товары движутся от производителей к потребителям, благодаря чему устраняются длительные разрывы во времени, месте и праве собственности, отделяющие товары и услуги от тех, кто хотел бы ими воспользоваться. Члены канала распределения выполняют ряд очень важных функций:
Каналы распределения можно охарактеризовать по числу составляющих их уровней. Уровень канала распределения - это любой посредник, который выполняет ту или иную работу по приближению товара и права собственности на него к конечному покупателю. Поскольку определенную работу выполняет и сам производитель, и конечный потребитель, они тоже входят в состав любого канала. Протяженность канала обозначается по числу имеющихся в нем промежуточных уровней: Тема 8. Маркетинговые коммуникационные системы: организация рекламной деятельности и ее управление, социально – экономические особенности прямого маркетинга и стимулирование сбыта, личные (персональные) продажи, связи с общественностью ( PR ). МАРКЕТИНГОВЫЕ КОММУНИКАЦИИ Маркетинговые коммуникации – понятие и сущность В последние годы одновременно с возрастанием роли маркетинга повысилась роль маркетинговых коммуникаций. Недостаточно иметь хорошие продукты и услуги – для увеличения объемов их продаж и получения прибыли нужно донести до сознания потребителей выгоды от использования продуктов и услуг. Маркетинговые коммуникации позволяют осуществить передачу сообщений потребителям с целью сделать продукты и услуги компаний привлекательными для целевой аудитории. Предприятия постоянно продвигают свою деятельность, пытаясь реализовать несколько целей: · проинформировать перспективных потребителей о своем продукте, услугах, условиях продаж; · убедить покупателя отдать предпочтение именно этим товарам и маркам; · сделать покупки в определенных магазинах, посетить именно эти увеселительные мероприятия и т.д.; · заставить покупателя действовать, т. е. купить то, что рынок предлагает в данный момент, а не откладывать покупку на будущее. Эти цели достигаются с помощью рекламы, продавцов, названий магазинов, оформления витрин, упаковки, рассылки литературы, раздачи бесплатных образцов, купонов, пресс-релизов и других коммуникационных и продвиженческих видов деятельности. Совокупность вышеупомянутых способов достижения целей называется управлением продвижением илимаркетинговыми коммуникациями . Маркетинговые коммуникации могут быть или целенаправленными, как в случае рекламы и персональных продаж, или нецеленаправленными (хотя и оказывающими определенное воздействие), к которым относятся внешний вид продукта, упаковка или цена. Рассмотрим понятие управление продвижением . В английской транскрипции термин «продвижение» звучит как «промоушн» и в самом широком значении означает «продвижение вперед». В маркетинге это значение сохраняется в смысле «подвинуть» покупателя к действию. Управление продвижением имеет в своем арсенале разнообразные средства достижения целей: рекламу, паблисити, стимулирование сбыта, рекламу в местах продажи, использование мероприятий спортивного и увеселительного характера, персональные продажи. Реклама связана или с использованием средств массовой информации – газет, журналов, радио, телевидения, рекламных щитов, или с прямым обращением к покупателю с помощью почтовых отправлений. Оба вида рекламы оплачиваются рекламодателем, но считаются безличными, так как фирма одновременно обращается к многочисленным получателям, может быть, миллионам, а не беседует с одним индивидуумом или небольшой группой. Реклама в местах продажи осуществляется при помощи дисплеев, плакатов, надписей и ряда других средств, призванных оказывать влияние на покупательское решение в месте продажи. Практика продвижения интересов компании и ее марок с помощью ассоциирования компании с каким-либо особым событием (теннисный или шахматный турнир, фестиваль) или благотворительной акцией называется событийным маркетингом. Средства рекламы и особенности их выбора Существуют следующие виды рекламы: · товарная (информирует покупателя об особенностях и достоинствах товаров и услуг; пробуждает к ним интерес); · престижная (фирменная, корпоративная) (представляет достоинства фирмы, выгодно отличающие ее от конкурентов). По характеру и особенностям рекламного продукта, жизненного цикла товара и задач, которые ставятся перед рекламой на конкретном этапе, ее можно классифицировать следующим образом: информативная; увещевательная; напоминающая; подкрепляющая. По распространению рекламного обращения реклама бывает: · прямая (распространение агентами по рекламе спецлитературы непосредственно потенциальным клиентам; распространение материалов по почте; работа с клиентами по телефону); · безличная (массовая) (реклама в прессе; печатная реклама; телевизионная и радиореклама; наружная реклама; реклама на транспорте; сувенирная реклама). Печатная реклама – одно из основных средств рекламы, рассчитанное исключительно на зрительное восприятие. К видам печатной рекламы относятся каталоги, буклеты, проспекты, плакаты, листовки, флаеры. Реклама в прессе включает в себя самые различные рекламные материалы, опубликованные в периодической печати. Рекламные материалы в прессе можно условно разделить на две основные группы: рекламные объявления; публикации обзорно-рекламного характера, к которым относятся различные статьи, репортажи, обзоры, несущие иногда прямую, а иногда и косвенную рекламу. Аудиовизуальная реклама включает рекламные кинофильмы, видеофильмы и слайд-фильмы. Рекламные кинофильмы и видеофильмы можно классифицировать следующим образом: рекламные ролики; рекламно-технические фильмы; рекламно-престижные фильмы; рекламно-технические и рекламно-престижные фильмы, близкие по жанру научно-популярным. Радио- и телереклама – являются самыми массовыми по охвату средствами рекламы. Самыми распространенными видами рекламы по радио являются радиообъявления, радиоролики, различные радиожурналы и рекламные радиорепортажи. Среди самых распространенных видов телевизионной рекламы можно выделить рекламные ролики, рекламные объявления, рекламные телерепортажи и телепередачи, рекламные телезаставки между передачами. Прямая почтовая реклама («директ мейл») представляет собой рассылку рекламных сообщений (в том числе и персонализированных) по адресам определенной группы лиц потребителей или возможных деловых партнеров. Прямая почтовая реклама может представлять собой рассылку специально подготовленных рекламно-информационных писем или же целевую рассылку печатных рекламных материалов (иногда также с типовым сопроводительным письмом). Рекламные сувениры широко применяют для рекламных целей, так как это хорошее средство популяризации организации, использующей их в своей рекламной работе. Условно рекламные сувениры можно классифицировать следующим образом: фирменные сувенирные изделия; подарочные изделия; фирменные упаковочные материалы. Наружная реклама является эффективным средством преимущественно для рекламы потребительских товаров, так как рассчитана на восприятие широкими слоями населения. Все большее число крупнейших промышленных предприятий, объединений и концернов используют ее для пропаганды своих товарных знаков в комплексе различных мероприятий престижной рекламы. Среди многообразия видов наружной рекламы можно выделить различные рекламные щиты, афиши, транспаранты, световые вывески, электронные табло и экраны. К разновидностям наружной рекламы можно отнести витрины, элементы внутримагазинной рекламы (указатели, информационные табло, ценники и т.п.), вывески, оформление офисов, приемных и других служебных помещений, спецодежду обслуживающего персонала. Реклама в сети Интернет – современное средство распространения рекламы. Большая часть рекламы в Интернете основана на использовании баннеров – прямоугольных картинок появляющихся на экранах мониторов пользователей. Баннерная реклама занимает 60 – 80 % общего объема рекламы в Интернете. ПРЯМОЙ МАРКЕТИНГ Прямой маркетинг – это интерактивная маркетинговая система, в которой используется одно или несколько средств коммуникации для получения определенного отклика или для совершения сделки в любом регионе. Прямой маркетинг является разновидностью розничной торговли. Магазины-демонстрационные залы, торгующие по каталогам, – форма прямого маркетинга, основанная на принципах торговли по каталогам и сниженным ценам. Характерная черта данной формы торговли состоит в предварительном отборе покупателем товара по каталогам. Магазины-демонстрационные залы выпускают каталоги, дополняя их сезонными изданиями меньшего объема. В каталоге указаны прейскурантные цены каждого изделия и его цена со скидкой. После изучения каталога и выбора товара покупатель почтой или по телефону, телефаксу направляет заказ на фирму, для регистрации. Формой прямого маркетинга является внемагазинная торговля, например заказ по почте. Продажа по почте осуществляется на основе использования средств массовой информации. В нашей стране эта форма торговли нашла широкое применение при торговле книжной продукцией, магнитофонными и видеозаписями. Большие возможности открываются при реализации крупных партий товара, а также товаров производственно-технического назначения. Работники торговли часто рассылают письма, проспекты, пресс-релизы потенциальным клиентам по специально составленному списку, включающему возможных заказчиков. Наиболее перспективна такая форма при продаже сырья, оборудования, технологий. Торговля по каталогам, на основе информационных писем, а также теле- и радиорекламы относится к разряду внемагазинной и называется «директ-мейл». Такую форму торговли достаточно широко используют также при продаже новинок, одежды, пищевых продуктов. Продажи по телефону осуществляются для широкого спектра товаров и услуг. Довольно широкое распространение получила продажа через торговые автоматы. Объем продаж через традиционные каналы прямого маркетинга (каталоги, прямая почтовая реклама и продажи по телефону) непрерывно возрастает. В прямом маркетинге используются три стадии планирования:
Типичные задачи торгового персонала могут быть сгруппированы по следующим направлениям: · собственно продажа, включающая выявление потенциальных клиентов, изучение их потребностей, обсуждение условий продажи и заключение сделки; · оказание услуг клиентам, включая помощь по использованию товара, послепродажное обслуживание, продвижение товара и др.; · сбор информации для фирмы относительно изменения потребностей, активности конкурентов, адаптированности товаров. Большую роль играет впечатление, которое произведет продавец при первой встрече с покупателем. СТИМУЛИРОВАНИЕ СБЫТА Стимулировать означает «привести в движение». Стимулирование сбыта – это совокупность приемов, применяемых на протяжении всего жизненного цикла товара в отношении трех участников рынка (потребителя, оптового торговца, продавца), для краткосрочного увеличения объема сбыта, а также для увеличения числа новых покупателей. Стимулирование сбыта имеет многоцелевую направленность: потребитель, продавец, торговый посредник. Выбор средств стимулирования зависит от поставленных целей. Все средства можно объединить в три большие группы: · предложение цены (продажа по сниженным ценам, льготные купоны, талоны, дающие право на скидку); · предложение в натуральной форме (премии, образцы товара); · активное предложение (конкурсы покупателей, игры, лотереи). Применительно к торговой точке различные виды стимулирования можно классифицировать по их происхождению и воздействию на клиентов. Общее стимулирование . Применяется на месте продажи. Служит инструментом общего оживления торговли. Этот вид стимулирования одновременно объединяет продажу по сниженным ценам, демонстрацию товара, дегустации, игры использование ряженых, праздничное убранство торговых залов, афиши, таблички с пояснениями, броские рекламные объявления, наличие центрального подиума, а также рекламную кампанию в прессе (распространение листовок с купонами, дающими право на покупку со скидкой, вручение подарков в случае приобретения определенного количества товара, конкурсы, игры). Избирательное стимулирование . Предполагает размещение товара вне мест общей выкладки на выгодной позиции. Товар может быть сосредоточен также в каком-либо месте торгового зала, например выставка-продажа канцелярских товаров. Этот вид стимулирования включает также размещение товаров на выносных лотках или в тележках, расположенных в проходах или на пересечении торговых линий. При этом реклама задействована в меньшей степени, используются только рекламные планшеты и указатели. Индивидуальное стимулирование . Осуществляется в местах общей экспозиции товаров и, как правило, исходит от производителя. Рекламная афиша, планшеты, указатель показывают, что в отношении определенного товара или группы товаров осуществляется стимулирование путем снижения цен, проведения конкурсов, игр, выплаты премий и пр. Если акцентировать внимание покупателя на определенных марках или видах товара, можно существенно увеличить их продажу. Этот эффект и был положен в основу одного из направлений торгового маркетинга, получившего название «мерчендайзинг». Мерчендайзинг – комплекс мероприятий, производимых в торговом зале и направленных на продвижение того или иного товара, марки, вида или упаковки. Результатом мерчендайзинга является стимулирование желания потребителей выбрать и купить продвигаемый товар. СВЯЗИ С ОБЩЕСТВЕННОСТЬЮ Словосочетание рublic relations (PR) принято трактовать как «связи с общественностью». При этом само понятие «общественность» понимается очень широко: общественные организации, потребители, партнеры, персонал фирм или предприятий, граждане и пр. Виды PR-деятельности: государственный PR; экономический PR; политический PR. Институт общественных отношений, созданный в Великобритании в феврале 1948 года, принял следующее определение: паблик рилейшнз – это планируемые, продолжительные усилия, направленные на создание и поддержание доброжелательных отношений, и взаимопонимание между организациями и общественностью. В PR-управлении, как и в рекламе, особое внимание уделяется формированию новых потребностей у объекта управления – «общественности». PR несет в себе все признаки рекламы, кроме одного: PR не связан с немедленной продажей товаров и услуг, с немедленной реализацией проповедуемых идей, с незамедлительным осуществлением программы политика. Обязанности PR-специалиста разнообразны. Его часто приглашают для консультирования по связям с общественностью. При этом он участвует в выработке политики, общей стратегии руководства фирмы, компании и т.п. Консультируя руководство, PR-специалист вырабатывает имидж фирмы и ее ответственных руководителей, корректирует и составляет тексты важных речей и выступлений от имени корпорации. Кроме того, в стенах PR-агентства его сотрудник постоянно поддерживает контакты со СМИ. Он участвует в исследованиях общественного мнения, эффективности рекламы и PR-мероприятий. В его обязанности входит подготовка экскурсий, устройство презентаций и выставок, прием гостей, организация благотворительных мероприятий, написание текстов писем для прямой почтовой рассылки, созданий концепций интервью и других материалов для редакций СМИ. Работа по связям с общественностью многогранна в своих проявлениях, но в последнее время ее все чаще рассматривают преимущественно как особый вид управления. В то же время PR не является управляющей системой в традиционном понимании, т. е. не осуществляет директивных управляющих воздействий, а координирует взаимодействие, оптимизирует информационные процессы между подсистемами, является активным посредником в согласовании и формировании новых интересов. Одним из важнейших направлений PR-деятельности является формирование позитивного и эффективного имиджа организации, его мониторинг и развитие. Имиджу как особому психическому образу присущи следующие характеристики: · имидж – объект идеальный, возникающий в сознании людей; он не подлежит прямому измерению, оценить его можно лишь по их отношениям, проявляющимся в общении, деятельности, выборе; · эффективный имидж целостен и непротиворечив, соответствует однозначным обобщенным представлениям; · имидж неустойчив, его постоянно надо подкреплять рекламой или разнообразными целевыми PR-акциями; · имидж содержит ограниченное число компонентов: сложность конструкции только мешает его восприятию; · имидж, хотя и является иллюзорным образом, в какой-то мере реалистичен: явное приукрашивание достоинств приведет к снижению доверия; · имидж прагматичен, ориентирован на ограниченный круг задач, соответствующих целям организации или особенностям настоящей ситуации, ее развития; · эффективный имидж обладает свойством вариативности; Имидж может быть: · внешним, проявляющимся во внешней среде, ориентированной на клиентов или потребителей (фирменный стиль, название, логотип, интерьеры офиса, внешний вид персонала); · внутренним, формируемым как впечатление о работе и отношениях персонала (корпоративные отношения, этика поведения, особенности делового общения, традиции). С точки зрения рациональности восприятия, имидж может быть: · когнитивным, дающим «сухую» специальную информацию (ориентирован главным образом на людей сведущих, узких специалистов); · эмоциональным, чувственным (такой имидж ориентирован на широкую аудиторию и призван вызвать сильный эмоциональный отклик). Персональные продажи за последнее время находят все большее применение как эффективное средство продвижения и продажи. Персональные продажи – это коммуникации личного характера, в ходе которых продавец пытается убедить возможных покупателей в необходимости приобрести продукты или услуги компании. Личные продажи вообще, а творческие в особенности требуют специалистов высокой квалификации, обладающих не только специальными навыками, но и определенными (даже уникальными) способностями, прежде всего — умением убеждать в превосходстве предлагаемого товара над конкурирующими. Для поиска покупателей обычно используют телефонные справочники, отраслевые журналы, публикации в прессе, а также неформальные источники через устное общение. Особо эффективным способом поиска являются международные специализированные выставки (ярмарки). Связь с потенциальным заказчиком устанавливается устно, путем личного послания, по телефону, факсу и пр. Тема 9. Современные тенденции в маркетинге, интернет – маркетинг и электронная торговля. СОВРЕМЕННЫЕ ТЕНДЕНЦИИ РАЗВИТИЯ МАРКЕТИНГА Достаточно общепризнанным является суждение, что с точки зрения общественной значимости можно сформулировать четыре альтернативные цели маркетинга: максимизация потребления, максимизация степени удовлетворения потребителей, максимизация выбора потребителей, максимизация качества жизни. Все указанное характеризует цели маркетинга в разных аспектах. Очевидно, что в равной степени достигнуть всех этих целей не представляется возможным. В обществе на разных этапах его развития могут доминировать различные цели. В последнее же десятилетие, и, прежде всего в экономически развитых странах, появилась тенденция усиления значимости проблем для повышения качества жизни, уделения им все большего внимания со стороны государства и различных общественных организаций. Так, например, на основе концепции социально-этического маркетинга, следуя которой, организация стремится не только наиболее полно и эффективно удовлетворять выявленные запросы отдельных потребителей, но и общества в целом, возникла концепция экологического маркетинга. Эта концепция, являясь развитием концепции социально-этического маркетинга, направлена на преодоление проблем, связанных с защитой природной окружающей среды, нехваткой ресурсов, быстрым ростом населения. Безусловно, учет со стороны производителей экологических аспектов деятельности организации в целом и уровня экологической безопасности выпускаемых ею продуктов в частности становится важным фактором конкурентоспособности организаций. Наблюдается дальнейшее расширение использования известных идей маркетинга при решении самых разнообразных проблем жизни общества — причем, на межгосударственном уровне, а не только на уровне отдельных организаций. Отсюда появляются новые виды маркетинга. Так, все более активно используется макромаркетинг, т.е. вид маркетинга, помогающий вырабатывать государственную политику в определенных сферах жизнедеятельности общества. Макромаркетинг основан на анализе и осознании потребностей на уровне общества, определении влияния этих потребностей на принимаемые государственные решения. В таком контексте макромаркетинг рассматривается в качестве элемента экономической системы, результаты функционирования которого должны оцениваться наравне с результатами деятельности других элементов экономики, таких как получение и распределение доходов, налогообложение, достижение благосостояния и др. На основе использования макромаркетинг внутри страны, возможно, повысить эффективность решения таких задач, как покрытие дефицита бюджета за счет проведения выгодной для государства политики на рынке ценных бумаг, рациональное использование земельных ресурсов. В последние десятилетия начал накапливаться интересный опыт по применению идей маркетинга на уровне регионов и городов различных стран. Здесь речь идет о применении потенциала территориального маркетинга в целях повышения деловой и туристической привлекательности регионов. Территориальный маркетинг направлен на создание и поддержание: притягательности, престижа территории в целом; привлекательности сосредоточенных на территории природных, материально-технических, финансовых, трудовых, организационных, социальных и других ресурсов, а также возможностей для реализации и воспроизводства таких ресурсов. В последние годы все четче проявляется тенденция использования концепции маркетинга на межстрановом уровне. В этом случае применяют термин «мегамаркетинг», предполагающий стратегическую координацию экономических, политических и психологических подходов для выхода на определенный, часто закрытый для товаров других стран, рынок. Например, компания «Пепси-Кола» для обеспечения своего выхода на громадный индийский рынок организовала успешное сотрудничество с деловыми кругами Индии. Преодолеть сопротивление местных компаний, выпускающих прохладительные напитки, и изменить законодательство удалось путем реализации следующих мер. Правительству Индии было предложена помощь в экспорте индийской сельскохозяйственной продукции. Кроме того, «Пепси-Кола» обещала путем сбыта своей продукции в сельскохозяйственных районах Индии оказать содействие в развитии их экономики. Организации, присутствующие на многих зарубежных рынках, как правило, ведущие крупномасштабный бизнес, в первую очередь транснациональные компании, все активнее в своей деятельности используют глобальный маркетинг. При этом весь мир рассматривается как единый глобальный рынок, на котором региональные и национальные различия не играют решающей роли. Производственные мощности размещаются в различных странах, создаются всемирные логистические системы и финансовые потоки. В основе реализации глобального маркетинга лежат решения о степени адаптации комплекса маркетинга к местным условиям. ИНТЕРНЕТ-МАРКЕТИНГ Развитие информационных технологий, среди которых одно из ключевых мест занял Интернет, появление и бурный рост электронной коммерции стали основой для появления нового направления в современной концепции маркетинга взаимодействия — Интернет- Под термином Интернет-маркетинг понимается теория и методология организации маркетинга в гипермедийной среде Интернета. Интернет обладает уникальными характеристиками, значительно отличающимися от характеристик традиционных инструментов маркетинга. Одним из основных свойств среды Интернета является ее гипермедийная природа, характеризующаяся высокой эффективностью в представлении и усвоении информации, что значительно повышает возможности маркетинга в усилении взаимосвязи предприятий и потребителей.
Рис. 16. Возможности использования Интернета в системе маркетинга предприятия Кроме того, роль, выполняемая Интернетом, не ограничиваются только коммуникативными функциями, а также включает в себя возможность заключения сделок, совершение покупок и проведение платежей, придавая ему черты глобального электронного рынка. Особенности Интернет-маркетинга Использование Интернета привносит новые особенности и преимущества по сравнению с маркетингом, основанном на традиционных технологиях. Вот некоторые из них: · Переход ключевой роли от производителей к потребителям. Одним из наиболее фундаментальных качеств, привнесенных Интернетом в мир современной коммерции, является переход ключевой роли от производителей к потребителям. Интернет сделал реальностью для компаний возможность привлечь внимание нового клиента всего за десятки секунд, проведенных им перед экраном компьютера. Однако в то же время он дал возможность тому же пользователю за несколько щелчков мыши перейти к любому из конкурентов. В такой ситуации внимание покупателей становится самой большой ценностью, а установленные взаимоотношения с клиентами главным капиталом компаний. · Глобализация деятельности и снижение транзакционных издержек. Интернет значительно изменяет пространственный и временной масштабы ведения коммерции. Он является глобальным средством коммуникации, не имеющим каких-либо территориальных ограничений, при этом стоимость доступа к информации не зависит от удаленности от нее, в противоположность традиционным средствам, где эта зависимость прямо пропорциональна. Таким образом, электронная коммерция позволяет даже самым мелким поставщикам достигать глобального присутствия и заниматься бизнесом в мировом масштабе. Соответственно, заказчики также получают возможность глобального выбора из всех потенциальных поставщиков, предлагающих требуемые товары или услуги независимо от географического расположения. Расстояние между продавцом и покупателем играет роль лишь с точки зрения транспортных издержек уже на этапе доставки товаров. Временной масштаб в среде Интернета также значительно отличается от обычного. Высокая эффективность коммуникативных свойств Интернета обеспечивает возможность сокращения времени на поиск партнеров, принятие решений, осуществление сделок, разработку новой продукции, и т. д. Информация и услуги в Интернете доступны круглосуточно. Кроме того, его коммуникативные характеристики обладает высокой гибкостью, позволяющей легко производить изменения представленной информации, и, тем самым, поддерживать ее актуальность без временной задержки и затрат на распространение. Названные эффекты также приводят к значительному сокращению транзакционных издержек, то есть издержек, связанных с налаживанием и поддержанием взаимодействия между компанией, ее заказчиками и поставщиками. При этом стоимость коммуникаций, по сравнению с традиционными средствами, становится минимальной, а их функциональность и масштабируемость значительно возрастают. · Персонализация взаимодействия и переход к маркетингу «один-одному». Используя средства электронного взаимодействия, компании могут получать подробную информацию о запросах каждого индивидуального заказчика и автоматически предоставлять продукты и услуги, соответствующие индивидуальным требованиям. Одним из простых примеров может служить персональное представление web-сайта для каждого из клиентов или партнеров компании. В результате Интернет позволяет перейти от массового маркетинга к маркетингу «один-одному». В таблице приведены данные по сравнению характеристик массового маркетинга с маркетингом «один-одному».
· Снижение трансформационных издержек Снижение трансформационных издержек может достигаться за счет оптимального выбора структуры товарного ассортимента, сокращения времени на разработку и внедрение новой продукции, обоснованной политики ценообразования, снижения числа посредников, затрат на сбыт и т. д. Например, одним из способов снижения трансформационных издержек может быть сокращение каналов распространения товаров. Причиной сокращения каналов распространения является возможность для фирм взять на себя функции, традиционно выполняемые специалистами промежуточных звеньев, так как Интернет обладает более эффективной возможностью взаимодействия с потребителями и одновременно позволяет отслеживать информацию о потребителях. Особый случай — продукты и услуги, которые могут быть доставлены электронным способом. При этом путь доставки сокращается максимально. Электронный способ широко применяется для доставки цифровых продуктов индустрии развлечений (фильмы, видео, музыка, журналы и газеты), информации, средств обучения и эффективно используется компаниями, занимающимися разработкой и поставкой программного обеспечения. По типу взаимодействующих субъектов электронный бизнес делится на следующие основные категории: бизнес-бизнес (business-to-business, B2B); бизнес-потребитель (business-to-consumer, B2C); бизнес-администрация (business-to-administration, B2A); потребитель-администрация (consumer-to-administration, C2A); потребитель-потребитель (consumer-to-consumer, С2С). Наиболее развитыми из них на сегодняшний день являются категории B2B и B2C, однако перспективы развития других категорий также достаточно велики. Электронная торговля - это финансовые операции и сделки, выполняемые посредством сети Интернет и частных сетей связи, в ходе которых совершаются покупки и продажи товаров и услуг, а также переводы денежных средств. Операция в электронной торговле может представлять собой простое подтверждение желания и возможности покупки по кредитной карточке и следующего за этим перевода необходимой суммы с одного счета на другой. Но она может оказаться и очень сложной, когда, например, для выполнения операции передача информации должна выполняться через многие сети. Первые примеры электронной торговли корнями уходят в банковские операции и процесс, получивший название «телеграфные переводы». В этом процессе покупатель уполномочивал банк сделать телеграфный перевод на счет в другом банке. Первоначально электронной торговлей пользовались, главным образом, государственные органы, крупные финансовые организации и предприятия. Затем движущей силой формирования области электронной торговли стали компании-эмиттенты кредитных карточек. Осуществление электронной торговли. В типичном случае пользователь входит в Интернет и соединяется с коммерческим узлом WWW, определяет, что ему надо купить, и заказывает желаемое. Затем пользователь предоставляет поставщику информацию со своей кредитной карточки. После этого поставщик передает информацию, связанную с данной операцией, в финансовый расчетный центр, такой, как у компаний «Виза», «Мастеркард» или «Америкен Экспресс», либо банку, где деньги переводятся с одного счета на другой, и регистрируется дебетовая операция. Наконец, данная финансовая операция заносится на кредитный счет пользователя и баланс банка. Один из вариантов этого процесса используется в сочетании с электронными каталогами, распространяемыми на CD-ROM некоторыми компаниями среди владельцев ПК. Пользователь устанавливает такой CD-ROM на CD-плейер своего компьютера и запускает приложения типа браузера или вьюера. Выбрав то, что он желает приобрести, пользователь вводит и передает информацию, необходимую для завершения операции. Первоначально операции покупки выполнялись строго последовательно и только по одному предмету за один раз. Однако позднее работающие оперативно провайдеры (поставщики услуг) и службы, выполняющие услуги на базе CD-ROM, освоили более эффективный процесс, названный «покупкой в тележку для отбора товаров» и отражающий электронными средствами процесс отбора товаров или услуг в магазине. Заложенная в этот процесс программа подсчитывает текущий итог по отобранным товарам или услугам в соответствии с ценами. Такая модель дает пользователю возможность добавлять или убавлять покупки, складываемые в «тележку», как это делают покупатели в обычном магазине самообслуживания. Как только пользователь закончил отбор покупок, программа подсчитывает итоговую стоимость покупок, а финансовая операция регистрируется и передается в соответствующую финансовую организацию. Описанная здесь модель с тележкой для покупок используется в нескольких оперативных службах, выполняющих продажи и поставки бакалейных и других продовольственных товаров. Интеллектуальные карточки и электронные наличные деньги. В конце 20 в. велись разработки более надежных линий связи между пользователями ПК, банками и предприятиями бизнеса. В начале 21 в. широко применяются прямые списания расходов с банковских счетов покупателей и прямые начисления денег на банковские счета продавцов. Эти разработки стали возможными благодаря появлению нескольких новых технологий. Первая из них – дебетовая карточка. В одном из вариантов дебетовая карточка кодируется информацией от банка или другой финансовой организации и содержит данные о сумме денег ее владельца. Цена приобретенного товара вычитается из суммы, кодируемой на карточке каждый раз, когда она используется для покупки. Сумма денег, потраченная при проведении данной финансовой операции, отражается на счете получателя. Пользователь карточки может пополнить сумму денег на ней с помощью банка или другой финансовой организации, где может быть получен перевод. Дебетовая карточка другого типа «привязана» к текущему счету ее пользователя. Когда производится покупка, сумма истраченных денег автоматически снимается с текущего счета пользователя. Еще один вариант дебетовых карточек – это «интеллектуальные» карты, содержащие миниатюрные электронные схемы. На такой карте содержатся не только финансовые данные, но также данные для верификации и дополнительная информация. ПК следующего поколения, возможно, будут оснащены устройствами считывания информации с интеллектуальных карт, что позволит владельцам таких карт переводить на них более значительные суммы и, кроме того, записывать и отслеживать детали финансовых операций. Конечным средством финансового обмена для электронной торговли может стать электронная наличность. Операции с электронной наличностью требуют специального программного обеспечения. Такое программное обеспечение дает пользователю возможность переводить деньги из своего банка на электронный счет наличности, находящийся на его ПК, а затем покупать товары или услуги у оперативно работающих на сети поставщиков, оплачивая сделанные покупки с этого электронного счета. |
||||||||||||||||||||||||||||||||||||||||||||||||||||||||||||













