Курсовая работа: Экономико математические методы маркетингового исследования
|
Название: Экономико математические методы маркетингового исследования Раздел: Рефераты по маркетингу Тип: курсовая работа | ||||
МОСКОВСКИЙ ГОСУДАРСТВЕННЫЙ ОТКРЫТЫЙ УНИВЕРСИТЕТ КАФЕДРА АНТИКРИЗИСНОГО УПРАВЛЕНИЯ Курсовая работа по дисциплине маркетинг на тему: «Экономико-математические методы маркетингового исследования» МОСКВА 2008 Математика в экономике – это не только определение количественных характеристик и не просто применение числовых примеров для иллюстрации тех или иных экономических положений и теорий. Речь идет об исследовании экономических проблем средствами математики, использовании числового материала для выявления экономических зависимостей и закономерностей и для принятия на этой основе различного рода решений; о появлении комплекса научных и учебных дисциплин, находящихся на стыке экономики, математики и кибернетики и получивших обобщенное название» Экономико-математические методы». Вот некоторые из таких дисциплин: эконометрия, экономическая кибернетика, математическая экономика. Экономико-математические методы – сложнейшая область знаний, для овладения которыми требуются значительные усилия. Не простым является и вопрос о возможности и месте применения математики в экономических исследованиях и управленческой деятельности. Одной из областей применения этих методов является маркетинговая деятельность. Для решения задач маркетинга используется широкий спектр экономико-математических методов, включающий наряду со строго формализованными также и эвристические методы. Наибольшее применение в задачах исследования рынка имеют методы математической статистики, кроме этого используются методы элементарной математики, дифференциальное и интегральное исчисление, вариационное исчисление, корреляционно-регрессионный анализ, однофакторный и многофакторный анализ, дисперсионный анализ, производственные функции, балансовый метод («затраты – выпуск»), национальное счетоводство, линейное программирование, нелинейное программирование, динамическое, стохастическое и другие виды программирования, а также многие другие (более подробный перечень приведен в моей курсовой работе). В своей курсовой работе я рассматриваю конкретный пример о коммивояжере, которому нужно побывать в n городов ровно один раз и вернуться в первый город с наименьшими затратами. Здесь используются методы дискретного программирования. Для решения этой задачи я пользовалась лекциями проф. Козловой С.И. Экономико-математические методы маркетинговых исследований имеют ряд недостатков (которые подробно рассмотрены в этой курсовой работ), но в актуальности данной темы сомневаться не приходится, хотя бы потому, что точность решений (если они существуют) любых задач математическими способами очень высока, т. к. они (решения) основаны не на интуиции, а на конкретных фактах и цифрах. Также хочется подчеркнуть непосредственную связь моей курсовой работы со специальностью, на которую мы обучаемся. Теоретическая частьРоль математики в экономике. Математика служит людям издавна и успешно. Потребности всей практической деятельности людей, естествознания, техники постоянно ставили и ставят перед математикой новые задачи, стимулируя ее развитие. В свою очередь прогресс в математике делал математические методы более эффективными, расширял сферу их применения и, тем самым, способствовал общему научно-техническому прогрессу и развитию производительных сил. В противовес историческому мифу можно без преувеличения сказать, что мир стоит не на трех китах, а на двух – математике и экономике. Математика – основа всех точных наук, а экономика в двух своих ипостасях – как хозяйственная система и как наука – создает материальные условия для существования людей и помогает им понять «что почем» в окружающей их жизни. Многовековой опыт ведения хозяйства показывает, что результативность этого вида человеческой деятельности во многом зависит от умения считать. Существенно возрастает роль счета по мере становления стабильной рыночной экономики. Для принятия обоснованных и своевременных решений субъектами хозяйствования предпринимателями, менеджерами, работниками экономических служб и руководителями предприятий, банков, бирж и т.п. – без определенных экономико-математических знаний, без вычислительной техники и без навыков практического их использования уже не обойтись. Математика в экономике – это не только определение количественных характеристик и не просто применение числовых примеров для иллюстрации тех или иных экономических положений и теорий. Речь идет об исследовании экономических проблем средствами математики, использовании числового материала для выявления экономических зависимостей и закономерностей и для принятия на этой основе различного рода решений; о появлении комплекса научных и учебных дисциплин, находящихся на стыке экономики, математики и кибернетики и получивших обобщенное название» Экономико-математические методы». Вот некоторые из таких дисциплин: эконометрия, экономическая кибернетика, математическая экономика. На каждом иерархическом уровне управления микроэкономикой, в том числе и маркетинговой деятельности, ежедневно принимается множество решений, для обоснования которых используются различные виды, методы, способы и приемы экономического анализа, условно разделяемые на традиционные и математические. К традиционным относят те из них, которые находили применение практически с момента возникновения экономического анализа (сравнение абсолютных, относительных и средних величин, различного рода группировки, индексный метод и метод цепных подстановок и др.). Естественно, что и традиционные способы, и приемы анализа не обходятся без математики. Экономико-математические методы маркетинговых исследованийМожно выделить несколько групп экономико-математических методов, используемых при проведении маркетинговых исследований: 1. Статистические методы обработки информации (определение средних оценок, величин ошибок, степени согласованности мнений респондентов и т.д.). 2 Многомерные методы (в первую очередь факторный и кластерный анализы). Они используются для обоснования маркетинговых решений, в основе которых лежат многочисленные взаимосвязанные переменные. Например, определение объема продаж нового продукта в зависимости от его технического уровня, цены, конкурентоспособности, затрат на рекламу и др. 3. Регрессионные и корреляционные методы. Они используются для установления взаимосвязей между группами переменных, описывающих маркетинговую деятельность. 4. Имитационные методы. Они применяются тогда, когда переменные, влияющие на маркетинговую ситуацию (например, описывающие конкуренцию), не поддаются определению с помощью аналитических методов. 5. Методы статистической теории принятия решений (теория игр, теория массового обслуживания, стохастическое программирование) используются для стохастического описания реакции потребителей на изменение рыночной ситуации. Можно выделить два главных направления применения этих методов: для статистических испытаний гипотез о структуре рынка и предположений о состоянии рынка, например исследование степени лояльности к торговой марке, прогнозирование рыночной доли. 6. Детерминированные методы исследования операций (в первую очередь линейное и нелинейное программирование). Эти методы применяют тогда, когда имеется много взаимосвязанных переменных и надо найти оптимальное решение – например, вариант доставки продукта потребителю, обеспечивающий максимальную прибыль, по одному из возможных каналов товародвижения. 7. Гибридные методы, объединяющие детерминированные и вероятностные (стохастические) характеристики (например, динамическое и эвристическое программирование), применяются прежде всего для исследования проблем товародвижения. Эти семь групп количественных методов, безусловно, не исчерпывают всего их разнообразия. Математическое моделирование в маркетинговых исследованиях весьма затруднено. Это обусловлено: – сложностью объекта изучения, нелинейностью маркетинговых процессов, наличием пороговых эффектов, например минимального уровня стимулирования продаж, временными лагами (в частности, реакция потребителей на рекламу часто не наблюдается немедленно); – эффектом взаимодействия маркетинговых переменных, которые в большей своей части взаимозависимы и взаимосвязаны, например цена, ассортимент, качество, объем выпуска; – сложностью измерения маркетинговых переменных. Трудно измерить реакцию потребителей на определенные стимулы, например рекламу. Поэтому часто применяются непрямые методы, например регистрация случаев возврата товара для определения эффективности рекламы; – неустойчивостью маркетинговых взаимосвязей, обусловленной изменениями вкусов, привычек, оценок и др.; – относительной несовместимостью персонала, который занимается маркетингом и применением количественных методов в его исследованиях. Первые приоритет отдают неформальным методам, вторые – математическому моделированию. Вышеизложенное во многом обусловлено тем, что маркетинг имеет дело с человеческим поведением, а не с техническими явлениями. В маркетинге редко что повторяется, в нем все различно для разных ситуаций. Маркетинг ориентирован на конкретных потребителей, а потребители – разные. В условиях глубоких и быстрых изменений внешней среды математическая модель не в состоянии предсказать влияние изменения, которое изначально не было в ней учтено. В отличие от эксперта математическая модель не способна к импровизации и не может приспособиться к глубоким изменениям внешней среды. Широта применения тех или иных методов при проведении маркетинговых исследований определяется также возможностями компании использовать их самостоятельно или покупать результаты таких исследований. Очевидно, что у крупных организаций таких возможностей существенно больше, чем у организаций малого бизнеса. Поэтому количественные методы в маркетинговых исследованиях применяются в настоящее время чаще организациями, имеющими соответствующие аналитические подразделения, для определения таких важнейших параметров рыночной деятельности, как спрос, объем продаж, рыночная доля и др. Выбор конкретного типа исследования во многом определяется целями исследования и задачами, которые решаются на отдельных этапах его проведения. Отдельные типы маркетинговых исследований применяются не только на этапе определения проблем и целей исследования, но и в процессе их проведения. Методы элементарной и классической высшей математики используются не только в обычных традиционных экономических расчетах (обоснование потребности в ресурсах, определение множества плановых и фактических технико-экономических показателей, оценка деятельности и эффективности производства, выполнение некоторых оптимизационных расчетов и др.), но и применяются в рамках других методов. Вместе с тем, приоритетное место среди названных методов (по частоте и широте использования в задачах маркетинга) по праву принадлежит математической статистике. Существует представление о маркетинговом исследовании как о целом комплексе, своеобразном сплаве ряда наук, в той или иной мере изучающих рынок. Статистика – наука, изучающая массовые явления и процессы, поддающиеся количественному измерению, позволяющая выявлять тенденции и закономерности общественного развития, определять пропорции и оценивать колеблемость. Эконометрия – применение экономико-математических методов анализа, измерение параметров математических выражений, характеризующих определенную социально-экономическую концепцию, моделирование сложных, многомерных процессов и явлений. Социометрия – характеристика структуры и функционирования определенных человеческих групп с помощью количественных оценок. Квалиметрия – методология количественных оценок качества товаров. Бихевиоризм – наука о вкусах и предпочтениях людей, которая помогает разобраться в процессах формирования и изменения отношения потребителей к товару, в реакциях спроса на процессы старения и обновления товара и его свойств. Маркетинговое исследование, опирающееся на определенный объем информации, подчиняется требованиям информатики, науки об управлении потоками информации. Широко используются схемы и модели маркетинга и маркетингового управления. В статистическом анализе и прогнозировании приводятся оценки объема и уровня рыночных явлений, их динамики и структуры, вариации, выявления тенденций и закономерностей и т.д. В нем находят применение абсолютные, средние и относительные величины, группировки, индексные, трендовые и регрессионные факторные модели, методы вариационного, дисперсионного, корреляционного и циклического анализа и т.д. Эконометрические методы могут быть применены в моделировании, имитации и прогнозировании рыночных процессов. Достаточно широко в маркетинге используются модели, основанные на теории вероятности и теории принятии решений; приемы теории массового обслуживания (базирующиеся на теории очередей), моделях товаропотоков и потоков покупателей. Находят применение модели реакции рынка на маркетинговые раздражители, методы эвристических оценок и гибридные, позволяющие комбинировать детерминированные и вероятностные оценки. В маркетинговых исследованиях полезны методы многомерного анализа (в том числе кластерного), теории принятия решений (теории риска), теории связей (сигнальную информацию о процессах, выходящих за пределы установленных параметров). В частности в эконометрике используются методы линейного программирования, представляющего собой математический способ выбора из ряда альтернативных решений наиболее благоприятного для рыночной ситуации. Экономико-математические методы используются также в логистике, т.е. системе управления перемещением и складированием товаров. Методы сетевого планирования предназначены для регулирования последовательности и взаимозависимости маркетинговых операций, разработки планов инноваций, проведения пробного маркетинга и т.п. В анализе маркетинговых ситуаций, формировании моделей конкурентного поведения, разработке стратегий выхода на новые рынки большую пользу может принести метод деловых игр. Знания социометрии и бихевиоризма полезны при изучении потребительского поведения, а также в процессе анкетирования. Комплексные оценки качества и конкурентоспособности ориентируют на использование методов квалиметрического анализа, количественной оценки качественных явлений. К этой группе методов, используемых в маркетинговом анализе, примыкают методы коммерческого анализа финансово-экономического потенциала предприятия (коммерческие расчеты, скоринговый анализ и т.п.). Задачи выбораЗадачи выбора непрерывно возникают во всех сферах жизни и деятельности людей, каждая из которых, как правило, имеет множество альтернатив. Выбор одних может быть значащим только для отдельного индивида; другие же, например, принимаемые в экономической сфере, могут существенно затрагивать интересы многих людей. Видимо поэтому в зарубежной литературе экономика трактуется как общественная наука, изучающая выбор, совершаемый людьми в условиях ограниченных ресурсов. Каждая экономическая система сталкивается с необходимостью совершать те или иные виды выбора, связываемые с получением ответов на такие основные вопросы: что и сколько производить; кто, какую работу, как и в какие сроки должен выполнять; для кого предназначены результаты работы. Приведем несколько примеров-задач, характерных для маркетингового менеджмента. 1. Для реализации определенной массы сезонных товаров создается сеть временных торговых точек. Необходимо определить оптимальные параметры этой сети: число точек, их размещение, количество товарных запасов и продавцов. 2. Руководство автотранспортного предприятия приняло решение повысить цены на автобусные пассажирские билеты в два раза, намереваясь тем самым улучшить свое финансовое состояние. Достигнут ли они желаемого результата, если спрос на билеты зависит от цены и меняется по некоторому закону? 3. Необходимо составить рациональный маршрут коммивояжера, который, выехав из одного пункта, должен побывать в остальных (N – 1) пунктах и возвратиться в исходный. Стоимость и время проезда, расстояния и другие условия перемещения из пункта в пункт предполагаются известными. 4. Рассматривается предложение инвестировать в настоящее время 10 тыс. у.д.е. на срок 5 лет при условии получения ежегодного дохода в сумме 2 тыс. у.д.е. Кроме того, по истечении пяти лет дополнительно будет выплачено инвестору еще 3 тыс. уд. е. Целесообразна ли такая инвестиция, если имеется возможность «безопасно» депонировать эти деньги в банке при 12% годовых. Решение задачи о коммивояжере я и рассматриваю в практической части моей курсовой работе. Практическая часть. Решение задачи о коммивояжере методом ветвей и границПостановка задачиИмеется n городов коммивояжере нужно проехать все n городов, начиная с первого, побывать в каждом городе ровно один раз и вернуться в первый город. Известны издержки переезда cij из города i в j . Требуется найти такой маршрут переезда, который бы минимизировал бы суммарные издержки от переезда
называется гамельктоновым циклом – замкнутый цикл с прибыванием в каждом городе 1 раз. T – все возможные гамельктоновые циклы. Математическая задача будет ставится следующим образом: Найти
т.к. T – конечное множество, следовательно это задача дискретного программирования, поэтому можно методом ветвей и границ. Дискретное программирование. Метод ветвей и границПостановка задачи дискретного программирования
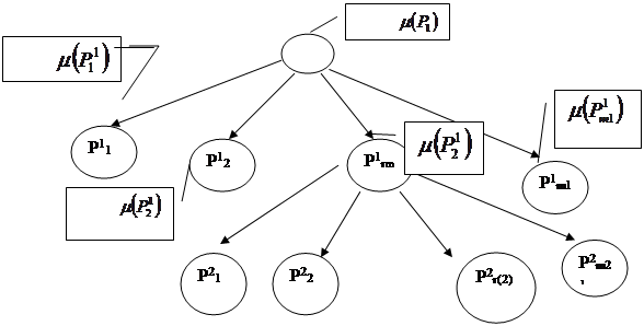
Общая схема метода ветвей и границ решения ЗДП
В начале должна быть вычислена величина
Для всех подмножеств в
Величины (2)
означает, что Предположим (2) выполнено для Выбираем следующее для разбиения подмножество из условия:
Пусть
Для каждого из этих подмножеств вычисляем:
Проверяем условие (5). Пусть условие (5) выполняется для Нужно скорректировать два подмножества
В дальнейшем будем рассматривать только те подмножества, которые на графе являются висячими вершинами, т.е. нерассмотренные. Дальнейший процесс решения задачи можно построить двумя способами. Граф:
Первый способ: Для дальнейшего разбиения выбирается подмножество из подмножеств, полученных в результате последнего разбиения Пусть это будет Дальнейший процесс будет проходить также. При этом способе можно достаточно быстро получить подмножество
Далее продолжаем процесс решения задачи также. Второй способ: Выбирается множество для разбиения из всех висячих вершин, ещё нерассмотренных. Выбирать способ решения задачи нужно в зависимости от конкретной задачи. При любом способе решения процесс продолжаем до тех пор пока не будет выполнено следующее условие: Решением задачи будет тот план, который дал последнее значение величине Для решения конкретной ЗДП необходимо строить алгоритм метода ветвей и границ, согласно приведенной схеме. При этом нужно решить следующие проблемы: 1) как найти 2) по какому принципу проводить разбиение множества; 3) как вычислить Решение задачи о комивояжере.
Для нахождения Определение: Процесс вычитания из каждого элемента i
-ой строки матрицы Приведенная матрица – это матрица, которая приведена и по всем строкам и столбцам.
Критерий приведения – в каждой строке и столбце должны быть хотя бы один нуль. Приведенная матрица – t – произвольный гамельктоновый цикл.
На каждой итерации разбиваем множество на два подмножества. Принцип разбиения: X – произвольное множество, которое разбивается.
На каждой итерации свои подмножества –
Из таких соображений выбираем дугу 1. 2. желательно выбрать Это приведет к возможному нахождению гамельктонова цикла, а, следовательно, к коррекции величины Чтобы выбрать дугу 1) т. к. 2)
Из всех дуг уже зафиксированных для множества y
составляем связный путь, который обязательно включает в себя последнюю зафиксированную дугу 3)
Приводим 1) в матрице 2)
В результате получаем 1) просматривая все нулевые элементы 2)
Если же в процессе решения задачи придется разбивать Схема восстановления
Пусть вершина X
такова, что для неё уже зафиксированы Шаг 1:
для каждой фиксированной дуги Шаг 2:
для каждой фиксированной дуги Шаг 3:
для каждой запрещенной дуги В результате получаем матрицу Связной путь должен содержать последнюю зафиксированную дугу. ПримерФирма «Турал Арбуз Корпорейшен» проводит исследование для более удачного расположения нового склада для товара, который они должны поставлять в 4 магазина. Одним из критериев выбора стала своевременная поставка товара в кротчайшие сроки (обговорено в контрактах). Т.е. получается задача о коммивояжере. Водитель должен побывать на каждой точке с утра и вернуться на склад. Продается три склада, нужно выбрать один из них (цены одинаковы). Важнейшим критерием является минимальный срок проезда через все магазины и возвращение опять на склад. Известно время, за которое водитель может доехать с одной торговой точки до другой и время проезда до склада. Сначала находим минимальное время пути, затрачиваемое водителем с первого склада. Дана матрица затрачиваемого времени при переезде из точки i в j .
Приведение матрицы
Приведение матрицы по столбцам:
Выбираем
Получаем матрицу Связной путь (2,3), следовательно
Начинаем 2-ую итерацию
Связной путь:
3-я итерация.
Нам нужно восстановить
Приводим по строкам:
4-я итерация:
Связной путь:
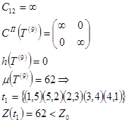
Корректируем
Ответ: оптимальный путь это –
Граф задачи После нахождения времени таких переездов со второго и третьего складов, нам останется только выбрать минимальное из них. Допустим, что ЗаключениеДля проведения маркетинговых исследований используется широкий спектр экономико-математических методов. Основные из них – это: · Статистические методы обработки информации; · Многомерные методы; · Регрессионные и корреляционные методы; · Имитационные методы; · Методы статической теории принятия решений; · Детерминированные методы исследования операций; · Гибридные методы Самыми распространенными из них являются методы математической статистики. Трудность применения экономико-математических методов маркетинговых исследований заключается в том, что они требуют у персонала высокой квалификации и огромный блок соответствующих знаний, но в XXI веке эта трудность сводится лишь к соответствию рабочего места специалиста-маркетолога с современными технологиями. Т.е. оно должно обеспечивать оперативное удовлетворение информационных и вычислительных потребностей специалиста, дающего реально ощутимые результаты и не требующего при этом от пользователя специальных знаний по прикладному и системному программированию. Также сложность заключается в том, что маркетинг исследует людское поведение, которое не может быть до конца изучено, соответственно математически просчитать что-либо связанное с этим очень сложно. Но, несмотря на некоторые недостатки, все-таки с помощью математических методов намного проще найти оптимальное решение некоторых экономических задач. Одна из таких задач разбиралась в моей курсовой работе. Как видно это занимает не очень много времени, но единственный недостаток этого то, что требуется достаточно много времени для того, чтобы разобраться в методе и алгоритме решения. Это конечно является существенным недостатком, но согласитесь, что просто рассуждениями или, следуя интуиции, решение находилось бы намного дольше и, скорее всего, не оптимальное. Получается, что, несмотря на все недостатки математических методов они необходимы. Тем более что современные технологии позволяют существенно облегчить их применение на практике (с помощью персональных компьютеров, их программ и т.п.) |

, на графе они просто вычеркиваются. Рассматриваем только оставшиеся висячие вершины подмножества. Для продолжения решения выбираем для разбиения следующее подмножество.
(4)




















