Реферат: Бескоалиционные игры
|
Название: Бескоалиционные игры Раздел: Рефераты по математике Тип: реферат |
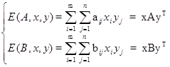
Антагонистические игры, которые мы изучали ранее, описывают конфликты весьма частного вида. Более того, для большинства имеющих место в реальной жизни конфликтов антагонистические игры либо вовсе не могут считаться приемлемыми, адекватными описаниями, либо, в лучшем случае, могут рассматриваться как первые грубые приближения. Во-первых, антагонистические игры никак не затрагивают своими описаниями конфликты с числом строк, большим чем два. В месте с тем, такие многосторонние конфликты не только встречаются в действительности, но являются принципиально более сложными, чем конфликты с двумя участниками, и даже не поддаются сведению к последним. Во-вторых, даже в конфликтах с двумя участниками интересы сторон вовсе не обязаны быть противоположными; во многих конфликтах такого рода случается так, что одна из ситуаций оказывается предпочтительнее другой для обоих участников. В-третьих, даже если любые две ситуации сравниваются игроками по их предпочтительности противоположным образом, различие разностей в оценках этой предпочтительности оставляет место для соглашений, компромисов и коопераций. Наконец, в-четвёртых, содержательная острота конфликта не обязательно соответствует его формальной антагонистичности. Например, при встрече двух боевых единиц воюющих сторон (скажем, танков) обоюдное их стремление уничтожить друг друга не выражает антогонистичности конфликта: в антогонистическом конфликте цели сторон оказываются строго противоположными, и стремлению одной стороны уничтожить другую противоположным будет стремление избежать уничтожения. В качестве примера БАИ рассмотрим: 1. Игры двух лиц с произвольной суммой. Бескоалиционные игры. В конечной бескоалиционной игре двух игроков (КБИДИ)каждый из них делает один ход выбирает одну стратегию из имеющегося у него конечного числа стратегий, и после этого он получает свой выигрыш согласно определённым для каждого из них матрицами выигрышей. Другими словами КБИДИ полностью определяется двумя матрицами выигрышей для двух игроков. Поэтому такие игры называются биматричными. Пусть у игрока 1 имеется m стратегий, i = А = Будем по-прежнему считать полный набор вероятностей x = (x1, ..., xm) применения 1 игроком своих чистых стратегий смешанной стратегией игрока 1, и у = (y1, ..., yn) смешанной стратегией игрока 2. тогда средние выигрыши игроков 1 и 2 соответственно равны
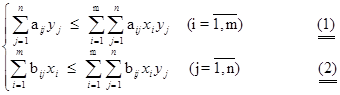
Ситуация равновесия для биматричной игры составляет пару (x,y) таких смешанных стратегий игроков 1 и 2, которые удовлетворяют неравенствам :
или
Для определения ситуаций равновесия необходимо решить систему неравенств (1) и (2) (
Теорема (Нэша). Каждая биматричная игра имеет по крайней мере одну ситуацию равновесия. В качестве примера рассмотрим случай, когда каждый игрок имеет две чистые стратегии. В этом случае матрицы A и B равны : A = Смешанные стратегии для игроков 1 и 2 имеют вид : (x, 1 x), (y, 1 y) 0 £ x £ 1; 0 £ y £ 1, а средние выигрыши равны : E1(A,x,y) = xA = (a11 a12 a21 + a22) xy + (a12 - a22) x + (a21 - a22) y + a22. E2(B,x,y) = xB = (b11 - b12 - b21 + b22) xy + (b12 - b22) x + (b21 - b22) y + b22. Условия
(x; 1- x) или
Преобразовав (3) и (4), получим
(a11 - a12 - a21 + a22) xy + (a12 - a22) x ³ 0 или
Т. о., множество всех приемлемых стратегий для игрока 1 удовлетворяет условиям (5) и (6), 0 £x£ 1; 0 £y£ 1. Чтобы найти x рассмотрим 3 случая : 1. Если x = 0, то (6) справедливо "y, а (5) имеет вид : a1y-a2£ 0. 2. Если x = 1, то (5) справедливо "y, а (6) имеет вид : a1y-a2³ 0. 3. Если 0 < x < 1, то (5) разделим на (1 -x), а (6) на x и получим
Итак, множество К решений системы (5) (6) состоит из всех ситуаций вида (0; y), если a1y-a2£ 0; 0 £y£ 1; всех ситуаций вида (x; y), если a1y-a2 = 0; 0 < x < 1; всех ситуаций вида (1; y), если a1y-a2³ 0; 0 £y£ 1. Если a1 = a2 = 0, то решением является xÎ[0; 1], yÎ[0; 1], т. к. все неравенства (7) (8) выполняются при всех x и y, т. е. множество приемлемых для игрока 1 ситуаций покрывает весь единичный квадрат. Если a1 = 0, a2¹ 0, то выполняется либо (7), либо (8), и поэтому решением является либо x = 0, либо x=1 при 0 £y£ 1 (приемлемой стратегии в игре не существует). Если a1 > 0, то из (7) получаем решение x = 0; y£ Из (8) следует ещё решение x = 1, y³a, из (9) следует ещё решение 0 < x < 1, y = a. Если a1 < 0, то решение следующее : x = 0, y ³a; x = 1, y £a; 0 < x < 1, y = a. При этом необходимо учитывать, что дополнительно должно быть 0 £y£ 1. Геометрически это выглядит следующим образом : y ¥ y ¥ y ¥ 1 1 1 a1>0 a1>0 a1>0 a<0 a=0 1< a<1 (x, a) 0 1 x 0 1 x 0 1 x ¥ ¥ ¥
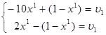
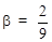
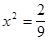
¥¥ 1 a1>0 1 a1>0 1 a1< 0 (x, 1) a=1 a >1 (x, a) 0< a<1 (0, b) x x x 0 ¥ 1 0 ¥ 1 0 ¥ 1 Для игрока 2 исследования аналогичны. Если ввести обозначения b1 := b11-b12-b21 + b22 b2 := b22- то множество L приемлемых для него ситуаций состоит из : всех ситуаций вида (x, 0), если b1x-b2 < 0; 0 £x£ 1, всех ситуаций вида (x, y), если b1x-b2 = 0; 0 £x£ 1; 0 < y < 1, всех ситуаций вида (x, 1), если b1x-b2 > 0; 0 £x£ 1. Результаты следующие : если b1 = b2 = 0, то решение 0 £x£ 1; 0 £y£ 1; если b1 = 0; b2¹ 0, то решение либо y = 0, либо y = 1 при 0 £x£ 1 (приемлемой стратегии в игре не существует); если b1 > 0, то решения следующие : y = 0, x < если b1 < 0, то решения следующие : y = 0, x > b; y = 1, x < b; 0 < y < 1; x = b При этом необходимо учитывать, что 0 £x£ 1. y y 1 1 (b,y) (b,y) x x 0 1 0 1 b1 > 0 b1 < 0 0 < b < 1 0 < b < 1 Решением игры является пересечение множеств K и L, т.е. те значения x и y, которые являются общими для множеств K и L. y y 1 1 x x 0 1 0 1 а) б) При этом зигзаги K и L могут быть не только одинаковой, но и противоположной направленности. В первом случае зигзаги имеют одну точку пересечения, а во-втором три. Средние выигрыши при этом определяются по формулам (*), если в них подставить полученное решение x и y (рис.а)). Очевидно a входит в смешанную стратегию игрока 2, хотя зависит только от выигрышей 1 игрока; b входит в смешанную стратегию игрока 1, хотя зависит только от выигрышей игрока 2. Сравнение этих результатов с результатами решения матричных игр с нулевой суммой показывает, что a совпадает с оптимальной стратегией игрока 1 в матричной игре с матрицей A, а b с оптимальной стратегией игрока 2 в матричной игре с матрицей B. Отсюда можно сделать вывод, что равновесная ситуация направляет поведение игроков не только на максимизацию своего выигрыша, сколько на минимизацию выигрыша противника. С другой стороны, естественно также рассматривать подходящим поведение игроков в конечных бескоалиционных играх, направленное на максимизацию своего выигрыша с учётом максимального противодействия игрока, т.е. подходящей стратегией игрока 1 считать оптимальную смешанную стратегию игрока 1 в матричной игре с матрицей A, а подходящей стратегией игрока 2 считать оптимальную смешанную стратегию игрока 2 в матричной игре с матрицей B, если в ней рассматривать решение с позиций максимизации выигрыша игрока 2, т.е. решать её, как для игрока 1, с матрицей Пример1. Министерство желает построить один из двух объектов на территории города. Городские власти могут принять предложения министерства или отказать. Министерство игрок 1 имеет две стратегии: строить объект 1, строить объект 2. Город игрок 2 имеет две стратегии: принять предложение министерства или отказать. Свои действия (стратегии) они применяют независимо друг от друга, и результаты определяются прибылью (выигрышем) согласно следующим матрицам : A = (например: если игроки применяют свои первые стратегии, министерство решает строить 1 объект, а городские власти разрешают его постройку, тогда город получает выигрыш 5 млн, а министерство теряет 10 млн, и т.д.) Решение. Для этой игры имеем : a1 = a11- a12- a21 + a22 = -10 - 2 - 1 - 1 = -14 < 0, a2 = a22- a12 = -1 - 2 = -3,
Так как a1 < 0, то множество решений K имеет следующий вид : (0, y) при (x, (1, y) при 0 £y£ Для 2 игрока имеем : b1 = b11- b12- b21 + b22 = 5 + 2 + 1 + 1 = 9 > 0, b2 = b22- b21 = 1 + 1 = 2,
y 1
имеет следующий вид :
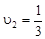
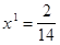
(x; 0), при 0 £x£ ( (x; 1), при Точка пересечения множеств L и K есть точка C с координатами x = При этом выигрыш соответственно равен E1(A,x,y) = (x, 1-x) = E2(A,x,y) = (x, 1-x) Замечание. Если решить эту игру как матричные игры двух игроков с нулевой суммой, то для игры с матрицей A оптимальные смешанные для 1 игрока и цена игры получаются из решения уравнений
откуда вероятность применения игроком 1 первой стратегии равна
Следовательно, вероятность применения игроком 2 своей стратегии Таким образом, если каждый из игроков будет применять свои стратегии в этой игре, исходя только из матриц своих выигрышей, то их оптимальные средние выигрыши совпадают с их выигрышами при ситуации равновесия. |
, В = 





