Курсовая работа: Управление стоимостью проекта 3
|
Название: Управление стоимостью проекта 3 Раздел: Рефераты по государству и праву Тип: курсовая работа | ||||||||||||||||||||||||||||||||||||||||||||||||||||||||||||||||||||||||||||||||||||||||||||||||||||||||||||||||||||||||||||||||||||||||||||||||||||||||||||||||||||||||||||||||||||||||||||||||||||||||||||||||||||||||||||||||||||||||||||||||||||||||||||||||||||||||||||||||||||||||||||||||||||||||||||||||||||||||||||||||||||||||||||||||||||||||||||||||||||||||||||||||||||||||||||||||||||||||||||||||||||||||||||||||||||||||||||||||||||||||||||||||||||||||||||||||||||||||||||||||||||||||||||||||||||||||||||||||||||||||||||||||||||||||||||||||||||||||||||||||||||||||||||||||||||||||||||||||||||||||||||||||||||||||||||||||||||||||||||||||||||||||||||||||||||||||||||||||||||||||||||||||||||||||||||||||||||||||||||||||||||||||||||||||||||||||||||||||||||||||||||||||||||||||||||||||||||||||||||||||||||||||||||||||||||||||||||||||||||||||||||||||||||||||||||||||||||||||||||||||||||||||||||||||||||||||||||||||||||||
Реферат Тема исследования: «Управление стоимость проекта». Курсовая работа изложена на 49 стр., в работе 6 рис., 18 таблиц, 2 приложения. Список использованных источников – 27. Проект, управление проектом, жизненный цикл проекта, стоимость, управление стоимостью проекта, показатели деятельности, система управления стоимостью проекта, оптимизация управления стоимостью проекта. Цель работы: разработать мероприятия по совершенствованию управления стоимость строительного проекта. Достижение поставленной цели обусловило необходимость решения следующих задач: Раскрыть основные принципы управления стоимость проекта. Рассмотреть определения стоимости и бюджетирования проекта. Раскрыть методы контроля стоимости проекта. Проанализировать основные показатели стоимости проекта. Привести финансово-экономическое обоснование проекта. Разработать комплекс мероприятий по совершенствованию управления стоимостью проекта. Рассчитать экономические результаты внедрения мероприятий по совершенствованию управления стоимостью проекта. Предмет исследования: управление стоимостью проектов в строительстве. При проведении исследования были использованы общенаучные методы исследования. Так же использовались специальные методы инвестиционного анализа. Оглавление 1. Теоретические основы управления стоимостью проекта.. 7 1.1. Основные принципы управления стоимостью проекта. 7 1.2. Определение стоимости и бюджетирование проекта. 11 1.3. Методы контроля стоимости проекта. 17 2. управление стоимостиью проекта в ООО «Вента». 24 2.1. Характеристика проекта. 24 2.2. Финансово-экономическое обоснование проекта. 30 3. совершенствование управления стоимостью проекта в ООО «Вента». 35 3.1. Направления совершенствования управления стоимостью в ООО «Вента». 35 3.2. Экономические результаты совершенствования управления стоимостью проекта38 список использованных источников.. 43 ВведениеУправление организационными проектами становится особенно актуальным, когда в России формируются условия широкого использования методологии управления проектами. Данный метод является эффективным средством управления в реальных российских условиях и в то же время проверенным инструментом реализации организационных проектов необходимого качества, в установленные сроки, в рамках принятого бюджета. Проект – дело, связанное не только с инновациями и с необходимостью больших инвестиций. Проект подразумевает многочисленные факторы неопределенности, а это затрудняет расчеты. К этому еще надо добавить, что работа над проектом осуществляется в команде и требует от всех ее участников особых навыков и способностей. Поэтому предприятию следует с большой тщательностью подойти к вопросам планирования, ведения и управления любым комплексным проектом. Умелый менеджмент выведет начинания компании на дорогу успеха. Управление проектом представляет собой методологию организации, планирования, руководства, координации человеческих и материальных ресурсов на протяжении жизненного цикла проекта (говорят также – проектного цикла), направленную на эффективное достижение его целей путем применения системы современных методов, техники и технологий управления для достижения определенных в проекте результатов по составу и объему работ, стоимости, времени, качеству. Управление стоимостью проекта включает в себя процессы, необходимые для обеспечения и гарантии того, что проект будет выполнен в рамках утвержденного бюджета. Основная цель управления стоимостью проекта состоит в том, чтобы завершить его в рамках утвержденного бюджета. Степень научной разработанность: в современных работах посвященных как инвестиционной деятельности так и управления проектами вопросам эффективного управления стоимость проекта уделяется значительное место. При подготовке использовались работы следующих авторов: Бирман Г. Горбунов А. Б. Джозеф А. Ендовицкий Д. А. Ионова А.Ф., Селезнева Н.Н., Жуков Л. М. Зарембо Ю. Г. Кириченко Т.В., Ковалев В.В., Катасонов В.Ю. Клиффорд Ф. Грей, Эрик У. Ларсон, Мазур И.И., Шапиро В.Д. Мелкумов Я. С. Михельс В. А Вахович И. В. Сорокина Е.М. и т.д. Цель работы: выявить теоретические основные управления стоимостью проектов и разработать мероприятия по оптимизации. Достижение поставленной цели обусловило необходимость решения следующих задач: 1. Раскрыть основные принципы управления стоимость проекта. 2. Рассмотреть определения стоимости и бюджетирования проекта. 3. Раскрыть методы контроля стоимости проекта. 4. Проанализировать основные показатели стоимости проекта. 5. Привести финансово-экономическое обоснование проекта. 6. Разработать комплекс мероприятий по совершенствованию управления стоимостью проекта. 7. Рассчитать экономические результаты внедрения мероприятий по совершенствованию управления стоимостью проекта. Объект исследования: инвестиционные проекты в строительстве Предмет исследования: управление стоимостью проектов в строительстве При проведении исследования были использованы общенаучные методы исследования, а так же специальные методы инвестиционного анализа. 1. Теоретические основы управления стоимостью проекта1.1. Основные принципы управления стоимостью проектаСтоимость проекта определяется совокупностью стоимостей ресурсов проекта, стоимостями и временем выполнения работ проекта. Для строительных проектов определяется стоимость строительства, которая представляет собой часть стоимости проекта, в которую входят денежные средства, необходимые для капитального строительства. Оценка всех затрат по проекту эквивалентна оценке общей стоимости проекта. Управление стоимостью проекта включает в себя процессы, необходимые для обеспечения и гарантии того, что проект будет выполнен в рамках утвержденного бюджета. В контексте настоящей главы управление стоимостью и управление затратами практически являются тождественными понятиями. Целями системы управления стоимостью (затратами) является разработка политики, процедур и методов, позволяющих осуществлять планирование и своевременный контроль затрат. И.И. Мазур, В.Д. Шапиро [16] указывают, что стоимость проекта определяется совокупностью стоимостей ресурсов проекта, стоимостями и временем выполнения работ проекта. Для строительных проектов определяется стоимость строительства, которая представляет собой часть стоимости проекта, в которую входят денежные средства, необходимые для капитального строительства. Оценка всех затрат по проекту эквивалентна оценке общей стоимости проекта. Ф. Клиффор в свих работах [11,12] указывает, что управление стоимостью и финансированием инвестиционного проекта (Project Cost and Finance Management) – раздел управления проектами, включающий процессы, необходимые для формирования и контроля выполнения утвержденного бюджета проекта. Состоит из планирования ресурсов, оценки стоимости, формирования сметы и бюджета и контроля стоимости. Он включает в себя: - Система Ценообразования - Влияние на стоимость через организацию и проведение подрядных торгов и конкурсов, которые оптимизируют показатели стоимости - Стоимостной расчет проекта - Оценка инвестиционного проекта, инвестиционный анализ - Обеспечение финансирования проекта - Управление затратами. В рамках реализации проекта существуют четыре стоимостных категории: 1) начальный бюджет, 2) фактические расходы, 3) прогнозы по завершению, 4) фактический бюджет реализованного проекта.
Рис. 1.1. Финансирование инвестиционного проекта на протяжении Жизненного Цикла Проекта
Рис. 1.2. Структура управления финансирования на протяжении Жизненного Цикла Проекта Ряд авторов [5, 8, 11, 16] выделяют следующие элементы управления финансирования инвестиционного проекта: 1) Планирование стоимости и финансирования в проекте: - формирование бюджета проекта; - разработка плана финансирования, который должен соответствовать сформированному бюджету проекта; - разработка плана управления стоимостью и финансированием в проекте. 2) Организация и контроль выполнения проекта по стоимости: - распределение функциональных обязанностей и ответственности в соответствии с планом управления стоимостью и финансированием в проекте; - введение в действие системы управления стоимостью и финансированием в проекте; - учет фактических затрат в проекте; - контроль сметы - формирование отчетности о состоянии стоимости и финансирования проекта 3) Анализ состояния и регулирования стоимости создания проекта: - текущий аудит состояния проекта по стоимости и финансам; - определение степени выполнения проекта по стоимостным показателям (осуществляется на основе анализа фактических затрат и сметной стоимости выполненных работ); - анализ отклонений стоимости выполненных работ от сметы и бюджета; - анализ различных факторов, влияющих на позитивные и негативные отклонения; - подготовка и анализ корректирующих воздействий; - прогнозирование состояния выполнения работ проекта по стоимости; - принятие решений о регулирующих воздействиях для приведения выполнения работ проекта по стоимости в соответствии с бюджетом. 4) Завершение управления проектами по стоимости и финансам: - экономический анализ и оценка результатов; - подготовка финансового отчета; - окончательные расчеты и закрытие финансирования; - формирование архива 5. Управление затратами в инвестиционном проекте: - Прогноз стоимости проекта на ранних этапах - Формирование базового бюджета (плана) инвестиционного проекта - Контроль над изменениями бюджета проекта. Сравнение общего бюджета с фактическими затратами - Детальная отчетность о стоимости проекта, включая все его компоненты. - Контроль за обязательствами по проекту - Анализ освоенного объема для всех элементов стоимости, а не только тех элементов, для которых отслеживается расписание. - Анализ тенденций и составление прогнозов отклонения от бюджета проекта. - Планирование расходования денежных средств - Сравнение и анализ ранних трендов Анализ трендов на суммарном или более детальном уровне. 1.2. Определение стоимости и бюджетирование проектаВ.В Ковалев [9] указывает, что в зависимости от этапа жизненного цикла проекта и целей оценки применяют различные виды и методы оценки стоимости проекта. Исходя из целей оценок, разной бывает и точность таких оценок. Виды оценок стоимости проекта: · Предварительная (оценка жизнеспособности, реализуемости проекта); · Факторная (укрупненный расчет стоимости, предварительная смета); · Приближенная (сметно-финансовый расчет); · Окончательная (сметная документация). Чтобы оценить стоимость проекта, требуется знать стоимость составляющих проект ресурсов, время выполнения работ и стоимость этих работ. Таким образом, оценка стоимости начинается с определения структуры ресурсов и работ проекта. Данные задачи решаются в рамках планирования проекта, а в модуль оценки стоимости должны поступать результаты выполнения этого процесса. Стоимость проекта определяется ресурсами, необходимыми для выполнения работ, в том числе: · оборудование (покупка, взятие в аренду, лизинг); · приспособления, устройства и производственные мощности; · рабочий труд (штатные сотрудники, нанятые по контракту); · расходные товары (канцелярские принадлежности и т. д.); · материалы; · обучение, семинары, конференции; · субконтракты; · перевозки и т. д. Все затраты можно классифицировать как: · прямые и накладные расходы; · повторяющиеся и единовременные. Например, ежемесячные платежи за использование производственных мощностей повторяющиеся затраты, закупка комплекта оборудования — единовременые затраты; · постоянные и переменные по признаку зависимости от объема работ; · плату за сверхурочное рабочее время. Структура стоимости проекта в разрезе статей затрат обычно базируется на структуре плана счетов проекта, представляющего собой декомпозицию затрат от самого верхнего уровня стоимости всего проекта до нижнего уровня стоимости одной единицы ресурсов. Для конкретного проекта выбирается свой план счетов или семейство таковых. В качестве базовых вариантов могут использоваться российские бухгалтерские планы счетов, международные бухгалтерские планы счетов, планы счетов управленческого учета. Согласно В.В Ковалев [9] техника оценки затрат проекта состоит из 13 шагов. Они могут различаться в зависимости от проекта и включают в общем случае следующие: 1.Определение потребностей работы в ресурсах. 2.Разработку сетевой модели. 3.Разработку структуры разбиения работ . 4.Оценку затрат в разрезе структуры разбиения работ. 5.Обсуждение СРР (структура разбиения работ) с каждым из функциональных управляющих. 6.Выработку основного направления действий. 7.Оценку затрат для каждого элемента СРР. 8.Согласование базовых затрат с высшим уровнем управления 9.Обсуждение с функциональными управляющими потребности в персонале. 10. Разработку схемы линейной ответственности. 11. Разработку детальных графиков. 12. Формирование суммарного отчета по затратам. 13. Включение результатов оценки затрат в документы проекта. Оценка стоимости проекта по сути является оценкой всех затрат, необходимых для успешной и полной реализации проекта. Эти затраты могут иметь различные представления, окрашенные различными экономическими смыслами. При этом различия между такими представлениями подчас бывают весьма тонкими. Различают три вида затрат: · обязательства; · бюджетные затраты (сметная стоимость работ, распределенная во времени); · фактические затраты (отток денежной наличности). Обязательства возникают, например, при заказе каких-либо товаров или услуг заблаговременно до момента их использования в проекте. В результате выставляются счета, оплата по которым может производиться либо в момент готовности товаров к поставке, либо в момент его получения, либо согласно принятой в организации политики оплат. В любом случае при заказе бюджет уменьшается на сумму этого заказа. В ряде случаев она не учитывается до момента получения счета, что некорректно отражает текущее состояние бюджета. В связи с этим возникает потребность в системе планирования и учета обязательств проекта. Кроме выполнения своих основных функций, данная система позволит прогнозировать будущие выплаты. Бюджетные затраты характеризуют расходы, планируемые при производстве работ. Фактические затраты отражают расходы, возникающие при выполнении работ проекта, либо в момент выплаты денежных средств. В.Д. Шапиро [21] указывает, что реальное соотношение этих видов затрат зависит от нескольких факторов, включающих в себя: · соотношение между объемами трудовых ресурсов, материалов и субконтрактов в проекте; · политику оплаты счетов в организации; · период поставки основного оборудования; · график выполнения работ по субконтрактам; · влияние графика работ на то, когда и каким образом будут списываться затраты рабочих при поставке оборудования. Понимание разницы между описанными «выражениями» затрат позволит эффективно управлять общими расходами проекта. И.И. Мазур, В.Д. Шапиро [16] указывают, что исходя из структуры жизненного цикла проекта, его стоимость включает в себя следующие составляющие: ♦ стоимость исследований и разработок: проведение предынвестиционных исследований, анализ затрат и выгод, системный анализ, детальное проектирование и разработка опытных образцов продукции, предварительная оценка продукции проекта, разработка проектной и другой документации на продукцию; ♦ затраты на производство: производство, сборка и тестирование продукции проекта, поддержание производственных мощностей, материально-техническое обеспечение, обучение персонала и пр.; ♦ затраты на строительство: производственные и административные помещения (строительство новых или реконструкция старых); ♦ текущие затраты: заработная плата, материалы и полуфабрикаты, транспортировка, управление информацией, контроль качества и пр.; ♦ снятие продукции с производства: затраты на переоборудование производственных мощностей, утилизация остатков. Под бюджетированием И.И. Мазур, В.Д. Шапиро [16] понимают определение стоимостных значений выполняемых в рамках проекта работ и проекта в целом, процесс формирования бюджета проекта, содержащего установленное (утвержденное) распределение затрат по видам работ, статьям затрат, по времени выполнения работ, по центрам затрат или по иной структуре. Структура бюджета определяется планом счетов стоимостного учета конкретного проекта. Бюджет может быть сформирован как в рамках традиционного бухгалтерского плана счетов, так и с использованием специально разработанного плана счетов управленческого учета. Практика показывает, что в большинстве случаев бухгалтерского плана счетов бывает недостаточно. Для каждого конкретного проекта требуется учет определенной специфики с точки зрения управления стоимостью, поэтому каждый проект должен иметь свой уникальный план счетов, но который базируется на установившихся показателях управленческого учета. Бюджетирование является планированием стоимости, т. е. определением плана затрат: когда, сколько и за что будут выплачиваться денежные средства. И.И. Мазур, В.Д. Шапиро [16] указывают, что бюджет может составляться в виде: 1) календарных план-графиков затрат, 2) матрицы распределения расходов, 3) столбчатых диаграмм затрат, 4) столбчатых диаграмм кумулятивных (нарастающим итогом) затрат (рис. 1.3.),
Рис. 1.3. Столбчатая диаграмма кумулятивных затрат 5) линейных диаграмм распределенных во времени кумулятивных затрат (рис. 1.4),
Рис.1.4. Линейная диаграмма распределенных во времени кумулятивных затрат 6) круговых диаграмм структуры расходов и пр. Форма представления бюджетов зависит от: · потребителя документа; · цели создания документа; · сложившихся стандартов; · интересующей информации. В зависимости от стадии жизненного цикла проекта бюджеты могут быть: · предварительными (оценочными); · утвержденными (официальными); · текущими (корректируемыми); · фактическими. После проведения технико-экономических исследований составляются предварительные бюджеты, которые носят в большей степени оценочный, нежели директивный характер. Такие бюджеты подвергаются согласованию со всеми заинтересованными лицами и в конечном итоге утверждаются руководителем проекта или другим лицом, принимающим решение. После того, как бюджет обрел официальный статус, он становится эталоном, по отношению к которому происходит сравнение фактических результатов. В ходе реализации проекта возникают отклонения от ранее запланированных показателей, что должно своевременно отражаться в текущих бюджетах. И по завершении всех работ в качестве итогового документа создается фактический бюджет, в котором отражаются реальные цифры. Особого внимания заслуживают сметы, представляющие собой бюджеты расходов. Сметная документация является важной составляющей бюджетной документации в крупных инвестиционных проекта. 1.3. Методы контроля стоимости проектаЕ.М. Сорокина [19] подчеркивает, что управление стоимостью проекта включает в себя: · Воздействие на факторы, вызывающие изменения базового плана по стоимости · Проверка того, что запрошенные изменения получили одобрение · Управление фактическими изменениями по мере их возникновения · Обеспечение того, что потенциальное превышение стоимости не приведет к увеличению расходов сверх авторизованных пределов финансирования, как периодических, так и проекта в целом · Осуществление мониторинга выполнения стоимости с целью обнаружения и анализа отклонений от базового плана по стоимости · Точное фиксирование и ведение записей всех соответствующих изменений в затратах, имеющих отличия от базового плана по стоимости · Защита правил использования утвержденных ресурсов или денежных средств от того, чтобы в них не были внесены неверные, несоответствующие или неутвержденные изменения · Информирование соответствующих участников проекта об утвержденных изменениях · Выполнение действий, необходимых для того, чтобы превышения стоимости затрат оставались допустимых пределах Управление стоимостью проекта является частью общего управления изменениями и включает в себя поиск причин, вызывающих как позитивные, так и негативные отклонения. Например, неадекватное реагирование на отклонение по стоимости может привести к возникновению проблем с расписанием или качеством, или к появлению неприемлемого увеличения риска на дальнейших этапах проекта.
Рис. 1.5. Управление стоимостью: входы, инструменты и методы, выходы Контроль стоимости проекта возникает из-за влияния факторов, обусловливающих отклонения от ранее запланированного бюджета, и направлен на управление изменениями в стоимости проекта с целью снижения отрицательных аспектов и увеличения позитивных последствий изменения стоимости проекта. Контроль стоимости проекта включает: · мониторинг стоимостных показателей реализации проекта с целью обнаружения отклонений от бюджета; · управление изменениями в бюджете с целью обеспечения выполнения бюджета; · предотвращение ранее запланированных ошибочных решений; · информирование всех заинтересованных лиц о ходе выполнения проекта с точки зрения соблюдения бюджета. Согласно Е.М. Сорокина [19] контроль стоимости проекта имеет две составляющие: учетную, т. е. оценку фактической стоимости выполненных работ и затраченных ресурсов, и прогнозную, т. е. оценку будущей стоимости проекта. Базовыми показателями, используемыми при контроле стоимости проекта, являются следующие: · необходимо для завершения (НДЗ): устанавливается оценка затрат, которые предстоят для завершения работы или проекта. Оценка НДЗ является наилучшей текущей оценкой того, сколько надо дополнительно вложить на данный момент, чтобы завершить работу; · расчетная стоимость (PC): наилучшая оценка общей стоимости, которую будет иметь работа или проект при завершении. Расчетная стоимость вычисляется как сумма фактических затрат на текущую дату и НДС; Существуют два основных метода контроля стоимости: традиционный метод; метод освоенного объема. Метод анализа измерения эффективности помогает установить величину любых отклонений. Метод освоенного объема (МОО) состоит в том, что совокупный объем плановой стоимости выполненных работ (полученный) первоначального расчетного бюджета сравнивается как с данными плановой стоимости запланированных работ (план), так и с данными фактической стоимости выполненных работ (факт). Этот метод наиболее пригоден для управления стоимостью, ресурсами и производством. В.В Ковалев [9] указывает, что важной частью управления стоимостью является определение причин, вызывающих отклонения, размеры отклонений и понимание того, нужно ли предпринимать корректирующие действия в отношении отклонений. Метод освоенного объема подразумевает использование базового плана по стоимости, являющегося частью плана управления проектом, для оценки хода выполнения проекта и определения величины образовавшегося отклонения. При использовании метода освоенного объема необходимо рассчитывать следующие ключевые значения для каждой плановой операции, пакета работ и контрольного счета: 1) Плановый объем Плановый объем – это бюджетная стоимость работы, которая согласно расписания должна быть выполнена в результате операции или элемента ИСР к определенному сроку. 2) Освоенный объем Освоенный объем – это указанный в бюджете объем работы, действительно выполненный в результате плановой операции или элемента ИСР в течение определенного периода времени. 3) Фактическая стоимость Фактическая стоимость – это общая стоимость выполнения работы в результате плановой операции или элемента ИСР в течение определенного периода времени. Фактическая стоимость по определению и масштабу должна соответствовать тому, что в бюджете определено для планового объема и освоенного объема (например: только прямые затраты рабочего времени, только прямые затраты или все затраты, включая непрямые). 4) Прогноз до завершения и прогноз по завершении. Разработка прогноза до завершения и прогноза по завершении описана в следующем методе прогнозирования. На рис. 1.6. изображены S-кривые, отображающие совокупные данные освоенного объема проекта, которые выше предусмотренных бюджетом и ниже предусмотренных планом работ.
Рис. 1.6. Пример графического отчета по исполнению Анализ показателей эффективности исполнения проекта предусматривает сравнение эффективности затрат по времени, для плановых операций или пакетов работ, выполнение которых отличается от предусмотренных бюджетом значений, как в сторону увеличения, так и в сторону уменьшения (плановый объем), плановых контрольных событий и фактических контрольных событий. Анализ эффективности исполнения проекта происходит во время совместных заседаний соответствующих специалистов и предназначен для оценки выполнения и состояния плановых операций, пакетов работ или счетов затрат. При этом для анализа обычно используется один или несколько представленных ниже методов составления отчетов об эффективности: 1. Анализ отклонений. Анализ отклонений включает в себя сравнение данных фактической эффективности проекта с запланированными или ожидаемыми. Наиболее часто анализируются отклонения по стоимости и срокам, однако отклонения от плана по содержанию, ресурсам, качеству и рискам часто имеют не меньшую или даже большую важность. 2. Анализ тенденций. Анализ тенденций предполагает изучение данных эффективности проекта во времени для определения, происходит ли улучшение или ухудшение исполнения проекта. 3. Метод освоенного объема. Метод освоенного объема предусматривает сравнение плановых показателей эффективности с фактическими. Основным достоинством методики освоенного объема является возможность «раннего обнаружения» (обнаружения на ранних стадиях реализации проекта) несоответствия фактических показателей проекта плановым, прогнозирования на их основе результатов выполнения проекта (сроков, затрат и т. д.) и принятия своевременных корректирующих воздействий, вплоть до прекращения проекта. Помимо оценки суммарных затрат на выполнение проекта, на основании наблюдаемых показателей освоенного объема возможно также прогнозирование и других характеристик проекта. Прогнозирование затрат, согласно В.В Ковалев [9], подразумевает оценку конечной стоимости проекта на основании информации о затратах проекта на текущий момент времени. Существуют следующие варианты оценки конечной стоимости проекта (ЕАС), при которых используются как традиционный метод оценки, так и метод освоенного объема: · Стоимость по завершении = Фактические затраты на текущую дату + Оставшаяся стоимость проекта, скорректированная с учетом индекса освоения затрат; · Стоимость по завершении = Фактические затраты на текущую дату + Оценка оставшейся стоимости проекта (ETC); · Стоимость по завершении = Фактические затраты на текущую дату + Новая смета на оставшуюся часть проекта. Индекс освоения затрат (CPI) рассчитывается как отношение освоенного объема к фактическим затратам:
Параллельно рассчитывается индекс выполнения расписания (SPI):
С использованием этих показателей оценка затрат по завершении (прогнозировании затрат) рассчитывается следующим образом: 1.Традиционный метод: ЕАС = ACWP + ETC. (1.3) 2.Метод освоенного объема: · Пессимистическая оценка:
· Оптимистическая оценка:
Также может использоваться показатель прогнозного отклонения стоимости проекта (varianceatcompletion — VAC): VAC=BAC - ЕАС. (1.6) В этих формулах используются суммарные индексы, а не периодические или дискретные. Периодические данные о затратах в различные моменты времени могут значительно отличаться друг от друга, что в итоге некорректно отразиться на конечной оценке. Суммарные данные сглаживают эти отклонения, оставаясь при этом более надежным инструментом для долгосрочного прогнозирования. В любом случае нельзя забывать, что с какой бы точностью ни была сделана оценка по завершении, она не будет на 100% корректно отражать конечный результат проекта. Чем ближе момент оценки к моменту завершения проекта, тем меньше разница между этими двумя величинами. 2. управление стоимостиью проекта в ООО «Вента»2.1. Характеристика проектаРассмотрим основные показатели стоимость инвестиционно-строительного проекта крупнопанельного 1-секционного жилищно-коммерческого комплекса, начало реализации которого началось в апреле 2010 г. Основные технико-экономические показатели, характеризующие рассматриваемый проект приведены в табл. 2.1. Таблица 2.1 Основные технико-экономические показатели проекта
Потребность в материальных ресурсах определена на основании объемов работ и норм расхода материалов, принимаемым по СНиП часть IV. Срок и завоза материалов увязаны с календарным планом производства работ. Материалы и конструкции доставляют на строительную площадку автотранспортом. Запас материалов и конструкций принят на 5-12 дней работы. Бетонную смесь подают к моменту укладки. Расчет потребности в материалах, конструкциях и полуфабрикатах по проекту приведен в табл. 2.2. Таблица 2.2. Расчёт потребности в материалах, конструкциях и полуфабрикатах
Основанием для составления графика движения рабочих кадров по объекту служит календарный план производства работ. В соответствии с календарным планом производства работ составлен график движения основных строительных машин по объекту. Потребность в строительных маш инах и механизмах определена исходя из объемов работ. Таблица 2.3. График движения рабочей силы по объекту.
Количество машино-смен по месяцам распределено с учетом продолжительности выполнения механизированного процесса. Результаты расчета приведены в табл. 2.4. Таблица 2.4. График движения основных строительных машин по объекту
Расчет объемов и трудоемкости строительных работ по жилищно-коммерческому комплексу произведен в таблице 2.5 Таблица 2.5 Расчет объемов и трудоемкости строительных работ по жилищно-коммерческому комплексу “Перекрёсток”.
2.2. Финансово-экономическое обоснование проектаФинансирование проекта планируется к осуществлению c первоначальными инвестициями заказчика (инвестора), соответствующим сметной стоимости проекта – 18090,55 тыс. руб. Предполагаемая окупаемость проекта – 1 год (коммерческие предприятия начнут функционировать непосредственно после сдачи объекта в эксплуатацию – заказчик планирует продажу коммерческих площадей и квартир и получение единовременного дохода, предполагается также 100% заселенность жилого фонда – покупка новых квартир жильцами – в течение 6 мес. после сдачи объекта). Жилищный отдел спроектирован на 20 квартир – 10 двух-комнатных и 10 - трех-комнатных общей жилой площадью 1540,98 м2. Общая жилая площадь 3-комнатных квартир – 924,90 м2, 2-комнатных квартир – 616,08 м2. Общая площадь коммерческих помещений – 290, 56 м2. Прогнозная стоимость: 2-комн. квартира – 31,9 тыс. руб 3-комн. квартира – 38,1 тыс.руб. Коммерческие площади – 36,7 тыс.руб. Итого, выручка от реализации заказчиком жилищно-коммерческого комплекса по планируемым ценам, в прогнозе составит: Выр. = 31,9 * 616,08 + 38,1 * 924,9 + 36,7 * 290,56 = 65 661,9 тыс. руб. Рассчитаем финансовые показатели проекта (табл. 2.6) Таблица 2.6. Расчет финансовых показателей проекта.
По показателю рентабельности проект занял высокую позицию. Рассчитаем валовую маржу проекта, а также найдем точку безубыточности. 1) Валовая маржа (ВМ) является мерой эффективности производственной деятельности компании.
Очевидно, что, чем выше ВМ, тем лучше. В нашем случае, расчет дал следующие результаты:
По этому показателю проект может быть рекомендован к реализации. 2) Точка безубыточности (ТБ) Исходными данными для расчета являются такие минимальные значения суммарного объема производства и реализации продукции, при которых выпуск продукции начинает приносить прибыль:
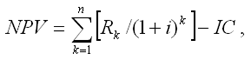
Для данного инвестиционно-строительного проекта: ТБ = 10458,2 / (65661.9 – 7632.35) * 65661.9= 11 819, 14 тыс. руб. То есть даже при ощутимом снижении выручки, проект обладает определенным запасом прочности. При оценке инвестиционной эффективности обычно рассчитываются данные показатели NPV (чистого приведенного дохода), IRR (внутренней нормы доходности) и PI (индекса доходности инвестиций). Методика расчета NPV заключается в суммировании современных (пересчитанных на текущий момент) величин чистых эффективных денежных потоков по всем интервалам планирования на всем протяжении периода исследования. При разовой инвестиции расчет чистого приведенного дохода можно представить следующим выражением:
где Rk – годовые денежные поступления в течение n лет, k = 1, 2, …, n; IC – стартовые инвестиции; i – ставка дисконтирования (0% - окупаемость проекта не больше года, дисконт не применяется). Для данного варианта проекта: IC = 18 090.55 R1 = 65661.9 i = 0 (0 %) NPV = (65661,9/1) – 18090.55 = + 47 571.35 (Значение показателя совпало с показателем балансовой прибыли в связи с отсутствием дисконтирования в краткосрочном периоде) Индекс доходности инвестиций (PI) тесно связан с показателем чистой современной ценности инвестиций, но, в отличие от последнего, позволяет определить не абсолютную, а относительную характеристику эффективности инвестиций. Индекс доходности инвестиций (PI) при разовом инвестировании рассчитывается по следующей формуле:
Индекс рентабельности инвестиций отвечает на вопрос: каков уровень генерируемых проектом доходов, получаемых на одну единицу капитальных вложений. При разовых инвестициях данный показатель равен: PI раз = 65 661,9 / 18 090,55 = 3,63 Внутренняя ставка доходности инвестиций (IRR) Интерпретационный смысл внутренней ставки доходности заключается в определении максимальной стоимости капитала, используемого для финансирования инвестиционных затрат, при котором собственник (держатель) проекта не несет убытков. Расчет внутренней ставки доходности (IRR) осуществляется методом итеративного подбора такой величины ставки дисконтирования, при которой чистая современная ценность инвестиционного проекта обращается в ноль. Выбираются два значения коэффициента дисконтирования, при которых функция NPV меняет свой знак, и используют формулу: IRR = i1 + NPV(i1) / [NPV(i1) - NPV(i2)] • (i2 - i1) [3] Где: i1 – ставка дисконтирования, при которой чистая приведенная стоимости имеет отрицательнео значение i2 - последняя ставка дисконтирования, при которой NPV имеет положительное значение В данном случае расчет IRR нецелесообразен, поскольку не предполагается изменения дисконтной ставки в течение года реализации проекта. При реализации проекта возможны экономические и политические риски. Поправка на риск проекта определяется по данным следующей таблицы: Таблица 2.7 Поправки на риск проекта.
В силу того, что жилищно-коммерческий комплекс – новое строительное производство, величина риска должна быть принята в размере 13-15% (высокая величина риска). Примем P = 15 % Ставка дисконтирования, учитывающая риски при реализации проектов, определяется по формуле: в = i + P/100 где в = 0 + 15/100 = 0.15 (то есть проект по-прежнему имеет большой запас прочности при возникновении рисков) . 3. совершенствование управления стоимостью проекта в ООО «Вента»3.1. Направления совершенствования управления стоимостью в ООО «Вента»Предлагаемый проект оптимизации системы управления стоимостью проектов в ООО «Вента» основан на принципе формирования бизнес-единиц и предполагает осуществление в различные периоды времени расходов капитального характера (инвестиционных расходов). Структура и график распределения капитальных вложений представлены в таблице 3.1. Объемы капитальных вложений определяются общей суммой затрат на управление бизнес-едицицами. Таблица 3.1 Структура и график распределения капитальных вложений
Расходы, по статье затрат на "Программное обеспечение" включают затраты разработчика, связанные с приобретением программы Oracle Advanced Procurement Release 12, которое будет обслуживать систему бизнес-единиц предприятия. Расходы, по статье капительных вложений "Техническая поддержка" предполагают следующие этапы работ: установка и внедрение программного обеспечения, а также обучение пользователей. Общий объем капитальных вложений составляет 221300 руб. Каждая из статей капитальных вложений привязана к соответствующему этапу работ, то есть платежи по проекту происходят по графику, соответствующему календарному плану внедрения системы. В затраты на эксплуатацию входят следующие элементы: 1. заработная плата обслуживающего персонала с отчислениями на социальные нужды; 2. стоимость потребляемых энергоресурсов; 3. расходы на амортизацию и текущий ремонт оборудования. Рассчитаем перечисленные элементы эксплуатационных затрат. Для расчета заработной платы персонала воспользуемся формулой: ЗП = (1 + 0,356) * (12 * О * где ЗП – месячная заработная плата обслуживающего персонала, руб.; О – должностной оклад обслуживающего персонала, руб.; В1 – количество часов за месяц, необходимых для выполнения задачи, часы; К – расчетное количество рабочих часов в месяце, часы; N – количество сотрудников, работающих с документами. К = 8*24 = 192 час./мес. Определим годовую заработную плату персонала, когда решение поставленной задачи требует 80 часов работы – базовый вариант: ЗП=(1+0,356)*(12*12000*80/192)*3=244080 руб./год ЗП на 1 рабочего составит 325440/2 = 81360 руб./год. Определим заработную плату обслуживающего персонала, который будет работать с предлагаемым программным продуктом – проектируемый вариант: ЗП=(1+0,356)*(12*12000*40/192)=40680 руб./год. Ежегодная общая экономия в заработной плате составит 203400 руб./ год. Стоимость потребляемых энергоресурсов: Определим стоимость потребляемых энергоресурсов для базового варианта, когда решение поставленной задачи требует 96 часов работы: Э = 12*(0,1*0,902*8*80+0,3*0,902*3*30) *3 = 2954.95 руб. Определим стоимость потребляемых энергоресурсов для проектируемого варианта, когда решение задачи требует 40 часов работы: Э = 12(0,1*0,902*8*40+0,3*0,902*3*15) × 1 = 492,5 руб. Благодаря новому программному приложению за год будет экономиться в потреблении энергоресурсов 2642.5 руб. Сумма расходов на амортизацию и износ (текущий ремонт) оборудования: Годовой полезный фонд рабочего времени определяется как: ПФВР = (365 – 114) * 8 = 251 * 8 = 2008 ч. Амортизация в базовом варианте составит: Сам=(22000*3*(20+3)/100)/2008*80*12=7257.37 руб. Амортизация в проектируемом варианте составит: Сам=(22000*4*(20+3)/100)/2008*40*12=1209,5 руб. Следовательно, годовая экономия по амортизационным отчислениям равна 6047,87 руб. Себестоимость в базовом варианте равна: С1 =244080+2954,95+7257.37= 254 292,32 руб./год. Эксплуатационные затраты в проектируемом варианте составят: С2 = 40680 +492,5 +1209,5 = 42382 руб./год Экономия от реструктуризации ОАО "Станкострой" будет равна: С1 – С2 = 254292.32 - 42382 = 211 910,32 руб./год. В данном проекте объем капитальных вложений составляет 67570 рублей. Таким образом, оптимизация обусловленная реструктуризацией бизнес-процессов и внедрением нового программного обеспечения по различным направлениям и составляет в год: - по заработной плате персонала 203400 руб. - на электроэнергию 2462,452 руб. - амортизационным отчислениям 6 047,87 руб. Итого, общее снижение издержек, обусловленная реструктуризацией бизнес-процессов и внедрением нового программного обеспечения, составляет 211 910,32 рублей ежегодно. 3.2. Экономические результаты совершенствования управления стоимостью проектаСрок окупаемости проекта будет рассчитываться как отношение капитальных вложений в проект, равных 221300 руб. и отдачи, обусловленной успешной реализацией проекта (планируемым снижение издержек бизнеса по различным направлениям), которая составляет 211 910,32 руб. РР =221300/ 211910.32 * 12 = 13 месяцев Таким образом, срок окупаемости проекта приблизительно равен 13 месяцам. Для расчета чистого приведенного эффекта необходимо привести планируемые экономии к ценам базового периода, т.е. продисконтировать их с использованием реальной ставки дисконтирования, рассчитываемой с учетом инфляционных изменений. За базу расчета дисконтного множителя возьмем рыночную ставку по коммерческим кредитам. Ставка рефинансирования примем ставку, равную 10,5% годовых (ro = 10,5%) Прогнозируемый уровень инфляции на 2007-2008 гг. составляет 8%, то искомая ставка дисконтирования потока платежей. rр= 0,105 + 0,08 + 0,105*0,08 = 0,1934 или 19,34% - реальная ставка дисконтирования с учетом инфляции. NPV =(211 910,32 -42382)/ 1.1934- 221300=16676.5 руб. Полученное значение чистой текущей стоимости больше нуля, что говорит о том, что проект следует принять. Индекс рентабельности проекта (PI) – это отношение суммарного дисконтированного дохода к суммарным дисконтированным затратам, он определяется как PI = (211 910,32 - 42382)/ 1.1934-/221300=2.35 руб. Поскольку индекс рентабельности больше 1, проект следует принять. Расчет IRR (внутренней нормы доходности) проводим в таблице 3.2. Таблица 3.2 Расчет IRR
Исходящие потоки – это объем капитальных вложений в проект, они осуществляются в первый квартал реализации проекта. Входящие потоки – это сумма экономий, обусловленная реализацией проекта, эти потоки распределены во времени, их величина прогнозировалась с учетом выходя на проектную мощность приобретаемого оборудования. IRR = 20 + 129389.06/(-129389.06-(-137450.82))*(22-21) =18.1 % (в промежутке от 21 до 22) Следовательно, внутренняя рентабельность проекта составляет 18,1%. Такой высокий уровень внутренней нормы доходности показывает целесообразность вложения финансовых ресурсов в проект. ЗаключениеВ ходе исследования получены следующие результаты: Проект - комплекс взаимосвязанных мероприятий, предназначенных для достижения определенной цели в течении заданного периода времени и в рамках выделенного бюджета. Управление проектами за последнее время завоевало признание как наилучший метод планирования и управления реализацией инвестиционных проектов. Стоимость проекта определяется совокупностью стоимостей ресурсов проекта, стоимостями и временем выполнения работ проекта. Для строительных проектов определяется стоимость строительства, которая представляет собой часть стоимости проекта, в которую входят денежные средства, необходимые для капитального строительства. Оценка всех затрат по проекту эквивалентна оценке общей стоимости проекта. Управление стоимостью и финансированием инвестиционного проекта (Project Cost and Finance Management) – раздел управления проектами, включающий процессы, необходимые для формирования и контроля выполнения утвержденного бюджета проекта. Состоит из планирования ресурсов, оценки стоимости, формирования сметы и бюджета и контроля стоимости. ООО «Вента» размещается в г.Вологда, юридический адрес: г. Вологда, ул. Чехова, д.1. Основной вид деятельности предприятия – ремонтно-строительные услуги. Количество работников предприятия по состоянию на 1 января 2009 года составляет 95 человек. Реализация услуг клиентам ведется по ценам, сформированным на основании затрат и сложившейся рыночной конъюнктуры. Цены дифференцируются в зависимости от объёма заказанных услуг. В зависимости от складывающихся экономических условий цены на услуги, реализуемые ООО «Вента» могут пересматриваться как в сторону снижения, так и в сторону повышения. Постоянным клиентам фирма предоставляет дополнительные ценовые скидки. Управление стоимостью проекта в ООО «Вента» включает в себя: · Воздействие на факторы, вызывающие изменения базового плана по стоимости · Проверка того, что запрошенные изменения получили одобрение · Управление фактическими изменениями по мере их возникновения · Обеспечение того, что потенциальное превышение стоимости не приведет к увеличению расходов сверх авторизованных пределов финансирования, как периодических, так и проекта в целом · Осуществление мониторинга выполнения стоимости с целью обнаружения и анализа отклонений от базового плана по стоимости · Точное фиксирование и ведение записей всех соответствующих изменений в затратах, имеющих отличия от базового плана по стоимости · Защита правил использования утвержденных ресурсов или денежных средств от того, чтобы в них не были внесены неверные, несоответствующие или неутвержденные изменения · Информирование соответствующих участников проекта об утвержденных изменениях · Выполнение действий, необходимых для того, чтобы превышения стоимости затрат оставались допустимых пределах Предлагаемый проект оптимизации системы управления стоимостью проектов в ООО «Вента» основан на принципе формирования бизнес-единиц и предполагает осуществление в различные периоды времени расходов капитального характера (инвестиционных расходов). Таким образом, оптимизация обусловленная реструктуризацией бизнес-процессов и внедрением нового программного обеспечения по различным направлениям и составляет в год: - по заработной плате персонала 203400 руб. - на электроэнергию 2462,452 руб. - амортизационным отчислениям 6 047,87 руб. Итого, общее снижение издержек, обусловленная реструктуризацией бизнес-процессов и внедрением нового программного обеспечения, составляет 211 910,32 рублей ежегодно. Исходя из рассчитанных выше показателей, можно сделать следующие выводы о получении экономического эффекта от внедрения разработанной ИС: - снижается трудоёмкость выполнения технологических процессов; - повышается эффективность использования вычислительной техники; - использование системы приведет к повышению качества выполняемых сотрудниками операций, увеличит оперативность обработки поступающих документов. Годовое снижение издержек бизнеса при реализации данных предложений по реструктуризации бизнес-процессов в ООО «Вента» оценивается 211 910,32 рублями. список использованных источников1. Бирман Г. Экономический анализ инвестиционных проектов / Бирман Г., Шмидт С. Пер. с англ. под ред. Л. П. Белых. — М.: Банки и биржи, ЮНИТИ, 2007. - 631 с. 2. Горбунов А. Б. Управление финансовыми потоками. - М.: Анкил,2009. - 265 3. Джозеф А. Бизнес-планы: полное справочное руководство. / Джозеф А. Ковелло Д. - М.: АЛАНС, 2003. – 458 с. 4. Ендовицкий Д. А. Комплексный анализ и контроль инвестиционной деятельности. – М.: Финансы и статистика, 2006. – 394 с. 5. Ионова А.Ф., Селезнева Н.Н., Финансовый анализ: учеб. / под ред. А.Ф. Ионова– М.: ТК Велби, Изд-во Проспект, 2008. – 624 с. 6. Жуков Л. М. Финансово-экономический анализ для оценки эффективности инвестиций. // Экономика строительства, 2008,№ 4. - С. 14-32. 7. Зарембо Ю. Г. Об единой методике оценки эффективности инвестиций. // Экономика строительства, 2007, № 9. - С. 10-20. 8. Кириченко Т.В., Финансовый менеджмент: Учебное пособие / под ред. А.А. Комзолова. – М.: Издательско-торговая корпорация "Дашков и Ко ", 2007. – 626 с. 9. Ковалев В.В., Управление денежными потоками, прибылью и рентабельностью: учебно-практ. пособие. – М.: ТК Велби, Изд-во Проспект, 2008. – 336 с. 10. Катасонов В.Ю. Проектное финансирование: мировой опыт и перспективы для России. - М., Анкил,2008 – 410 с. 11. Клиффорд Ф. Управление проектами. Практическое руководство / Клиффорд Ф. Грей, Эрик У. Ларсон . – М.: Дело и Сервис, 2006. – 432 с. 12. Клиффор Ф. Управление проектами. -М.: ДИС,2008. – 341 с. 13. Маренков Н. Л. Управление инвестициями российского предпринимательства / Н. Л. Маренков, Н. Н. Маренков.- М.: Эдиториал УРСС, 2008. – 501 с. 14. Мазур И.И., Шапиро В.Д. и др. Реструктуризация предприятий и компаний: справочное пособие для специалистов и предпринимателей пособие / под общ. ред. И.И. Мазура. -М.: Аланс, 2007 – 369 с. 15. Мазур И.И., Шапиро В.Д., Ольдерогге Н.Г. Управление проектами: Учебное пособие / под общ. ред. И.И. Мазура.– М.: Омега-Л,2007. – 510 с. 16. Мазур И.И., Шапиро В.Д. и др. Управление проектами: справочник для профессионалов пособие / под общ. ред. И.И. Мазура. - М. Аланс, 2006. -264 с. 17. Мелкумов Я. С. Экономическая оценка эффективности инвестиций и финансирования инвестиционных проектов — М.: ИКЦ «ДИС», 2007. - 460 с. 18. Михельс В. А Вахович И. В. Интенсивность капитальных инвестиций в предпринимательский проект-критерий их эффективности // Строительное производство, 2008, № 42. - С. 68-72. 19. Сорокина Е.М., Анализ денежных потоков предприятия: теория и практика в условиях реформирования российской экономики. – 2-е изд., перераб. и доп. – М.: Финансы и статистика, 2004. – 176 с. 20. Управление инвестициями. В 2 т. / В.В. Шеремет, В.Д. Шапиро и др.-М.: Высшая школа, 2005. – 1022 с. 21. Управление проектами. Толковый англо-русский словарь-справочник / Под ред. проф. В.Д. Шапиро — М.: «Высшая школа», 2003. – 401 с. 22. Фергус О’Коннэл. Как успешно руководить проектами: серебряная пуля. - М.: Анкил,2005. – 223 с. 23. Финансово-экономическое состояние предприятия. /Бакадоров В.Л., Алексеев П.Д. Практическое пособие. – М.: Приор, 2000.-129 с. 24. Финансовый анализ: методические указания./Составитель О.А.Тупикова.- Владивосток: Изд-во ДВГТУ, 2004 .-138 с. 25. Шеремет А.Д. Теория экономического анализа. – М.: Финансы и статистика, 2006.-376 с.; 26. Шеремет А.Д., Сайфулин Р.С. Методика финансового анализа. - М.: Инфра-М, 2007.-465 с.; 27. Экономика предприятия / под ред. С.Ф. Покропивного .- К.: Знания- Пресс, 2006. - 373 с. ПРИЛОЖЕНИЯПриложение 1 Движение основных производственных средств в 2008г.
Приложение 2 Балансы предприятия за 2006-2008гг.
|
||||||||||||||||||||||||||||||||||||||||||||||||||||||||||||||||||||||||||||||||||||||||||||||||||||||||||||||||||||||||||||||||||||||||||||||||||||||||||||||||||||||||||||||||||||||||||||||||||||||||||||||||||||||||||||||||||||||||||||||||||||||||||||||||||||||||||||||||||||||||||||||||||||||||||||||||||||||||||||||||||||||||||||||||||||||||||||||||||||||||||||||||||||||||||||||||||||||||||||||||||||||||||||||||||||||||||||||||||||||||||||||||||||||||||||||||||||||||||||||||||||||||||||||||||||||||||||||||||||||||||||||||||||||||||||||||||||||||||||||||||||||||||||||||||||||||||||||||||||||||||||||||||||||||||||||||||||||||||||||||||||||||||||||||||||||||||||||||||||||||||||||||||||||||||||||||||||||||||||||||||||||||||||||||||||||||||||||||||||||||||||||||||||||||||||||||||||||||||||||||||||||||||||||||||||||||||||||||||||||||||||||||||||||||||||||||||||||||||||||||||||||||||||||||||||||||||||||||||||||





(1.1)
(1.2)
(1.4)
(1.5)
