Реферат: Валютная спекуляция и предпосылки возникновения
|
Название: Валютная спекуляция и предпосылки возникновения Раздел: Остальные рефераты Тип: реферат | |||||||||||||||||||||||||||||||||||||||||||||||||||||||||||||||||||||||||||||||||||||||||||||||||||||||||||||||||||||||||||||||||||||||||||||||||||||||||||||||||||||||||||||||||||||||||||||||||||||||||||||||||||||
| Тема: Раздел:Международныеэкономические и валютно-кредитные отношения Формат:Winword Автор:Орынгалиев Бауыржан Использование:г. Алматы КазГАУ Прмечание: Удачи ГЛАВА I. ВАЛЮТНЫЙ КУРСI.1. Режимы валютных курсов На сегодняшний день в мировой практике существует несколько типов режимов валютных курсов в зависимости от специфики каждой конкретной страны. С известной долей условности тип валютной системы можно условно определить по некоторым характеристикам: 1). Тип страны с закрытым рынком имеет следующие характеристики: тенденцию к закрытости экономики и экономической информации, жесткие ограничения для инвесторов и экспортно-импортных операций, преимущественно государственную форму экономики, директивную форму определения режима валютного курса. Курс валюты такой страны непредсказуем, инвесторы и импортеры обычно стремятся избегать сделок в такой валюте, реальные расчеты по товарообороту производятся в валюте третьих стран. Рынок подобных валют обычно очень узок (или вообще не существует). Макроэкономические показатели напрямую не влияют на курс таких валют на мировом рынке. 2). Страны с приоритетом фиксированного курса при значительном экономическом потенциале. Обычно курсы валют таких стран жестко фиксированы по отношению к «авторитарной» валюте и является подходящим для осуществления экспортно-импортных операций и инвестиций. Макроэкономические показатели обычно не влияют или очень слабо влияют на курс национальной валюты таких стран. 3). Существует также очень многочисленный круг стран со сравнительно свободной, но не стабильной экономикой, курс валют таких стран трудно прогнозируем и может зависеть от случайных факторов: политической нестабильности, непредсказуемой экономической политики правительства, международной неконкурентоспособности, сырьевой направленности экономики, инфляционное финансирование дефицита госбюджета, недостаточности уровня валютных резервов, в том числе и от микроэкономических показателей. Инвестирование в подобную валюту обычно рискованное мероприятие и импортеры склонны использовать валюту третьих стран в расчетах по товарообороту с такими странами. Макроэкономические показатели в таких странах влияют на курс национальной валюты, однако, могут и искусственно сдерживаться правительством по политическим мотивам. 4). Страны со стабильной экономикой, придерживающийся приоритета свободного плавания национальной валюты. Важнейшая характеристика таких стран: развитая рыночная экономика, экономическое благополучие, предсказуемая политика правительства, жесткий контроль денежной массы, процентных ставок и инфляции в стране. Декларированная свобода плавания такой валюты, однако, в некоторых случаях связана с грязными методами регулирования курса – с интервенциями, межгосударственными правительственными договорами совместного плавания курсов, политическими давлением. Инвестиции в данные валюты менее рискованны, экспортно-импортные операции обычно совершаются с использованием именно этих валют. Курс валют чутко реагирует на изменение макроэкономических показателей экономик в таких странах. Макроэкономические и политические факторы обычно очень гибко реагируют только на 3-й и 4-й тип валюты. При этом могут прослеживаться много закономерностей, которые влияют на курс в долгосрочной и краткосрочной перспективе. Например, в долгосрочной перспективе обычно при анализе движения валютных курсов учитывают такие факторы как, уровень ВВП, темпы инфляции, состояние платежного и торгового баланса, уровень безработицы, уровень государственного долга, экономические перспективы развития, уровень политической и социальной стабильности и т.д.. I. 2. Факторы, влияющие на валютный курс. Валютные курсы колеблются постоянно, если им предоставлена возможность реагировать на спрос и предложение на внешних валютных рынках. Существует множество факторов, влияющих на колебания валютных курсов, и все они связаны со спросом и предложением. Колебания курсов валют; вызваны превышением спроса над предложением или наоборот. Например, если спрос на покупку долларов США и продажу фунтов стерлингов превышает уравновешивающий его спрос на покупку фунтов стерлингов и продажу долларов США, то фунт стерлингов будет стоить дешевле по отношению к доллару США. Аналогично, если спрос на покупку испанских песет и продажу французских франков превышает спрос на покупку франков и продажу песет, то песеты будут стоить дороже по отношению к французским франкам. Так, поэтому чтобы понять причину изменения валютных курсов, нужно разобраться с факторами, влияющими на спрос и предложение на валюту. Факторы, влияющие на предложение и спрос на валюту: а.) уровень цен и темп инфляции; б) баланс (итоговое сальдо) платежей; в) процентные ставки; г) степень доверия и спекуляция; д) "ускорение" или "затягивание" расчетов по внешнеторговым операциям; е) интервенция центрального банка; ж) постановления по валютному регулированию; з) "горячие деньги". Попробуем рассмотреть каждую из них в отдельности Уровень цен и темп инфляции Если темп инфляции в стране А превышает темп инфляции в стране В, то валюта страны А будет обесцениваться по отношению к валюте страны В, Например, если темп инфляции в США составляет 3% в год, а в Великобритании — 10% в год, и обменный курс составляет 2 доллара США за 1 ф.ст., то более целесообразно хранить 2 доллара США, чем 1 ф.ст,, поскольку через один год 2 доллара США будут иметь более высокую покупательную способность. Вследствие этой разницы в темпах инфляции возникает рыночный спрос на покупку долларов и продажу фунтов стерлингов, и поэтому курс фунта стерлингов упадет по отношению к доллару. Чтобы остановить эту тенденцию, процентные ставки на банковские депозиты и т.п. в Великобритании должны быть выше, чем в США, чтобы компенсировать вкладчикам хранение фунтов стерлингов вместо покупки долларов. Баланс (итоговое сальдо) платежей Итоговое сальдо платежей страны можно грубо определить как разницу между тем, что эта страна получает, и тем, что она тратит, наряду с разницей сумммы привлекаемых зарубежных инвестиций и суммы инвестиций, которые ее граждане делают в других странах. А) Если страна экспортирует в стоимостном выражении больше товаров и услуг, чем импортирует, то она будет получать больше иностранной валюты, чем тратит. Допустим, Великобритания имеет активное сальдо своего текущего торгового баланса. Это значит, что британские экспортеры получают больше, чем вынуждены заплатить импортерам. Следовательно, британские предприятия стремятся получать фунты стерлингов, а не иностранную валюту, вследствие чего излишки иностранной валюты будут продаваться в обмен на фунты стерлингов. Это рыночное давление предложения и спроса приведет к увеличению стоимости фунта стерлингов по отношению к другим валютам.Если же Великобритания имеет дефицит торгового баланса, то имеет место превышение предложения фунтов стерлингов над спросом, и давление рынка приведет к снижению стоимости фунта стерлингов. Б) Эти же принципы применимы к инвестициям. Если иностранные инвесторы стремятся вкладывать свои деньги в Великобритании, то для этой цели они обязаны покупать фунты стерлингов. Если английские граждане стремятся вложить свои деньги за рубежом или иметь банковский счет в иностранной валюте, то им нужна иностранная валюта. Таким образом, предложение и спрос со стороны инвесторов порождает рыночное давление на колебания курсов валют. Превышение и дефицит баланса платежей могут повлиять не только на текущие валютные курсы (известные как курсы "спот"), но также на курсы, по которым дилеры на внешних валютных рынках (т.е. банки) готовы продать или купить валюту в форвардных валютных сделках. Процентные ставки Процентные ставки —это ставки процентов, которые инвестор будет получать, вложив свои деньги либо в своей стране, либо за рубежом. Эти инвестиции могут осуществляться в виде депозитных счетов в банке, депозитных сертификатов, облигаций, акций и т.п., а также в виде казначейских векселей. Предположим, что выпущены британские казначейские векселя с процентной ставкой в 11% годовых и казначейские векселя США с процентной ставкой в. 9% годовых. Разница между процентными ставками в 2% в пользу Великобритании привлечет иностранных инвесторов к покупке британских казначейских векселей. Для этого им придется покупать фунты стерлингов в обмен на другие валюты. Повышение спроса на фунты стерлингов может поднять их текущую обменную стоимость. На форвардных валютных курсах также отразится разница между процентными ставками этих валют. Степень уверенности и спекуляция Степень уверенности дилеров в будущем экономическом и политическом положении какой-либо страны, возможно, базирующаяся на слухах или прогнозах, влияет на котируемые ими курсы "форвард" для валюты данной страны. Например, возможность того, что в Великобритании произойдет: • разрушительная национальная забастовка; • смена правительства на всеобщих выборах, может заставить инвесторов продавать фунты стерлингов по форвардным сделкам, чтобы получить лучший курс валюты, пока стоимость фунта стерлингов не упала. Уверенность или ее отсутствие может привести к спекуляции валютой. Спекуляция в пользу данной валюты принимает форму покупки этой валюты в сделках "спот" или в форвардных сделках. Спекуляция, направленная против валюты, принимает форму продажи этой валюты в таких сделках. Если спекуляция становится интенсивной, то давление спроса, направленного за или против этой валюты, вызывает изменения валютного курса. Ускорение или затягивание расчетов по внешнеторговым операциям Предположения относительно будущих изменений валютных курсов влияют на решения, принимаемые компаниями в отношении покупки и продажи иностранных валют. В результате ускоряются или затягиваются расчеты по внешнеторговым операциям. А) Ускорение расчетов —это выплата или продажа валюты раньше времени, обычно принятого для платежей или продажи. Б) Затягивание расчетов — это задержка в осуществлении платежей или продажи валюты. Предположим, что ожидается падение стоимости фунта стерлингов по отношению к другим валютам. Британский импортер, который должен заплатить за товары в иностранной валюте, очевидно, поступит следующим образом: 1) заплатит сразу, а не возьмет кредит; 2) будет импортировать больше товаров (ускорение расчетов), пока фунт стерлингов имеет высокую стоимость, и будет держать более крупные запасы товаров. Политика создания запасов очень скоро породит больший спрос на продажу валюты импортерам в обмен на фунты стерлингов. Британский экспортер, который получает платежи в иностранной валюте, не будет спешить обменивать валюту на фунты стерлингов (затягивание расчетов), поскольку он надеется в результате этого продать свою валюту подороже, когда произойдет падение стоимости фунта стерлингов. Иностранные покупатели, зная о том, что стоимость фунта стерлингов должна упасть, будут стремиться откладывать покупку товаров у британских поставщиков (затягивание платежей) в надежде, что цены на товары из Великобритании в пересчете на их собственную валюту скоро упадут. Сочетание ускорения и затягивания расчетов порождает разрушительный платежный баланс и ухудшает торговый баланс. Импорт резко возрастает, а экспорт — замедляется. Поэтому ускорение и затягивание расчетов, которое, возможно, было вызвано только небольшим дефицитом, может привести к серьезному валютному кризису. Интервенция центрального банка Центральный банк может включаться в рыночные процессы с целью покупки или продажи отечественной валюты. А) Если правительство придерживается политики фиксированных валютных курсов, то это вмешательство осуществляется с целью предотвращения девальвации (покупка данной валюты и продажа определенной части резервов иностранной валюты) или ревальвации данной валюты (продажа данной валюты в обмен на иностранную валюту). Б) Даже если правительство допускает переменный курс своей валюты, центральный банк может осуществлять интервенцию для покупки или продажи этой валюты, если правительство считает, что обменный курс стал выше или ниже желаемого уровня. Если правительство допускает только ограниченные колебания обменных курсов на свою валюту, то должны быть моменты интервенции, когда центральный банк "включается", как только данная валюта повысилась в цене или обесценилась до порогового уровня- Этой системы придерживается Европейская валютная система (ЕВС). Отметим, что центральный банк может осуществлять свое вмешательство и на рынке "спот", чтобы повлиять на рыночные курсы "спот", и на форвардном рынке, чтобы повлиять на курсы "форвард". Во многих случаях интервенция центрального банка может иметь желаемый эффект при стабилизации или восстановлении валютных курсов. Однако это вмешательство не будет успешным, если валюта попадает под жесткую и непрерывную атаку со стороны спекулянтов, поскольку суммарное давление со стороны спекулянтов может оказаться сильнее противодействующих усилий центрального банка. Правительства большинства промышленно развитых стран в последние годы стремились к достижению высокой стабильности валютных курсов, отчасти путем координации усилий центральных банков против валютной спекуляций на основе так называемого "Соглашения Плаза" 1985 года и Луврского соглашения 1987 года. Постановления ио валютному регулированию Если вероятность того, что интервенция на рынке позволит защитить стоимость валюты, невелика, правительство может принимать постановления по валютному регулированию. Эти постановления нацелены на ограничение оттока капиталов или на управление другими факторами, влияющими на: А) резервы иностранной валюты; Б) стоимость валюты данной страны по отношению к другим валютам. "Горячие деньги""Горячие деньги" представляют собой значительное количество международных денег, которые свободны для инвестиций или спекуляции. "Горячие деньги" "перетекают" в страну, когда в ней процентные ставки выше, чем в других странах, или когда имеются прогнозы, что обменные курсы данной валюты будут более выгодными. "Горячие деньги" могут "улетучиться" из данной страны так же быстро, как они в нее пришли, оказывая спекулятивное давление на валюту данной страны и ослабляя ее. Если "горячие деньги" используются для инвестиций, то инвесторы будут, вероятно, применять форвардное покрытие, продавая валюту, когда наступит срок погашения инвестиций. поэтому в такой ситуации "горячие деньги" будут влиять как на курсы "спот" (покупка инвестиций), так и на курсы "форвард" (продажа денежных поступлений от инвестиций). ГЛАВА II. ВАЛЮТНЫЙ РЫНОК II.1. Сущность понятия валютный рынок В сделках внутри страны люди используют национальную валюту, но для проведения операций за границей им нужна иностранная валюта. Например, если фирма заключает контракт с американской на поставку оборудования , то ей нужна американская валюта для оплаты сделки . Для этих целей существуют специальные рынки , на которых может быть куплена или продана иностранная валюта и которые называются валютными рынками . Для своих участников они предоставляют клиринговые услуги, возможность застраховаться от валютных рисков. Также имеется возможность “спекулировать” , приобретая или продавая валюту , то есть играя на ее будущей цене. Валютная сделка представляет собой обмен денег одной страны на деньги другой. Подавляющая часть денежных активов , продаваемых на валютных рынках, имеет вид депозита до востребования в банках, осуществляющих торговлю друг с другом . Только незначительная часть рынка приходится на обмен наличных денег . Основные участники торговых сделок на валютном рынке - это крупные коммерческие банки, во многих случаях выполняющие функции дилеров в рыночном процессе. В этом качестве они поддерживают позицию двух или более валют, т.е. обладают вкладами, выраженными в этих валютах. Например, "Чейз Манхеттен Банк" имеет отделения в Лондоне и Нью-Йорке. Отделение в Нью-Йорке располагает депозитами в фунтах стерлингов в лондонском отделении, а отделение в Лондоне - депозитами в долларах в Нью-Йорке. Каждое из этих отделений может предоставить вкладчику иностранную валюту в обмен на местный вклад. На осуществлении этой операции банк получает прибыль как дилер, продавая иностранную валюту по "цене продавца", которая немного выше "цены покупателя", по которой банк приобретает валюту. Конкуренция между банками удерживает разрыв между "ценой покупателя" и "ценой продавца" на уровне 1 процента для больших международных деловых операций. Иногда коммерческие банки выступают в роли брокеров. В этом качестве они не "поддерживают позицию" по определенным валютам, но только сводят вместе продавцов и покупателей. Так, например, какая-либо английская фирма может попросить лондонский банк выступить в роли брокера при необходимой ей организации обмена долларов на фунты. Кроме коммерческих банков на внешнем валютном рынке существует небольшое количество небанковских дилеров и брокеров. Коммерческие банки используют независимых брокеров как посредников при заключении значительных оптовых сделок между собой. Обменный, или валютный, курс (ехchange гаtе) можно определить как количество единиц одной валюты, которое требуется для приобретения единицы валюты другой страны. Иными словами, это стоимость в отечественной валюте покупки определенных фондов, оцененных в валюте другой страны. Таким образом, обменный курс — это связующее звено между разными национальными валютами, позволяющее сравнивать цены и затраты в международном масштабе. Если курс объявляется для немедленных, или текущих, сделок в зарубежных валютах, его называют текущим курсом или спот-курсом (spot rate). Спот-курс применяется в межбанковских операциях для реализации в течение двух рабочих дней, а также немедленной доставки валюты в сделках типа "через прилавок", в которых, как правило, принимают участие небанковские клиенты. Если же курс объявляется для доставки иностранной валюты в будущем, его называют срочным, или форвардным, курсом (forward rate). Срочный курс — это договорный курс между торговцем заграничной валютой и его клиентом. Текущий валютный рынок (спот-рынок) Поскольку большинство валютных сделок происходит с участием торговцев иностранными валютами, курсы объявляются торговцами, работающими на валютные брокерские фирмы или коммерческие банки. Поэтому, курсы объявляются торговцем, а не покупающей или продающей стороной. Как бы торговцы ни объявляли цены на текущем или срочном рынках, они всегда называют курс покупки и курс продажи. Курс покупки — тот, по которому торговец согласен приобрести иностранную валюту, а курс продажи — тот, по которому торговец согласен ее продать. Разница, или спред (spread), на текущем рынке — это разница между курсами покупки и продажи, то есть прибыль, или маржа, торговца от своих операций в целом. Так, объявляемый торговцем курс британского фунта по отношению к доллару США может быть 1,9420/10. Это означает, что торговец согласен покупать фунты по цене 1,9410 долл., а продавать их — по цене 1,9420 долл. Вполне понятно, что торговец заинтересован покупать подешевле, а продавать — подороже. В большинстве стран курсы иностранных валют выражаются в национальной валюте. Это так называемая система прямых котировок. К примеру, в Германии один доллар США ($) будет приравнен к определенному количеству марок ФРГ (DM), а в Нью-Йорке одна германская марка будет приравнена к определенному количеству центов (или долларов, если курс марки достаточно высокий). Прямой котировкой называется котировка, показывающая, какое количество национальной валюты содержится в одном долларе США. USD/DEM Обратные котировкиВеликобритания является одной из немногих стран, применяющих систему обратных котировок. Обратной котировкой называется котировка, показывающая, какое количество долларов США содержится в единице национальной валюты. GBP/USDИ наконец, последним важным термином текущего рынка с немедленной оплатой (спот-рынка) является кросс-курс (сrоss гаtе), то есть валютный курс, рассчитанный из двух других курсов. Поскольку большинство валютных операций выражается в долларах США, зачастую две недолларовые валюты соотносят посредством кросс-курса. Для лучшего понимания возьмем европейские котировки швейцарского франка и немецкой марки и рассчитаем их кросс-курс со швейцарским франком в качестве котируемой валюты и немецкой маркой в качестве базовой валюты. Предположим, что наличные курсы немецкой марки и швейцарского франка , составили: 1 1,2775 швейц. фр 1,4980 нем. марки ,4980 нем. марки за 1 долл. США и 1,2775 швейц. фр. за 1 долл. США. Таким образом, кросс-курс составит:= 0,8528 швейц. фр. за 1 нем. марку. Это означает, что 1 нем. марка равна 0,8528 швейц. фр. Довольно часто приходится видеть, как кросс-курс выражается в виде числа 85,28, то есть в процентах. Предположим, что германский экспортер продал продукцию на сумму в 100 нем. марок швейцарскому импортеру за 85,28 швейц. фр. Если, однако, кросс-курс изменится на 0,870 швейц. фр. за 1 нем. марку, и германскому экспортеру, и швейцарскому импортеру придется решить несколько задач. Если экспортер сохранит цену в немецких марках, импортеру придется выложить за продукцию 87 фр. Экспортер может также снизить цену до 98 нем. марок, чтобы продукция по-прежнему стоила 85,28 швейц. фр. Если же экспортер будет настаивать на сохранении цены на уровне 100 нем. марок, у швейцарского импортера будут два варианта: 1) повысить цену, отражая более высокую цену импортного товара, и тем самым сохранить для себя ту же чистую прибыль; 2) сохранить цену и тем самым получить меньшую чистую прибыль в связи с более высокой стоимостью товара. Если товар относится к категории особенно чувствительных к уровню цен, ни экспортер, ни импортер не пойдут на то, чтобы поднять цену в Швейцарии. II. 3. Срочный (форвардный) рынок Как уже отмечалось выше, текущий рынок, или спот-рынок, связан с торговлей валютой в течение двух последовательных рабочих дней. Вместе с тем некоторые сделки или операции могут начаться в данный момент, а завершиться лишь в будущем. Например, французский экспортер парфюмерии может продать духи американскому импортеру с немедленной поставкой и требованием оплаты в течение 30 дней. Американский импортер принял обязательство уплатить франки в течение этих 30 дней, и поэтому он может заключить контракт с торговцем валютой на доставку долларов за франки через 30 дней по срочному, или форвардному, курсу, то есть по сегодняшнему курсу для поставки в будущем. Итак, форвардный курс — это курс, называемый торговцами валютой для покупки или продажи иностранной валюты в будущем. Разница между текущим (слот) и форвардным курсом, называемая на форвардном рынке спредом. Чтобы понять, как именно определяются текущий и форвардный курсы, надо узнать вначале, как рассчитывать спред между текущим и форвардным валютными курсами. В приводимом ниже примере мы рассчитываем пункты, т.е. разницу между текущим и форвардным курсами, для контрактов на 90 дней с переводом канадских долларов в японские иены, выраженные в долларах США. Канадские доллары Японские иены Текущий курс 0,8576 долл. США 0,007541 долл. США Форвардный курс на 90 дней 0,8500 0,007543 Пункты —76 +2 Таким образом, спред по канадским долларам составляет 76 пунктов; поскольку форвардный курс ниже, чем текущий, канадский доллар имеет дисконт, иными словами, скидку на срочном валютном рынке в 90 дней. Спред по японской иене составляет лишь 2 пункта, и поскольку форвардный курс выше текущего курса, иена на срочном рынке получает премию, или же надбавку. Премию или дисконт можно также выразить в виде процента в расчете на год. Для определения этого процента следует пользоваться формулой:
F0-S0S0 12N Премия (дисконт)= Х Х 100, где F0 — форвардный курс на дату заключения контракта; S0 — наличный курс на ту же дату; N— срок контракта; 100 — коэффициент перевода десятичной дроби в проценты (т.е. 0,05 Х 100 = 5%).В случае канадских долларов:
0,8500-,85760,8576 123 Дисконт= Х Х 100 = -3,54% Это означает, что канадский доллар продается с дисконтом (скидкой) в 3,54% с текущего курса. Международная торговля основана на использовании различных валют. Так как во многих международных сделках день заключения контракта и платежа происходят не в один день - существует валютный риск при изменении валютных курсов. Поэтому все большее распространение получат форвардные валютные контракты. Они позволяют торговцу, который знает, что в будущем ему потребуется купить или продать иностранную валюту, выполнить покупку или продажу по предопределенному обменному курсу. Торговец будет знать заранее, сколько местной валюты он должен получить (если он продает иностранную валюту банку) или выплатить (если он покупает иностранную валюту у банка). Таким образом, он защищает себя от риска колебаний валютных курсов на период между моментом заключения форвардного контракта и моментом покупки или продажи иностранной валюты некоторое время спустя. Защита от неблагоприятных изменений валютных курсов — реальное преимущество форвардных валютных контрактов над сделками "спот". Например, предположим, что британский экспортер первого апреля знает, что он должен заплатить иностранному продавцу 26600 швейцарских франков через один месяц, первого мая. Если первого апреля банковский курс "спот" на продажу швейцарских франков составляет 2,66 швейцарских франка к 1 ф.ст., то британский экспортер может предполагать, что первого мая он заплатит своему банку 26600/2,66=10000,00 ф.ст., 2,00 если тот же курс "спот" будет применим на эту дату. а) Однако обменный курс между швейцарским франком и фунтом стерлингов будет, скорее всего, колебаться, и, если первого мая банковский курс продажи "спот" будет равен 2,50, британский экспортер должен будет заплатить 26600/2,50=10640,00 ф.ст., что на 6% больше, чем он предполагал первого апреля. б) Если же банковский курс продажи "спот" будет равен 2,75, то стоимость 26600 швейцарских франков для импортера составит только 26600/2,75 = 9672,73 ф.ст. Это на 327,27 ф.ст. (или приблизительно на 3%) меньше того платежа, который он предполагал сделать, оценивая будущие затраты первого апреля. Теперь предположим, что британский импортер заключает первого апреля со своим банком форвардный валютный контракт, в соответствии с которым банк берет на себя обязательство продать импортеру 26600 швейцарских франков первого мая по фиксированному курсу, скажем, 2,64. Импортер теперь может быть уверен, что каков бы ни был курс "спот" между швейцарским франком и фунтом стерлингов первого мая, ему придется заплатить в этот день по указанному форвардному курсу 26600/2,64 = 10075,76 ф.ст. для получения швейцарских франков. а) Если курс "спот" меньше 2,64, импортер успешно защитит себя от падения курса фунта стерлингов и избежит необходимости выплатить большую сумму в фунтах стерлингов для получения швейцарских франков. (Например, если фактический курс продажи банка составит 2,50, импортер "сэкономит" 10640,00 — 10075,76 = 564,24 ф.ст.). б) Если курс "спот" выше, чем 2,64, то это означает, что импортеру придется заплатить по форвардному валютному контракту больше, чем он заплатил бы, если бы первого мая получил франки по курсу "спот". (Например, если фактический курс продажи банка составит 2,75, то импортер потеряет 9672,73 — 10075,76 = 403,03 ф.ст.). .При изучении этого примера возникают два вопроса. 1) Что мешает клиенту банка заключить форвардный валютный контракт с банком и, если изменения валютных курсов таковы, что а) валюта дешевле (более прибыльна) при использовании форвардного валютного контракта, использовать его; б) валюта дешевле (более прибыльна) при использовании курсов "спот" при покупке или продаже, забыть о форвардном валютном контракте и покупать или продавать по курсу "спот"? Дело в том, что форвардный валютный контракт является обязательным контрактом на покупку или продажу определенного количества иностранной валюты. После его заключения он должен быть выполнен на дату расчета или дату доставки как банком, так и его клиентом. Другими словами, из форвардного контракта нельзя выйти, однажды заключив его. 2) Почему для торговца плохо "спекулировать"— предполагать, что валютные курсы будут изменяться в его пользу? Полагаясь на курсы "спот" на ту дату, когда валюта будет покупаться или продаваться, вместо заключения форвардного валютного контракта, торговец может получить прибыль, если обменные курсы изменятся благоприятно для него, и наоборот, понести убытки, если это изменение будет неблагоприятно для него (то есть для британского импортера, желающего купить иностранную валют, курс фунта стерлингов по отношению к другой валюте за это время должен повыситься, тогда как для британского экспортера, желающего продать свои поступления в иностранной валюте, курс фунта стерлингов за это время должен понизиться так, чтобы он получил больше фунтов стерлингов, чем предполагалось). Ответ на этот вопрос более сложен: а) Одни торговцы решают получить спекулятивный выигрыш вследствие изменений валютных курсов и покупают и продают по курсу "спот". б) Другие же торговцы не хотят рисковать, поскольку наряду с перспективой спекулятивного выигрыша существует риск понести убытки, если валютные курсы будут изменяться неблагоприятно, и прибыль от сделки может быть поглощена потерями от такого обмена. При форвардном валютном контракте торговец точно знает, какими будут потоки денежных средств в будущем. Это может быть важно для составления бюджета фирмы. Импортер знает заранее стоимость своих покупок за рубежом. Это позволит ему заранее определить продажные цены, установив размер прибыли (например, он может заранее напечатать прейскурант цен на импортные товары). Экспортер; гарантировать свою маржу прибыли на продажах путем предельного фиксирования своего дохода в фунтах стерлингов. Форвардные валютные контракты обеспечивают защиту от риска понести значительные потери. Однако, как указывалось выше, торговец не обязан форвардные валютные контракты и вправе покупать или продавать по курсам "спот" на момент продажи или покупки. Тем не менее, форвардный валютный контракт имеет ценность для торговца, так как он таким образом защищает себя от валютных рисков. Это означает, что торговец будет заключать форвардные валютные контракты, когда только сможет это сделать, если более подходящие методы-защиты (такие как согласование поступлений и платежей в иностранной валюте) недоступны. Также другими способами страхования от валютных рисков являются фьючерсы и опционные контракты. Опционные контракты — это такие форвардные валютные контракты, при заключении которых клиент имеет возможность потребовать выполнение кантракта либо: а) в любую дату от даты заключения контракта и до конкретной даты в будущем; б) в любую дату между двумя датами, обе из которых находятся в будущем. Опционные контракты обычно используются для покрытия целых месяцев, включающих дату вероятного платежа, когда клиент не уверен в точной дате покупки или продажи валюты. Назначение опционного контракта состоит в том, чтобы избежать необходимости обновлять форвардный валютный контракт и продлевать его на несколько дней, поскольку это может быть довольно дорогостоящим с точки зрения издержек за день. Поэтому, используя опционные контракты, клиент может покрыть свой валютный риск, даже если он не знает точно эту дату- Предположим, что 10 апреля клиент вашего банка знает, что он должен произвести выплату 40000 швейцарских франков в какое-то время до конца мая. Он заключает опционный форвардный контракт с банком на продажу ему 40000 швейцарских франков в любое время в этот период, скажем, с 10 апреля до 10 июня. Таким образом, форвардный валютный контракт покрывает любое время в течение двухмесячного периода. Опционы могут также использоваться по частям. Например, если клиент заключает опционный форвардный контракт на продажу 100000 немецких марок в любое время между 3 июля и 3 августа, то он, возможно, продаст 20000 немецких марок 5 июля, 50000 немецких марок 15 июля и 30000 немецких марок 1 августа. При заключении клиентом форвардного опционного контракта с его банком необходимо установить курс покупки «ли продажи, который банк будет котировать. Банк будет котировать курс, наиболее благоприятный для него самого в любую дату в течение опционного периода. Это имеет смысл, поскольку клиент имеет возможность потребовать выполнения контракта в любую дату в течение этого периода, и банк должен быть уверен в том, что клиент не получит благоприятный курс за счет банка. Предположим, что клиент желает заключить опционный контракт 1 марта на период с 1 марта по 1 апреля для покупки 20000 долларов США, банковские курсы продажи составляют: Курс "спот" 1,5250 долларов Одномесячный курс "форвард" 1,10 цента премии Банк предложит курс продажи, наиболее благоприятный для себя, который составит курс на последний день опционного периода, то есть 1,5250 доллара минус премия в 1,10 цента = 1,5140 доллара. Для клиента цена продажи в фунтах стерлингов будет равна 13210,04 ф.ст. II. 3. Развитие мирового валютного рынка и его современное состояние Развитие мирового валютного рынка обусловлено действием двух основных факторов - во-первых, либерализацией валютных операций, возрастанием степени открытости национальных рынков, во-вторых, -внедрением современных технологий в операции на валютном рынке. Вначале решающую роль играл процесс либерализации. Либерализация валютных рынков большинства развитых государств прошла в два этапа: первый - в начале 60-х годов, он заключался в расширении конвертируемости национальных валют для нерезидентов; второй - с середины 70-х и до начала 80-х годов - можно назвать либерализацией рынка капиталов и операций резидентов. Что касается валютных рынков развивающихся и стран «переходной экономики», то в настоящее время они находятся на этапе либерализации, который в то же время не исключает технологического перевооружения их национальных валютных рынков. После того, как значительная часть ограничений была снята, значительно возросли объемы операций и вступил в действие технологический фактор. Точкой отсчета современного технологического перевооружения на мировом валютном можно считать переход на электронные технологии. Начало этому процессу положило информационное агентство Рейтер, которое запустило в 1981 г. первую электронную дилинговую систему. Появление электронных систем на валютном рынке отвечало потребностям валютного рынка в связи с резко возросшими объемами операций по обслуживанию движения капиталов между развитыми государствами. Оно совпало также с развитием национальных финансовых рынков, расширением допуска на национальные рынки нерезидентов и их возросшим участием операциях по купле - продаже ценных бумаг на национальных рынках. Новые поколения электронных систем дают возможность вести торговлю с удаленных терминалов, автоматически подтверждать сделки, направлять информацию в систему сверки валютных позиций и управления рисками. Следующим шагом в повышении уровня технологического обеспечения операций на мировом валютном рынке стало применение электронных брокерских систем. Они появились в начале 90-х годов и получили развитие благодаря подключению к ним средних и мелких банков, которые стали самостоятельно проводить операции купли/продажи валюты. Раньше они были вынуждены пользоваться услугами крупных банков-дилеров на валютном рынке, а те нередко занимались дискриминацией при установлении котировок ввиду сравнительно небольших объемов проводимых сделок. Применение электронных дилинговых и брокерских систем во многом определило развитие мирового валютного рынка. Информационно-торговые системы ведущих западных банков, соединенные между собой электронными системами фактически создали глобальный межбанковский валютный рынок, операции на котором осуществляются 24 часа в сутки. Возросла «прозрачность» рынка, что позволило заметно сузить спрэды между курсами покупки и продажи валюты. В результате обострилась конкуренция между банками за качество предоставляемых услуг. Электронные технологии открыли возможность для создания более сложных информационно-аналитических продуктов. Возросла степень интеграции сегментов финансового рынка - валютного, фондового, срочного. Высоким спросом на рынке пользуются программные продукты, способные обеспечить синхронное сопровождение операций на валютном рынке и рынке ценных бумаг, рассчитать сравнительную доходность совершаемых операций, минимизировать фактор валютного риска. И, наконец, самое главное, электронные технологии во многом способствовали консолидации структуры мирового валютного рынка, его разделению на межбанковский и клиентский. Преимуществами электронных технологий воспользовались крупнейшие банковские институты для укрепления своих позиций. Электронные технологии Reuters Dealing 2000 и электронные брокерские системы нашли применение на межбанковском валютном рынке. По приблизительным оценкам, 65% объема операций на мировом валютном рынке являются межбанковскими, а 35% - это обслуживание клиентов банков. Интернет-технологии существенным образом расширили возможности электронной торговли. Интернет облегчил создание новых рынков и трансформирует сложившиеся. Например, на фондовом рынке действуют альтернативные торговые системы и электронные торговые сети - виртуальные торговые площадки, функционирующие в интернет-сети и объединяющие функции брокера и биржи. Новые торговые площадки успешно конкурируют с традиционными - биржами и внебиржевыми торговыми системами. Под давлением конкуренции традиционные биржи вынуждены приспосабливаться - переходить на электронные технологии, коммерциализироваться, объединяться. Впервые Интернет-технологии на валютном рынке появились где-то в середине 90-х годов. Это были в основном информационные системы. Так, в мае 1996 г. Сurrency Management Corporation начала публиковать котировки валют в реальном режиме времени для десяти валют. Для тех клиентов, которые имели счета в этой компании, она предоставила возможность заключать сделки в системе через свой Web-узел. Активный выход Интернет-технологий на валютный рынок начался в 2000 г. Интернет-компания из Калифорнии создала свой сайт в интернете, на котором стала давать информацию о котировках валют на межбанковском рынке (25 банков, в том числе АБН Амро, Барклайз Банк, Нэшнл Вестминстер Банк и др.), а также предоставлять возможность заключать сделки. Созданная им информационно-торговая система получила название Currenex. По системе Интернет клиенты получили возможность сравнивать котировки валют на межбанковском рынке, с котировками обслуживающего их банка. Изменились запросы клиентов, для которых стало важным не только иметь перед глазами максимально широкий спектр котировок, но и возможность заключать по предлагаемым котировкам сделки. По некоторым оценкам, через год - два до половины общего объема операций на валютном рынке может осуществляться с использованием Интернет-технологий. Вместе с тем переход на Интернет - технологии порождает немало вопросов в отношении того, как он скажется на будущей структуре мирового валютного рынка, как изменится роль банков на рынке, какую модель поведения на рынке выберут банки в новых условиях. Этим и другим вопросам был посвящен Конгресс участников валютного рынка, состоявшийся в мае 2000 г. в Париже под эгидой Международной ассоциации валютных дилеров. Вывод участников Конгресса состоял в том, что мировой валютный рынок находится лишь в начале новой волны технологической революции, а появление новых технологических продуктов на основе Интернет-технологий ведут к серьезным преобразованиям, масштабы которых пока трудно прогнозировать. О возможных последствиях новой волны технологической революции можно судить по тем изменениям, которые начали происходить на валютном рынке. Новым моментом на мировом валютном рынке стал быстро развивающийся рынок прямых розничных услуг. Возникающие торговые системы на базе Интернет - технологии предоставляют нефинансовым компаниям осуществлять операции купли/продажи валюты между собой. Новыми становятся отношения между банками и их клиентами. Снижается роль банков в качестве посредника между клиентом и валютным рынком. Одновременно банки начинают выступать в новой для себя роли - в качестве организатора торговли.. Происходящие изменения на мировом валютном рынке свидетельствуют о том, что границы между межбанковским и клиентским рынком становятся все более размытыми, что услуги на валютном рынке перестают быть привилегией банков, а сами банки превращаются в организаторов торговли. Вместе с тем структурные изменения на мировом валютном рынке, как представляется, в конечном счете будут способствовать его консолидации на новой основе - возникающих союзов и альянсов его крупнейших участников-банков. III.4. Состояние валютного рынка КазахстанаКазахстанский валютный рынок остается внутренним, что ограничивает его возможности интеграции в мировой валютный рынок. Тем не менее с точки зрения применения современных технологий его развитие идет параллельно мировому. Если посмотреть на объемы, то, конечно же, обороты казахстанского межбанковского валютного рынка пока несопоставимы с оборотами мировых рынков. Так, если в Лондоне ежедневный оборот по валютным составляет более 500 млрд. долларов США, то в Казахстане несколько десятков млн. долл. в день. Такая разница может объясняться тем, что внешнеэкономический оборот Казахстана намного ниже, чем в развитых западных странах, а также тем, что в обороте казахстанского межбанковского рынка доля спекулятивных операций пока еще ниже, чем на западных рынках. Если рассмотреть инфраструктурный аспект, то здесь также можно выделить ряд отличий. На мировых валютных рынках снижается значение голосовых брокеров и усиливается значение электронных брокерский систем, обеспечивающих автоматический мэтчинг котировок с противоположным значением. Если рассматривать эту проблему с чисто бытовой точки зрения, то наш валютный рынок отличается от аналогичного рынка любой развитой страны прежде всего тем, что у нас иностранная валюта достаточно широко используется для внутренних расчетов, а также как средство накопления и мера стоимости. В то время как в развитых странах валюта приобретается населением исключительно для туристических поездок за рубеж. А если учесть повсеместное распространение в этих странах кредитных карточек различных платежных систем, то спрос на валюту среди населения там минимален. Однако основным отличием является то, что казахстанский рынок это внутренний рынок, рынок для резидентов Казахстана. Его участниками являются только казахстанские банки и инвестиционные компании, обладающие лицензией на проведение валютных операций, что объективно связано с наличием ограничений на валютные операции нерезидентов. Этим он отличается не только от развитых западных рынков, но также и от аналогичных развивающихся рынков стран Восточной Европы и Африки, в частности Польши, Чехии, Венгрии, ЮАР. Валюты этих стран, в отличие от казахстанского тенге, котируются не только резидентами внутри страны, но также и зарубежными банками-нерезидентами, например, в Лондоне существует довольно активный межбанковский спотовый и форвардный рынок валют с развивающихся рынков. Для того, чтобы у нас появился открытый валютный рынок, такой как на Западе, необходимо, чтобы национальная экономика отвечала определенным критериям развития. В частности, эксперты МВФ к числу таких требований относят наличие конкурентоспособной обрабатывающей промышленности, развитого и эффективного банковского сектора, устойчивой системы государственных финансов, развитого рынка товаров, услуг и капиталов, мобильного рынка рабочей силы. С технологической стороны, на казахстанском валютном рынке интернет-технологии существенным образом расширили информационные и торговые возможности рынка. В Интернет имеется сайт Казахстанской Фондовой биржи KASE, пользователи которого имеют возможность получать информацию о ходе торгов в реальном режиме времени. Расширяется круг клиентов, пользующихся информацией KASE не только на территории РК, но и в странах ближнего зарубежья. ГЛАВА III. ВАЛЮТНАЯ СПЕКУЛЯЦИЯ III. 1. Валютный Арбитраж Арбитражем называется деятельность, имеющая целью извлечение доходов путем перепродажи ценных бумаг или валют по более выгодным ценам на том же рынке, но в каком-то будущем периоде, или на других рынках. Арбитраж и связанная с ним деятельность включает в себя как знание о разности цен, так и способность к предвиденью динамики цен, объемов операций, возможной прибыли и риска. Арбитраж в основном связан с международными срочными финансовыми операциями, включая курсы иностранной валюты, краткосрочные проценты и стоимость ценных бумаг. Размер максимальной прибыли в результате арбитражных сделок изменяется в зависимости от связанного с ними риска. Процентным арбитражем на денежных рынках называется перемещение ресурсов от одной валюты к другой ради улучшения условий кредитования или заимствования. Фактически процентный арбитраж сводится к выбору страны или валюты с наиболее благоприятной процентной ставкой кредита. В качестве финансовых инструментов при процентном арбитраже могут фигурировать срочные банковские депозиты или государственные облигации. Перемещение ресурсов из одной валюты в другую предполагает наличие валютного риска, и подобные валютные переводы относятся к категории непокрытого процентного арбитража.
Е а Здесь St - курс второй валюты относительно первой Vt(1)=St Vt(2) в момент времени t, Vt(1) - текущая стоимость первой валюты, ri, i=1,2 - ставка процента для i-ой валюты. Суммарный выигрыш получается при ST>S0 и r2>r1. Валютный риск связан со случайными значениями курса ST. Прибыли/убытки, полученные арбитражером по окончании финансовой операции, вычисляются по формуле Эквивалентным арбитражем называется покупка или продажа комбинаций опционов и наличных позиций, когда между теоретически эквивалентными комбинациями на практике возникает разница цен. Например, комбинация длинной наличной позиции и опциона продажи создает опцион купли, а комбинация короткой наличной позиции и опциона купли создает опцион продажи. Действительно, при S0=K имеем S0-ST+(ST-K)+=(K-ST)+.
Э При нарушении паритета возникает арбитражная ситуация. Простейшей арбитражной стратегией с фьючерсами является межрыночный арбитраж, который может включать либо только фьючерсные контракты, либо одновременные сделки на фьючерсном и на форвардном рынках. Около 30% открытых позиций во фьючерсах на индекс акций FT-SE 100 на Лондонской фьючерсной бирже используются в арбитражных операциях. Целый ряд финансовых институтов, являющихся членами фьючерсных бирж в Чикаго и Лондоне, используют свой персонал только для осуществления межрыночного арбитража с процентными фьючерсными контрактами, базирующимися на срочных трехмесячных депозитах с одной стороны и на облигациях казначейства США или наличных срочных депозитах с другой стороны.
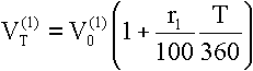
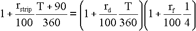
В декабре
1981 года на Чикагской
фьючерсной
бирже был введен
фьючерсный
контракт, основанный
на трехмесячном
евродолларовом
депозите размера
$1000000. Это фьючерсный
контракт с
расчетом за
наличные, не
предусматривающий
никакой поставки
наличного
финансового
инструмента
по истечении
контракта. В
настоящее время
одним из наиболее
существенных
способов
использования
этого фьючерса
является арбитраж
между наличными
и фьючерсными
позициями,
путем создания
синтетического
инструмента,
названного
"strip". Известно,
что большинство
торговцев
евродолларовыми
фьючерсными
контрактами
с несколькими
ближайшими
кварталами
поставки посвятили
себя реализации
этой стратегии.
"Strip" означает
либо комбинацию
наличных депозитов
и длинной позиции
во фьючерсном
контракте, либо
кредита и короткой
позиции. Если
Size - размер
наличного
депозита, rd
- годовая процентная
ставка наличного
депозита, M
- размер фьючерсного
контракта, T
- срок до поставки
по фьючерсному
контракту, Ft
- фьючерсная
цена, то прибыли/убытки
от "strip" р е если деньги занимаются. Такая торговля инициируется, если определено, что торговец может рассчитывать на более высокую прибыль или меньшую плату за кредит, чем в случае сделки, осуществляемой только на наличном денежном рынке. Термин "strip" возник из практики использования двух или более последовательных квартальных фьючерсных истечений в комбинации с долларовой наличной позицией. Торговцы должны определить для себя, когда разница между процентной ставкой "strip" и ставкой наличной сделки достаточна, чтобы сделать такую торговлю заслуживающей внимания. В где rf - процентная ставка фьючерсного контракта. Валютные фьючерсные контракты могут арбитражировать против спот-курса и банковских депозитных ставок. Потенциальная прибыль от этого типа арбитража относительно невосприимчива к движениям процентных ставок, но чувствительна к малейшим изменениям валютных курсов. Арбитраж между краткосрочными процентными фьючерсами и валютными фьючерсами с одинаковыми сроками поставки не требует выхода на рынок наличности, однако сложно подобрать нужное количество контрактов для получения полного покрытия. В более сложных межрыночных арбитражных сделках одновременно задействованы наличные рынки валют и ценных бумаг, межбанковский рынок, рынок форвардов, опционный рынок, рынок фьючерсных контрактов. III.2. Риски при валютных спеуляциях При осуществлении спекуляционных сделок с валютой необходимо учитывать целый спектр различных возникающих рисков. Многие из них, такие как операционный, можно назвать общими, т.е. возникающими при различного рода переводах валюты и других операциях, которые обеспечивают выполнение арбитражной сделки, но не являются ее наиболее существенной частью. Однако многие риски напрямую связаны с осуществлением арбитражных сделок. Основным расчетом при осуществлении покупки той или иной валюты является расчет того, что за определенный промежуток времени ее курс вырастет на рассчитываемую величину. Если этот промежуток времени растянется или курс вырастет на меньшую величину, эта сделка может не только не принести прибыли, но и создать убытки, т.к. при осуществлении арбитражных сделок существуют определенные комиссионные расходы на конвертацию. При осуществлении валютных арбитражных сделках можно выделить следующие риски:
Рассмотрим более детально описанные выше риски. Курсовой риск – риск неблагоприятного изменения курса валюты. Основной риск при осуществлении арбитражных сделок. Рассчитывается на основе объективных факторов, таких как тенденции изменения курсов валют на рынке и совокупности других политических, экономических факторов, с помощью проведения аналитической оценки степени влияния определенных факторов и дальнейшего поведения рынка. Учитывая тот факт, что сделки предусматривают покупку валюты, курс которой в ближайшее время будет расти, можно говорить о том, что наибольшее влияние оказывают политические и экономические риски. Риск финансирования. Финансовые компании осуществляющие спекулятивные сделки с валютой Исполнительский риск. В связи с тем что сделки покупки-продажи валюты осуществляются брокером непосредственно на бирже, а решения зачастую принимаются вне биржи, в офисах финансовых компаний существует определенный риск, что непосредственный исполнитель в силу каких-либо обстоятельств не сможет выполнить сделку или выполнить ее в предусмотренном объеме и времени. Причины таких сбоев могут быть различны: отсутствие полного взаимопонимания между брокером и его клиентом, физическое состояние брокера и т.п. Риск персонала – при подготовке документов для принятия решения, анализа ситуации и других вспомогательных процедурах, участвует определенное количество сотрудников фирмы, при осуществлении подготовительных мероприятий возможны их персональные ошибки в расчетах, предоставлении необходимой информации и т.п., что может послужить причиной возникновения убытков при заключении сделки. Стратегический риск. При оценке курсового рынка необходимо исходить из определенных взглядов и позиций, однако существует риск. Что уже в них будет заложена ошибка, тогда курсовой риск превратится в стратегический риск – риск того, что принятое решение о каком-либо вложении принесет убыток, связанный с тем, что при принятии такого решения не были учтены всевозможные обстоятельства. Технический риск – в связи с тем, что при управлении активами используются разнообразные технические средства, без которых невозможно оперативное и скоординированное управление финансовыми средствами возникает риск того, что при осуществлении операции произойдет технический сбой. Несмотря на то, что все средства коммуникации и электронного управления имеют запасные варианты или могут быть быстро восстановлены, на это уходит какое-то время. Учитывая тот факт, что в настоящее время сделки осуществляются менее чем за 1 минуту, даже небольшая задержка может стать причиной дополнительных затрат или убытков. Информационный риск – при принятии решения используются различные источники информации, как закрытые: банковские информационные компьютерные системы, так и открытые: пресса, телевидение, радио. Зачастую именно этим пользуются реальные финансовые структуры распространяя какую-либо ложную информацию для того чтобы завысить курс валюты или создать вокруг какой либо сделки определенный ажиотаж и использовать его для получения выгоды. III.3. Спецификация иностранных валют на бирже KASE и правила торговли.
Правила биржевой торговли иностранными валютами Настоящие Правила определяют порядок заключения сделок с иностранными валютами на торгах Закрытого акционерного общества “Алматинская биржа финансовых инструментов” (именуемого в дальнейшем “Биржа”) и исполнения таких сделок. Раздел I. ИНОСТРАННЫЕ ВАЛЮТЫ, ТОРГУЕМЫЕ НА БИРЖЕ Статья 1. Условия допуска иностранных валют к обращению на Бирже Иностранные валюты допускаются к обращению на Бирже по решению Биржевого совета. Раздел II. УЧАСТНИКИ БИРЖЕВЫХ ТОРГОВ ПО ИНОСТРАННЫМ ВАЛЮТАМ Статья 2. Участники биржевых торгов
Статья 3. Трейдеры
Длительность и условия такого отстранения определяются Правлением Биржи. Решение Правления Биржи об отстранении трейдера от участия в биржевых торгах по иностранным валютам может быть обжаловано представляемым им участником торгов в Биржевом совете. Обжалование решения об отстранении не приостанавливает его действия. Статья 4. Иные лица, допускаемые к присутствию на торгах
Раздел
III. ПРОВЕДЕНИЕ
БИРЖЕВЫХ ТОРГОВ
ПО ИНОСТРАННЫМ
ВАЛЮТАМ. Статья 5. Место и время проведения биржевых торгов по иностранным валютам
Статья 6. Котировка иностранных валют. Метод проведения биржевых торгов по иностранным валютам
Статья 7. Лимит изменения биржевого курса 1. Под лимитом изменения биржевого курса понимается максимально возможное отклонение в ходе текущих торгов: - при проведении торгов методом фиксинга: текущего курса иностранной валюты по отношению к курсу, зафиксированному на предыдущих торгах; - при проведении торгов иными методами: указываемых в заявках цен продажи/покупки иностранной валюты по отношению к биржевому курсу, определенному по результатам предыдущих торгов. 2. Размер лимита изменения биржевого курса устанавливается Биржевым советом. 3. В случае, если при проведении торгов методом фиксинга отклонение текущего курса иностранной валюты превышает установленный лимит изменения биржевого курса, Президент Биржи или Вице-президент Биржи, курирующий проведение торгов по иностранным валютам, обязан приостановить торги и созвать экстренное заседание Биржевого совета. Биржевой совет принимает решение о возобновлении торгов или их прекращении. При этом торги не могут быть прекращены более чем на 24 часа. Приостановление торгов, проводимых методом фиксинга, на основании превышения лимита изменения биржевого курса допускается не более трех раз подряд. 4. При проведении торгов иными, чем метод фиксинга, методами заявки, указанные в которых цены продажи/покупки отличаются от биржевого курса, определенного по результатам предыдущих торгов, более чем на лимит изменения биржевого курса, отклоняются. Статья 8. Комиссионный и иные сборы Биржи
Статья 9. Налог на операции с иностранными валютами
Статья 10. Биржевые сделки с иностранными валютами. Оформление сделок 1. Биржевыми сделками с иностранными валютами признаются сделки купли-продажи иностранных валют, заключенные между участниками торгов в ходе их проведения в соответствии с настоящими Правилами. 2. Биржевые сделки с иностранными валютами оформляются биржевыми свидетельствами по утверждаемой Правлением Биржи форме. Биржевое свидетельство является документом, удостоверяющим факт заключения сделки купли-продажи иностранной валюты в ходе биржевых торгов, а также факт регистрации и учета Биржей данной сделки. Биржевое свидетельство, помимо иных возможных сведений, содержит следующие данные: - реестр всех сделок, заключенных данным участником в ходе торгов по иностранной валюте; - нетто-обязательства и нетто-требования данного участника торгов в казахстанских тенге и в иностранной валюте, вытекающие из заключенных им в ходе торгов сделок с учетом комиссионных и иных сборов Биржи. 3. Биржевое свидетельство, подписанное маклером Биржи (заместителем маклера Биржи) и трейдером участника торгов и заверенное печатью Биржи, является договором, определяющим взаимные обязательства Биржи и участника торгов по заключенным им сделкам и подпадающим под условия настоящих Правил и внутренних документов Биржи, в них упомянутых. 4. Биржевое свидетельство оформляется в двух экземплярах, один из которых выдается трейдеру участника торгов, а второй экземпляр остается на Бирже для осуществления расчетов в казахстанских тенге и в иностранной валюте. 5. Наименование участника торгов, заключившего на Бирже сделку, равно как и содержание биржевого свидетельства, оформленного по заключении данной сделки, являются коммерческой тайной и не подлежат разглашению либо передаче третьим лицам без особого на то разрешения участника торгов, являющегося стороной данной сделки. Настоящий запрет не распространяется на предоставление информации о результатах биржевых торгов Национальному Банку Республики Казахстан. Статья 11. Биржевая информация Биржа передает третьим лицам, в том числе средствам массовой информации для открытого опубликования, сведения о результатах биржевых торгов по иностранным валютам, за исключением сведений, отнесенных в соответствии с настоящими Правилами, иными внутренними документами Биржи и действующим законодательством к категории коммерческой тайны. Формат представления таковых сведений определяется Биржевым советом. Раздел IV. ОСУЩЕСТВЛЕНИЕ РАСЧЕТОВ. ОТВЕТСТВЕННОСТЬ ЗА НАРУШЕНИЕ СРОКОВ РАСЧЕТОВ Статья 12. Осуществление расчетов Порядок и сроки осуществления расчетов в казахстанских тенге и в иностранных валютах устанавливаются отдельными внутренними документами Биржи. Статья 13. Ответственность за нарушение сроков расчетов Нормы, относящиеся к ответственности за нарушение сроков расчетов, устанавливаются отдельными внутренними документами Биржи. Раздел V. КОНФЛИКТЫ Статья 15. Разрешение споров и разногласий Споры и разногласия между участниками торгов, а также между участниками торгов и Биржей по заключению и исполнению биржевых сделок подлежат разрешению путем переговоров, а при недостижении взаимоприемлемого решения - Арбитражной комиссией Биржи.
Содержание Введение……………………………………………………………………….1 I. Валютный курс I.1. Режимы валютных курсов…………………………………………2 I.2. Факторы, влияющие на изменение валютных курсов…………...3 II. Валютный рынок II.1. Сущность понятия валютный рынок……………………………...8 II.2. Текущий рынок……………………………………………………..9 II.3. Срочный рынок………………………..……………………………11 II.4. Развитие мирового валютного рынка……………………………..14 II.5. Особенности валютного рынка Казахстана………………………17 III. Валютная спекуляция III.1. Валютный арбитраж………………………………………………19 III.2. Риски при валютных спекуляциях………………………………..21 III.3. Спецификация иностранных валют на бирже KASE……………23 и правила торговли. Заключение………………………………………………………………………31 Список использованных источников…………………………………………..32 ВВЕДЕНИЕ Существует принципиальная разница между платежами внутри страны и оплаты за товары и услуги, приобретенные за рубежом: на внутреннем рынке мы используем нашу одну национальную валюту, в то время как на зарубежном нам приходиться оперировать двумя и более валютами. Это вытекает из того что, экспортер всегда желает получать оплату в своей валюте. Иностранную валюту, трудно понимать и оценивать так как на нее действует другие факторы: монетарная политика другого государства, процентная ставка и множество других. Но если рассматривать это еще в глобальном аспекте, когда количество валют равно количеству государств в мире, понятие соотношения валют, а тем более его будущую тенденцию колебания курса кажется практически невозможным, из-за бесчисленного множества факторов воздействующих на курсы валют. И в этом кажущимся хаосе нам помогает разобраться главный экономический закон: закон спроса и предложения, вытекающий из желания максимизации прибыли и сопутствующей ему конкуренции. Стремление к максимизации прибыли так же справедливо к субъектам валютного рынка, как и в других сферах экономики. Конечно, понятие прибыли здесь иное, оно определяется сочетанием широкого круга политических и экономических рисков . Однако стороны, имеющие место на валютном рынке, реагируют на изменение внешних условий так же, как и те , кто стремится к максимизации обычных прибылей . Вместе с тем конкуренция существует как на валютных , так и на международных кредитных рынках . Поэтому для анализа этих рынков можно применять знакомую теорию рыночного спроса и предложения . Спекуляция на валютном рынке является сегодня одним из основных источников дохода современных банков во всем мире. Для примера, около 80% от всей прибыли крупнейшего швейцарского банка United Bank of Switzerland (UBS) получено в результате работы на международном валютном финансовом рынке, и только около 20% от всей прибыли составляют доходы от кредитов, торговли ценными бумагами и т.д. Основное состояние Сороса является результатом валютных спекуляций. Задачей данной работы является: определить как формируется валютный курс, какие факторы воздействуют на него, сущность валютного рынка и его состояние в Казахстане. И главное, мы особо остановимся на возможности извлечения прибыли из изменений валютных курсов, валютной спекуляции.
Заключение Как бы ни были различны мнения по поводу валютной спекуляции: от того, что даже нужно запретить спекуляции и закрыть международный валютный рынок FOREX; до мнения, что валютный рынок является рынком совершенной конкуренции, к которому экономисты стремились со времен Адама Смита. Но реалии таковы-валютный рынок существует и множество людей реально извлекают выгоду из колебаний валютных курсов. В каждом рынке существует определенный товар, так и на валютном рынке эту роль выполняют валюта, цена на которую выражается через денежную единицу другой страны. Как и на каждый товар валютам присущ спрос и предложение, которые постоянно меняются. Изучив факторы воздействующие на валютные курсы можно сделать вывод, что на курс валют воздействуют множество как экономических, так и политических и социальных факторов. Которые в совокупности определяют спрос и предложение на ту или иную валюту. После развала все союзные республики столкнулись с проблемой осуществления своей валютной политики, выбора валютного режима и курса. Казахстан со своей валютой тенге, введенной в 1993 году, прошел прошел эволюцию от жестко фиксированной валюты к иностранной валюте (к доллару США) до свободного плавания. Сегодня, валютный курс казахстанского тенге определяется на бирже казахстана KASE, на базе спроса и предложения. Хотя все таки элемент государственного воздействия на курс остается. И поэтому в последнее время все более актуальнее встает вопрос об эффективности либерализации валютного рынка.
|
|||||||||||||||||||||||||||||||||||||||||||||||||||||||||||||||||||||||||||||||||||||||||||||||||||||||||||||||||||||||||||||||||||||||||||||||||||||||||||||||||||||||||||||||||||||||||||||||||||||||||||||||||||||





