Курсовая работа: Дослідження зміни швидкості та витікання ідеального газу із ємкості під тиском
|
Название: Дослідження зміни швидкості та витікання ідеального газу із ємкості під тиском Раздел: Рефераты по информатике Тип: курсовая работа | |||||||||||||||||||||||||||||||||||||||||||||
| Курсова робота на тему: «Дослідження зміни швидкості та витікання ідеального газу із ємкості під тиском» Постановка задачі Описати масив структур з трьох елементів. Кожна структура об’єднує дані для одного варіанта розрахунків. Необхідно для кожного варіанта на відрізку часу від 0 до Т з кроком dt (∆ t) побудувати графік зміни швидкості та витікання ідеального газу із ємкості під тиском.
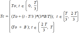
Де R – універсальна газова стала, M – молекулярна маса газу, Tc – температура в ємкості, Po – тиск у ємкості.
Температура Ро та То змінюється в часі:
Тут Рn, A, To, B – задані константи. Вхідні дані зчитувати з файлу, результати розрахунків записувати в інший файл. Передбачити окремі функції для обчислення Ро та То. Нижче представлені 3 варіанти вхідних даних: 1) R = 8.31696 Дж/грам*моль, To = 400о К, час T = 1200 с, dt = 600 с, B = 50 о К, Pn = 3.2, A = 1.2, M = 28.96, K = 1.402, P = 1.2 атм. 2) R = 8.31696 Дж/грам*моль, To = 400о К, час T = 1200 с, dt = 600 с, B = 50 о К, Pn = 4, A = 1.5, M = 28.96, K = 1.402, P = 1.5 атм. 3) R = 8.31696 Дж/грам*моль, To = 400о К, час T = 1200 с, dt = 600 с, B = 50 о К, Pn = 5, A = 2, M = 28.96, K = 1.402, P = 2 атм. Таблиця символічних імен
Блок – схема
Текст програми мовою С
#include <stdio.h> #include <stdlib.h> #include <math.h> #include <conio.h> #include <graphics.h> #define №3 #define FN 21 #define R_ 8.31696 #define T_ 1200 #define dt_ 60 #define B_ 50 #define M_ 28.96 #define K_ 1.402 #define T0_ 400 struct data { float Pn; float A; float p; } x[N]; float Tc (float T0, float B, float t, float T); float P0 (float Pn, float A, float t, float T); float Kg (float K); void graf_output (int c, float xu[], float yv[], int N_, char*title); // – void main() { float tx[N] [FN]; float wx[N] [FN]; float w, t, Tc_, P0_, Kg_; int i, j; char str[40]; FILE *data; FILE *out; clrscr(); data = fopen («input.txt», «r»); if (! data) { printf («The file input.txt hasn't been found. Please create it or change the directory. \n»); getch(); exit(1); } out = fopen («output.txt», «w»); for (i=0; i<N; i++) { fscanf (data, «%f % f % f»,&x[i].Pn,&x[i].A,&x[i].p); } printf («Please type in any decimal number:»); scanf («%f»,&Kg_); fclose(data); clrscr(); for (i=0; i<N; i++) { for (t=0, j=0; t<=T_; t=t+dt_, j++) { Tc_ = Tc (T0_, B_, t, T_); P0_ = P0 (x[i].Pn, x[i].A, t, T_); Kg_ = Kg (K_); w = 2*R_*Tc_/(Kg_ * M_); w *= 1 – pow (x[i].p/P0_, Kg_); w = sqrt(w); fprintf (out, «%.0f\t%.5f\n», t, w); tx[i] [j]=t; wx[i] [j]=w; } fprintf (out, "\n\n\n\n»); } fclose(out); printf («All the function values (values of graph points' coordinates) will be put into \nthe output.txt file.\n»); printf («You are able to change the values of Pn, A and p. Change those\nvalues in the input.txt file.\n»); printf («The correct order of typing the values is showed under the graphs\n\n\n\n»); printf («Press Enter to continue»); getch(); for (i=0; i<N; i++) { sprintf (str, «Ph =%.3f, A =%.3f, P =%.3 f.», x[i].Pn, x[i].A, x[i].p); graf_output (i, tx[i], wx[i], FN, str); fflush(stdin); getch(); } } // – void graf_output (int c, float xu[], float yv[], int N_, char*title) { int gdriver = DETECT, gmode, errorcode; int xmax, ymax; // the maximum coordiantes x(width) y(hight) int xmin, ymin; // spaces between the graph and screen adges int x, y; // current coordinates int x_, y_; // previous coordinates int i; char st[20]; double miny, maxy; // extreem values of y initgraph (&gdriver, &gmode, «e:\\turbocpp\\bgi»); xmin = 90; ymin = 100; xmax = getmaxx() – 20; ymax = getmaxy() – 40; maxy = miny = yv[0]; for (i=0; i<N_; i++) { miny = (yv[i]<miny)? yv[i]:miny; maxy = (yv[i]>maxy)? yv[i]:maxy; } rectangle (0,0, getmaxx(), getmaxy()); setbkcolor(7); sprintf (st, «Input variant number % d», c+1); outtextxy (10,3, st); outtextxy (10,30, title); // first 2 lines-the axises x and y. next we got the pointers building (y>, x>) line (xmin, ymin, xmin, ymax); line (xmin, ymax, xmax, ymax); line (xmin, ymin, xmin+3, ymin+5); line (xmin, ymin, xmin‑3, ymin+5); line (xmax, ymax, xmax‑5, ymax‑3); line (xmax, ymax, xmax‑5, ymax+3); setcolor(1); outtextxy (xmin+6, ymin, «w»); outtextxy (xmax, ymax+15, «t»); for (y=ymax‑20; y>ymin+10; y-= 20) { //we got points | painted and the numbers on the exis Oy setcolor(14); line (xmin‑2, y, xmin+2, y); sprintf (st, «%0.5lf», maxy – (y-ymin)*(maxy – miny)/(ymax – ymin)); outtextxy (xmin‑70, y‑3, st); } x_ = xmin; y_ = ymax; for (i=0; i<N_; i++) { x = xmin + ((xu[i] – xu[0])*(xmax – xmin)/(xu [N_-1] – xu[0])); y =(int) ((yv[i] – miny)*(ymax – ymin)/(maxy – miny)); y = ymax – y; //we got points | painted and the numbers on the exis Ox setcolor(14); line (x, ymax‑2, x, ymax+2); if (i % 4==0) { sprintf (st, «%0.2lf», xu[i]); outtextxy (x‑10, ymax + 4, st); } // let's set the rad color to the «graph line» setcolor(4); line (x_, y_, x, y); x_ = x; y_ = y; } } // – float Tc (float T0, float B, float t, float T) { if (t<=(T/3)) return T0; if (t<=(2*T/3)) return T0 + (t – T/3)*3*B/T; return T0 + B; } float P0 (float Pn, float A, float t, float T) { if (t<=(T/3)) return Pn + 3*A*t/T; if (t<=(2*T/3)) return Pn + A; return Pn + A – (t – 2*T/3) * 3 * A / T; } float Kg (float K) { return (K – 1)/K; }
Результати роботи програми
Виведення даних на екран
Виведення даних у файл 0 14.01538 60 14.34739 120 14.65061 180 14.92912 240 15.18624 300 15.42468 360 15.64668 420 15.83574 480 15.98260 540 16.12811 600 16.27233 660 16.41529 720 16.55700 780 16.69752 840 16.59581 900 16.36035 960 16.10744 1020 15.83472 1080 15.53932 1140 15.21771 1200 14.86556 0 14.01538 60 14.34739 120 14.65061 180 14.92912 240 15.18624 300 15.42468 360 15.64668 420 15.83574 480 15.98260 540 16.12811 600 16.27233 660 16.41529 720 16.55700 780 16.69752 840 16.59581 900 16.36035 960 16.10744 1020 15.83472 1080 15.53932 1140 15.21771 1200 14.86556 0 13.60640 60 13.97651 120 14.31201 180 14.61820 240 14.89929 300 15.15864 360 15.39904 420 15.59843 480 15.74309 540 15.88643 600 16.02849 660 16.16930 720 16.30889 780 16.44730 840 16.33315 900 16.07817 960 15.80308 1020 15.50495 1080 15.18018 1140 14.82432 1200 14.43177 Висновок
В результаті виконання курсової роботи був створений алгоритм і комп’ютерна програма для побудови графіків зміни швидкості та витікання ідеального газу із ємкості під тиском на певному відрізку часу. З файлу були зчитані декілька варіантів вхідних даних, результати обчислень записані в файл. При аналізі побудованих графіків робимо висновок про взаємозалежність між заданими фізичними величинами та константами. Використана література
1. Дистанційний курс «Алгоритмічні мови» Авраменко В.В. http://dl.sumdu.edu.ua 2. Б.В. Керниган, Д.М. Ричи «Язык программирования С» 3. Р. Уинер «Язик Turbo C» |

де
– відношення теплоємностей.



