Реферат: Разработка бизнес-плана на примере ООО Сентябрь
|
Название: Разработка бизнес-плана на примере ООО Сентябрь Раздел: Рефераты по экономике Тип: реферат | ||||||||||||||||||||||||||||||||||||||||||||||||||||||||||||||||||||||||||||||||||||||||||||||||||||||||||||||||||||||||||||||||||||||||||||||||||||||||||||||||||||||||||||||||||||||||||||||||||||||||||||||||||||||||||||||||||||||||||||||||||||||||||||||||||||||||||||||||||||||||||||||||||||||||||||||||||||||||||||||||||||||||||||||||||||||||||||||||||||||||||||||||||||||||||||||||||||||||||||||||||||||||||||||||||||||||||||||||||||||||||||||||||||||||||||||||||||||||||||||||||||||||||||||||||||||||||||||||||||||||||||||||||||||||||||||||||||||||||||||||||||||||||||||||||||||||||||||||||||||||||||||||||||||||||||||||||||||||||||||||||||||||||||||||||||||||||||||||||||||||||||||||||||||||||||||||||||||||||||||||||||||||||||||||||||||||||||||||||||||||||||||||||||||||||||||||||||||||||||||||||||||||||||||||||||||||||||||||||||||||||||||||||||||||||||||||||||||||||||||||||||||||||||||||
| СОДЕРЖАНИЕ ВВЕДЕНИЕ……………………………………………………………………..….3 ГЛАВА 1.Теоретические основы бизнес-планирования 1.1. Планирование в организации: понятие и основные особенности….. 7 1.2. Роль бизнес-планирования в деятельности организации…………...12 1.3. Основные аспекты составления бизнес-плана………………………17 ГЛАВА 2. Общая характеристика бизнес-плана ООО «Сентябрь» 2.1 Резюме………………………………………………………………….....27 2.2 Описание организации и обзор отрасли……………………...………...28 2.3 Характеристика продукции………………………………………...……33 2.4 Анализ рынка ………………………………………….…....................…35 ГЛАВА 3. Маркетинговое и финансовое обоснование бизнес-плана ООО «Сентябрь» 3.1 План маркетинга………………………………………………………….46 3.2 Финансовый план……………………………………………………...…49 3.3 Оценка экономической эффективности…………………………….…..52 3.4 Анализ рисков проекта…………………………………………………..55 Заключение………………………………………………………………………57 Список использованной литературы………………………………………..…60 Приложения ВВЕДЕНИЕ Планирование производственной и коммерческой деятельности в настоящее время не только возможно, но и жизненно важно для всех без исключения организаций. Государства планируют стратегии своего экономического развития, определяют статьи расходов и доходов бюджета страны и т.д. На уровне организаций осуществляется не только стратегическое (долгосрочное) планирование, но и детальная разработка оперативных (текущих) планов. В современных рыночных условиях необходимо широко использовать преимущества планирования в конкурентной борьбе. В этой связи любой руководитель, желающий заниматься предпринимательской деятельностью и получать значительную прибыль, должен иметь хорошо продуманный и всесторонне обоснованный детальный план - документ, определяющий стратегию и тактику ведения бизнеса, выбор цели, техники, технологии, организации производства и реализации продукции. Наличие хорошо разработанного плана позволяет активно развивать компанию, привлекать инвесторов, партнеров и кредитные ресурсы. Что особенно важно в современных условиях, когда получение дополнительной финансовой поддержки подчас становится краеугольным камнем в реализации новых перспективных проектов. Кроме того, бизнес-план также используется для проверки идей, целей, для повышения эффективности управления предприятием и прогнозирования результатов деятельности. По мере реализации и изменения обстоятельств план может уточняться путем корректировок соответствующих показателей. Именно поэтому изучение различных аспектов бизнес-планирования представляется чрезвычайно актуальным. Цель данной выпускной квалификационной работы – анализ различных аспектов процесса бизнес-планирования. В этой связи в рамках данной работы были поставлены следующие задачи: - исследовать теоретические основы бизнес-планирования; - осуществить практическое составление бизнес-плана для ООО «Сентябрь». Объектом исследования, проводимого в рамках данной выпускной квалификационной работы, является общество с ограниченной ответственностью «Сентябрь». Общество с ограниченной ответственностью «Сентябрь» было создано в 1999 году. Уже более 10 лет ООО «Сентябрь» работает на рынке продовольственных товаров Нижегородской области, однако 3 года назад было начато освоение нового рынка – рынка мебельной продукции. В настоящее время ООО «Сентябрь» специализируется на производстве мягкой и корпусной мебели. Ассортимент представлен как коллекциями современного дизайна, так и классическими элитными моделями. Мебель изготавливается на современном специализированном оборудовании с использованием отечественных и западных комплектующих и высококачественных натуральных материалов из Италии, Германии, Франции и Бельгии. Собственные производственные помещения площадью 1400 м.кв. позволяют разместить и использовать современное оборудование, обеспечивающее производство мебели высокого качества и различного уровня сложности. Многие из выпущенных мебельных коллекций уникальны и не имеют аналогов по соотношению цена/качество. Мебель ООО «Сентябрь» изготавливается только высококвалифицированными работниками, прошедшими специальную профессиональную подготовку; все этапы создания мебели сопровождаются эффективной системой внутреннего контроля качества. Вся продукция проходит обязательную государственную сертификацию. Цель компании – стать признанным лидером мебельной отрасли в Нижегородском регионе, сформировать современный, инновационный тип компании, способный быть успешной. Политика ООО «Сентябрь» ориентирована на обеспечение конкурентоспособности продукции, ее качества и разнообразия. Головной офис организации располагается по адресу: Нижегородская область, г. Дзержинск, ул. Студенческая, 37. Предметом данной выпускной квалификационной работы является бизнес-план открытия магазина-салона мебели ООО «Сентябрь». При написании данной работы были использованы различные научные методы, как-то: анализ, синтез, абстрагирование, аналогия, сравнительный, функциональный, конкретно-социологический и иные методы. При подготовке выпускной квалификационной работы было использовано значительное количество разнообразных источников: нормативные правовые акты, зарубежные и иностранные научно-практические монографии, учебные пособия, статьи в периодических изданиях и т.д. Особое внимание хотелось бы обратить на труды следующих ученых: Абрамс Р., Адамс Б., Баканов М.И., Бекетова О.Н., Буров В.П., Берд П., Голембиовский С.А., Горемыкин В.А., Джанкубова Т.Н., Зелль А., Котляров И.Д., Лапыгин Ю.Н., Лапыгин Д.Ю., Орлова Е.Р. , Патсула Питер Дж., Пейли Н., Петров К.Н., Тиффани П., Питерсон С.Д., Ушаков И.И., Цвиркун А.Д., Шаш Н.Н., Шевчук Д.А. Данная выпускная квалификационная работа включает в себя введение, заключение, 3 главы, список использованной литературы и приложения. Во введении обосновывается актуальность темы настоящего исследования, раскрываются его основные аспекты. В первой главе рассматриваются основные теоретические аспекты бизнес-планирования. Во второй главе дается общая характеристика бизнес-плана ООО «Сентябрь». В третьей главе предлагается маркетинговое и финансовое обоснование бизнес-плана ООО «Сентябрь». В заключении содержатся выводы, полученные в ходе написания данной выпускной квалификационной работы. ГЛАВА 1. Теоретические основы бизнес-планирования 1.1. Планирование в организации: понятие и основные особенности Планирование - это один из методов управления, выступающий как основное средство использования экономических законов в процессе хозяйствования. Планирование используется для подготовки принятия решений. Оно всегда ориентируется на данные прошлого, но стремится определить и контролировать развитие организации в перспективе. Планирование представляет собой систематическую подготовку принятия решений о целях, средствах и действиях путем целенаправленной сравнительной оценки различных альтернативных действий в ожидаемых условиях. В современных условиях эффективность функционирования определяется многими обстоятельствами: правильностью установления спроса и предложения, выбором оптимальной технологии и организации производства, своевременным и рациональным ресурсным обеспечением, величиной основного и оборотного капитала, формами и методами реализации и т.д [12,с.325]. В условиях рынка диапазон использования факторов чрезвычайно широк, субъект хозяйствования стремится к их оптимальному сочетанию. Основной формой внутренней увязки всех факторов является планирование производственной и финансовой деятельности. В условиях жесткой конкуренции планирование производственно-хозяйственной и финансовой деятельности является важнейшим условием их выживания, экономического роста и процветания. Планирование позволяет оптимально увязать имеющиеся возможности по выпуску продукции со сложившимся на рынке спросом и предложением. Это вытекает из самой сущности планирования, проявляющейся в том, что: - оно имеет дело с выбором из множества возможной альтернативы развития предприятия в будущем; - реализация выбранной альтернативы осуществляется на основе решений, принимаемых сегодня, поэтому всегда существует вероятность ошибки; - планирование – это непрерывный процесс принятия решений, в ходе которого устанавливаются и постоянно уточняются по времени цели и задачи развития предприятия (начиная с производства изделий, их реализации и кончая дальнейшим его развитием); определяются стратегия и политика по их достижению; разрабатываются долгосрочные планы, в которых скоординировано выполнение показателей, отражающих различные стороны ведения экономики предприятия; - исходной посылкой планирования должен стать принцип, согласно которому функционирование предприятия должно быть рентабельно и обеспечивать денежные поступления и прибыль в объеме, удовлетворяющем заинтересованные в результатах работы предприятия группы лиц (собственников, учредителей, коллективов акционеров, государства и т.д.); - в силу различий в самой сущности и характере проявления факторов производства и задач, вытекающих из отдельных направлений деятельности предприятия, планирование подразделяется на долгосрочное и краткосрочное. Так, например, приобретение оборудования и характер его использования, кадровая политика, определение ассортимента продукции и рынка сбыта требуют рассмотрения в долговременном плане. В то же время, текущее обеспечение предприятия сырьем и материалами, плата за энергию, воду нуждаются в анализе в краткосрочном периоде. Непосредственный процесс планирования включает в себя четыре этапа: - выработку общих целей субъекта хозяйствования; - детализацию и конкретизацию целей для определенного этапа развития; - определение путей, экономических и иных средств достижения этих целей; - контроль достижения целей. Важным элементом методики планирования является определение способа планирования. Прогрессивный способ (снизу вверх). Этот способ отличает систему делегирования планирования. На каждой новой ступени планы объединяются по структурным подразделениям, в итоге создается единый план субъекта хозяйствования. Ретроградный способ планирования (сверху вниз) представляет собой обратную систему. Контрольные цифры доводят до структурных подразделений, на основе которых разрабатываются планы структурных подразделений [18,с.412]. Встречное планирование (круговое планирование) объединяет прогрессивное и ретроградное планирование. Данный способ наиболее эффективен. Еще одним немаловажным моментом в методическом обеспечении планирования является выбор техники планирования. Последовательное планирование предусматривает составление годового плана в декабре отчетного года. Скользящее планирование предусматривает составление, корректировку предстоящей части перспективного плана. В современных условиях распространенным является скользящее планирование с наложением. Еще одним аспектом планирования является выбор методов. На практике распространены обычные методы, которые включают в себя карточные и формулярные наборы, перечни, графики, таблицы. Однако в последние годы методика планирования усовершенствована, появились программные продукты различных фирм, которые позволяют автоматизировать работы по планированию[20,с.516]. Планирование можно классифицировать по следующим основаниям: 1. По степени охвата: - общее планирование, охватывающее всю сферу деятельности субъекта хозяйствования; - частное планирование, охватывающее определенные сферы деятельности. 2. По содержанию планирования: - стратегическое планирование (поиск новых возможностей); - тактическое планирование (создание определенных предпосылок); - оперативное планирование (реализация возможностей). 3. По предмету планирования: - целевое планирование (определение целей); - планирование средств (материальные ресурсы, трудовые ресурсы, оборудование, финансы, информация); - программное планирование (планирование программ производства и сбыта); - планирование действий (специальные продажи, многоуровневый маркетинг). 4. По сферам функционирования: - планирование производства; - планирование сбыта; - планирование финансов; - планирование персонала; - расширенное общее планирование. 5. По глубине планирования: - глобальное; - контурное; - детальное. 6. По срокам: - краткосрочное планирование (полгода, квартальное, месячное, недельное, иногда годовое); - среднесрочное планирование (на срок от 1 до 5 лет); - долгосрочное планирование (на срок от 5 и более лет, имеет особенность по отраслям). 7. С точки зрения структуры управления: - общее планирование предприятия; - планирование сфер деятельности; - планирование работы подразделений организации. 8. По возможности изменения планов: - жесткое планирование; - гибкое планирование. Таким образом, планирование охватывает практически все сферы деятельности современной компании. Для того чтобы организация успешно функционировала, следует тщательно просчитывать все аспекты ее функционирования. С этой целью необходимо не только разработать план ее дальнейшего развития, но и просчитать те последствия, которые повлечет то или иное действие. В настоящее время все больше хозяйствующих субъектов обращаются к планированию как одному из инструментов, способствующих их эффективной работе. Хотя до недавнего времени многие организации (особенно представители малого и среднего бизнеса) не уделяли достаточного внимания этому аспекту управления. Это влекло за собой негативные последствия, которые чрезвычайно ярко проявились в кризисные периоды. На данном этапе развития экономики ни один субъект хозяйствования, имеющей целью длительное и эффективное функционирование, не может пренебрегать процессом планирования. Особую роль в жизни любого хозяйствующего субъекта играет так называемое бизнес-планирование, основные аспекты которого будут рассмотрены в следующем разделе настоящей главы данной выпускной квалификационной работы. 1.2.Место бизнес-планирования в деятельности организации Управление предприятием строится исходя из ситуационных предпосылок путем формирования единого и непрерывного процесса реализации отдельных функций управления, составляющих этот процесс. Но сам управленческий процесс носит более интегрированный характер, а функции управления часто не разделяются между специализированными подразделениями[9,с.320]. Бизнес-планирование представляет собой механизм интеграции управленческих функций с целью создания стратегически управляемого предприятия, что в свою очередь требует тесной взаимоувязки стратегического и оперативного планирования. Таким образом, бизнес-планирование реализует элементы стратегического планирования (определение политики предприятия, формулирование целей и выбор стратегий) и оперативного планирования (определение конкретных действий по достижению поставленных целей). Фактически управленческий аспект рассматривает «планирование» как умение предвидеть будущее предприятия и использовать такое предвидение. При этом для практического менеджмента более важно не само предвидение, а готовность к возможным вариантам будущего. Речь идет о том, чтобы быть готовым ко всему и знать, когда нужно изменять курс в ответ на неожиданные события. В связи с этим планирование превращается в непрерывный процесс, направленный на адекватность действий предприятия быстро меняющимся условиям окружающей бизнес-среды. Данный подход и определяет концептуальную задачу бизнес-планирования как технологии реализации функции планирования при управлении бизнесом. Бизнес-планирование следует рассматривать как специфическую область деловых технологий, которая является неотъемлемой частью любого бизнеса. Применение данной технологии, охватывающей практически весь спектр компонентов менеджмента, упорядочивает и систематизирует весь бизнес, регулирует содержание и прогнозирует его результаты в зависимости от возможностей внешней и потенциала внутренней среды [32,с.396]. Отметим, что практика планирования подтверждает тесное взаимодействие бизнес-планов и социально-экономических планов, сложившихся на российских предприятиях в последние годы. Однако между этими видами планов существуют и различия, свидетельствующие о наличии у каждого из них своего собственного предмета и места как в сфере внутрифирменного планирования, так и во всей системе рыночного хозяйствования. Во-первых, бизнес-планирование, в отличие от внутрипроизводственного или корпоративного планирования, включает не весь комплекс общих целей предприятия или корпорации, а одну из важнейших задач, определяющих конкретное содержание планирования нового вида деятельности или бизнес-проекта. Бизнес-план ориентируется главным образом на разработку новой стратегии или тактики развития предприятия, тогда как социально-экономическое планирование может включать различные виды совместной текущей и перспективной деятельности. Во-вторых, бизнес-планы разрабатываются на инновационные проекты, четко очерченные временными сроками их выполнения, по истечении которых работа над данным бизнес-проектом завершается. Внутрифирменное планирование производится и осуществляется непрерывно на всех уровнях управления хозяйством. По мере выполнения одного годового плана фирмы после соответствующей корректировки переходят к осуществлению очередного плана и т.д. Бизнес-план имеет не только четкие временные, но и более узкие пространственные границы, тогда как любой внутрифирменный план таких четких ограничений не имеет. В-третьих, основное назначение бизнес-плана состоит в открытии предпринимателями нового дела и получении на выполнение проекта необходимых производственных ресурсов и в первую очередь денежных средств. Поиск надежных инвесторов требует наиболее тщательного обоснования многих финансовых показателей с учетом существующей степени риска не только во внутренней производственно-хозяйственной деятельности, но и во внешних кредитно-финансовых и банковских структурах. Внутрифирменные планы необходимы в большей степени для собственного использования, тогда как бизнес-планы нужны для внешних инвесторов и кредиторов[33,с.409]. В-четвертых, бизнес-планы разрабатываются непосредственно под руководством и при личном участии предпринимателя - учредителя фирмы. Внутрифирменным планированием, как правило, занимаются профессиональные экономисты-менеджеры и плановики линейных и функциональных подразделений предприятия. Личное участие каждого бизнесмена-предпринимателя в разработке делового плана своего нового предприятия способствует не только выработке реальной стратегической и оперативной цели, но и обеспечивает в будущем наиболее совершенную организацию выполнения бизнес-проекта на основе соизмерения затрат и результатов. В-пятых, отечественные специалисты пока не имеют научно обоснованных методик разработки бизнес-планов применительно к нашим условиям новых рыночных отношений, поскольку в большинстве методических и учебных рекомендаций раскрывается преимущественно опыт планирования на сложившемся зарубежном рынке. В то же время на российских предприятиях в условиях спада производства недостаточно широко используется имеющийся опыт внутрихозяйственного планирования. Поэтому в настоящее время требуется комплексный подход к развитию теории и практики не только бизнес-планирования, но и всей системы внутрихозяйственного планирования на отечественных предприятиях и фирмах с разными формами собственности и организационными особенностями. Можно выделить три основные сферы деятельности организации, которые затрагивает бизнес-планирование:[38,с.370]. - управление текущей деятельностью и развитием предприятия; - управление изменениями на предприятии; - принятие разовых решений по отдельным аспектам управления. Рассмотрим их более подробно. Управление текущей деятельностью и развитием предприятия. Современная технология бизнес-планирования позволяет использовать бизнес-план в качестве основы управления текущей деятельностью и развитием предприятия. Эффективное управление на этом уровне осуществляется путем разработки управленческого бизнес-плана, объединяющего основные элементы стратегического и оперативного планирования. Основной задачей управленческого бизнес-плана в целом является определение целей функционирования предприятия, а также путей и ресурсов их достижения. Данный тип бизнес-плана более реален, по сравнению со стратегическим планом, и позволяет определить конкретные цели предприятия на короткий период (как правило, на год), а также подробный план действий по достижению поставленных целей. Помимо этого, управленческий бизнес-план позволяет решить и еще одну важную задачу — координацию действий между различными участниками, так как каждый участник играет свою роль, имеет свой круг обязанностей и задач. По существу, управленческий бизнес-план представляет собой перечень конкретных действий для менеджеров, описывает роль, которую каждое подразделение предприятия должно сыграть в процессе достижения поставленных целей. В этом качестве его следует рассматривать как инструмент делегирования ответственности, позволяющий руководству более точно определять вклад менеджеров в достижение целей предприятия. Управление изменениями на предприятии. Динамичное развитие предприятия возможно только при создании специального механизма управления изменениями, составной частью которого является разработка бизнес-планов проектов. Данный тип бизнес-планов может являться как составной частью общей системы бизнес-планирования, так и самостоятельным документом для осуществления инвестиционной политики предприятия. Принятие разовых решений по отдельным аспектам управления. В процессе управления бизнесом возникают задачи, успешно решить которые возможно только при наличии специально подготовленного бизнес-плана. Круг этих задач достаточно широк и включает такие направления, как планирование разовых финансовых операций по купле-продаже бизнеса или его части, осуществление крупных коммерческих сделок, антикризисное планирование, приглашение на предприятие ведущего специалиста или менеджера и др. [41,с.484]. Следовательно, можно выделить три типа бизнес-планов, которые важны в формальном процессе планирования как функции управления бизнесом: - управленческие бизнес-планы — применяются для управления текущей деятельностью и развитием предприятия; - бизнес-планы проектов — направлены на планирование и управление проектами, реализуемыми в рамках данного предприятия; - разовые бизнес-планы — направлены на принятие отдельных крупных решений, позволяющий руководству более точно определять вклад менеджеров в достижение целей предприятия. Таким образом, становится очевидно, что бизнес-планирование занимает особое место в деятельности организации. Ни один хозяйствующий субъект не может эффективно развиваться, пренебрегая процессом планирования. В рамках данного раздела настоящей главы выпускной квалификационной работы были рассмотрены основные особенности процесса бизнес-планирования. В следующем разделе будут обозначены основные аспекты составления бизнес-плана. 1.3. Основные аспекты составления бизнес-плана По своей сути бизнес-план – это программа предпринимательской деятельности. В нем содержится описание компании, предполагаемый вид продукции (товара, работы, услуги), рынок сбыта, финансовые потребности и др. необходимую информацию. В то же время по своей форме бизнес план представляет собой официальный документ, который позволяет осуществить привлечение предпринимателя внешней финансовой поддержки. Этот документ предоставляет владельцу денежных сведения ля принятия решения о финансировании или отказа в предоставлении средств. Отметим, что организации, предоставляющие финансовую поддержку, получают множество проектов, поэтому при прочих равных условиях предпочтение будет отдано более проработанному и более обоснованному бизнес-плану. Не меньшую роль играет бизнес-план и во внутренней работе компании. Внутренние цель бизнес-плана - проверка знаний управляющего персонала, понимания ими рыночной среды и реального положения предприятия на рынке. Очень важны достижение понимания инвестором и администрацией предприятия стратегических целей, характеристик, конкурентной среды, слабых и сильных сторон конкретного инвестиционного проекта, его возможной эффективности при заданных условиях. Структура бизнес-плана может быть различной, однако есть ряд позиций, которые должны быть в нем отражены. Нередко на первых страницах бизнес-плана необходимо приводится текст «меморандума о конфиденциальности». Фактически, это требование к читателю о неразглашении сведений, приведенных в документе. Оно может выглядеть следующим образом: «настоящий бизнес-план является конфиденциальным», «бизнес-план допускается к использованию только уполномоченными лицами и компаниями» или «бизнес-план является собственностью (название вашей компании) и не может распространяться, копироваться или частично воспроизводиться без согласия (название вашей компании)», «настоящий бизнес-план передан (имя лица / название компании, которому передается бизнес-план)». Другой пример информации о конфиденциальности: «Данный бизнес-план представляется на рассмотрение на конфиденциальной основе исключительно для принятия решения по финансированию проекта и не может быть использован для копирования или каких-либо других целей, а также настоящий бизнес-план не может передаваться третьим лицам. Просьба вернуть бизнес-план, если он не вызывает интереса по участию в его реализации». Отметим, что внесение в бизнес-план этого пункта не является обязательным и в большей степени характерно для западных стран [43.с.186]. Самая важная часть любого бизнес-плана или бизнес-предложения – резюме. В резюме бизнес-плана необходимо максимально кратко изложить все основные положения и преимущества документа, с тем, чтобы наиболее емко охарактеризовать предлагаемый бизнес и обоснование его прибыльности. Как правило, данный раздел пишется в последнюю очередь, когда все остальные разделы бизнес-плана уже составлены, проверены и просчитаны. Резюме не должно по объему превышать 1-3 страницы. В резюме бизнес-план должен содержать следующие позиции: суть проекта, эффективность проекта, сведения о предприятии; персонал; план реализации проекта; необходимый объем финансирования; окупаемость проекта. Основным требованием к резюме является простота и лаконичность, минимум специальной терминологии. С первых слов читатель должен получить информацию о наличии обоснованного спроса на предлагаемую продукцию и об эффективности проекта. Следующая обязательная часть любого бизнес-плана – описание предприятия и отрасли. В разделе «описание отрасли» следует показать современное состояние экономики региона, где планируется инициация нового бизнеса, состояние отрасли, в которую будет интегрирован проект, основные тенденции и прогнозы. Важно отметить характер спроса в данной отрасли, характер основной массы предприятий, работающих в данной сфере. Необходимо показать средние по отрасли показатели деловой активности предприятий, имеющиеся данные о средней величине рентабельности бизнеса в данном секторе, о наличии или отсутствии крупных игроков на этом рынке, способных оказывать существенное влияние не отрасль и ее характеристики. Требуется кратко, но обоснованно описать емкость рынка сбыта, в натуральном и денежном выражении. Следует максимально объективно оценить вероятность появления новых потребителей предлагаемого продукта, новых законов, инструкций, таможенных или налоговых ограничений, т.е любых факторов, способных так или иначе повлиять на успех выхода на рынок нового бизнеса и нового продукта. При описании предприятия следует обозначить стратегические планы и интересы, указать положение предприятия на рынке, описать его внутреннюю и внешнюю среду. Целью этого раздела является формирование у лиц, изучающих бизнес-план и принимающих инвестиционные решения, четкого представления о предприятии, как объекте инвестирования или возможном партнере при реализации проекта, и об отрасли, как игровом поле, на котором планируется реализация проекта [37,с.318]. Далее следует такая часть бизнес-плана как описание продукции. В этом разделе авторы документа «бизнес-план» должны детально описать новый продукт. Они должны обозначить ключевые особенности будущих клиентов, ключевое превосходство по сравнению с продуктами конкурентов и т.д. В следующем разделе бизнес-плана необходимо четко определить рынок сбыта предлагаемой продукции. В него необходимо включить следующие сведения: основные потребители продукции или услуг; объем сбыта в настоящее время и в перспективе; основные конкуренты, объем их продаж; особенности продукции конкурентов: основные характеристики, уровень качества; цены реализации аналогичных товаров, работ, услуг. План маркетинговых мероприятий является, как правило, основным стратегическим разделом документа «бизнес-план». Здесь описываются пошаговые инструкции по завоеванию предприятием рынка. В данном разделе приводится оценка рыночных возможностей компании. Объем сбыта продукции с точки зрения прогнозирования является наиболее важным и сложным, поскольку анализ существующего рынка и политика формирования спроса определяют эффективность реализации инвестиционного проекта в целом [39.с.448]. В бизнес-план следует включить раздел, посвященный описание производственных процессов. Он будет описывать следующие моменты: где будут производиться продукция или услуги; нужно ли создание новых производственных мощностей или можно использовать (переоснастить) действующее предприятие; какие необходимы инвестиции для достижения оптимальной мощности; как будет обеспечено предприятие сырьем, комплектующими изделиями, другими факторами производства; какие будут использованы технологии и оборудование; будет ли предприятие работать в кооперации с другим предприятием, какова будет организационная схема планируемого предприятия; насколько предприятие обеспечено кадрами – перечень имеющихся специалистов и их квалификация, опыт работы; каким будет уровень, формы оплаты труда разных категорий работников, включая социальные льготы; какова будет технологическая схема предприятия. Раздел, посвященный планированию производства, может самым существенным образом различаться. Это будет зависеть от той стадии, на которой находится реализация продукции – начальном этапе или на стадии расширения. В первом случае производственный план несет скорее декларативных характер, авторы описывают их видение будущего производства, что позволяет в нулевом приближении оценить будущие масштабы капитальных затрат и структуру издержек. Вообще говоря, на стадии инициирования коммерциализации, на самом раннем этапе, производственный план представляется чисто формальным разделом, упоминание которого, безусловно, необходимо, но не стоит относиться к нему слишком серьезно и заменять декларативные описания на выдумывание и фантазии. Стоит придерживаться поверхностного обозначения модели будущего производства, декларирования целей и философии предприятия и т.д [33,с.409]. Если бизнес-план описывает стадию перехода к промышленному производству нового товара или услуги, требования к данному разделу будут кардинальным образом отличаться. Так, если авторы планируют масштабировать проект до уровня выхода на массовый рынок, но разделу планирования производства следует обратить значительное внимание. Причин этому несколько. Во-первых, важно еще на стадии планирования определять как можно более точно уровень капитальных затрат и структуру издержек. Во-вторых, от глубины и точности проработки плана производства будет зависеть оценка себестоимости продукции, и как следствие – финансовый анализ проекта в целом. В-третьих, следствием производственного плана будет и модель организационной структуры предприятия, что, в свою очередь, также оказывает влияние на все подразделы бизнес-плана. Когда понятны масштабы планируемого производства и модель организационной структуры, легче анализировать риски проекта, устойчивость предприятия, приемлемость маркетинговой стратегии. Подробный производственный план необходимо детализировать до уровня описания конкретных технологических процессов и материальных потоков, с указанием объемов, поставщиков, потребителей, допустимых отклонения и пр. В настоящее время это, наверное, один из самых сложных разделов документа под названием «бизнес-план », по уровню детализации содержания. В условиях нестабильности хозяйственных связей, ненадежности поставщиков, сложностей с получением сырья и материалов гарантированного качества и точно в срок необходимо, тем не менее, выстраивать работающую модель предприятия с вполне конкретным указанием поставщиков или, по крайней мере, перечня обоснованных и приемлемых требований к ним. В самом разделе можно ограничиться описанием лишь основных позиций, а детали можно включить в приложение. В разделе «Финансовый план» авторы описывают потоки финансов, источники прибыли, основные издержки. Этот раздел должен быть максимально объективным, но в то же самое время должен соответствовать главному ожиданию инвестора. Эта часть обычно пишется для основного читателя документа. Из-за этого авторам необходимо еще до начала работы определить, на кого ориентироваться при составлении документа, кто будет главным экспертом и каковы его оценки. В этом же разделе, как правило, оценивается финансовая эффективность проекта. Этот подраздел является самым простым, прозрачным и однозначным. В данный раздел включаются следующие сведения: общий объем инвестиций необходим; источники финансирования; структуры финансирования по источникам и видам валют; условия привлечения финансовых средств для обеспечения потребностей в долгосрочных инвестициях и оборотном капитале. Особую роль в бизнес-плане играет такой раздел как «рентабельность проекта». В нем указывается: каковы инвестиционные издержки на создание предприятия по их разным видам в целом и на единицу продукции; во сколько обойдется эксплуатация планируемого предприятия, организация сбыта продукции или услуг; каковы могут быть общие доходы от реализации продукции или услуг; какие налоги должно платить планируемое предприятие; в какие сроки и в каких размерах планируется вернуть заемные средства; каков может быть общий объем прибыли данного предприятия, ее норма. В бизнес-план рекомендуется включать и такой раздел как «анализ рисков». Он должен содержать детальные прогнозы о возможных путях развития проекта и о том, какие препятствия ожидают команду проекта на каждом из этих путей. В этой части бизнес-план сопоставляет все имеющиеся фактические и прогнозные данные и содержит правильные выводы о проектных рисках. Безусловно, заслуживают внимания все типы рисков – политические, экономичные, социальные и прочие глобальные риски, также различные типы внутренних рисков, такие, как технологические и т.д. Важно не забывать о том, что под рисками, как правило, подразумевают некие события, влияние которых негативно сказывается на успехе проекта, а возникновение этих событий никак не зависит от команды проекта. Очень важно не только классифицировать и перечислить риски, но и разработать систему мероприятий по предотвращению негативных последствий возникновения событий, относящихся к рискам [22.с.423]. Несмотря на то, что бизнес-план - это документ особой важности для любой компании, не существует его нормативно утвержденной структуры. Таким образом, конкретный бизнес-план, как правило, включает те разделы, которые, по мнению его авторов наиболее полно отражают суть реализуемого проекта. В целом, бизнес-план имеет свободную форму и может быть подготовлен с применением любого программного обеспечения. Самое главное при его разработке – подготовить ясный, четкий и понятный документ, который бы наиболее полно раскрывал особенности конкретного проекта. В заключении данной главы настоящей выпускной квалификационной работы следует сделать следующие выводы. Планирование — это один из экономических методов управления, выступающий как основное средство использования экономических законов в процессе хозяйствования. Планирование используется для подготовки принятия решений. Оно всегда ориентируется на данные прошлого, но стремится определить и контролировать развитие организации в перспективе. В настоящее время ни один субъект хозяйствования, имеющей целью длительное и эффективное функционирование, не может пренебрегать процессом планирования. Особую роль в жизни любого хозяйствующего субъекта играет так называемое бизнес-планирование. Оно представляет собой механизм интеграции управленческих функций с целью создания стратегически управляемого предприятия, что в свою очередь требует тесной связи стратегического и оперативного планирования. Таким образом, бизнес-планирование реализует элементы стратегического планирования (определение политики предприятия, формулирование целей и выбор стратегий) и оперативного планирования (определение конкретных действий по достижению поставленных целей). Бизнес-планирование следует рассматривать как специфическую область деловых технологий, которая является неотъемлемой частью любого бизнеса. Применение данной технологии, охватывающей практически весь спектр компонентов менеджмента, упорядочивает и систематизирует весь бизнес, регулирует содержание и прогнозирует его результаты в зависимости от возможностей внешней и потенциала внутренней среды [30,с.268]. В настоящее время выделяются три основные сферы деятельности организации, которые затрагивает бизнес-планирование: - управление текущей деятельностью и развитием предприятия; - управление изменениями на предприятии; - принятие разовых решений по отдельным аспектам управления. Бизнес-план – это документ, играющий особую роль в функционировании любой организации. Однако он не имеет нормативно утвержденной структуры и составляется в произвольной форме. Его особенности зависят от конкретного проекта, описываемого в нем. В следующей главе данной выпускной квалификационной работы будут рассмотрены практические аспекты составления бизнес-плана. ГЛАВА 2. Общая характеристика бизнес-плана ООО «СЕНТЯБРЬ» 2.1. Резюме Общество с ограниченной ответственностью «Сентябрь» - организация, осуществляющая деятельность в сфере розничной торговли. Объектом ее интереса является рынок продовольственных товаров, рынок мебельной продукции и др. Так, ООО «Сентябрь» производит и реализует мягкую и корпусную мебель самого различного назначения на заказ по индивидуальным проектам как организаций, так и частных лиц. В настоящее время в организации сформировался высокопрофессиональный кадровый состав. Квалифицированный персонал дизайнеров и проектировщиков в короткие сроки может предложить клиентам решение интерьеров как частных квартир, так и практически любых служебных помещений. Проектирование мебели осуществляется с применением специальных компьютерных программ, позволяющих достигать высокой точности при изготовлении мебельной продукции. Клиентами ООО «Сентябрь» являются как частные лица, так и организации. Продукцию ООО «Сентябрь» отличает продуманный и современный дизайн, учитывающий эргономические особенности человека, высокое качество исполнения и демократичные цены. Мебель, изготовленная в ООО «Сентябрь», производится из экологически чистых и сертифицированных материалов. Собственная производственная база позволяет решать различные технологические задачи. Кроме того, специалисты ООО «Сентябрь» проводят специализированные консультации по всем вопросам, связанным с изготовлением мебели, выбором материалов, фурнитуры, стекол, зеркал и т.д., а также оказывают помощь в оформлении заказов. С целью расширения объемов продаж фирма предполагает открыть новый магазин-салон в микрорайоне «Верхние Печеры». Отсутствие конкуренции в этом районе и наличие большого количества потенциальных покупателей обещает повышение объема продаж на и увеличение нормы прибыли. Для открытия нового магазина ООО «Сентябрь» потребуется 500000 рублей. Для организации данного магазина фирме потребуется 3 месяца. Фирма предполагает охватить своей продукцией не менее 11% потенциальных покупателей различных районов г. Нижнего Новгорода. Уверенность руководства в успешном развитии дел основывается на наличии большого количества потенциальных покупателей, для которых предназначена продукция фирмы. 2.2 Описание организации и обзор отрасли Общество с ограниченной ответственностью «Сентябрь» было создано в 1999 году. Организационно-правовая форма ООО «Сентябрь» - общество с ограниченной ответственностью. В соответствии со ст. 87 Гражданского кодекса РФ обществом с ограниченной ответственностью признается общество, уставный капитал которого разделен на доли; участники общества с ограниченной ответственностью не отвечают по его обязательствам и несут риск убытков, связанных с деятельностью общества, в пределах стоимости принадлежащих им долей. ООО «Сентябрь» было создано в 1999г. двумя учредителями- физическими лицами: А.И. Антоновым и Б.П. Соколовым. Каждый из них внес в уставный капитал ООО «Сентябрь» по 5000 рублей, то есть доля каждого составляет 50%. Именно учредители ООО «Сентябрь» определяют стратегические аспекты функционирования рассматриваемого хозяйствующего субъекта. Они образуют высший орган управления ООО «Сентябрь» - собрание участников. Для руководства текущей деятельностью в организации назначается директор, который отчитывается перед учредителями. В настоящее время директором ООО «Сентябрь» является А.Г. Аксенов. Уже более 10 лет ООО «Сентябрь» работает на рынке продовольственных товаров Нижегородской области, однако 3 года назад было начато освоение нового рынка – рынка мебельной продукции. В настоящее время ООО «Сентябрь» специализируется на производстве мягкой и корпусной мебели. Ассортимент представлен как коллекциями современного дизайна, так и классическими элитными моделями. Мебель изготавливается на современном специализированном оборудовании с использованием отечественных и западных комплектующих и высококачественных натуральных материалов из Италии, Германии, Франции и Бельгии. Собственные производственные помещения площадью 1400 м.кв. позволяют разместить и использовать современное оборудование, обеспечивающее производство мебели высокого качества и различного уровня сложности. Многие из выпущенных мебельных коллекций уникальны и не имеют аналогов по соотношению цена/качество. Мебель ООО «Сентябрь» изготавливается только высококвалифицированными работниками, прошедшими специальную профессиональную подготовку; все этапы создания мебели сопровождаются эффективной системой внутреннего контроля качества. Вся продукция проходит обязательную государственную сертификацию. Цель компании – стать признанным лидером мебельной отрасли в Нижегородском регионе, сформировать современный, инновационный тип компании, способный быть успешной. Политика ООО «Сентябрь» ориентирована на обеспечение конкурентоспособности продукции, ее качества и разнообразия. Головной офис организации располагается по адресу: Нижегородская область, г. Дзержинск, ул. Студенческая, 37. Дополнительным направлением деятельности ООО «Сентябрь» является проведение операций с коммерческой и жилой недвижимостью, однако с августа 2009г. функционирование в этой сфере временно приостановлено. Несмотря на тяжелые последствия недавнего кризиса ООО «Сентябрь» смогло преодолеть его последствия без значительных потерь. Несмотря на возникшие сложности, данный хозяйствующий субъект продолжает дальнейшее развитие. Последний год – это период активного расширения видов продукции. Так с июля 2009г. началось производство офисной мебели, производство широкого ассортимента зеркал, а также производство матрасов. Серьезное внимание уделяется развитию современных технологий организации труда и автоматизации производства, внедряется программа развития персонала предприятия. В настоящее время организация продолжает вхождение на рынок мебельной продукции. В настоящее время ООО «Сентябрь» располагает собственной производственной базой (около 1400 м.кв.), оснащенной современной техникой для производства мягкой и корпусной мебели. Реализацию мебели ООО «Сентябрь» осуществляет самостоятельно. ООО «Сентябрь» является владельцем двух мебельных магазинов в г. Дзержинск. Однако этого явно недостаточно. Именно поэтому и было принято решение об открытии еще одного точки продажи в г. Нижний Новгород. В настоящее время производство и продажа мебели является перспективным направлением деятельности. Мебельная промышленность развивается быстрее многих других российских отраслей - объем производства в 2005, 2006, 2007 гг. рос на 15-20% ежегодно. Динамика развития мебельного рынка позволяет передовым предприятиям расти на 300% в год. По данным Ассоциации предприятий мебельной и деревообрабатывающей промышленности России (АМДПР), в январе - июле 2008 г. российская мебельная промышленность увеличила производство на треть по сравнению с тем же периодом 2007 г. По итогам же 2007 г. производство выросло почти на четверть, объем продаж составил $4,5 млрд, а потребление мебели на душу населения увеличилось до $34. В конце 2008 и 2009гг. кризис внес свои коррективы в развитие данной сферы деятельности. Так, по мнению аналитиков, мебельная отрасль снизила производственные показатели более, чем в 3 раза, предприятия деревообработки пока снизили свою производительности на 23,5%. Российский рынок мебели отличается высокой степенью концентрации: 10 крупнейших компаний из более чем 3 тыс. производителей выпускают больше половины всей российской мебели. При этом 600 из них - достаточно крупные, а примерно 50 формируют рынок по цене и дизайну. Большинство из них - это крупные мебельные комбинаты, существующие еще с советских времен и специализирующиеся на корпусной мебели. Подавляющее большинство остальных компаний - небольшие, как правило, нелегальные производители, производящие продукцию с чужим дизайном, иногда и под чужим брэндом, и реализующие ее на рынках или в мелких магазинчиках. Попытки участников рынка справиться с этим пока не слишком успешны. Но это уже не главная опасность. Реальная проблема для отечественных производителей - риски, связанные с иностранными игроками, в основном европейскими и азиатскими. За 6 месяцев 2008 г. импорт мебели в Россию существенно возрос: 158,1% к уровню 2007 г., в том числе из стран дальнего зарубежья — 172,5%. При этом увеличение импорта в стоимостном выражении было существенно выше, чем в натуральном. Общая доля импорта на рынке увеличилась примерно на 4% и составила 48%, в том числе из стран дальнего зарубежья 42,3%, а с учётом теневого производства — 31 и 27,3% соответственно. Однако, для отечественной промышленности, занимающей более низкий ценовой сегмент, пока что сохраняется необходимая доля рынка, стимулирующая дальнейшее развитие производства. В 2008 г. соотношение по ввозу «дешёвой» и «дорогой» мебели на внутренний рынок практически не изменилось — соответственно, 20 и 80%. Наиболее опасный для российских производителей является Китай. Он занимает 3-е место в мире по объемам производства мебели. За счёт низкой себестоимости средняя цена мебели ввозимой из Китая в Россию за 6 мес. 2008 г. увеличилась незначительно - на 6-10%. Таким образом, конкурентоспособность её на отечественном рынке высока, и при существующем уровне инфляции представляет реальную опасность для отечественной промышленности. Захват российского рынка китайской мебелью уже начался, однако присоединение к ВТО может существенно его ускорить. Российские мебельщики смогут уберечь свои позиции только за счет торговых сетей и известных марок. Российская мебельная промышленность уже пережила один период иностранной угрозы - по официальным данным, за 2001-2004 гг. доля мебели, ввезенной из дальнего зарубежья, увеличилась на российском рынке примерно в три раза. Однако в конце 2004 г. российское правительство ввело новый порядок начисления импортных пошлин: на дорогую мебель их снизили, а на средний и эконом сегменты, где как раз и работают отечественные производители, - повысили. Это привело к снижению конкуренции и доли импорта до нынешнего уровня. Объём экспорта мебели из России в 2008 г. был в 4,6 раза меньше объёма импорта. Заметных изменений в структуре экспорта не произошло. Опережающими темпами развивается экспорт в страны СНГ (140%), в то время как поставки в страны дальнего зарубежья составили всего лишь 105% к соответствующему периоду 2007 г. Цены на мебель, экспортируемую в страны СНГ, существенно превышают цены экспорта в страны дальнего зарубежья. В 2009 г. не произошло и заметных изменений в производстве мебели по федеральным округам. Главными центрами мебельного производства остаются Центральный и Приволжский ФО. Между тем в Центральном ФО, включающем 18 субъектов Федерации, более 80% производства сосредоточено лишь в трёх: - Московской (48,9%), Воронежской (11,2%) областях и в Москве (20,3%). Это объясняется наличием в них крупных фирм, которые развивают производство на базе предприятий, действовавших до перестройки. 2.3. Характеристика продукции ООО «Сентябрь» производит и реализует следующие виды мебели: - кухонная мебель; - мебель для спальной и гостиной комнат; - детская мебель; - мебель для ванной комнаты; - встроенные шкафы-купе на заказ; - шкафы для одежды и др. нужд В перспективе возможно расширение ассортимента путем ввода следующих типов продукции: - садовая мебель; - межкомнатные двери. Согласно ГОСТ 20400-80 «Продукция мебельного производства. Термины и определения» мебель разделяется по функциональному назначению: - мебель для хранения (корпусная); - мебель для сидения и лежания; - мебель для работы и приема пищи; - мебель прочая. В зависимости от предназначения продукции принято выделять следующие типы мебели (Приложение 1). Можно выделить следующие основные достоинства продукции ООО «Сентябрь». - дизайн Продукция создается известными итальянскими специалистами и при сохранении классической формы отражают большинство современных модных тенденций в дизайне мебели. Особый вид мебели придают зеркала с фацетом производства Бельгии, а также зеркала с красивым рисунком, нанесенным с помощью специального итальянского оборудования. На 4-й специализированной выставке «Мебель России» в г. Москве в 2007 году спальный гарнитур «Европа Милан-2» был отмечен в номинации «Лучшая дизайнерская разработка». - качество В производстве мебели заявление о высоком качестве – это не просто рекламный ход, а характеристика, состоящая из совокупности конкретных параметров, определяющих срок службы и степень комфорта в использовании приобретаемого товара. Именно поэтому при производстве мебели мы используются высококачественные комплектующие. Так, двери шкафа и шуфляды комода, а также тумбочек открываются за счет бесшумных петель и направляющих фирмы «Ferrari» (Италия), устанавливаемых даже на известные во всем мире итальянские кухни «Scavolini», что подтверждает их высокое качество. Все мебельные гарнитуры изготавливаются из ламинированной плиты производства «Карелия ДСП», являющимся лучшим в России производителем мебельных плит. Карнизы, двери, спинки кроватей, боковины комодов и тумбочек украшены профилями МДФ. Все видимые кромки облицованы кромками ПВХ фирмы «Rehau» (Германия). Спинки кроватей, крышки комодов, тумбочек и туалетного столика также облицованы 2-х миллиметровой кромкой ПВХ. Все комплекты мебели собираются на эксцентриковых стяжках фирмы «Hafele» (Германия). Ручки и полкодержатели также производятся в Италии и обеспечивают как надежность всей конструкции, так и эстетику формы. Также следует отметить, что для производства мебели применяется современное оборудование, которое закупалось интегрированными комплексами у ведущих производителей из Германии и Италии, что также помогает достичь наивысшего качества всей продукции. - комфорт Мебель компании «Сентябрь» не только отличается хорошим дизайном и изготавливается из высококачественных материалов, но и отвечает требованиям удобства и комфорта при ее использовании. Например, кровати спальных гарнитурах могут укомплектоваться ортопедической решеткой и ортопедическим матрацем с жаккардовой тканью. Серия гарнитуров «Европа» предлагает широкий выбор различных шкафов, как с распашными дверями, так и шкафов купе. - упаковка Все детали мебели упаковываются в трехслойный гофрокартон, а фасады и детали, облицованные профилями МДФ, в специальную пузырчатую пленку, и перетягиваются специальными лентами, что позволяет доставить их до покупателя в идеальном состоянии. - стоимость Цены на мебель полностью конкурентоспособны по сравнению с продукцией других российских производителей. Прайс-листы на отдельные виды продукции представлены в Приложении 2, 3. - надежность Мебель надежна в эксплуатации. Она прошла тест на проверку надежности и безопасности. Конструкция мебели обеспечивает полную безопасность: углы мебели; все закрепления сделаны очень устойчиво. 2.4. Анализ рынка Рассмотрим основные аспекты рынка функционирования ООО «Сентябрь». Основными потребителями продукции ООО «Сентябрь» являются покупатели, краткая характеристика которых представлена ниже. Чаще всего посетителями мебельных магазинов являются женщины. Гораздо чаще других возрастных групп магазины посещает молодежь до 30 лет и представители старшей группы (свыше 49 лет). Лица с высшим и незаконченным высшим образованием посещают мебельные магазины почти в пять раз чаще, чем люди со средним образованием и ниже (рисунок 1). Рисунок 1. Распределение покупателей мебели по уровню образования Чаще других мебельные магазины посещают руководители и первые заместители предприятий, организаций, учреждений, служащие, предприниматели, домохозяйки. Значительно реже — безработные и рабочие (рисунок 2).
На рисунке 3 указано распределение выборки по группам в зависимости от уровня дохода на одного члена семьи в месяц. Как правило, посетители мебельных магазинов — лица со среднедушевым доходом свыше 1 500 руб. на члена семьи. При этом частота посещений, по-видимому, не зависит от того, насколько доход семьи превышает пороговую величину 1 500 руб. Рисунок 3. Распределение покупателей мебели по уровню дохода Люди с высшим образованием намерены покупать мебель почти в два раза чаще, чем лица со средним образованием и в четыре раза чаще, чем с образованием ниже среднего. Наибольший интерес в качестве целевой группы потенциальных покупателей вызывают руководители предприятий, организаций, учреждений, предприниматели, студенты, служащие и домохозяйки. Востребованность различных предметов мебели потенциальными покупателями Наиболее востребованный покупателями предмет мебели — стенка, в том числе «для кухни» — 31% от потенциальных покупателей, «для гостиной» — 27% и «для прихожей» — 14% (Приложение 4). Существенными параметрами, которыми руководствуется большинство покупателей при выборе мебели (кроме цены), являются цвет и материал. Сервисное обслуживание при покупке мебели считает очень важным моментом 41% опрошенных покупателей. Еще 37% респондентов склоняются к тому, что сервисное обслуживание скорее важно, чем не важно. Не очень важным и совсем не важным этот фактор является для 23% потенциальных покупателей (Приложение 5). Условия оплаты являются очень важным фактором для 40% покупателей и скорее важным, чем не важным — для 24%. Однако для 35% покупателей мебели условия оплаты не играют особой роли (Приложение 6). Таким образом, портрет потенциального покупателя продукции ООО «Сентябрь» выглядит следующим образом: - доход свыше 6000 на одного члена семьи; - возрастные характеристики позволяют выделить две группы потенциальных покупателей: молодежь до 30 лет (как правило, приобретает мебель впервые) и представители старшей возрастной группы (от 49 до 55 лет, высокий социальный статус, как правило, приобретают мебель с целью замены старой); - по половому признаку покупателями могут быть и женщины, и мужчины, однако существует некоторое преобладание женщин, которое объясняется традиционным распределением семейных обязанностей по созданию уюта в доме; - покупатели, как правило, имеют высшее образование; - сферы трудовой деятельности - различны; - основной объединяющий фактор – желание приобрести качественную мебель по доступной цене. Конкуренция на рынке производства и реализации мебельной продукции достаточно высока. С одной стороны конкурентами являются фирмы, которые как производят, так и реализуют свою продукцию, с другой стороны, в число конкурентов входят и фирмы, занимающиеся только торговлей мебелью. Основными конкурентами ООО «Сентябрь» являются: ООО «Орион», ООО «Стиль», ООО «Континент». Приведем их краткую характеристику. ООО «Орион» имеет три магазина в различных частях г. Нижнего Новгорода. Увеличение объема сбыта достигается путем открытия магазинов в разных районах города. Фирма предоставляет право выбора материала обивки, варианта комплектации. Цены выше, чем у ООО «Сентябрь». Фирма «Орион» участвует в мебельных выставках. Бесплатной доставки мебели нет. ООО «Стиль имеет два салона в г. Нижний Новгород. Фирма предоставляет право выбора материала обивки (около 60 видов тканей), варианта комплектации. Фирма предоставляет разнообразную качественную продукцию. Бесплатная доставка мебели имеет место. ООО «Континент» предоставляет 15 наименований качественной и разнообразной мебели. Продукция реализуется через мебельные магазины. Выбора обивки нет, бесплатная доставки мебели есть. Таблица 1 Сравнительные данные по ценам на мебель в 2009г.
Таким образом, ООО «Сентябрь» занимает среднюю позицию среди конкурирующих фирм. При анализе деятельности конкурентов должны быть учтены все факторы, влияющие на спрос населения, а не только цена. Дадим следующую количественную оценку каждому фактору конкурентоспособности для всех конкурентов: - положительная – 1 балл, - средняя – 0,5 балла, - отрицательная - 0 баллов. Основные факторы конкурентоспособности представлены в таблице 2. Таблица 2 Сравнительные факторы конкурентоспособности
В таблице 3 представлена балльная оценка факторов конкурентоспособности. Таблица 3 Оценка факторов конкурентоспособности по баллам
Исходя из полученных данных, в настоящее время фирма ООО «Сентябрь» имеет надёжную репутацию, высокий уровень конкурентоспособности, стабильное положение на рынке. Но все это временно. Поэтому руководству ООО «Сентябрь» следует заранее озаботиться сохранением своего лидирующего положения на этом рынке. Основными чертами рынка мебельной продукции могут быть названы: - длительный период вывода на рынок новых моделей. Например, у крупных производителей мебели средний срок вывода на рынок новой программы серийной мебели составляет от 7 до 15 месяцев; - высокие требования к качеству. Потребитель выбирает на основании того, как долго с надлежащим уровнем качества данный товар может удовлетворять его потребности. Исходя из этого, большинством производителей мебели решаются вопросы о выявлении приемлемого уровня качества и применения высококачественной фурнитуры и комплектующих рассчитанных на определенное количество лет использования. Например, многие производители мебели разрабатывают стратегию продвижения, используя в качестве основной идеи объяснение уровня качества и долговечности мебели. - необходимость гарантийного и послегарантийного обслуживания. Совокупные затраты потребителя на приобретение и эксплуатацию состоят из суммы розничной цены и расходов по эксплуатационно-техническому обслуживанию за весь срок службы. В этом аспекте расходы по эксплуатационно-техническому обслуживанию за весь срок службы мебели не существенны, но могут достигать до 20-25 % ее первоначальной стоимости. В частности, потребители меняют фасады корпусной и обивку мягкой мебели, вносят конструктивные изменения в кухонную мебель. Отдельно стоит упомянуть стоимость сборки мебели, которая может составлять от 5 до 10% от первоначальной стоимости. - продолжительный период выбора и совершения покупки потребителем. Выбор потребителем мебели составляет от 2 до 4 недель (а в некоторых случаях откладывается на несколько месяцев до очередной выставки) и в его таблицу сравнения попадает до 10 моделей, которые сравниваются по 10-15 характеристикам. Основные сравниваемые характеристики: цена, внешний вид, расцветка, удобство использования, качество сборки, качество материалов, удобство ухода, скидки, долговечность. - моральный износ товаров длительного пользования. Помимо физического износа, особое значение приобретает моральный износ. Некоторые крупные операторы мирового мебельного рынка (Ikea, Nolte, Natuzzi, Rolf Benz и др.) стимулируют развитие рынка за счет агрессивной рекламной политики и вводят понятие модных тенденций в мебели, что позволяет им практиковать постоянную смену своих коллекций. Развитию мебельного производства в Нижегородской области придало ощутимый импульс с середины 90-х годов появление собственных нижегородских производителей. Среди основных тенденций нижегородского рынка мебели можно назвать следующие: - высокая конкуренция крупных мебельных компаний со средними производителями в сегментах недорогой корпусной и мягкой мебели; - постепенное насыщение мебельного рынка и в связи с этим развитие экспорта большинства производителей на территории других регионов России; - отсутствие полноценных отделов маркетинга и НИОКР у большинства фабрик, ограничение бюджетов по маркетингу и разработкам новых продуктов. Как следствие, отсутствие разработанной маркетинговой стратегии и позиционирования у многих производителей. Частичное или полное подражание дизайну мебели мировых лидеров. Отсутствие комплексных исследований рынка при запуске новых направлений мебели. Мнение руководства, представителей и дилеров фабрик в регионах во многом определяют маркетинговую политику производства, тогда как надо в первую очередь учитывать результаты маркетинговых исследований. Поэтому темпы роста нижегородских мебельных фабрик во многом зависят от активности и продаж региональных представителей и дилеров; - высокое качество мебели, экспортируемой в другие регионы России. ООО «Сентябрь» производит мебель, которую она реализует через свои магазины-салоны, находящиеся в г. Дзержинск Нижегородской области. В этих салонах покупатель может заказать мебель в любой комплектации. Таблица 4 Магазины-салоны ООО «Сентябрь»
Для того, чтобы расширить рынок сбыта ООО «Сентябрь» открывает новый магазин-салон в г. Н.Новгород. Он будет располагаться на первом этаже многоэтажного жилого здания, находящегося во вновь построенном доме по адресу: г. Нижний Новгород, ул. Касьянова. Анализируя особенности местонахождения данного магазина ООО «Сентябрь» следует отметить, что его отличает удачное месторасположение, которое характеризуется близостью к транспортным развязкам, наличием подъездных путей и удобной парковки. Для Нижнего Новгорода, емкость рынка сбыта рассчитывалась, исходя из следующих данных: - численность населения г. Нижний Новгород составляет 1280,3 тысяч человек - доля платежеспособного населения 40 % от общего числа предполагается, что доля потенциальных клиентов составит 11 % от общего числа платежеспособного; - населения (остальные 89% являются потенциальными покупателями конкурентов); - предполагается, что среднее количество совершаемых покупок из предметов мебели среди населения составит 0,8 предметов в 15 лет из расчета на одного человека. Емкость рынка сбыта - (1 280 300 х 0,4)/15х0,11 х 0,8 = 3004,437 изделий мебели в год, что составит 250,369 изделий в месяц. ГЛАВА 3. Маркетинговое и финансовое обоснование бизнес-плана ООО «СЕНТЯБРЬ» 3.1. План маркетинга В настоящее время в Нижнем Новгороде функционирует более 20 фирм по производству мягкой мебели. На рынке также представлена мебель Чехии, Италии, Финляндии. Конкуренция на рынке чрезвычайно высока. Для того, чтобы выявить особенности компании на рынке проведем SWOT-анализ ООО «Сентябрь». Матрица SWOT содержится в Приложении 7. SWOT-анализ раскрыл слабые и сильные стороны ООО «Сентябрь». Составленная матрица SWOT-анализа позволяет сформулировать перечень первоочередных мероприятий, которые должна провести компания для совершенствования системы управления маркетингом: 1. Развитие маркетинговой деятельности 2. Усиление рекламной деятельности 3. Выход на дополнительные группы потребителей 4. Совершенствование качества выпускаемой продукции 5. Формирование собственной торговой марки. ООО «Сентябрь» осуществляет работу по формированию эффективного имиджа предприятия и его продукции в трех направлениях: формирование внешнего, внутреннего и осязаемого имиджа. Перечислим основные аспекты маркетинговой деятельности, направленные на популяризацию продукции ООО «Сентябрь». ООО «Сентябрь» предполагает освоить рынок мебели в микрорайоне Верхние Печеры и увеличить объем продаж путем привлечения потенциальных покупателей, как данного микрорайона, так и д. Афонино. В этом районе очень много новостроек и, как следствие, людей, желающих приобрести мебель. При освоении этого рынка фирма будет делать упор на цены более низкие, чем у конкурентов, и на бесплатную доставку. Ценообразование в ООО «Сентябрь» основывается на принципе покрытия издержек стоимостью продукта. В связи с тем, что компания будет реализовывать продукцию без торговой наценки через свой магазин, цены на мебель будут в среднем на 10% меньше, чем цены конкурентов. Фирма не собирается закладывать в цену продукции высокую норму прибыли, стараясь сохранить цены ниже, чем у конкурентов. Фирма ожидает увеличения объема прибыли за счет увеличения объема реализации. Для того, чтобы привлечь покупателей в свои магазины предполагается провести следующие мероприятия. Необходимо правильно демонстрировать продукцию покупателю. Торговый зал будет разбит на зоны по назначению продаваемых товаров. Такой формат, с одной стороны, снизит потребности в площади торгового зала, а с другой – позволит покупателю быстро найти необходимую группу товаров и выбрать нужный. Сбыт, прежде всего, гарантируется постоянным спросом на выбранные группы товаров, удобным месторасположением торговой точки, быстротой обслуживания и профессионализмом сотрудников. Использование рекламы также является неотъемлемым аспектом деятельности при открытии нового салона мебели. Главной целью рекламы на первом этапе является информирование потенциальных потребителей о вновь создаваемой фирме. Будет использована радиореклама на «Русском Радио» и радиостанции и «Европа Плюс». Будет полезным также в качестве дополнительной меры подготовить и распространить рекламные листовки возле крупных мебельных магазинов и строительных рынков. Необходимо осуществлять последовательное обучение продавцов-консультантов. Именно они во многом влияют на решение о покупке. Для этого необходимо разработать тренинг-семинар по продажам. Внутри фабрики создается проектная команда тренеров (с отделов НИОКР, продаж и маркетинга), которая несколько раз в квартал проводит семинары, обучает новым приемам продажи, и информирует об конкурентных особенностях новых серий. Организовать конкурс «лучший продавец внутри сети». Наладить сотрудничество с дизайнерскими бюро и салонами интерьера. Организовать семинары по применению мебели фабрики в разных интерьерах. Организовать промоакции в больших мебельных центрах и строительных сетях, в местах скопления торговых площадей конкурентов. Производить полугодовую ротацию ассортимента в городе (покрытие торговых площадей в городе всем ассортиментом и его смещение по магазинам). Необходимо организовать интернет-магазин, отражающий качественно весь ассортимент фабрики, с описанием всех сравниваемых в процессе покупки покупателем характеристик, и работающим на территории, где есть собственные магазины. Отметим, что продвижения магазина мебели ООО «Сентябрь» будет осуществляться в условиях посткризисной экономики. Это оказало влияние на то, какие мероприятия по его продвижению были выбраны. Во-первых, для ООО «Сентябрь» было важно минимизировать средства, потраченные на данную кампанию. Во-вторых, особое внимание при создании рекламных сообщений было уделено цене. В современных условиях фактор цены является для покупателя определяющим. Именно поэтому был сделан особый акцент на возможность получения скидок, бонусов при покупке мебели в салоне ООО «Сентябрь». На данном этапе развития компании более никакие маркетинговые действия не планируются, однако в дальнейшем компания будет использовать и иные маркетинговые мероприятия с целью привлечения новых клиентов. 3.2. Финансовый план Экономическое состояние ООО «Сентябрь» характеризуется как стабильное. Так, ООО «Сентябрь» имеет продолжительную кредитную историю, все обязательства по кредитным договорам выполняются в полном объеме и установленный срок. В течение 2005-2009г.г. клиент пользовался большим количеством разнообразных кредитов, что было вызвано необходимостью организации производства мебели. Детализация представлена в приложении 8. Ссудная задолженность ООО «Сентябрь» на 01.10.2009г. представлена в приложении 9. Также на 01.10.09г. действует 21 договор займа с юридическими и физическими лицами, задолженность по которым составляет 4363 тыс. руб. В настоящее время Предприятие имеет расчетные счета в ОАО АКБ «Саровбизнесбанк», Нижегородский филиал ОАО «ВТБ», ЗАО «ВОКБАНК», Нижегородский филиал ОАО «Ак Барс» Банк и Нижегородский филиал ОАО «Банк ЗЕНИТ». Обороты по счетам ООО «Сентябрь» представлены в таблице 5. Таблица 5 Обороты по счетам ООО «Сентябрь» за 2009г.
Анализ финансового состояния произведен на основании бухгалтерской отчетности по состоянию на 01.01.2009г., 01.04.2009г., 01.07.2009г. и 01.10.2009г. Активы предприятия в основном представлены основными средствами, а также доходными вложениями в материальные ценности. Дебиторская задолженность ООО «Сентябрь» с начала года увеличилась в 3,6 раза и составляет 68 793 тыс. руб. Доля в ВБ увеличилась с 26% до 31 %. Задолженность текущая, просроченной задолженности нет. На изменение структуры баланса в большей степени повлиял рост величины дебиторской задолженности, а также такой статьи как доходные вложения в мат. ценности. Предприятие обладает собственным оборотным капиталом в размере 196 001 тыс. руб. или 13 % оборотных средств, что положительно характеризует финансовое положение ООО «Сентябрь». Пассивы ООО «Сентябрь» сформированы за счет собственных средств на 13 % и за счет заемных средств на 31 % ВБ краткосрочные обязательства и 56 % долгосрочные обязательства. Собственный капитал состоит почти в равных долях из капитала и нераспределенной прибыли, абсолютная величина которой выросла с начала года на 20 168 тыс. руб. С начала года произошло увеличение кредиторской задолженности почти в 3 раза в основном за счет авансовых платежей по лизинговым операциям, которые составили 276 341 тыс. рублей (20 % ВБ). Просроченной задолженности нет. Задолженность перед персоналом отсутствует, задолженность перед бюджетом составляет около 0,2% в ВБ. Структура пассивов за текущий год изменилась, несколько снизилась доля в ВБ собственного капитала. На рост пассивов повлияло увеличение долгосрочных и краткосрочных обязательств, которые представлены в основном кредитами и займами. Выручка от реализации товаров и услуг ООО «Сентябрь» за 9 месяцев текущего года составила 18 796 тыс. руб. Объем среднемесячной выручки составляет 2 755,11 тыс. руб. Деятельность ООО «Сентябрь» прибыльна – чистая прибыль положительна в течение всего рассматриваемого периода. Предприятие платежеспособно. Коэффициент текущей ликвидности на протяжении всего периода стабилен и составляет 0,96 - 1,36, что говорит о способности заемщика погасить краткосрочные обязательства на 100 %, реализовав текущие активы. На протяжении всего анализируемого периода чистые активы положительны, что характеризует финансовое состояние ООО «Сентябрь» как хорошее. За последний период произошло снижение чистых активов, в связи с сокращением статьи баланса «Доходы будущих период», это связано со спецификой деятельности ООО «Сентябрь», а именно с закрытием сделок, по которым имущество стояло на балансе. Коэффициент абсолютной ликвидности показывает возможность погасить краткосрочную задолженность за счет самых ликвидных ресурсов, к которым относятся денежные средства и государственные ценные бумаги. На отчетную дату денежные средства на счетах ООО «Сентябрь» снизились, поэтому коэффициент абсолютной ликвидности имеет низкое значение. Промежуточный коэффициент покрытия характеризует способность оперативно высвободить из хозяйственного оборота денежные средства и погасить краткосрочные обязательства. Значение показателя 1,092 позволяет оценить финансовое состояние ООО «Сентябрь» как хорошее. Коэффициенты, рассчитанные для определения финансового состояния ООО «Сентябрь» приведены в таблице 6: Таблица 6 Коэффициенты, определяющие финансовое состояние ООО «Сентябрь»
Для реализации проекта по открытию нового мебельного салона компании необходимо взять кредит в размере 500.000 рублей. Сумма расходов на открытие магазина включает в себя: - затраты на проведение ремонтных работ – 300000 рублей; - затраты на проведение маркетинговых мероприятий – 120000 рублей; - затраты на привлечение нового персонала – 80000 рублей. Затраты на помещение в данной ситуации ограничиваются ремонтными работами, так как оно было приобретено заблаговременно. Изменения в организационной структуре компании не планируются, так как в настоящее время она полностью отвечает целям и задачам функционирования ООО «Сентябрь» (Приложение 10). Кроме того, руководство компании планирует создать так называемый резервный фонд, целью которого станет покрытие чрезвычайных расходов. В настоящее время кредит на реализацию данного проекта одобрен в одном из кредитных учреждений города Н.Новгорода. 3.3. Оценка экономической эффективности В качестве основного показателя эффективности бизнес-плана принято рассматривать показатель точки безубыточности. Размер прибылей и убытков в значительной степени зависит от уровня продаж, который обычно является величиной, трудно прогнозируемой с определенной точностью. Для того, чтобы знать, какой потребуется уровень продаж для достижения прибыльности предприятия, необходимо провести анализ безубыточности. Исходя из имеющихся данных, была определена точка безубыточности для ООО «Сентябрь». При этом учитывался объем реализации по всем наименованиям товара и соответственно усредненная цена. Расчет точки безубыточности в натуральном выражении рассчитывается по формуле( 1): Формула (1).
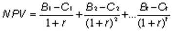
Анализ полученных данных показал, что при выручке 2500000 руб. деятельность фирмы является безубыточной, при большей выручке она начинает получать прибыль. На втором этапе оценки экономической эффективности проекта рассчитывают такие показатели как: - Чистый дисконтированный доход рассчитывается по формуле (2): Формула (2).
где Bt - выгоды проекта в год t Ct - затраты проекта в год t t = 1 ... n - годы жизни проекта Инвестору следует отдавать предпочтение только тем проектам, для которых NPV имеет положительное значение. Отрицательное же значение свидетельствует о неэффективности использования денежных средств: норма доходности меньше необходимой. - Индекс прибыльности. Индекс прибыльности (profitability index, PI) показывает относительную прибыльность проекта, или дисконтированную стоимость денежных поступлений от проекта в расчете на единицу вложений. Он рассчитывается путем деления чистых приведенных поступлений от проекта на стоимость первоначальных вложений: Формула (3).
где: NPV - чистые приведенные денежные потоки проекта; Со - первоначальные затраты. Внутренняя норма рентабельности это показатель, при котором NPV=0. В этой точке дисконтированный поток затрат равен дисконтированному потоку выгод. Она имеет конкретный экономический смысл дисконтированной «точки безубыточности» и называется внутренней нормой рентабельности, или, сокращенно, IRR. Оценка эффективности для проекта создания мебельного магазина ООО «Сентябрь» произведена на основании интегральных показателей, отражающих экономическую эффективность, которую намечается достигнуть в результате его реализации. Принятый в расчетах эффективности проекта коэффициент дисконтирования (норма дисконта) равен 0,15 (15%). Анализ экономической эффективности проекта показывает, что проект особо остро реагирует на изменение цены реализации. Если цена снизиться только на 20% по сравнению с ожидаемой, то проект уже в типичном производственном периоде вступит в зону убытков. Так что анализ безубыточности позволяет сделать вывод о самом большом риске связанным с ценой. Не так чувствителен проект в отношении предполагаемого сбыта, а так же постоянных и переменных затрат. Объем спроса может быть на четверть меньше запланированного, пока проект не вступит в зону убытков. Переменные затраты могут быть на 20% выше, чем ожидалось, а постоянные затраты выше на 30%. Таким образом, ликвидность проекта обеспечена, т.е. кумулятивный чистый денежный поток в течение всей плановой фазы не отрицателен. Срок окупаемости проекта составит при начальной ежемесячной прибыли магазина (350.000 руб.) составит 2 месяца. Относительно небольшой период окупаемости обусловлен тем, что первоначальные вложения составили 500.000 руб. 3.4. Анализ рисков проекта При анализе данного проекта были выявлены следующие типы рисков. Маркетинговый риск - это риск недополучения прибыли в результате снижения объема реализации или цены товара. Этот риск является одним из наиболее значимых для проекта. Причиной его возникновения может быть неприятие нового продукта рынком или слишком оптимистическая оценка будущего объема продаж. Ошибки в планировании маркетинговой стратегии возникают главным образом из-за недостаточного изучения потребностей рынка: неправильного позиционирования товара, неверной оценки конкурентоспособности рынка или неправильного ценообразования. Также к возникновению риска могут привести ошибки в политике продвижения, например выбор неправильного способа продвижения, недостаточный бюджет продвижения и т. д. Избежать данного риска можно лишь при постоянном отслеживании ситуации на рынке и корректировке маркетинговых действий. Риски несоблюдения графика и превышения бюджета проекта – еще один вид рисков, который может возникнуть при реализации проекта. Причины возникновения таких рисков могут быть объективными (например, изменение таможенного законодательства в момент растаможивания оборудования и, как следствие, задержка груза) и субъективными (например, недостаточная проработка и несогласованность работ по реализации проекта). Риск несоблюдения графика проекта приводит к увеличению срока его окупаемости как напрямую, так и за счет недополученной выручки. Во избежание этого риска необходимо реально просчитывать все сроки и финансовые аспекты проекта. Риск уменьшения платежеспособности – следующий вид рисков. В результате этого события может уменьшиться объем продаж. Необходимо отметить, что объем продаж запланирован фирмой по-минимому, поэтому вероятность того, что объем продаж будет меньше невелика. Цены у фирмы «Сентябрь» ниже, чем цены у конкурентов, поэтому в будущем уменьшение числа покупателей маловероятно. Риск появления конкурентов – это риск, возникновение которого трудно просчитать. При данном событии (если конкуренты появятся) необходимо будет улучшить качество продукции, поддерживать цены более низкими, чем цены у конкурентов, проводить более активно рекламную компанию. Риск роста цен на сырье, материалы – следующий вид рисков. Необходимо будет проводить мероприятия по снижению себестоимости за счет более рационального использования сырья и т.д. для того, чтобы избежать возникновения данного риска. Общеэкономические риски – последний вид рисков, с которым ООО «Сентябрь» может столкнуться при реализации проекта. К общеэкономическим относят риски, связанные с внешними по отношению к предприятию факторами, например риски изменения курсов валют и процентных ставок, усиления или ослабления инфляции. К таким рискам можно также отнести риск увеличения конкуренции в отрасли из-за общего развития экономики в стране и риск выхода на рынок новых игроков. В случае ООО «Сентябрь» будет велик валютный риск, так как часть оборудования и материалов закупается за границей. ЗАКЛЮЧЕНИЕ Планирование — это один из экономических методов управления, выступающий как основное средство использования экономических законов в процессе хозяйствования. Планирование используется для подготовки принятия решений. Оно всегда ориентируется на данные прошлого, но стремится определить и контролировать развитие организации в перспективе. В настоящее время ни один субъект хозяйствования, имеющей целью длительное и эффективное функционирование, не может пренебрегать процессом планирования. Особую роль в жизни любого хозяйствующего субъекта играет бизнес-планирование. Оно представляет собой механизм интеграции управленческих функций с целью создания стратегически управляемого предприятия, что в свою очередь требует тесной связи стратегического и оперативного планирования. Таким образом, бизнес-планирование реализует элементы стратегического планирования (определение политики предприятия, формулирование целей и выбор стратегий) и оперативного планирования (определение конкретных действий по достижению поставленных целей). Бизнес-планирование следует рассматривать как специфическую область деловых технологий, которая является неотъемлемой частью любого бизнеса. Применение данной технологии, охватывающей практически весь спектр компонентов менеджмента, упорядочивает и систематизирует весь бизнес, регулирует содержание и прогнозирует его результаты в зависимости от возможностей внешней и потенциала внутренней среды. В настоящее время выделяются три основные сферы деятельности организации, которые затрагивает бизнес-планирование: - управление текущей деятельностью и развитием предприятия; - управление изменениями на предприятии; - принятие разовых решений по отдельным аспектам управления. Бизнес-план – это документ, играющий особую роль в функционировании любой организации. Однако он не имеет нормативно утвержденной структуры и составляется в произвольной форме. В рамках данной выпускной квалификационной работы было осуществлено составления бизнес-плана для ООО «Сентябрь». Данная компания планирует открыть новый магазин мебельной продукции для реализации товаров собственного производства. Он будет располагаться в микрорайоне «Верхние Печеры» г. Н.Новгорода. Отсутствие конкуренции в этом районе и наличие большого количества потенциальных покупателей обещает повышение объема продаж на и увеличение нормы прибыли. Для открытия нового магазина ООО «Сентябрь» потребуется 500000 рублей. Для организации данного магазина фирме потребуется 3 месяца. Срок окупаемости проекта составит при начальной ежемесячной прибыли магазина (350.000 руб.) составит 2 месяца. Относительно небольшой период окупаемости обусловлен тем, что первоначальные вложения составили 500.000 руб. Для того, чтобы привлечь покупателей в свои магазины предполагается осуществить следующие мероприятия: - правильное расположение продукции в торговом зале; - использование рекламы для информирования потенциальных потребителей о вновь создаваемом мебельном салоне; - распространение рекламных листовок около крупных мебельных магазинов и строительных рынков; - обучение продавцов-консультантов, так как они во многом влияют на решение о покупке, организация конкурса «лучший продавец внутри сети»; - налаживание контактов с дизайнерскими бюро и салонами интерьера, организация семинаров по применению мебели фабрики в разных интерьерах; - организация промоакции в больших мебельных центрах и строительных сетях, в местах скопления торговых площадей конкурентов; - ротация ассортимента не реже 1 раза в полугодие; - создание интернет-магазина. Риски, которые могут возникнуть при реализации проекта, таковы: маркетинговый риск, риски несоблюдения графика и превышения бюджета проекта, риск уменьшения платежеспособности, риск появления конкурентов, риск роста цен на сырье, материалы, общеэкономические риски. Однако вероятность их возникновения можно оценить как не очень высокую. В целом данный проект является возможностью для ООО «Сентябрь» освоить новые рынки сбыта, расширить клиентскую базу, повысить прибыль и выйти на новый уровень развития. СПИСОК ИСПОЛЬЗОВАННОЙ ЛИТЕРАТУРЫ Учебно-методическая литература 1. Абрамс Р. Как составить наилучший бизнес-план для любой отрасли и сферы деятельности: Forbes и стэндфордская школа бизнеса рекомендуют. М.: Прайм-Еврознак, 2008, с.295 2. Адамс Б. Бизнес план за несколько часов. М.: Астрель, 2007, с.283 3. Баканов М.И., Шеремет А.Д. Теория анализа хозяйственной деятельности: М.: Финансы и статистика, 2007, с.330 4. Бекетова О.Н., Найденков В.И. Бизнес-план: теория и практика. М.: Приор, 2009, с.346 5. Белых В.С. Правовое регулирование предпринимательской деятельности в России. М.: Проспект, 2009, с.530 6. Берд П. Бизнес-план. Пошаговое руководство. М.: Фаир-Пресс, 2007, с.380 7. Борисова Е.В.. Никитина Л.А. Организация коммерческой деятельности М., УРАО, 2005, с.545 8. Бунеева Р.И. Коммерческая деятельность, М.: Феникс, 2009, с.463 9. Буров В.П., Ломакин А.Л., Морошкин В.А. Бизнес-план фирмы. М.: Инфра-М, 2009, с.320 10. Виханский О.С., Наумов А.И. Менеджмент. Учебник, М.: Гардарики, 2007,с.240 11. Голембиовский С.А. Бизнес-план в стиле Russian. М.: Ось-89, 2008, с.197 12. Горемыкин В.А. Энциклопедия бизнес-планов: Методика разработки. М.: Ось-89, 2009, с.325 13. Гуськов С.В. Организация предпринимательской деятельности. М.: Март, 2007, с.452 14. Дашков Л.П., Памбухчиянц В.К. Организация технология и проектирование торговых предприятий. М.: Дашков и К, 2008, с.246 15. Дашков Л.П., Памбухчиянц В.К., Памбухчиянц О. В. Организация и правовое обеспечение бизнеса в России: коммерция и технология торговли. М.: Дашков и К, 2009, с.565 16. Джанкубова Т.Н. Бизнес-план. Расчеты по шагам. М.: Финансы и статистика, 2009, с.139 17. Зелль А. Бизнес-план: инвестиции и финансирование, планирование и оценка проектов. М.: Ось-89, 2007, с.375 18. Иванов Г, Брагин Л., Стукалова И. Организация коммерческой деятельности. М.: Академия, 2008, с.412 19. Киселева Е.Н., Буданова О.Г. Организация коммерческой деятельности по отраслям и сферам применения. М.: Вузовский учебник, 2009, с.569 20. Котляров И.Д. Планирование на предприятии. М.: ,Эксмо, 2009, с.516 21. Крутик А.Б. Основы предпринимательской деятельности. М.: Академия, 2008, с.478 22. Лапыгин Ю.Н., Лапыгин Д.Ю. Бизнес-план. Стратегии и тактика развития компании. М.: Омега-Л, 2009, с.423 23. Леонов В. Создание бизнес-плана на компьютере. М.: Эксмо, 2009, с.174 24. Ляпунов С.И., Попов В.М. Финансовый бизнес-план. М.: Финансы и статистика, 2008, с.315 25. Макарьева В.И., Андреева Л.В. Анализ финансово-хозяйственной деятельности организации. М.: Финансы и статистика, 2008, с.389 26. Орлова Е.Р. Бизнес-план: методика составления и анализ типовых ошибок. М.: Омега-Л, 2009, с.425 27. Памбухчиянц О.В. Организация и технология коммерческой деятельности. М.: Дашков и К, 2009, с.329 28. Панкратов Ф.Г. Коммерческая деятельность. М.: Феникс, 2008, с.519 29. Патсула Питер Дж. Бизнес-план за 30 дней. Пошаговое руководство по успешному бизнес-планированию и началу собственного дела. М.: Эксмо, 2008, с.244 30. Пейли Н. Успешный бизнес-план. От стратегических целей к плану действий на один год. М.: Эксмо, 2008, с.268 31. Пелих А.С. Бизнес-план, или Как организовать собственный бизнес. М.: Ось-89, 2008, с.346 32. Петров К.Н. Как разработать бизнес-план. М.: Вильямс, 2008, с.396 33. Петухова С.В. Бизнес-планирование: как обосновать и реализовать бизнес-проект. М.: Омега-Л, 2008, с.409 34. Половцева Ф.П. Коммерческая деятельность. М.: Инфра-М, 2008, с.548 35. Савельева Н.А., Бринк И.Ю. Бизнес-план предприятия. Теория и практика. М.: Феникс, 2007, с.260 36. Соколов А.А. Учет по сегментам деятельности коммерческой организации: формирование и анализ. М.: Финансы и статистика, 2008, с.455 37. Станиславчик Е.Н. Бизнес-план. Управление инвестиционными проектами. М.: Ось-89, 2009, с.318 38. Тиффани П., Питерсон С.Д. Бизнес-планы для «чайников». М.: Вильямс, 2008, с.370 39. Ушаков И.И. Бизнес-план. СПб.: Питер, 2008, с.448 40. Федотова Н.В. Финансовый менеджмент. М.: Финансы и статистика, 2009, с.522 41. Цвиркун А.Д., Акинфеев В.К. Бизнес-план. Анализ инвестиций. Методы и инструментальные средства. М.: Ось-89, 2009, с.484 42. Шаш Н.Н. Бизнес-план предприятия. Практические рекомендации по разработке. М.: ГроссМедиа, 2009, с.364 43. Шевчук Д.А. Как составить бизнес-план: первый шаг к своему бизнесу. М.: АСТ, 2008, с.186 ПРИЛОЖЕНИЯ Приложение 1 Типы мебели
Приложение 2
Приложение 3
Приложение 4 Предпочтения покупателей мебели
Приложение 5 Степень важности сервисного обслуживания
Приложение 6 Значение способа оплаты покупки
Приложение 7 Матрица SWOT-анализа ООО «Сентябрь»
Приложение 8
Приложение 9 Ссудная задолженность ООО «Сентябрь»
Организационная структура ООО «Сентябрь» |
||||||||||||||||||||||||||||||||||||||||||||||||||||||||||||||||||||||||||||||||||||||||||||||||||||||||||||||||||||||||||||||||||||||||||||||||||||||||||||||||||||||||||||||||||||||||||||||||||||||||||||||||||||||||||||||||||||||||||||||||||||||||||||||||||||||||||||||||||||||||||||||||||||||||||||||||||||||||||||||||||||||||||||||||||||||||||||||||||||||||||||||||||||||||||||||||||||||||||||||||||||||||||||||||||||||||||||||||||||||||||||||||||||||||||||||||||||||||||||||||||||||||||||||||||||||||||||||||||||||||||||||||||||||||||||||||||||||||||||||||||||||||||||||||||||||||||||||||||||||||||||||||||||||||||||||||||||||||||||||||||||||||||||||||||||||||||||||||||||||||||||||||||||||||||||||||||||||||||||||||||||||||||||||||||||||||||||||||||||||||||||||||||||||||||||||||||||||||||||||||||||||||||||||||||||||||||||||||||||||||||||||||||||||||||||||||||||||||||||||||||||||||||||||||

Рисунок 2. Распределение выборки по социально-профессиональному статусу






