Реферат: Тенденции в рядах динамики

Название: Тенденции в рядах динамики
Раздел: Рефераты по маркетингу
Тип: реферат

Введение

Объектом исследования данной работы являются тенденции ряда динамики и основные методы ее выявления.

Целью написания данного реферата является изучение методов выявления основной тенденции (тренда) в рядах динамики.

Данная работа выполнена в связи с изучением курса статистики.

Глава 1

Важное место в статистике занимает описание изменений показателей во времени или динамике. Ряд динамики образуется в результате сводки и обработки показателей периодического статистического наблюдения.

Ряд динамики - это числовые значения статистических показателей, изменяющихся во времени и расположенных в хронологической последовательности.

Одна из важнейших задач статистики- определение в рядах динамики общей тенденции развития.

Основной тенденцией развития называется плавное и устойчивое изменение уровня во времени, свободное от случайных колебаний. Задача состоит в выявлении общей тенденции в изменении уровней ряда, освобожденной от действия различных факторов.

Изучение тренда включает два основных этапа:

· ряд динамики проверяется на наличие тренда;

· производится выравнивание временного ряда и непосредственно выделение тренда с экстраполяцией полученных результатов.

С этой целью ряды динамики подвергаются обработке следующими методами:

1. Метод сглаживания путем укрупнения интервалов во времени.

2. Выравнивание рядов динамики методом скользящей средней.

3. Метод аналитичного выравнивания.

I метод . Первоначальный ряд динамики преобразуется и заменяется другим рядом, в котором показатели относятся к большим по продолжительности периодам времени, т.е. интервал укрупнен. Этот прием используется только для интервальных рядов динамики. Укрупнение производится до тех пор, пока не будет выявлена четкая тенденция развития явления, а уровни ряда охватывать большие периоды времени. Посмотрим на примере: имеются данные о производстве обуви за ряд лет (табл. 5.8), выявить тенденцию роста или снижения производства обуви методом укрепнения интервалов.

Таблица 5.8

Данные о производстве обуви

Годы Производство обуви, млн. пар.
1995 680
1996 683
1997 550
1998 670
1999 685
2000 690

В данном РД нечетко обозначена тенденция выпуска обуви.

Для выявления тенденции укрупним интервалы до 3-х лет и рассчитаем общий и средний выпуск обуви, используя среднюю арифметическую .

Таблица 5.9

Укрупненный ряд динамики

Годы Производство обуви
Всего Среднегодовое

1995–1997

1997–2000

1913

2045

637,6

681,6

В этом ряду четко прослеживается тенденция роста выпуска обуви.

Недостатки:

При его использовании не прослеживается процесс изменения явления внутри укрупненных интервалов.

II метод. Метод скользящей средней заключается в следующем: формируются укрупненные интервалы, состоящие из одинакового числа уровней. Каждый последующий интервал получаем, постепенно сдвигаясь от начального уровня ряда на один уровень. По укрупненным интервалам определяем среднюю из уровней, входящих в каждый интервал.

Известны следующие данные о рабочих днях и производстве продукции (табл. 5.10).

Для четкого проявления тенденции производства продукции необходимо укрупнить ряды динамики с интервалом в пять дней. Рассчитаем скользящую среднюю с интервалом в пять дней. Решение в табл. 5.10.

Таблица 5.10

Ряд динамики

Рабочие
дни
Произведено продукции, в тыс. руб. Скользящая производства,
продукции (интервал 5 дн.)
Скользящая средняя из 5 уровней
1
2
3
4
5
6
7
8
9
10
11
12
37
42
33
45
58
55
56
70
69
74
71
86
37+42+33+45+58=215
42+33+45+58+55=233
247
284
308
324
339
340
370
215: 5=43,0
233: 5=46,6
49,4
56,8
61,6
67,8
68
74

Получили новый РД, где четко прослеживается тенденция роста производства продукции.

Недостатки:

1. Невозможность получения всех уровней для сглаженного ряда. Число уровней в сглаженном РД меньше, чем в исходном, на (к – 1), где к – число периодов в укрупненном интервале (5 – 1) = 4, т. е. на 4.

2. Произвольность выбора интервала для определения скользящей средней.

III метод . Аналитическое выравнивание. При исчислении этого метода фактические уровни РД заменяются теоретическими, вычисленными на основе уравнения определенной кривой, отражающей общую тенденцию развития явления.

Тенденцию развития социально-экономических явлений обычно изображают кривой, параболой, гиперболой и прямой линией.

Если РД выравнивают по прямой, то уравнение прямой имеет следующий вид:

,

где у – фактические уровни;

уt – теоретическое значение уровня;

t – периоды времени – фактор времени.

«а» и «в» – параметры уравнения.

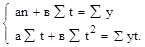
Так как «t» известно, то для нахождения «уt» необходимо определить параметры «а» и «в». Их находят способом отклонений наименьших квадратов, смысл которых заключается в следующем. Исчисленные теоретические уровни должны быть максимально близки к фактическим уровням, т.е. S квадратов отклонений теоретических уровней от фактических должно быть

Этому требованию удовлетворяет следующая система нормальных уравнений:

n – количество уровней РД.

Эту систему уровней можно упростить, если взять t (период времени) таким, чтобы сумма периодов равнялась нулю: Σt = 0.

Для этого необходимо периоды РД пронумеровать так, чтобы перенести в середину ряда начало отчета времени. В РД с нечетным числом периодов времени нумерация начинается с середины ряда и с нуля «0», а с четным числом периодов с «-1» и «+1». Тогда уравнения примут следующий вид:

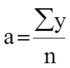
an = Σу, отсюда получим «а» ; .

Пример: по следующим данным провести анализ основной тенденции развития явления.

Таблица 5.11

Годы Объем т/оборота,
млн. руб. (у)
t yt t2 yt Значение
теоретических уравнений
1995
1996
1997
1998
1999
2000
2001
480
500
540
570
580
590
610
-3
-2
-1
0
1
2
3
-1440
-1000
-540
0
580
1180
1830
9
4
1
0
1
4
9
487,4
509,2
531,0
552,8
574,6
596,4
618,2
552,8 + 21,8 × (-3) = 487,4
552,8 + 21,8 × (-2) = 509,2
552,8 + 21,8 × (-1) = 531,0
552,8 + 21,8 × 0 = 552,8
Σ 610 28 Σуi =3869,6

Итого: у = 3820.

Решение задачи рассмотрим подробно:

1. Находим значение «а».

Σу = an .

2. Для нахождения «в»:

2.1. Находим середину интервального ряда и нумеруем периоды, определяем, начиная с «0» графа 3: в = Σуt: Σуt2 .

2.2. Определяем произведение уt и Σyt = 610.

2.3. Затем t2 , отсюда в = 610: 28 = 21,8.

Теперь по уравнению определяем теоретические уровни (уt ):

552,8 + =487,4.

упракт. = 3870 ; уt = 3869,6 расхож. мin.

Суммы теоретических и фактических уровней равны, т.е. уравнения прямой, выбранные (точно) для аналитического выравнивания, в полной степени выражают тенденцию развития изучаемого явления.

Параметры искомых уровней при аналитическом выравнивании могут быть определены по-разному. Чаще всего их определяют, решая систему нормальных уровней, полученных методом наименьших квадратов.

Аналитическое выравнивание позволяет не только определить общую тенденцию изменения явления в изучаемый период времени, но и произвести расчеты недостающих уровней рядов динамики.

Выводы:

1. Изучены тенденции ряда динамики и основные методы ее выявления.

2. Рассмотрен пример, в ходе расчета которого было получено, что суммы теоретических и фактических уровней равны, т.е. уравнения прямой, выбранные (точно) для аналитического выравнивания, в полной степени выражают тенденцию развития изучаемого явления.

В заключении необходимо отметить, что выполнив данную работу, я закрепила теоретические знания, полученные мною в процессе изучения данного курса, а так же получила навыки самостоятельного решения конкретных вопросов.

МИНИСТЕРСТВО СЕЛЬСКОГО ХОЗЯЙСТВА И ПРОДОВОЛЬСТВИЯ РЕСПУБЛИКИ БЕЛАРУСЬ

БЕЛОРУССКИЙ ГОСУДАРСТВЕННЫЙ АГРАРНЫЙ ТЕХНИЧЕСКИЙ УНИВЕРСИТЕТ

РЕФЕРАТ ПО КУРСУ «СТАТИСТИКА»

« ПОНЯТИЯ ТЕНДЕНЦИИ РЯДА ДИНАМИКИ И ОСНОВНЫЕ МЕТОДЫ ЕЕ ВЫЯВЛЕНИЯ»

Студентки 2-го курса, 68 им группы

Тишкевич Татьяны Юрьевны

2010

СОДЕРЖАНИЕ

1. Введение

2. Глава 1 (основные определения, термины понятия)

3. Пример

4. Вывод

Список использованной литературы:

1. Ефимова М.Р., Петрова Е.В. Общая теория статистики: учебник. 2004г.

2. Сергеева И.И., Тимофеева С.А., Чекулина Т.А. Статистика: учебник. 2008г.

3. Шмойлова Р. А. Теория статистики: учебник. 2002г.