Реферат: Принцип Максимума Понтрягина
|
Название: Принцип Максимума Понтрягина Раздел: Остальные рефераты Тип: реферат |
| Постановка задачи оптимального управления. Состояние объекта управления характеризуется n -мерной вектор функцией, например, функцией времени Так, шестимерная вектор-функция времени полностью определяет положение самолета как твердого тела в пространстве. Три координаты определяют положение центра масс, а три - вращение вокруг центра масс. От управляющего органа к объекту управления поступает вектор-функция И так, пусть движение управляемого объекта описывается системой дифференциальных уравнений
где В уравнении (1.1) векторы
где U(t) - заданное множество в
Поскольку при разрывных правых частях классическое понятие решения системы дифференциальных уравнений неприменимо, поясним, что понимается в данном случае под решением задачи (1.3). Для этого поступим следующим образом. Пусть функция и имеет скачки в точках
Предполагая, что она имеет решение на отрезке [
Если функцию х
удалось определить указанным способом на всем отрезке [to. Т], то будем называть ее решением задачи (1.3) или фазовой траекторией
(иногда просто траекторией), соответствующей управлению и.
Отметим, что x - непрерывная по построению функция, удовлетворяющая на отрезке
При выполнении определенных условий на f
решение задачи (1.3), соответствующее управлению и, существует и единственно при произвольном начальном положении Помимо ограничения на управление могут существовать ограничения и на фазовые координаты
Ограничения на концах траектории целесообразно рассматривать отдельно:
Таким образом, начальный и конечный моменты времени не обязательно фиксированы. Случаю фиксированных to, Т соответствуют множества Если So (to) = { Цель управления в задаче оптимального управления состоит в минимизации некоторого функционала на множестве допустимых наборов. Если каждой функции y=f(x) определенного класса ставится в соответствии по некоторому закону определенное числовое значение переменной I, то эту переменную называют функционалом от одной функциональной переменной I=I[y]=I[y(x)]=I[f(x)]. Наиболее часто под задачами управления понимаются задачи, в которых роль функционала выполняет интегральный функционал
Мы будем рассматривать задачу с целевым функционалом
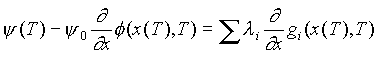
представляющим собой сумму интегрального
функционала и терминального функционала Ф(х(Т), Т).
Эта задача называется задачей Больца
. Ее частными случаями являются задача с интегральным функционалом, называемая задачей Лагранжа,
и задача с терминальным функционалом, называемая задачей Майера.
Задача с интегральным функционалом при Набор (to,
Т, х Принцип максимума Понтрягина. Эффективным средством исследования задач оптимального управления является принцип максимума Понтрягина, представляющий собой необходимое условие оптимальности в таких задачах. Формулировка принципа максимума. Рассмотрим задачу оптимального управления, являющуюся частным случаем задачи, сформулированной выше
При этом предполагается, что моменты to, Т фиксированы, т. е. рассматривается задача с закрепленным временем; множество U не зависит от времени, фазовые ограничения отсутствуют. Положим
где Функция Н
называется функцией Гамильтона.
>В более подробной покоординатной записи сопряженная система принимает вид
Система (2.3) имеет при любых начальных условиях единственное решение Следующая теорема выражает необходимые условия оптимальности в задаче (2.1). Теорема (принцип максимума Понтрягина). Пусть функции | а)
(условие максимума) при каждом t H(x(t), u(t), б)
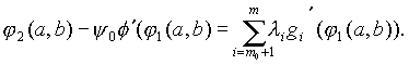
(условие трансверсальности на левом конце траектории) существуют числа
в)
(условие трансверсальности на правом конце траектории) существуют числа
Центральным в теореме является условие максимума -(2.4).
и добавить еще одно условие трансверсальности на правом конце траектории:
Примеры применения принципа максимума. 1. Простейшая задача оптимального быстродействия. Пусть точка движется по прямой в соответствии с законом
где х - координата. Требуется найти управление и, переводящее точку из начального положения в начало координат за минимальное время Т (задача оптимального быстродействия). При этом скорость точки в конце траектории должна быть нулевой, а управление - удовлетворять условию
Применим к сформулированной задаче принцип максимума Понтрягина . Введем фазовые переменные
Начальное положение
при t0 =0 и конечное положение (0, 0) фиксированы, а конечный момент времени Т не фиксирован. В обозначениях п.п. 1, 2 в данной задаче U ==[- 1, 1], f0 =1, Ф=0, а функция Гамильтона имеет вид
Общее решение сопряженной системы
легко выписывается в явном виде где С, в - постоянные. Очевидно, что максимум функции Н
по и
Таким образом, оптимальное управление и может принимать лишь два значения + 1 . 2 .Определить управление u(t) , которое дает минимум интегралу
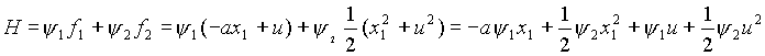
Для этой переменной имеем дифференциальное уравнение с начальными условиями, получаемыми из (2), т.е. х2 (0)=0. Минимизирующий функционал, используя (2), можно записать в виде I[T]=x2(T). Построим функцию Гамильтона
Запишем сопряженную систему Запишем Y1 (Т)=0 (т.к. с1=0) Y2 (Т)=-1 Из По принципу максимума функция Н при фиксированных х1
и Y1
достигает максимума по u : Осталось решить систему уравнений (2) и (3) при условии
Сведем данную систему к одному уравнению относительно U.
Добавим к этому уравнению граничные условия
Найдем С1
и С2. Используя граничные условия найдем С2
Таким образом, определено оптимальное решение
Примеры применения принципа максимума. 1. Простейшая задача оптимального быстродействия. Пусть точка движется по прямой в соответствии с законом
где х - координата. Требуется найти управление и, переводящее точку из начального положения в начало координат за минимальное время Т (задача оптимального быстродействия). При этом скорость точки в конце траектории должна быть нулевой, а управление - удовлетворять условию
Применим к сформулированной задаче принцип максимума Понтрягина . Введем фазовые переменные
Начальное положение
при t0 =0 и конечное положение (0, 0) фиксированы, а конечный момент времени Т не фиксирован. В обозначениях п.п. 1, 2 в данной задаче U ==[- 1, 1], f0 =1, Ф=0, а функция Гамильтона имеет вид
Общее решение сопряженной системы
легко выписывается в явном виде где С, в - постоянные. Очевидно, что максимум функции Н
по и
Таким образом, оптимальное управление и может принимать лишь два значения + 1 . 2 .Определить управление u(t) , которое дает минимум интегралу
Для этой переменной имеем дифференциальное уравнение с начальными условиями, получаемыми из (2), т.е. х2 (0)=0. Минимизирующий функционал, используя (2), можно записать в виде I[T]=x2(T). Построим функцию Гамильтона
Запишем сопряженную систему Запишем Y1 (Т)=0 (т.к. с1=0) Y2 (Т)=-1 Из По принципу максимума функция Н при фиксированных х1
и Y1
достигает максимума по u : Осталось решить систему уравнений (2) и (3) при условии
Сведем данную систему к одному уравнению относительно U.
Добавим к этому уравнению граничные условия
Найдем С1
и С2. Используя граничные условия найдем С2
Таким образом, определено оптимальное решение
О методах решения задач оптимального управления Убедимся вначале, что необходимые условия оптимальности в форме принципа максимума дают, вообще говоря, достаточную информацию для решения задачи оптимального управления (2.1), (2.2). Условие максимума (2.4) позволяет, в принципе, найти управление и
как функцию параметров х, t,
Рассмотрим систему дифференциальных уравнений
объединяющюю систему уравнений движения объекта и сопряженную систему. Как известно, общее решение системы (2.8), состоящей из 2n обыкновенных дифференциальных уравнений первого порядка, зависит от 2п
параметров. Кроме того, система необходимых условий оптимальности содержит т
параметров Для их определения мы имеем 2п условий (2.5), (2.6) и т условий (2.2). Еще одно условие определяется из следующих соображений. Легко понять, что, в силу линейности функции Н
по переменным принцип максимума Понтрягина определяет вектор ( Таким образом, общее число условий равно 2n+m+1 и совпадает с числом неизвестных параметров, что, в принципе, позволяет определить эти параметры. Изложенные соображения дают возможность в простейших случаях решить задачу оптимального управления в явном виде. Опишем численный метод, основанный на тех же соображениях. Для этого рассмотрим краевую задачу для системы дифференциальных уравнений (2.8) с краевыми условиями (2.5), (2.6), а также выписанными на основе (2.2) краевыми условиями
Эта задача называется краевой задачей принципа максимума. Задав произвольные начальные условия Значения х
(Г),
Эта система содержит 2п+т
неизвестных а, Ь, Отметим, что вычисление значений При реализации на ЭВМ методов решения задач оптимального управления, основанных на необходимых условиях экстремума, могут встретиться также значительные трудности, вызванные некорректностью постановки исходной и вспомогательных задач и некоторыми особенностями краевой задачи принципа максимума. Это приводит к необходимости применения методов регуляризации, учета специфики конкретной решаемой задачи, ее физического смысла и т. п. Другие численные методы, не связанные непосредственно с принципом максимума, основаны на редукции исходной задачи к некоторой конечномерной задаче математического программирования. Их называют иногда прямыми методами (впрочем, разделение вычислительных методов на прямые и непрямые довольно условно). Конечномерные аналоги задач оптимального управления имеют особенности, позволяющие эффективно применять некоторые методы нелинейного, динамического программирования и т. д]. Продемонстрируем пример такого подхода. Рассмотрим следующую задачу оптимального управления
где моменты времени Зафиксируем моменты времени
Положив
Мы получили задачу математического программирования с переменными Задав начальное состояние х0
и управление (u0
, u1
, ..., uN-1
), по формулам Для решения задачи (2.11) часто применяют метод динамического программирования. В данном случае этот метод выглядит следующим образом. Ввелем функцию где минимум берется по таким Положив Действительно, пусть
При численной реализации данного метода задаются сеточные аппроксимации множеств Далее по формулам (2.12) вычисляются значения
Заключение: Отметим, что дискретные задачи оптимального управления встречаются на практике ( например, при описании импульсных систем) и потому представляют интерес не только как конечноразностные аналоги непрерывных задач. Задачи оптимизации управляемых процессов, или как они будут в дальнейшем называться, задачи оптимального управления, составляют один из широких классов экстремальных задач и имеют важное прикладное значение. Структурная схема задачи управления состоит из двух звеньев: управляющего органа и объекта управления . В качестве объекта управления может служить, например, космический эксперимент, экономика отрасли промышленности, система машин, семейный бюджет и т. д. Управляющее звено со времени возникновения задач управления претерпело эволюции от простейшего регулятора до современной ЭВМ. Кыргызско - Российская Академия образования ДокладПо дисциплине: ТУТС
Тема: Принцип максимума Понтрягина.
Выполнил: Бахарев Д. В.ИВТ-1-98. Проверила: Жданова С. В.г. Бишкек 2001 |


(1.6)
(2.1)
,
.
, (2.3)
(2.5)
(2.6)


, в процессе, описываемом уравнением
(1).
(2)
(
(3)
поэтому Y2
(е)=-1. Теперь функция Гамильтона запишется в виде H=-aY1x1+
Y1u-0,5x1
2
-0,5u
2
.
,
, откуда
с граничными условиями 





(2.8) 




(2.11) 
где минимум берется по таким
(2.12)