Реферат: Хозяйственная деятельность ООО Рубин и неиспользованные резервы
|
Название: Хозяйственная деятельность ООО Рубин и неиспользованные резервы Раздел: Рефераты по бухгалтерскому учету и аудиту Тип: реферат | |||||||||||||||||||||||||||||||||||||||||||||||||||||||||||||||||||||||||||||||||||||||||||||||||||||||||||||||||||||||||||||||||||||||||||||||||||||||||||||||||||||||||||||||||||||||||||||||||||||||||||||||||||||||||||||||||||||||||||||||||||||||||||||||||||||||||||||||||||||||||||||||||||||||||||||||||||||||||||||||||||||||||||||||||||||||||||||||||||||||||||||||||||||||||||||||||||||||||||||||||||||||||||||||||||||||||||||||||||||||||||||||||||||||||||||||||||||||||||||||||||||||||||||||||||||||||||||||||||||||||||||||||||||||||||||||||||||||||||||||||||||||||||||||||||||||||||||||||||||||||||||||||||||||||||||||||||||||||||||||||||||||||||||||||||||||||||||||||||||||||||||||||||||||||||||||||||||||||||||||||||||||||||||||||||||||||||||||||||||||||||||||||||||||||||||||||||||||||||||||||||||||||||||||||||||||||||||||||||||||||||||||||||||||||||||||||||||||||||||||||||||||||||||||||||||||||||||||||||||||||||||||||||||||||||||||||||||||||||||||||||||||||||||||||||||||||||||||||||||||
Содержание Введение.............. …………………………………………………………………………...3 1. Анализ ресурсного потенциала организации............... ………………………………4 2. Анализ производства и объема продаж........... ……………………………………...14 3. Анализ затрат и себестоимости продукции............. …………………………………21 4. Анализ финансовых результатов деятельности организации.... ……………...31 5. Анализ финансового положения организации............ ……………………………...40 6. Комплексная оценка деятельности организации............. …………………………...60 Заключение………………………………………………………………………65 Список использованной литературы................ …………………………………………67 Приложение………………………………………………………………………69 Введение Управление предприятием требует точного знания, как этот объект существовал и развивался в предыдущем периоде и каково сегодняшнее состояние финансово-хозяйственной деятельности. Наличие полной и достоверной информации о деятельности предприятия в прошлом, о сложившихся тенденциях его функционирования и развития позволяет принять обоснованное решение об улучшении показателей финансово-хозяйственной деятельности, обосновать программы развития и бизнес-планы. При этом важнейшую роль в принятии правильного управленческого решения играет комплексный экономический анализ, который и помогает выбрать оптимальный альтернативный вариант. Именно этим обусловлена актуальность этой курсовой работы. Цель выполнения курсовой работы – изучить хозяйственную деятельность ООО «Рубин» и выявить неиспользованные резервы. Задачи, решение которых приводят к достижению цели курсовой работы, ставились следующие: 1) анализ ресурсного потенциала организации; 2) анализ производства и объема продаж; 3) анализ затрат и себестоимости продукции; 4) анализ финансовых результатов деятельности ООО «Рубин»; 5) анализ финансового положения организации; 6) комплексная оценка хозяйственной деятельности ООО «Рубин». Объектом исследования в данной курсовой работе выступает условно промышленная организация ООО «Рубин». Предметом исследования является комплексный экономический анализ хозяйственной деятельности. В данной курсовой работе предлагается методика комплексной сравнительной рейтинговой оценки финансового состояния и деловой активности предприятия, основанная на теории и методике комплексного экономического анализа предприятия в условиях рыночных отношений, проводимая с использованием показателей, рассчитанных на основе данных бухгалтерской финансовой отчетности. Составными этапами методики комплексной сравнительной рейтинговой оценки финансового состояния предприятия являются: сбор, и аналитическая обработка исходной информации за оцениваемый период времени; обоснование системы показателей, используемых для рейтинговой оценки финансового состояния предприятия, и их классификация, расчет итогового показателя рейтинговой оценки; классификация (ранжирование) предприятии по рейтингу. Итоговая рейтинговая оценка учитывает все важнейшие параметры (показатели) финансовой и производственной деятельности предприятия, т.е. хозяйственной деятельности в целом. При ее построении используются данные о производственном потенциале предприятия, рентабельности его продукции и эффективности использования производственных и финансовых ресурсов, состоянии и размещении средств, их источниках и другие показатели. Глава 1. Анализ ресурсного потенциала организации Основой экономического потенциала является ресурсный потенциал хозяйствующего субъекта и отражает потенциальные возможности предприятия. Как экономическая категория ресурсный потенциал выражает отношения между людьми по поводу аккумуляции и использования имеющихся возможностей. Сущность ресурсного потенциала заключается во взаимодействии всех его составляющих элементов. Ресурсный потенциал, прежде всего, представляет собой не простую сумму, а систему ресурсов, используемых комплексно, т. е. предусматривает обязательную взаимодополняемость отдельных ресурсов в процессе общественного производства. Увеличение в системе одного какого-либо ресурса предполагает одновременное увеличение количества другого ресурса. Важной отличительной особенностью категории ресурсного потенциала является то, что она предусматривает возможность взаимозаменяемости ресурсов, используемых в общественном производстве. Характеризуя ресурсный потенциал, следует учитывать, что в его состав входят не только ресурсы, предназначенные к потреблению в рассматриваемом периоде, но и их страховые и другие запасы. Следовательно, ресурсный потенциал определяет потенциальную (а не только реальную) возможность их потребления в процессе общественного производства. Ресурсный потенциал характеризует не весь запас данного ресурса, имеющегося в организации, а только ту его часть, которую можно получить с учетом достигнутого уровня технологического развития общества и экономической целесообразности вовлечения в общественное производство. Поэтому в ресурсный потенциал включаются только такие источники ресурсов, получение которых возможно и эффективно на данном этапе развития производства. И, наконец, в ресурсный потенциал включается не только сложившаяся система ресурсов, но и альтернативные ресурсы и их источники, т. е. новые виды ресурсов, ранее не существовавшие (или не используемые), возможность использования которых научно обоснована и получение (или использование) предусмотрено в рассматриваемом периоде перспективно. Под трудовыми ресурсами организации понимают численность и состав её персонала. От обеспеченности организации трудовыми ресурсами и эффективности их использования зависят объём, качество и своевременность выполнения производственных задач, эффективность использования машин, механизмов, оборудования, которые, в свою очередь, влияют на объём производства продукции, её себестоимость, прибыль и ряд других финансово-экономических показателей. Основными показателями эффективности использования трудовых ресурсов являются показатели выработки одного рабочего и одного работника. Методика расчета выработки зависит от объема продаж и общей численности работников (рабочих) организации. Полноту использования персонала организации можно оценивать по количеству отработанных дней и часов одного работника за анализируемый период времени, а также по степени использования фонда рабочего времени. Анализ использования материальных ресурсов основан на изучении количества, структуры и особенностей применения отдельных видов материальных ресурсов (сырья, основных и вспомогательных материалов, топлива, электроэнергии) в финансово-хозяйственной деятельности предприятия. Использование материальных ресурсов зависит от объема работ и норм расхода материалов на отдельные виды данных работ. Эффективность использования материальных ресурсов характеризуется показателями материалоемкостью и материалоотдачей. Материалоемкость измеряется отношением стоимости материальных ресурсов к объему произведенной продукции (работ, услуг). Материалоотдача является показателем, обратным материалоемкости, и показывает, сколько продукции приходится на каждый рубль вложенных материальных ресурсов. При анализе эффективности на основе показателей материалоемкости и материалоотдачи необходимо вести строгий учет и контроль за расходованием материальных ресурсов и правильно определять их действительный расход в процессе финансово-хозяйственной деятельности. Главная проблема данного подхода - в достоверности и точности учета фактического расхода материальных ресурсов.[1, c.185] Важное значение, для анализа использования основных фондов имеют их первоначальная, остаточная стоимость и износ. Первоначальная стоимость основных фондов отражает их стоимость при постановке на учет. Остаточная стоимость определяется по состоянию на день анализа как разница между первоначальной стоимостью основных фондов и износом, начисленным по нормам амортизации. Для комплексной оценки использования основных фондов делается анализ структуры активов и источников баланса, а также вычисляется доля основных средств в активах, доля активной части основных средств и коэффициенты износа и годности. Финансовые ресурсы представляют денежные доходы и поступления, находящиеся в распоряжении организации и, предназначенные для выполнения финансовых обязательств перед государством, кредитной системой, поставщиками, страховыми органами, другими предприятиями и физическими лицами, работниками предприятия и осуществления затрат на развитие хозяйственной деятельности. Финансовые ресурсы направляются также на содержание и развитие объектов непроизводственной сферы, потребление, накопление, в специальные резервные фонды и др.[2,c.217] В связи с этим рассмотрим детальный анализ степени влияния всех ресурсов, которыми располагает ООО «Рубин». Задание №1 В таблице 1.1 определим степень влияния отдельных факторов, связанных с использованием трудовых ресурсов, на прирост выручки от продаж по сравнению с прошлым годом. Таблица 1.1 Анализ степени влияния на объем продаж отдельных факторов, связанных с использованием трудовых ресурсов ООО «Рубин»
Вывод: В отчетном году по сравнению с прошлым периодом произошло увеличение выручки от реализации продукции на 998 399 тыс. руб. На увеличение объема продаж оказали влияние следующие факторы: 1. увеличение численности рабочих (экстенсивный фактор), в отчетном году по сравнению с прошлым годом на 430 (9030 – 8600 = 430) человек, привело к увеличению объема продаж на 312 000 тыс. руб. или в относительном выражении 31,25% ( 312 000/ 998 399 * 100). 2. по сравнению с прошлым годом произошло уменьшение дней отработанных 1 рабочим за год: Тр.д. 0 = 2 072 600 / 8 600 = 241(день) Тр.д. 1 = 2 167 200 / 9 030 = 240 (дней) ∆ Тр.д. = Тр.д. 1 - Тр.д. 0 =240-241= - 1 (день) Увеличение целодневных простоев негативно повлияло на изменение выручки, и объем продаж сократился на 27 187,06 тыс.рублей или в относительном выражении это составило 2,72% (27 187,06 / 998 399 * 100).). 3. уменьшение продолжительности рабочего на 0,5 часа привело к значительной потере выручки. Ее объем уменьшился на 407 800,85 тыс.рублей или в относительном выражении это 40,85 % ( 407 800,85 / 998 399 * 100). Tр.д. 0 = ЧЧ0 / N0 / Тр.д. 0 = 16 580 800 / 8600 / 241 = 8 (час) tр.д. 1 = ЧЧ1 / N1 / Тр.д. 1 = 16 254 000 / 9 030 / 240 = 7,5 ( час) ∆ tр.д. = 7,5 – 8 = - 0,5 (час) 4. увеличение среднечасовой выработки (самый качественный интенсивный показатель) одного рабочего привело к значительному увеличению объема продаж в абсолютном выражении на 1 121 386,66 тыс. рублей или на 112,32 % (1 121 386,66 / 998 399 * 100) На основании проведенных расчетов можно сказать, что использование трудовых ресурсов свидетельствует об интенсивном использовании труда. Ведь значительный прирост объема продаж, достигнут за счет изменения самого качественного показателя, т.е. производительности труда (увеличение на 112,32 %). Положительно влияние на объем продаж оказало и увеличение численности рабочих ( увеличение на 31,25%). Снижение же объема продаж в текущем году произошло за счет внутрисменных простоев. Отрицательное влияние на результативный показатель оказали два экстенсивных фактора: 5. изменение фактора «число дней отработанных 1 рабочим» в текущем периоде уменьшило объем продаж на 2,72 % 6. изменение фактора «продолжительность рабочего дня» в текущем периоде уменьшило объем продаж на 40,85 % Т.о. можно отметить возможность предприятия увеличить продажи за счет ликвидации внутрисменных потерь рабочего времени. За счет интенсификации труда можно значительно увеличить прирост на 407 800,85 тыс.рублей или это составляет 40,85 %. В будущем периоде ООО «Рубин» необходимо предусмотреть мероприятия по снижению потерь рабочего времени. Выявленный резерв, т.е. резерв роста объема продаж – это резерв, который в наибольшей степени повлиял на уменьшение результативного показателя. Величина резерва ООО «Рубин» составляет 434 987, 91 тыс. руб. Данный резерв можно учитывать при определении комплектного резерва увеличения объема продаж. Задание №2 Определим степень влияния на объем продаж отдельных факторов, связанных с использованием материалов, результаты представим в виде таблицы 1.2. Таблица 1.2 Анализ степени влияния на объем продаж отдельных факторов, связанных с использованием материалов ООО «Рубин»
1. Объем материальных затрат, влияющих на выпуск продукции, формируется под влиянием интенсивных и экстенсивных факторов. К экстенсивным факторам относится количество используемых материалов, а к интенсивным – материалоотдача. 2. Рассчитаем коэффициент материалоотдачи (результаты расчетов представлены в таблице № 2): Мо = V : Мз , тогда Мо0 = 6 240 000 / 3 566 212 = 1,74975 Мо1 = 7 238 399 / 4 211 690 = 1,71864 ∆Мо = 1,71864 – 1,74975 = -0,0311 3. Для оценки влияния факторов на изменение объемов производства продаж проведем анализ влияния факторов, связанных с использованием материалов (результаты расчетов представлены в таблице № 2). Для анализа воспользуемся методом цепных подстановок. 3.1. Взаимосвязь между экстенсивными и интенсивными факторами определим с помощью тождества:
где МЗ – расход материала, V – объемы продаж, МО – материалоотдача 3.2. Составим двухфакторную мультипликативную модель и определим базисное значение результативного показателя: V = МЗ * Мо V0 = Мз0 * Мо0 = 3 566 212 * 1,74975 = 6 239 979,45 тыс.руб. 3.3. Определим изменение выручки от продаж: ∆ N = N 1 – N 0 = 7 238 399 – 6 240 000 = 998 399 тыс. руб. 3.4. Определим влияние изменения экстенсивного показателя « изменение стоимости материалов в себестоимости продаж» на изменение выручки от продаж: V(M з ) = Мз1 *Мо0 = 4 211 690 *1,74975 = 7 369 404,58 тыс. руб. ∆V(M з ) = V(M з ) – V0 = 7 369 404,58 - 6 239 979,45 = 1 129 425,13 тыс.руб. 3.5. Определим влияние изменения материалоотдачи на изменение объема выручки от продаж: V(Мо ) = Мз1 *Мо1 = 4 211 690 * 1,71864 = 7 238 378,90 тыс.руб. ∆V(Мо ) = Мз1 *Мо1 – ∆ V ( M з) = 7 238 378,90 – 7 369 404,58 = -131 025,68 тыс. руб. 3.6. Составим баланс отклонений: ∆ V = ∆ V (Мз) + ∆ V (Мо) 998 399 = 1 129 425 - 131 026 = 998 399 Вывод: Исходя из проведенных расчетов в таб. 1.2 можно сделать вывод о том, что совместное влияние экстенсивных и интенсивных факторов использования материалов составило 998 399 тыс.руб., что соответствует общему изменению объема продаж. На изменение оказали влияние следующие факторы: -увеличение стоимости материальных затрат в общей себестоимости продукции (экстенсивный фактор) и это составило 1 129 425 тыс.руб. или 113 % (1 129 425/ 998 399) и это привело к увеличению объема продаж на 1 129 425 тыс.руб. Определим эффективность использования материальных затрат путем расчета относительной экономии перерасхода: ± ЭМ = МЗ 1 - МЗ 0 * Кv , где Кv – коэффициент роста объема продаж Кv = V1 / V0 = 7 238 399 / 6 240 000 = 1,16 ЭМ = 4 211 690 - 3 566 212 * 1,16 = 74 884,08 тыс.руб. Темп прироста стоимости материалов составляет 18% (645 478 / 3 566 212 * 100). В то время как объем продаж увеличился на 16%, увеличение стоимости материальных затрат в себестоимости продаж увеличилось на 18%, в результате чего произошел относительные перерасход материала на 74 884,08 тыс.руб. -отрицательное влияние оказало снижение материалоотдачи проданной продукции на 131 026 тыс. руб. В относительном выражении это - 13 %. Снижение материалоотдачи связано не только с ухудшением их использования, но так же с ростом цен на сырье и материалы. Увеличение стоимости материальных затрат отрицательно отражается на себестоимости продукции и сокращает возможности ее выпуска. В то же время увеличение стоимости материальных затрат не свидетельствует о перерасходе материальных затрат в натуральном выражении, что требует дополнительного анализа расхода материальных затрат при проведении анализа затрат и себестоимости продукции. Величина резерва ООО «Рубин» составляет 131 026 тыс.руб. Данный резерв можно учитывать при определении комплектного резерва увеличения объема продаж. . Задание №3 Определить степень влияния отдельных факторов, связанных с использованием основных средств, на объем продаж, а также резерв роста объема продаж за счет ликвидации отрицательно повлиявших факторов. Полученные результаты обобщить в Таблице 1.3. Таблица 1.3 Анализ степени влияния на объем продаж отдельных факторов, связанных с использованием основных средств ООО «Рубин»
1. Основные средства создают условия или непосредственно участвуют в процессе создания продукции. Увеличение их количества, позволяет выпускать продукцию в большем объеме. Такое развитие производства называется экстенсивным. Основными показателями интенсивности использования производственных ОС является фондоотдача. 2. Рассчитаем среднегодовую первоначальную стоимость активной части производственных основных средств (результаты расчетов представлены в таблице 3). Для расчета воспользуемся данными отчетности в форме № 5 раздел «Основные средства»: ОСпр0 = (732 505+357 290+785 016+342 396)/2 = 1 108 603,5 тыс. руб.; ОСпр1 =( 785 016+342 396+790 145+343 862)/2 = 1 130 709,5 тыс. руб. В отчетном году среднегодовая стоимость производственных ОС увеличилась на 22 106 тыс. руб., Из этого следует, что организация проводит работы по увеличению и обновлению производственных фондов за счет роста их активной части. 3. Рассчитаем объем продаж, приходящийся на 1тыс. руб. стоимости активной части основных средств за 1 машино-час работы оборудования, для определения часовой фондоотдачи. Воспользуемся формулой (результаты расчета представлены в таблице № 3): Вч = V / ОСпр /Ксм / Рдн /Псм Вч0 = 6 240 000 / 1 108 603,5/ 241 / 1,05 /8,0 = 0,002780 тыс. руб. Вч1 = 7 238 399 / 1 130 709,5 / 240 / 1,30 /7,5 = 0,002736 тыс. руб. 4. Для оценки влияния факторов на изменение объемов производства продаж проведем анализ влияния факторов, связанных с использованием основных средств (результаты расчета приводятся в Таблице № 3). Исходные данные берем из формы № 2, № 5 и справки № 1. Для этого воспользуемся методом «абсолютных разниц»: Составим пятифакторную мультипликативную модель и определим базисное значение результативного показателя: V = ОСакт *Рдн *Ксм *Псм *Вч Определим влияние каждого фактора на изменение объема продаж. ∆ V (ОСакт ) = ∆ОСакт *Рдн0 *Ксм0 *Псм0 *Вч0 = 22 106 * 241*1,050* 8*0,002780 = = 124 428,11 тыс. руб.. ∆ V (Рдн ) = ОСакт1 *∆Рдн *Ксм0 *Псм0 *Вч0 = 1 130 709,5 * (-1) *1,050* 8 *0,002780= = - 26 408,41 тыс.руб. ∆V(Ксм ) = ОСакт1 *Чдн1 *∆Ксм *Псм0 *Вч0 = 1 130 709,5 * 240 *0,25 * 8 *0,002780 = = 1 509 052,31тыс.руб. ∆ V (Псм ) = ОСакт1 *Чдн1 *Ксм1 *∆Псм *Вч0 = 1 130 709,5* 240 *1,3* (-0,5) *0,002780 = = - 490 442,00 тыс.руб. ∆ V (Вч ) = ОСакт1 *Чдн1 *Ксм1 *Псм 1*∆Вч = 1 130 709,5*240*1,3*7,5*(-0,000044) = = - 118 231,00 тыс.руб. Составим баланс отклонений и проверим проведенные расчеты ∆ V = ∆ V (ОСакт ) + ∆ V (Рдн ) + ∆ V (Ксм ) + ∆ V (Псм ) + ∆ V (Вч ) 998 399 = 124 428,11- 26 408,41+1 509 052,31 - 490 442,00 - 118 231 998 399 тыс.руб. = 998 399 тыс. руб. Вывод: В наибольшей степени положительное влияние на изменение выручки от продаж оказало: · увеличение коэффициента сменности на 0,25 увеличило выручку от продаж на 1 509 052,31 тыс. руб., · увеличение первоначальной стоимости активной части производственных основных средств на 22 106 руб. увеличило выручку от продаж на 124 428,11 тыс. руб. Отрицательное влияние на изменение выручки от продаж оказало: · уменьшение продолжительности смены уменьшило объем выручки от продаж на сумму 490 442 тыс.руб. · уменьшение продукции приходящийся на 1 тыс.руб. стоимости активной части основных средств за 1 машино-час работы уменьшило объем продаж на 118, 231тыс. руб. · изменение количества дней в течение которых основные средства находились в рабочем состоянии уменьшило объем продаж на сумму 26 408,11 тыс.руб. На основании проведенных расчетов и анализа можно сказать, что происходит увеличение количественных факторов и снижение качественных, что оценивается негативно. Резерв повышения эффективности использования основных средств составит - 635 101,11 тыс. руб. Задание №4 Рассмотрим комплексную оценку экстенсивности и интенсивности деятельности ООО «Рубин» в таблице 1.4. Таблица 1.4 Характеристика соотношения экстенсивности и интенсивности использования ресурсов в процессе производства ООО «Рубин»
Таблицу 4 заполняем с использованием данных таблиц 1, 2, 3. Численность рабочих, среднегодовая стоимость активной части производственных фондов, стоимость материалов являются экстенсивными факторами. По каждому из них определим темп прироста и прирост экстенсивного показателя по каждому виду ресурсов на 1% прироста объема выпуска или продаж продукции (коэффициента экстенсивности использования ресурса, в процентах).
Рассчитанный коэффициент экстенсивности по каждому виду ресурса служит базой для определения коэффициента его интенсивности, т.к. сумма коэффициентов, характеризующих деятельность в целом, всегда принимается за 100%, а зная значение одного фактора, можно всегда определить значение другого. 1. Рассчитаем темп прироста экстенсивных показателей (результаты расчетов представлены в таблице № 4): Тпр (ч ) = (9 030 / 8 600)*100 - 100 = 5 % Тпр (ОС акт ) = (1 130 709,5/1 108 603,5)*100 – 100 =1,99 % Тпр (Мз ) = (4 211 690 /3 566 212)*100 - 100 = 18,09% Тпр (V) = (7 238 399 / 6 240 000)*100 - 100 = 16 % 2. Рассчитаем прирост каждого экстенсивного ресурса на 1% прироста выручки от продаж (результаты расчетов приводятся в таблице № 4) по формуле: Кэкс. i = Тпр показателя / Тпр v Кэкс. (Ч) = 5/16 = 0,3125 или 31,25% Кэкс. ( ОС акт ) = 1,9940 /16 = 0,1248 или 12,48% Кэкс. (Мз ) = 18,0998 /16 = 1,1312 или 113,12% Рассчитанный коэффициент экстенсивности по каждому виду ресурса служит базой для определения коэффициента его интенсивности, так как сумма коэффициентов, характеризующих деятельность в целом, всегда принимается за 100%. Следовательно, зная значение одного можно определить значение другого. 3. Рассчитаем коэффициент интенсивности по каждому виду ресурса: Кинт. (Ч) = 1 – 31,25 = 68,75 % Кинт. ( ОС акт ) = 1 – 12,48 = 87,52 % Кинт. (Мз ) = 1 - 1,1312 = -13,33 % 4. Обобщенный показатель определим как усредненное значение коэффициента экстенсивности деятельности организации в целом. Комплексный показатель экстенсивности использования ресурсов рассчитаем как среднее значение соответствующих коэффициентов по каждому виду ресурса. К экс.компл. = ∑Кэкст.i/ n К экс.компл. = (0,3125 + 0,1248 + 1,1312) / 3 = 0,5228 или 52,28 % К инт.компл = 100 – 52,28 = 47,72 % Вывод: Прирост экстенсивного фактора по каждому виду ресурсов на 1 % прироста выручки от продаж продукции (коэффициент экстенсивного использования ресурсов) означает, что на каждый процент прироста продукции приходится 0,3125%прироста среднесписочной численности рабочих, а так же 0,1248% прироста стоимости активной части ОСи 1,1312% прироста стоимости материальных затрат в стоимости продукции. Расчет влияния экстенсивного и интенсивного показателей показывает, что доля влияния экстенсивного использования ресурсов составляет 52,28%, а доля интенсивного использования ресурсов - 47,72%, т.о. ООО «Рубин» неэффективно использует имеющиеся ресурсы. Экстенсивные факторы на рост объема продаж влияют сильнее, чем интенсивные. Задание №5 Таблица 1.5 представляет собой данные о комплектном резерве увеличения объёма, за счёт лучшего (интенсивного и экстенсивного) использования ресурсного потенциала организации. Гарантированный резерв увеличения объёма продаж в отчётном году по сравнению с предыдущим составил 1256704,403 тысячи рублей, поскольку эта сумма является недополученной суммой выручки от продаж в отчётном году. Таблица 1.5 Комплектный резерв увеличения объема продаж продукции за счет внутренних резервов использования ресурсов (в тыс. руб.)
Вывод: Полный комплексный резерв увеличения объема продаж можно сформировать как резерв обеспеченности в равной мере всеми видами ресурсов. Комплексный резерв представляет собой наименьшую сумму, имеющихся резервов увеличения объема производительности и продаж по каждому виду ресурса. Выявленные резервы роста объема продаж представлены в таблице № 5. Сумму резерва в размере 131 026,00 тыс.руб. можно назвать комплексной, т.к. организация располагает резервами роста выпуска продукции в этом объеме по всем видам ресурсов. 2. Анализ производства и объема продаж В условиях жесткой конкуренции практически на всех рынках вопросы реализации стоят на первом месте, а задачи производства занимают подчиненное положение. Поэтому не случайно показателям выпуска и продажи продукции уделяется особое внимание в системе комплексного экономического анализа. Производство и объем продажи товаров (выполнения работ, услуг)– это основные показатели, характеризующие деятельность организации, и анализ этих показателей имеет большое значение для оценки его деятельности как на этапе планирования производства и продаж, так и выполнения планов. По степени готовности продукция подразделяется следующим образом: · валовая продукция, т.е. продукция всех видов и качества вне зависимости от степени ее готовности. Показатель валовой продукции, характеризует общий объем производства, в том числе для внешнего оборота (продажи) и внутрипроизводственного потребления (оборота). В объем валовой продукции включают также выполненные работы промышленного характера и производственные услуги; · полуфабрикаты собственного производства, т.е. продукция, технологический процесс изготовления которой закончен в одном цехе или производстве и подлежит доработке в других цехах предприятия или за его пределами; · незавершенная продукция, т.е. незаконченная в процессе обработки продукция, находящаяся на различных стадиях производственного цикла изготовления продукции; · готовая продукция, прошедшая все стадии обработки, принятая службой технического контроля качества, упакованная к отправке, сданная на склад и снабженная сдаточной документацией; · реализованная продукция (проданный товар) – это отгруженная заказчику, принятая им и оплаченная продукция предприятия, денежные средства за которую поступили на расчетный счет поставщика.[5,c.140] Анализ производства и объема продаж начинают с изучения его динамики, расчета индексов роста и прироста. В процессе анализа фактические данные сравнивают с плановыми, с данными предшествующих периодов, при этом проводиться полный сравнительный вертикальный и горизонтальный анализ, т.е. рассчитывается процент выполнения плана, абсолютное и относительное отклонение от плановых значений или от показателей периода, принятого за базисный. От производства и объёма продажи товаров зависят финансовые результаты организации, его финансовое положение, платёжеспособность и т.д. Следовательно, анализ и корректировку плановых показателей необходимо проводить за каждый месяц, квартал, год. В производственной программе определяется объем производства товаров по номенклатуре, ассортименту и качеству в натуральном и стоимостном выражениях. Объем продаж продукции зависит не только от многих факторов, но и сам является обобщающим показателем, влияющим на величину прибыли от продаж. Необходимым условием получения прибыли является определенная степень развития производства обеспечивающая превышение выручки от реализации продукции над затратами производства и сбыта. Под доходами организации понимается приращение экономических выгод составными частями, которых является выручка от продаж, доходы от операционной деятельности и внереализационные доходы. Анализ структуры доходов имеет целью определение типа структуры динамики доходов и причин ее обусловивших.[5,c.144] К основным задачам анализа производства и продаж относятся: - оценка степени выполнения плана и динамики производства и продаж; - определение влияния факторов на изменение величины этих показателей; - выявление внутрихозяйственных резервов увеличения производства и продаж; - разработка мероприятий по освоению выявленных резервов. Полезными источниками информации для анализа являются: бизнес-план предприятия, оперативные планы-графики, данные текущего бухгалтерского и статистического учета и отчетности, журналы ордера, карточки складского учета и др. Таким образом, рассмотрим на примере ООО «Рубин» анализ производства и объема продаж продукции. Задание №1 Для начала определим влияние на прирост объема продаж изменения количества проданной продукции, ее структуры и цен в таблице 2.1 и последующих расчётах. Таблица 2.1 Информация, необходимая для определения степени влияния выручки от продаж количества, структуры и цен на проданную продукцию
Дополнительные расчеты, необходимые для анализа степени влияния указанных факторов: 1. Произведем расчет структуры проданной продукции:
2. Рассчитаем показатель выручки за отчетный год при структуре прошлого года и в ценах прошлого года: Изделие А : 24380 * 0,4434 * 250 = 2 702 500 тыс.руб. Изделие В : 24380* 0,2264 * 300 = 1 656 000 тыс.руб. Изделие С : 24380* 0,3302 * 350 = 2 817 500 тыс.руб. Итого: 7 176 000 тыс.руб . 3. Рассчитаем показатель выручки за отчетный год при ценах прошлого года:
Изделие А : 11500* 250 = 2 875 000 тыс.руб. Изделие В : 5880 * 300 = 1 764 000 тыс.руб. Изделие С : 7000 * 350 = 2 450 000 тыс.руб. Итого: 7 089 000 тыс.руб. 4. Определим влияние факторов на изменение выручки от продаж: 4.1. Определим влияние изменения количества проданной продукции на изменение объема продаж: ∆V (q) = Vq –V0 ∆V(q) = 7 176 000 – 6 240 000 = 936 000 тыс.руб. 4.2. Определим влияние структурных сдвигов на изменение выручки от продаж: ∆V(d) = Vp –Vq ∆V(d) = 7 089 000 - 7 176 000 = - 87 000 тыс.руб. 4.3. Определим влияние изменения цен на изменение выручки от продаж: ∆V(p) = V1 – Vp ∆V(p) = 7 238 399 - 7 089 000 = 149 399 тыс.руб. 4.4. Составим баланс отклонений: ∆V = ∆V(q) + ∆V(d) + ∆V(p) ∆V = 149 399 – 87 000 + 936 000 = 998 399 тыс. руб. 998 399 тыс. руб. = 998 399 тыс. руб. Вывод: Из приведенных расчетов следует, что рост выручки произошел под влиянием 2 факторов: цена проданной продукции и количество продукции. Наиболее сильное влияние на изменение выручки от продаж оказало увеличение количества проданной продукции и рост выручки составил 936 000 тыс. руб., изменение цен на проданную продукцию позволило увеличить выручку от продаж на 149 399 тыс.руб. Отрицательное влияние оказало снижение структуры - 87 000 тыс. руб., что говорит о низкой рентабельности продукции. На основе выше сказанного можно сделать вывод о том, что влияние изменения количества выпускаемой продукции на рост выручки от продаж свидетельствует о расширении бизнеса организации и наращивании объемов производства, но можно отметить недостаток внимания организации на ассортимент выпускаемой продукции. Задание №2 Используя данные о результатах маркетингового исследования спроса на изделия А, В, С, Д и Е, разработаем часть бизнес-плана по реализации продукции организации на следующий год (Таблица 2.2). Таблица 2.2 Бизнес- план ООО «Рубин»
1. Объем продаж исходя из спроса и возможности ее выпуска, который может быть включен в бизнес-план рассчитывается по формуле (расчеты представлены в таблице № 7): V пр = спрос*цена изделие А: 11 500 * 260 = 2 990 000 тыс.руб. изделие В: 5 000 * 400 = 2 000 000 тыс.руб. изделие С: 9 500 * 430 = 4 085 000 тыс.руб. изделие Д: 350 * 540 = 189 000 тыс.руб. изделие Е: -- 2. Себестоимость объема продаж продукции, включенной в бизнес-план, рассчитывается по формуле (расчеты представлены в таблице № 7): С/с = спрос* S ед изделие А: 11 500 * 240 = 2 760 000 тыс.руб. изделие В: 5 000 * 358 = 1 790 000 тыс.руб. изделие С: 9 500 * 395 = 3 752 500 тыс.руб. изделие Д: 350 * 510 = 178 500 тыс.руб. изделие Е: -- 3. Прибыль от продаж на планируемый период рассчитывается по формуле (расчеты представлены в таблице № 7): П = V пр – С/с изделие А: 2 990 000 – 2 760 000 = 230 000 тыс.руб. изделие В: 2 000 000 – 1 790 000 = 210 000 тыс.руб. изделие С: 4 085 000 - 3 752 500 = 332 500 тыс.руб. изделие Д: 189 000 – 178 500 = 10 500 тыс.руб. изделие Е: -- 4. Коэффициент рентабельности изделий, рассчитывается исходя из отношения прибыли к объему продаж, по формуле (расчеты приводятся в таблице № 7): Ризд . = П/ V пр *100. изделие А: 230 000 / 2 990 000 *100 = 7,6923 изделие В: 210 000 / 1 790 000 *100 = 10,50 изделие С: 332 500 / 3 752 500 *100 = 8,1395 изделие Д: 10 500 / / 189 000 * 100 = 5,5555 изделие Е: -- Исходя из разброса значений рентабельности отдельных видов продукции в анализируемой организации, при включении показателей в одну из указанных групп предлагается использовать следующую градацию: группа 1 – продукция с рентабельностью 25% и выше, группа 2 – от 10 до 25%, группа 3 – ниже 10%. 5. Используя данные о результатах маркетингового исследования спроса на изделия А, В, С, Д, Е, а также информацию о возможности организации выпускать продукцию, пользующуюся спросом, разработаем часть бизнес-плана по реализации продукции организации на следующий год. По показателю объема продаж наиболее выгодно выпускать изделие С(объем продаж 4 085 000 тыс. руб.), затем изделие А ( объем продаж 2 990 000 тыс. руб.), изделие В ( объем продаж 2 000 000 тыс. руб)., самый маленький объем продаж у изделия Д ( объем продаж 189 000 тыс. руб.) По показателю прибыльности наиболее выгодно производить изделие С - 332 500 тыс. руб., затем изделие А - 230 000 тыс. руб. и изделие В - 210 000 тыс. руб.. Наименее выгодное для предприятия изделие Д - 10 500 тыс. руб. По показателю рентабельности наиболее рентабельное изделие В - 10,5 %, затем изделие С- 8,14% и изделие А - 7,69%. Наименьшую рентабельность имеет изделие Д 5,56 %. Вывод: По проведенному анализу можно сказать, что среди выпускаемых предприятием изделий нет ни одного убыточного. Так же можно сказать, что организации наиболее выгодно выпускать изделие В, ведь у него наибольший показатель рентабельности. Хотя можно отметить, что спрос на изделие В наполовину меньше, чем у изделий А и С. Наименьшую выгоду для организации приносит изделие Д: маленькая прибыль, наименьшая рентабельность, возможно организации нужно отказаться от выпуска данного изделия. Задание №3 На основании данных, представленных в выписке из отчета о прибылях и убытках по форме № 2, справки № 2 «Постоянные и переменные расходы в составе затрат на проданную продукцию» и результатов анализа по предыдущему вопросу задания определить точку безубыточности и зону финансовой устойчивости за отчетный год и на планируемый период. Результаты представим в таблице 2.3. Таблица 2.3 Критический объем продаж ООО «Рубин» за отчетный год и на планируемый период, обеспеченный спросом
Анализ и оценка критического объема продаж ООО «Рубин» за отчетный год и на планируемый период показал что, в планируемом периоде наблюдается увеличение выручки от продаж, прибыли от продаж, снижение доли маржинального дохода и увеличение запаса финансовой прочности на 17,93%, но уровень запаса финансовой прочности в объёме продаж не соответствует рекомендованным значениям.
Рис. 2.1. Критический объем продаж ООО «Рубин» за отчетный год и на планируемый период, обеспеченный спросом 1. Выручку от продаж, переменные и постоянные расходы, прибыль от продаж возьмем из формы №2 2.Переменные и постоянные возьмем из справки №2 3. Выручку от продаж и прибыль от продаж на планируемый период возьмем из таблицы 7. 4. Маржинальный доход определяем по формуле: МД = Выручка – Переменные затраты. Прошлый период: МД0 =6 240 000 - 3 831 360 = 2 408 640 тыс.руб. Текущий период: МД1 = 7 238 399 - 4 160 330 = 3 078 069 тыс.руб. Планируемый период: МДпл = 9 264 000 - 5 665 185 = 3 598 815 тыс.руб. 5. При помощи маржинального анализа определяем долю маржинального дохода в выручке от продаж. Доля МД = МД / V Прошлый период: Nмд 0 = 2 408 640 / 6 240 000 = 0,386 Текущий период: Nмд 1 = 3 076 070 / 7 236 400 = 0,425 Планируемый период: Nмд.пл = 3 598 815 / 9 264 000 = 0,388 6.«Критическая точка» - это состояние, при котором, выручка от продаж равна величине затрат. Чем ниже значение точки безубыточности, тем меньше риск ведения бизнеса и более безоблачное инвестирование при прочих равных условиях. «Критическая точка» объема продаж рассчитывается по формуле: N Кр.т. = S пост / (1- S перем / N . ) , после преобразования получим следующую формулу: N Кр.т. = S пост. / Д мд за отчетный год: 2 354 246 / 0,425 = 5 539 402,35 тыс.руб. за планируемый период: 2 815 185 / 0,388 = 7 255 631,44 тыс.руб. Т.о. объем продаж равный 7 255 631,44 рублей на планируемый период сможет обеспечить организации безубыточную работу. 7. Запас финансовой прочности характеризует величину, по достижению которой может начать снижаться объем продаж, и наступят убытки. Чем выше его значение, тем безопаснее ситуация на предприятии, так как снижается риск точки безубыточности, рассчитывается по формуле: ЗФП = V пр. - Кр.т за отчетный год: 7 238 399 – 5 536 254 = 1 698 997 тыс.руб. за планируемый период: 9 264 000- 7 246 795 = 2 008 369 тыс.руб. Запас финансовой прочности на планируемый период увеличился по сравнению с отчетным годом. Данный факт можно рассматривать с позитивной стороны, так как снижается риск точки безубыточности. 8. Уровень запаса финансовой прочности в объеме продаж рассчитывается в процентах путем деления запаса финансовой прочности в рублях на выручку от продаж (100%): УРзфп = ЗФП / V пр.* 100% за отчетный год: 1 698 997 / 7 238 399 * 100% = 23,47 % за планируемый период: 2 008 369 / 9 264 000 = 21,67 % Вывод: Точка безубыточности в ООО «Рубин» в отчетном году соответствует 5 539 402,35 тыс. руб. Это свидетельствует о том, что фактический объем продаж превысил критический объем. Запас финансовой прочности составил 1 698 997 тыс. руб., запас финансовой прочности следует поддерживать на нормативном уровне 40% - 50% на случай хозяйственных затруднений и ухудшения коньюктуры рынка. В данной организации он значительно ниже как в отчетном, так и в планируемом периоде. В отчетном году он составил 23,47 %, а в планируемом году он имеет отрицательные тенденции и составил 21,67 %, это свидетельствует о недостаточной устойчивости положения организации. Поэтому данному предприятию следует принять меры по снижению издержек производства и снижению точки безубыточности, в частности за счет увеличения спроса и продаж наиболее рентабельных изделий. 3. Анализ затрат и себестоимости продукции В себестоимости находят свое выражение все затраты предприятия, связанные с производством и реализацией продукции. Ее показатели отражают степень использования материальных, трудовых и финансовых ресурсов, качество работы как производства в целом, так и отдельных его служб. Анализ себестоимости продукции, работ и услуг имеет большое значение, потому что позволяет определить тенденции изменения затрат производства, выполнение плана по уровню себестоимости, влияние факторов изменения издержек производства и на этой основе дать оценку работы предприятия и установить резервы снижения себестоимости продукции. Под себестоимостью продукции, работ и услуг понимаются выраженные в денежной форме затраты всех видов ресурсов: основных фондов, природного и промышленного сырья, материалов, топлива и энергии, труда, используемых непосредственно в процессе производства и выполнения работ. Планирование и учет себестоимости на предприятиях ведут по элементам затрат и калькуляционным статьям расходов. Группировка затрат по элементам необходима для изучения материалоемкости, энергоемкости, трудоемкости, фондоёмкости и выявления возможностей повышения использования того или иного ресурса. Группировка затрат по назначению (статьям калькуляции) указывает на какие цели, куда и в каких размерах израсходованы ресурсы и необходима для определения себестоимости отдельных видов изделий. [4,c.218] В зависимости от объема производства все затраты подразделяются на: 1) Постоянные затраты, величина которых не зависит от объема производства продукции (работ, услуг) хозяйствующего субъекта. Даже при нулевом объеме производства продукции величина их остается неизменной и сохраняется определенный промежуток времени. К ним относится арендная плата за производственные помещения, повременная заработная плата и т. д. 2) Переменные затраты, величина которых зависит прямо пропорционально от объема производства. Примером переменных затрат являются затраты на сырье и материалы, топливо, сдельную заработную плату и др.[4,c.221] Изучение структуры затрат на производство и ее изменения за отчетный период по отдельным элементам затрат, а также анализ статей расходов фактически выпущенной продукции являются следующим этапом углубленного анализа себестоимости и с той же целью проводится изыскание путей и источников снижения затрат и увеличения прибыли. В целом себестоимость продукции складывается из материальных затрат, затрат на выплату заработной платы рабочим и комплексных статей расходов. Увеличение или уменьшение расходов по каждому элементу вызывает или удорожание, или снижение себестоимости товаров. Поэтому при анализе надлежит проверить затраты сырья, материалов, топлива и электроэнергии, затраты на заработную плату, цеховые, общезаводские и другие расходы. Исходя из специфики деятельности организации, анализ затрат необходимо проводить на данных Ф. № 2 «Отчет о прибылях и убытках» и Ф.№ 5 «Расходы по элементам затрат». Структурно-динамический анализ расходов по обычным видам деятельности ООО «Рубин», представленный в таблице 3.1, показал, что: Наибольший удельный вес в составе расходов организации по обычным видам деятельности занимают материальные затраты: в прошлом году – 68,803%, в отчетном – 64,65%. Затраты на оплату труда составили в отчетном году 1302915 тыс. руб., что больше показателя прошлого года на 167235 тыс. руб. Отчисления на социальные нужды по сравнению с прошлым годом возросли на 43481 тыс. руб. и составили 338758 тыс. руб. Амортизация же в отчетном году оказалась меньше показателя прошлого года на 8382 тыс. руб. и составила в отчетном году 497621 тыс. руб. Прочие затраты составляют наименьший удельный вес в составе расходов по обычным видам деятельности 3,087% и 2,511% на начало и конец года соответственно. Они составили в прошлом году 175288 тыс. руб. в отчетном году 165 314 тыс. руб. Задание №1 Проанализировать данные формы № 5 «Приложение к бухгалтерскому балансу». Дать характеристику анализируемого производственного процесса с точки зрения структуры его затрат, объяснить возможные причины ее изменения в зависимости от трансформации производственной программы. Результаты обобщите в таблице 3.1. Таблица 3.1 Расходы ООО «Рубин» по обычным видам деятельности (поэлементно) за прошлый и отчетный годы
Для большей наглядности представим структуру расходов организации по обычным видам деятельности за прошлый год графически (рис. 3.1)
Рис. 3.1. Изменение структуры расходов по обычным видам деятельности за прошлый год. Представим структуру расходов организации по обычным видам деятельности за отчётный год (рис. 3.2)
Рис. 3.2. Изменение структуры расходов по обычным видам деятельности за отчётный год. Расчет: Гр.3 = показатели из Формы №5 на начало года. Гр.5 = показатели из Формы №5 на конец года. Гр.7 = Гр.5 – Гр.3 Гр.4 = Гр.3/Итого по гр.3*100% Гр.6 = Гр.5/Итого по гр.5*100% Гр.8 = Гр.6 – Гр.4 Вывод: На основе анализа данных таблицы № 12 можно сделать выводы, что производство в организации является достаточно материалоемким. Доля материальных затрат в структуре себестоимости составляет более 60 %, следовательно основным резервом снижения себестоимости следует искать в направлениях более рационального использования материальных ресурсов. По данным таблицы видно, что расходы по обычным видам деятельности увеличились на 836 176 тыс. руб., что оценивается негативно. Расходы увеличились за счет увеличения затрат на оплату труда +167 345 тыс. руб., материальных затрат +645 398 тыс. руб. и отчисления на социальные нужды +43 481 тыс. руб. Также наблюдается уменьшение влияние амортизации -8 382 тыс. руб. и прочих затрат -11 636 тыс. руб. В структуре расходов наибольшую долю составляют затраты на оплату труда 20 % и материальные затраты 64,6 %. В организации за исследуемый период наблюдается увеличение прибыли, следовательно увеличение затрат на оплату труда, материальных затрат и отчислений на социальные нужды можно считать обоснованными. Сопоставление темпов прироста затрат Задание №2 Охарактеризовать динамику себестоимости проданной продукции (затрат на 1 руб. продаж). Выявить влияние на изменение данного показателя структуры проданной продукции, себестоимости отдельных ее видов и цен на нее. Результаты представить в таблице 3.2. Таблица 3.2 Вспомогательные расчеты к построению алгоритмов для анализа затрат на 1 рубль продаж
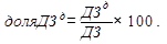
1. Определим затраты на 1 руб. продаж по формуле: за прошлый год: за отчетный год: Следовательно снижение затрат на 1 руб. продаж в отчетном году по сравнению с прошлым годом имеет положительную тенденцию и составляет: 0,9000 – 0,9100 = - 0,01руб. Для получения оценки влияния факторов на изменение затрат на 1 руб. продаж используем следующую систему относительных показателей: 1. Затраты на 1 руб. продаж в прошлом году: 2. Затраты на 1 руб. продаж по себестоимости всего объема продаж отчетного года, при себестоимости единицы продукции прошлого года и стоимости продаж отчетного года по ценам прошлого года. 3. Затраты на 1 руб. продаж по себестоимости отчетного года и ценам прошлого года.
4. Затраты на 1 руб. продаж в отчетном году:
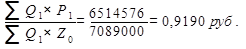
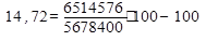
Для расчета этих относительных показателей определяется: - Себестоимость объема продаж отчетного года при себестоимости единицы прошлого года: изделие А: изделие В: изделие С: итого по всем изделиям: 2 206 160+1 934 402,40+2 296 000=6 436 562,40тыс. руб. - Стоимость продаж отчетного года в ценах предыдущего года: изделие А: изделие В: изделие С: итого по всем изделиям: 2875000+1764000+2450000=7089000тыс. руб. -Расчет влияния факторов на изменение затрат на 1 руб. продаж: 1.1. влияние изменения количества проданной продукции на величину затрат на 1 руб. продаж:
Сравниваем полученный показатель с затратами на 1 руб. продаж прошлого года: 0,9080 – 0,9100 = -0,0020 руб. или 0,20 коп. Увеличение количества проданного изделия А в отчетном году по сравнению с прошлым годом на 2 100 шт. (11 500 шт. – 9 400 шт.), изделия В на 1 080 шт. (5 880 шт. – 4 800 шт.) и неизменное количество изделия С в общей сложности дало снижение затрат на 1 руб. продаж на 0,20 копеек, что является положительным фактором. 1.2.влияние изменения себестоимости единицы продукции на изменения затрат на 1 руб. продукции:
Сравниваем с предшествующим показателем: 0,9190 – 0,9080 = 0,0110 руб. или 1,10 коп. За счет увеличения себестоимости единицы продукции на изделие А в отчетном году по сравнению с прошлым годом на 62,15 тыс.руб. (253,99 тыс.руб. – 191,84 тыс.руб.), снижения себестоимости единицы продукции на изделие В на 97,57 тыс.руб. (328,98 тыс.руб. – 231,41 тыс.руб.) и снижения себестоимости на изделие С - на 9 тыс.руб. (328 тыс.руб. – 319,0 тыс.руб.) и, увеличились затраты на 1 руб. продаж на 1,10 коп. Это отрицательный фактор. 1.3.влияние изменения цены на величину затрат на 1 руб. продаж:
Сравниваем с предшествующим показателем: 0,9000 – 0,9190 = - 0,0190 руб. или -1,90 коп. Увеличение цен на изделие А на 6 тыс.руб. (256 тыс.руб. – 250 тыс.руб.), изделие В на 5 тыс.руб. (305 тыс.руб. – 300 тыс.руб.) и на изделие С на 7 тыс.руб. (357 тыс.руб. – 300 тыс.руб.), дает снижение затрат на 1 руб. продаж на 1,90 копеек. 1.4. совокупное влияние факторов проведем балансовым методом: -0,0020+0,0110-0,0190= - 0,01 Баланс отклонений сошелся. Вывод: Таким образом затраты на 1 руб. продаж снизились на 1 копейку с 0,91коп. до 0,90коп. Факторы, повлекшие снижение этого показателя, оказали различное влияние. В результате увеличения количества выпуска продукции и роста цен на нее произошло снижение затрат на 1руб. продаж соответственно на 0,20коп. и на 1,90коп. Увеличение затрат на 1руб. продаж на 1,10 копеек произошло за счет увеличения себестоимости продукции вида А на 62 тыс. руб., хотя себестоимость единицы продукции изделия В снизилась на 97,57 тыс.руб., а изделия С - на 9 тыс.руб. Посчитаем долю продукта А от общего количества выпускаемой продукции: в отчетном году: 11 500 / 24 380 * 100 = 47,17 %; в прошлом году: 9 400 / 21 200 * 100 = 44,34 %. Доля продукта А увеличилась в отчетном году по сравнению с прошлым годом и составляет около 50 % от всего ассортимента предприятия. Задание №3 Определите степень влияния отдельных факторов на стоимость основных видов используемых в производстве материалов, а также резервы ее снижения. Результаты отразим в таблице 3.3. Таблица 3.3 Исходные данные для анализа влияния факторов на уровень материальных затрат
Оценка влияния факторов на уровень материальных затрат.
1. Методология определение влияния факторов на уровень материальных затрат: Составим факторную модель: МЗ = q * p - двухфакторная мультипликативная модель. p - стоимость израсходованного материала i вида в тыс.руб. q - количество израсходованного материала, в тоннах Определим изменение материальных затрат: ∆МЗ = q 1 p 1 – q 0 p 0 Определим влияние факторов: 1. ∆МЗ(q) = q1 p0 – q0 p0 2. ∆МЗ(p) = q1 p1 – q1 p0 Составим баланс отклонений ∆МЗ = ∆МЗ( q ) + ∆МЗ( p ) Расчеты: 1. Определим влияние факторов на изменение стоимости материалов: 1.1. влияние на материал вида X:
общее влияние факторов Уменьшение количества материала вида Х на 220 т (2 010 - 2 230) привело к уменьшению материальных затрат на 112 200 тыс.руб., а увеличение цены материала вида Х на 70 тыс.руб. (580 - 510) привело к увеличению материальных затрат на 140 700 тыс.руб. Суммарное влияние двух факторов на изменение стоимости материалов составило +28 500тыс. руб. 1.2. влияние на материал вида Y:
общее влияние факторов Увеличение количества материала вида Y на 250т (1 610 - 1 360) привело к увеличению материальных затрат на 67 500 тыс.руб., а увеличение цены материала вида Y на 25 тыс.руб. (295-270) привело к увеличению материальных затрат на 40 250 тыс.руб. Суммарное влияние двух факторов на изменение стоимости материалов составило + 107 750тыс.руб. 1.3. влияние на материал вида Z:
общее влияние факторов Уменьшение количества материала вида Z на 478 т (810-1288) снизило материальные затраты на 344 160 тыс.руб., а уменьшение цены заготовления материала вида Z на 10 тыс. руб. (710-720) привело к уменьшению материальных затрат на 8 100 тыс.руб. Суммарное влияние двух факторов на изменение стоимости материалов составило (-352 260) тыс. руб. 1.4. влияние на материал вида W:
общее влияние факторов Уменьшение количества материала вида W на 47т (2 240 - 2 287) привело к уменьшению материальных затрат на 23 312тыс.руб., а увеличение цены заготовления материала W на 395 тыс.руб. (891-496) привело к увеличению материальных затрат на 884 800 тыс.руб. Суммарное влияние двух факторов на изменение стоимости материалов составило 861 488 тыс.руб. 1.5. Общее влияние факторов: 1.5.1. общее влияние за счет изменения количества по всем видам материалов: - 112 200 + 67 500 – 344 160 – 23 312= - 412 172 тыс.руб. 1.5.2. общее влияние за счет изменения цены по всем видам материалов: 140 700 + 40 250 – 8 100 + 884 800 = 1 057 650 тыс.руб. 1.5.3. суммарное влияние факторов на изменение стоимости материалов по всем видам материалов: - 412 172 + 1 057 650 = 645 478 тыс.руб. 1.6. Рассчитаем долю влияния каждого фактора по всем видам материалов: - изменение количества -412 172 / 645 478 * 100 = - 63,86 % - изменение цены 1 057 650 / 645 478 * 100 = 163,86 %. 1.7. Составим баланс отклонений: 645 478 = - 412 172 + 1 057 650 645 478 = 645 478 Выводы: Факторный анализ по отдельным видам материалов показал, что наибольшее влияние на изменение стоимости материалов всего выпуска продукции оказало увеличение цен израсходованного материала вида W на +884 800 тыс.руб. Общее влияние за счет изменения цен по всем видам материалов составило 1 057 650 тыс.руб. Доля изменения стоимости всех материалов за счет изменения цен составила 163,86%. Большое влияние на стоимость всех материалов оказало изменение количества материала вида Z на (-344 160)тыс.руб. Общее влияние за счет изменения количества по всем видам материалов составило (-412 172) тыс.руб. Доля изменения стоимости всех материалов за счет изменения количества составила (-63,86)%. Из всех видов материалов наибольшее влияние на совокупную стоимость всех материалов, оказали материалы вида Z и W, следовательно, именно этим видам материалов надо уделить наибольшее влияние при дальнейшем проведении углубленного анализа. Стоимость использованных материалов может быть снижена: 1) за счет снижения количества используемых материалов, которые в свою очередь зависят от удельного расхода материалов на единицу продукции, структуры и объема выпускаемой продукции. 2) за счет снижения цен, т.е за счет снижения себестоимости изготовления материалов. В состав себестоимости входит цена приобретения отдельного вида материала и транспортно-заготовительные расходы, состав и размер которых зависит от способов заготовления и привлекаемых поставщиков, то есть часть себестоимости заготовления материала зависит от деятельности самого предприятия, а часть вызвана происходящими в отраслях инфляционными процессами. Таким образом, резервами снижения стоимости основных видов материалов являются: - снижение удельного расхода материала за счет совершенствования техники и технологии производства, уменьшение потерь материалов во время перевозки и хранения, сокращения брака и т.д. - снижение себестоимости заготовления материалов, то есть снижение товарно-заготовительных расходов, замены дорогостоящих материалов на более дешевые без ущерба качества продукции, совершенствование связей с поставщиками и т.д. Задание №4 Определите степень влияния отдельных факторов на уровень затрат по оплате труда и резервы снижения этих затрат (таблица 3.4). Таблица 3.4 Анализ факторов, повлиявших на уровень затрат по оплате труда
1. Среднегодовая заработная плата одного работника рассчитывается как отношение затрат на оплату труда к численности работников: - в прошлом году 1 135 680 / 27 810 = 40,8371 тыс.руб. - в отчетном году 1 302 915 / 28 520 = 45,6843 тыс.руб. Для оценки влияния факторов на уровень затрат по оплате труда, составим двухфакторную мультипликативную модель вида y = a * b, где y – затраты на оплату труда; a – численность работников, b – среднегодовая заработная плата, приходящаяся на 1 работника. Расчет влияния факторов произведем методом абсолютных разниц: - определим влияния изменения численности работников на затраты на оплату труда: - определим влияния изменения среднегодовой заработной платы, приходящейся на 1 работника на затраты на оплату труда: - общее влияние факторов проверим балансовым методом: 1 540 778 – 1 302 915 = 28 994,35 + 138 240,65 = 167 235,00 Выводы: В ООО «Рубин», в отчетном году произошел рост по заработной плате на 167 235тыс.руб. по сравнению с прошлым годом. Этот рост произошел за счет увеличения среднегодовой заработной платы на 4,85 тыс.руб. или 11,88% (4,85/40,8371*100), приходящейся на 1 работника. Под воздействием этого фактора увеличение затрат на заработную плату составило 138 240,65 тыс.руб. Численность работников возросла на 710 человек или 2,55% (710/27810 При расширенном использовании аналитических данных бухгалтерского учета возможно более полное отражение влияния различных факторов на размер затрат. Возможен переход от 2-х факторной мультипликативной модели к 4-х факторной, где результативный показатель - это фонд оплаты труда, который определяется по формуле: В анализе использования затрат по оплате труда необходимо установить соответствие между темпами роста производительности труда (среднегодовой выработки одного работающего или основного работника) и темпами роста заработной платы одного работника. Для расширенного воспроизводства получения необходимой прибыли важно, чтобы темп роста производительности труда опережал темп роста его оплаты. Если этот принцип не соблюдается, происходит перерасход заработной платы, повышение себестоимости продукции и уменьшение прибыли. Задание №5 Дадим оценку и произведем анализ состава, структуры и динамики доходов и расходов. Результаты расчетов обобщим в таблице 3.5. На основании полученных данных сделаем выводы о причинах изменения превышения доходов над расходами. Анализ доходов и расходов ООО «Рубин» проведем по данным формы №2 «Отчет о прибылях и убытках». В этой форме содержится информация обо всех доходах и расходах за предыдущий и отчетный годы. Таблица 3.5 Состав, структура и динамика доходов и расходов ООО «Рубин»
Превышение доходов над расходами, т.е. прибыль до налогообложения рассчитывается как разница между всей суммой доходов и всей суммой расходов: за прошлый год: 6 276 417 – 6 034 615 = 241 802 тыс.руб. за отчетный год: 7 291 898 - 7 015 020 = 276 878 тыс.руб. изменения: 276 878 - 241 802 = 35 076 тыс.руб. Коэффициент отношения доходов над расходами показывает, сколько приходится доходов в рублях на 1 руб. расходов: за прошлый год: 6 276 417 / 6 034 615 = 1,0401 за отчетный год: 7 291 898 / 7 015 020 = 1,0395 изменения: 1,0395 - 1,0401 = - 0,0006. Вывод: В ходе анализа доходов, доходы по основному виду деятельности следует рассматривать как определяющий вид доходов, который при нормальных условиях деятельности должен занимать наибольший удельный вес в общей стоимости доходов. В отчетном году общая сумма доходов предприятия составила 7 291 898 тыс.руб., что на 1 015 481 тыс.руб. или на 16,18% больше, чем в прошлом году, что говорит об увеличении прибыли предприятия на 35 076 тыс. руб. или на 14,506% по сравнению с прошлым годом и что является положительным фактором в его работе. Значительное влияние на рост доходов ООО «Рубин» оказала выручка от реализации продукции, величина которой увеличилась на 998 399 тыс.руб. или на 16,00% по сравнению с прошлым годом. Удельный вес выручки от продаж в общей сумме доходов в прошлом году составил 99,42%, в отчетном году 99,27%, т.е. удельный вес уменьшился на 0,15% по отношению к прошлому году. Прочие доходы имели положительную динамику, они выросли по сравнению с прошлым годом на 7 919 тыс.руб. (25 823-17 904), темп прироста по сравнению с прошлым годом составил 44,23% ( 25 823 / 17 904*100-100). Удельный вес этого вида дохода, в общей структуре дохода увеличился на 0,07% (0,35-0,29). Проценты к получению также имели положительную динамику по сравнению с прошлым годом на 9 163 тыс.руб. ( 27 676 - 18 513 ), темп прироста увеличился на 49,49% (27 676 / 18 513*100-100). Удельный вес в структуре дохода увеличился на 0,08% (0,38-0,29). Расходы организации в отчетном году также возросли, их общая величина составила 7015020тыс.руб., что на 980405тыс.руб. или 16,25% превышает величину расходов прошлого года. Рост совокупных расходов опережает рост доходов, что, не смотря на увеличение объема продаж, можно рассматривать как негативную тенденцию. Наиболее весомый вклад, как в прошлом, так и в отчетном годах, в общую сумму расходов предприятия вносят расходы по обычным видам деятельности – себестоимость продукции. Хотя себестоимость продукции в отчетном году по сравнению с прошлым выросла на 61 9196 тыс.руб. (4 801 575 - 4 182 379), в процентах к общей сумме расходов она снизилась на 0,86% (68,45-69,31), что можно расценить как положительный фактор к получению прибыли в отчетном году. Управленческие расходы в отчетном году увеличились на 130 005 тыс.руб. (1038549-908544), но в процентах к общей сумме расходов они снизились на 0,25%, что можно расценить положительно. К этому могли привести такие факторы как снижение численности управленческого персонала, сокращение командировок управленцев, а так же снижение нужд управленческого характера. Коммерческие расходы, величина которых в отчетном году выросла на 674452тыс.руб. также в процентах к общей сумме расходов снизились на 0,12%, тоже можно оценить положительно. Проценты к уплате в отчетном году уменьшились на 367 623 тыс.руб. или 1,01%, что говорит об уменьшении долга предприятии и является положительным фактором. Структура расходов в отчетном году изменилась незначительно по сравнению с прошлым годом, однако необходимо отметить, что в отчетном году увеличились прочие расходы более чем в 2 раза (с 153 070 тыс.руб. до 334 922 тыс.руб., а их доля в структуре расходов возросла с 2,54 до 4,77). Наиболее наглядно представим структуру доходов и расходов на рисунке 3.3.
Рис. 3.3 Структура и динамика доходов и расходов ООО «Рубин» В целом анализ затрат и себестоимости продукции показал, что в ООО «Рубин» зафиксировано увеличение затрат по обычным видам деятельности. Наибольшее увеличение приходится на материальные затраты (в связи с увеличением объема производства) и затраты на оплату труда (в связи с увеличением численности сотрудников). 4. Анализ финансовых результатов деятельности организации Финансовый результат — обобщающий показатель анализа и оценки эффективности (неэффективности) деятельности хозяйствующего субъекта на определенных стадиях (этапах) его формирования.[8,c.246] Основной целью анализа финансовых результатов является выявление факторов, вызывающих уменьшение финансовых результатов. Анализ финансовых результатов предполагает решение следующих задач: 1) анализ состава и динамики прибыли; 2) анализ финансовых результатов от обычных видов деятельности; 3) анализ уровня среднереализационных цен; 4) анализ финансовых результатов от прочих видов деятельности; 5) анализ распределения и использования прибыли; 6) анализ рентабельности деятельности организации. Основными источниками информации для анализа финансовых результатов деятельности служат данные аналитического бухгалтерского учета по счетам реализации, а также форма № 2 «Отчет о прибылях и убытках», форма № 3 «Отчет о движении капитала» годовой и квартальной отчетности, соответствующие таблицы бизнес-плана предприятия. В целом в понятие «финансовый результат» вкладывается определенный экономический смысл: превышение (снижение) стоимости произведенной продукции над затратами на ее производство; превышение стоимости реализованной продукции над полными затратами, понесенными в связи с ее производством и реализацией; превышение чистой (нераспределенной) прибыли над понесенными убытками, что в конечном итоге является финансово- экономической базой приращения собственного капитала организации. Кроме того, положительный финансовый результат свидетельствует также об эффективном и целесообразном использовании активов организации, ее основного и оборотного капитала. Прибыль — часть чистого дохода предприятия, созданного в процессе производства и реализованного в сфере обращения. Только после продажи продукции чистый доход принимает форму прибыли. Количественно она представляет собой разность между выручкой и полной себестоимостью реализованной продукции. Значит, чем больше рентабельной продукции реализует предприятие, тем больше оно получит прибыли, тем лучше его финансовое состояние. Поэтому финансовые результаты следует изучать в тесной связи с показателями использования и реализации продукции. Объем реализации, прибыль, рентабельность зависят от производственной, снабженческой, сбытовой и коммерческой деятельности предприятия. Иначе говоря, эти показатели характеризуют все стороны хозяйствования. Чем больше прибыль и выше рентабельность, тем эффективнее функционирует предприятие, тем устойчивее его финансовое состояние. Чтобы обеспечить стабильный рост прибыли, необходимо постоянно искать резервы ее увеличения. Они выявляются как на стадии планирования, так и в процессе выполнения планов. Прибыль до налогообложения отражает общий финансовый результат производственно-хозяйственной деятельности организации в отчетном периоде с учетом всех ее сторон, и важнейшей составляющей этого показателя является прибыль от продажи товаров. При анализе финансовых результатов организации обязательно оценивается динамика показателей прибыли до налогообложения и чистой прибыли за отчетный период. [8,c.251] Факторный анализ прибыли организации ведется, исходя из порядка ее формирования. Целью такого анализа является оценка динамики показателей балансовой и чистой прибыли, выявление степени влияния на финансовые результаты ряда факторов, в т.ч. роста (снижения) производства товаров, роста (снижения) объема продаж, повышения качества и расширения ассортимента товаров, повышения рентабельности; выявление резервов увеличения прибыли и др. Задание №1 На основании показателей отчета формы 2 «Отчет о прибылях и убытках» проанализируем динамику прибыли организации до налогообложения и чистой прибыли. Определите факторы формирования прибыли до налогообложения и чистой прибыли. . Таблица 4.1 Анализ показателей прибыли и факторов, повлиявших на чистую прибыль организации ООО «Рубин»
Чистая прибыль (убыток) отчетного периода является итоговым показателем отчета по форме № 2 «Отчет о прибылях и убытках». Именно чистая прибыль является основным источником пополнения собственного капитала, расширения масштабов деятельности предприятия и повышения его финансовой устойчивости. 1. Рассчитаем прибыль (убыток) по прочим операциям (расчеты представлены в таблице № 15): Ппр.опер. = Дох.пр. – Расх.пр Ппр.опер.0 = (17 904 + 18 513) – (153 070 + 203 145) = - 319 798 тыс. руб. Ппр.опер.1 = (25 823 + 27 676) – (334 922 + 165 522) = - 446 945 тыс. руб. 2. Влияние изменения прибыли до налогообложения и суммы налога на прибыль на изменение чистой прибыли рассчитаем методом цепных подстановок: Влияние на чистую прибыль изменения прибыли до налогообложения и налога на прибыль
На основании данных представленных в таблице 15 можно сказать, что прибыль до налогообложения увеличилась на 35 076 тыс.руб. Следовательно чистая прибыль изменится на такую же величину, т.е увеличится под влиянием данного фактора (прибыль до налогообложения) на 35 076 тыс.руб. Так как изменится налогооблагаемая база, то увеличится и налог на прибыль. Следовательно можно сказать, что чистая прибыль уменьшится на величину роста налога на прибыль и это составит 16 427 тыс.руб. Совместное влияние этих двух факторов составит 18 649 тыс. руб. Более наглядно факторы, повлиявшие на чистую прибыль представлены на рисунке 4.1.
Рис. 4.1 факторы, повлиявшие на чистую прибыль ООО «Рубин» Вывод: На основании вышеизложенного можно сказать, что чистая прибыль ООО «Рубин» была сформирована за счет основной деятельности организации, т.е. за счет прибыли от основной деятельности. Абсолютная величина прибыли от продаж возросла на 162 223 тыс.руб. В отчетном году, так же как и в предыдущем получен убыток по прочим операциям, причем в отчетном году сумма убытка увеличилась на 127 147 тыс.руб. Следовательно можно сказать, что расходы по прочим операциям и проценты к уплате по прежнему превышают величину прочих доходов и процентов к получению, что является негативным фактором. И все же убыток по прочим операциям покрылся прибылью от продаж, и это позволило организации увеличить прибыль на 35 076 тыс.руб. Но так как произошло увеличение налогооблагаемой базы по налогу на прибыль, то следовательно вырос и налог на прибыль на сумму 16 427 тыс.руб. Его увеличение уменьшило величину чистой прибыли. Но это нельзя назвать негативным влиянием, так как произошло увеличение доходов и выручки от продаж организации. Задание №2 Проанализируем характер изменений прибыли от продаж за отчетный период. Определите степень влияния различных факторов на изменение прибыли от продаж. Дайте оценку качества прироста прибыли. Рассчитайте резерв увеличения прибыли от продаж. Таблица 4.2 Анализ факторов, повлиявших на изменение прибыли от продаж (тыс.руб.).
1. Определим совокупное влияние всех факторов на изменение прибыли от продаж как разницу между прибылью отчетного года и прошлого отчетного периода: ∆П = П1 - П0 = 723 823 – 561 600 = 162 223 тыс. руб. 2. Рассчитаем влияние на прибыль от продаж каждого из четырех факторов в отдельности: 2.1. Найдем изменение прибыли в связи с увеличением количества проданной продукции. Для этого определим темп роста количества проданной продукции как отношение выручки отчетного года в ценах прошлого года к выручке прошлого периода: Тр (Q) = ∑Q1 Z0 / ∑Q0 Z0 Тр (Q) = 7 089 000 / 6 240 000 = 1,1361 Темп прироста составит 13,61% (1,1361*100-100). Увеличение прибыли за счет увеличения количества проданной продукции определим как произведение темпа прироста количества и прибыли прошлого года: ∆П (Q) = 561 600 * 0,1361 = 76 410тыс.руб. 2.2. Определим изменение прибыли в связи с увеличением себестоимости как разницу: ∆П (S) = ∑Q1 P1 - ∑Q1 P0 ∆П (S) = 6 514 576 - 6 436 562,4 = 78 014 тыс. руб. Следовательно себестоимость проданной продукции увеличилась на 78 014 тыс.руб. и соответственно прибыль уменьшится на эту сумму. 2.3. Определим изменение прибыли в связи с изменениями цен на продукцию как разность: ∆П (Z) = ∑Q1 Z1 - ∑Q1 Z0 ∆П (Z) = 7 238 399 – 7 089 000 = 149 399 тыс.руб. Прибыль за счет роста цен увеличилась на 149 399 тыс.руб. 2.4. Определим изменение прибыли за счет структурных сдвигов в объеме продаж, как разницу между пересчитанной прибылью и прибылью прошлого года откорректированной на коэффициент темпа роста количества проданной продукции: ∆П (СС) = 652 438 - 561 600* 1,1361 = 652 438 - 638 034 = - 14 404 тыс.руб. 2.5. Составим баланс отклонений: ∆П = ∆П( Q ) + ∆П( Z ) + ∆П(СС) - ∆П (S) 723 823-561 600 = 76 410-78 014+149 399 + 14 428 162 223 = 162 223 Вывод: Прибыль от продаж в отчетном году по сравнению с прошлым годом увеличилась на 162 223 тыс. руб. На изменение прибыли от продаж за отчетный период оказали влияние следующие факторы: - наибольшее влияние оказал рост цен на продукцию, и изменение прибыли за счет этого в отчетном году увеличилась на 149 399 тыс. руб. - рост объема продаж так же оказал положительное влияние и изменение прибыли увеличилось на 76 240 тыс.руб. - структурные сдвиги оказали отрицательное воздействие и за счет их изменения изменение прибыли от продаж уменьшилось на 14 428 тыс.руб. - себестоимость произведенной продукции также оказала отрицательное влияние - 78 014 тыс. руб. Таким образом, на изменение прибыли от продаж в большей степени повлияли количественные факторы (экстенсивные) – увеличение цены продукции, и количество ее выпуска, т.е. объем продаж. Резервом увеличения прибыли от продаж является снижение себестоимости продукции за счет более эффективного использования всех ресурсов, а так же за счет снижения коммерческих и управленческих расходов. Резерв составит 78 014 тысяч рублей. Задание №3 Рассчитаем исходя из показателей отчета по форме 2 «Отчет о прибылях и убытках» коэффициенты эксплуатационных затрат и рентабельности производственной деятельности (таблица 4.3). Таблица 4.3 Анализ коэффициента эксплуатационных затрат и рентабельности производственной деятельности
Данные для расчета берем из справки № 2 и формы № 2 «Расчет о прибылях и убытках» 1. Рассчитаем маржинальный доход в составе выручки от продаж как разность между объемом продаж и переменными расходами: МД = V пр – S перем прошлый год: МД = 6 240 000 - 3 831 360 = 2 408 640 тыс.руб. отчетный год: МД = 7 238 399 - 4 160 330 = 3 078 069 тыс.руб. 2. Коэффициент эксплуатационных затрат определяется как отношение переменных затрат к выручке от продаж. Коэффициент эксплуатационных затрат показывает величину затрат приходящуюся на 1 руб. проданной продукции.Рассчитаем коэффициент затрат: Кэкс.з. = S пер / V отчетный год: Кэкс.з.1 = 4 160 330 / 7 238 399= 0,5748 прошлый год: Кэкс.з.0 = 3 831 360 / 6 240 000 = 0,6140 будущий период: Кэкс.з.1+ = 5 665 185 / 9 264 000 = 0,6115 из расчета видно, что на 1 рубль выручки от продаж приходится: в прошлом году: 61,40 коп. в текущем году: 57,48 коп. в планируемом периоде: 61,15 коп. 3. Коэффициент рентабельности производственной деятельности характеризует эффективность деятельности предприятия и показывает, какую прибыль получило предприятие с каждого рубля проданной продукции. Рассчитаем коэффициент рентабельности производственной деятельности как отношение маржинального дохода к выручке от продаж: Рпр = МД / V Прошлый год: Рпр0 = 2 408 640 / 6 240 000 = 0,3860 Отчетный год: Рпр1 = 3 078 069 / 7 238 399 = 0,4252 Планируемый период: Рпр1+ = 3 598 815 / 9 264 000 = 0,3885 Из расчета видно, что на 1 рубль выручки от продаж приходится Прошлый год: 38,60 коп. Отчетный год: 42,52 коп. Планируемый период: 38,85 коп. Вывод: Рассматриваемые показатели дополняют друг друга, т.е. в сумме они дают единицу. Если коэффициент эксплуатационных затрат уменьшается, а коэффициент рентабельности производственной деятельности увеличивается, то это характеризует положительное развитие организации. Полученные результаты свидетельствуют об улучшении результатов производственной деятельности ООО «Рубин», т.к. рентабельность производственной деятельности показывает положительную динамику: за отчетный год она увеличилась на 3,92 коп на 1 рубль продаж. Коэффициент эксплуатационных затрат в отчетном году снизился на 3,92 коп на рубль проданной продукции. Увеличение затрат это всегда снижение прибыли, следовательно любое увеличение затрат негативный фактор. В текущем периоде коэффициент эксплуатационных затрат показал положительную динамику снижения эксплуатационных расходов. Следует отметить, что в планируемом периоде организация планирует ухудшить свои показатели. Расчет показывает, что работая по такому бизнес-плану рентабельность производственной деятельности организации уменьшится на 3,67 копейки с каждого полученного рубля выручки, а затраты возрастут на 3,67 копейки на каждый рубль. Организации, следует еще раз, вернутся к составлению бизнес-плана, проанализировать и проверить расчеты, иначе реализация такого бизнес-плана приведет к снижению результатов деятельности организации. Задание №4 Определим рентабельность активов и факторов, повлиявших на ее изменение. Обобщим результаты расчетов в таблице 18 и проанализируем степень влияния каждого фактора и сделаем выводы о возможности ее повышения. Таблица 4.4 Анализ рентабельности активов ООО «Рубин»
1. Рассчитаем среднегодовую стоимость активов по данным формы № 1 (расчеты представлены в таблице № 18) как среднеарифметическое значение: = (А1 + А0 )/2 1 = (2 844 729 + 3 146 340) / 2 = 2 995 534,5 тыс. руб. 0 = (2 619 314 + 2 844 729) / 2 = 2 732 021,5 тыс. руб. ∆ = 2 995 534,5 - 2 732 021,5 = 263 513 тыс.руб. 2. Определим рентабельность активов (расчеты представлены в таблице 18): ρА = Пч /А0 прошлый год: ρА 0 = 218 269 / 2 732 021,5 = 0,07989 или 7,99 % отчетный год: ρА 1 = 236 916 / 2 732 021,5 = 0,07909 или 7,91 % ∆ ρА = ρА 1 - ρА 0 ∆ ρА = 0,07909 – 0,07989 = - 0,0008 3. Определим влияние на изменение коэффициента рентабельности активов различных факторов (расчеты представлены в таблице № 18). Для этого используем кратную факторную модель рентабельности активов и с помощью метода расширения преобразуем формулу рентабельности активов в трехфакторную мультипликативную модель: ρА
=
4. Определим среднегодовую величину СК по данным формы № 1 как среднеарифметическое значение:
∆
5. Определим КобСК , как отношение выручки от продаж к среднегодовой величине СК: КобСК 0 = 6 240 000 / 1 663 856,5 = 3,75032 КобСК 1 = 7 238 399 / 1 804 063 = 4,01228 ∆ КобСК = 4,01 – 3,75 = 0,26195 6. Определим коэффициент автономии как отношение среднегодовой величины СК к среднегодовой величине активов: Кавт 0 = 1 663 856,50 / 2 732 021,5 = 0,60902 Кавт 1 = 1 804 063 / 2 995 534,5 = 0,60225 ∆ Кавт = Кавт 1 - Кавт 0 = 0,60225 – 0,60902 = - 0,00677 7. Рассчитаем рентабельность продаж или сколько приходится чистой прибыли на 1 руб. продаж, как отношение чистой прибыли к выручке от продаж: ρ пр0 = 218 269 / 6 240 000 = 0,03498 ρ пр1 = 236 916 / 7 238 399 = 0,03273 ∆ ρ пр = ρ пр1 - ρ пр0 = 0,03273 – 0,03498 = - 0,00225 8. Определим влияние рассчитанных факторов на изменение рентабельности активов способом абсолютных разниц: - Определим изменение оборачиваемости СК на рентабельность активов: ∆ ρА (КобСК ) = 0,26195 * 0,60902 * 0,03498 = 0,00558 - Определим изменение коэффициента автономии на рентабельность активов: ∆ ρА (Кавт ) = 4,01228 * (- 0,00677) * 0,03498 = - 0,00095 - Определим влияние изменения рентабельности продаж на рентабельность активов: ∆ ρА (ρ пр ) = 4,01228 * 0,60225 * (- 0,00225) = - 0,00543 Составим баланс отклонений ∆РА = ∆ ρА (КобСК )+ ∆ ρА (Кавт ) + ∆ ρА (ρ пр ) = 0 – 0,00095+ 00,00558 = +0,004 - 0,00080 = - 0,00543 + 0,00558 - 0,00095 - 0,00080 = - 0,00080 Вывод: На основании проведенного анализа можно сказать о небольшом снижении рентабельности активов, что составило 0,00080 или 0,08 % . Не очень положительный фактор, т.к. говорит о менее эффективном использовании активов в отчетном году по сравнению с прошлым годом. Наибольшее влияние на изменения рентабельности активов, оказал коэффициент оборачиваемости СК, его увеличение на 0,26 пункта позволило увеличить рентабельность активов на 0,6 %. Положительно на увеличение рентабельности активов на 0,3192%, повлияло увеличение оборачиваемости заемного капитала. Задание №5 Определить динамику рентабельности собственного капитала и факторов, повлиявших на нее. Оцените характер этого влияния. Обобщите результаты в таблице 4.5 Таблица 4.5 Анализ рентабельности собственного капитала ООО «Рубин»
1. Определим среднегодовую величину ЗК по данным формы № 1 как среднеарифметическое значение:
∆
2. Определим среднегодовую величину СК по данным формы № 1 как среднеарифметическое значение:
∆
3. Рассчитаем коэффициент рентабельности собственного капитала (расчеты представлены в таблице № 19): ρск = Пч / СКср ρск 1 = 236 918 / 1 804 063 = 0,13132 или 13,132 % ρск 0 = 218 269 / 1 663 856,5 = 0,13118 или 13,118 % ∆ ρск = ρск 1 - ρск 0 = 13,132 - 13,118 = 0,01421 4.
Определим динамику собственного капитала за счет влияния следующих факторов: коэффициента финансового рычага, коэффициента оборачиваемости заемного капитала и рентабельности продаж.Для проведения факторного анализа рентабельности собственного капитала умножим кратную модель рентабельности собственного капитала на показатели заемного капитала и выручку: ρск = Кфр * КобЗК * Рпр - трехфакторная мультипликативная модель. 5. Определим Кфр , как отношение среднегодовой величины ЗК к среднегодовой величине СК: Кфр 0 = 1 081 082,5 / 1 663 856,5 = 0,64975 Кфр 1 = 1 191 471,5 / 1 804 063 = 0,66044 ∆ Кфр = 0,66044 – 0,64975 = 0,01069 6. Определим коэффициент оборачиваемости ЗК как отношение выручки от продаж к среднегодовой величине заемного капитала: КобЗК 0 = 6 240 000,00 / 1 081 082,50 = 5,77199 КобЗК 1 = 7 238 399,00 / 1 191 471,50 = 6,07518 ∆ КобЗК = КобЗК 1 - КобЗК 0 = 6,07518 – 5,77199 = 0,30318 1. Рассчитаем рентабельность продаж или сколько приходится чистой прибыли на 1 руб. продаж, как отношение чистой прибыли к выручке от продаж: ρ пр0 = 218 269 / 6 240 000 = 0,03498 или 3,498 % ρ пр1 = 236 916 / 7 238 399 = 0,03273или 3,273 % ∆ ρ пр = ρ пр1 - ρ пр0 = 3,273 – 3,498 = - 0,22483 2. Определим влияние рассчитанных факторов на изменение рентабельности активов способом абсолютных разниц: - Определим изменение коэффициента финансового рычага на рентабельность собственного капитала: ∆ ρ СК (КФР ) = 0,01069 * 5,77199 * 3,498 = 0,21589 - Определим изменение коэффициента оборачиваемости СК на рентабельность собственного капитала: ∆ ρСК (КобСК ) = 0,66044 * 0,30318 * 3,498 = 0,70040 - Определим влияние изменения рентабельности продаж на рентабельность собственного капитала: ∆ ρСК (ρ пр ) = 6,07518 * 0,66044 * (-0,22483) = - 0,90208 3. Составим баланс отклонений ∆РСК = ∆ ρСК (КобСК )+ ∆ ρСК (КЗК ) + ∆ ρСК (ρ пр ) = 0,21589+ 0,70240 - 0, 90208 0,01421 = 0,01421 Вывод: Данные представленные в таблице 23 свидетельствуют о повышении в отчетном периоде рентабельности собственного капитала на 0,014 % в первую очередь за счет увеличения коэффициента оборачиваемости. Влияние этого фактора увеличило рентабельность собственного капитала на 0,7 %. Положительное влияние на рентабельность собственного капитала оказало так же увеличение финансового рычага на 0,01069 пункта, что увеличило рентабельность собственного капитала на 0,22 %. Отрицательно влияние оказало снижение рентабельности продаж на 0,22 %, что уменьшило рентабельность капитала на 0,9%. В целом же положительное влияние оборачиваемости собственного капитала и финансового рычага погасило негативное воздействие снижения рентабельности продаж. 5. Анализ финансового положения организации Анализ финансового положения организации является одним из ключевых моментов в оценке деятельности организации. Финансовый анализ это процесс исследования и оценки организации с целью выработки наиболее обоснованных решений по его дальнейшему развитию и пониманию его текущего состояния.Под финансовым состоянием понимается способность предприятия финансировать свою деятельность. Оно характеризуется обеспеченностью финансовыми ресурсами, необходимыми для нормального функционирования предприятия, целесообразностью их размещения и эффективностью использования, финансовыми взаимоотношениями с другими юридическими и физическими лицами, платежеспособностью и финансовой устойчивостью. Результаты финансового анализа непосредственно влияют на выбор методов оценки, прогнозирование доходов и расходов предприятия, на определение ставки дисконта, применяемой в методе дисконтированных денежных потоков, на величину мультипликатора, используемого в сравнительном подходе. Финансовое положение — это совокупность показателей, отражающих наличие, размещение и использование финансовых ресурсов. Анализ финансового положения — это часть финансового анализа, который, является составной частью общего, полного анализа хозяйственной деятельности.[11,c.189] Предварительная оценка финансового положения предприятия осуществляется на основании данных бухгалтерского баланса, “Отчета о движении денежных средств”, а также ф.№5 “Приложение к бухгалтерскому балансу”. На данной стадии анализа формируется первоначальное представление о деятельности предприятия, выявляются изменения в составе имущества предприятия и их источниках; устанавливаются взаимосвязи между показателями. С этой целью определяют соотношения отдельных статей актива и пассива баланса, их удельный вес в общем итоге (валюте) баланса; рассчитывают суммы отклонений в структуре основных статей баланса по сравнению с предшествующим периодом. При этом общая сумма изменения валюты баланса расчленяется на составные части, что позволяет сделать предварительные выводы о характере имевших место сдвигов в составе активов, источниках их формирования и их взаимной обусловленности. Одним из важнейших критериев финансового положения предприятия является оценка его платежеспособности, под которой принято понимать способность предприятия рассчитываться по своим долгосрочным обязательствам. Способность предприятия платить по своим краткосрочным обязательствам называется ликвидностью. Иначе говоря, предприятие считается ликвидным, если оно в состоянии выполнить свои краткосрочные обязательства, реализуя текущие активы. Основные средства, если только они не приобретаются с целью дальнейшей перепродажи, в большинстве случаев не могут быть источниками погашения текущей задолженности предприятия в силу, во-первых, своей особой функциональной роли в процессе производства, и, во-вторых, весьма затруднительных условий их срочной реализации. Для предварительной оценки ликвидности предприятия привлекаются данные бухгалтерского баланса. Информация, отражаемая во II разделе актива баланса характеризует величину текущих активов в начале и конце отчетного года. Сведения о краткосрочных обязательствах предприятия содержатся в III разделе пассива баланса (V раздел баланса). Принято выделять два вида финансового анализа: внутренний и внешний. Внутренний анализ проводится работниками предприятия. Информационная база его включает любую информацию предприятия, полезную для принятия управленческих решений. [9,c.202] Финансовый анализ, основывающийся на данных бухгалтерской отчетности, носит характер внешнего анализа, т.е. проводимого за пределами предприятия. Аналитики, проводящие внешний анализ финансового состояния предприятия, не имеют доступа к внутренней информации фирмы, и поэтому данный анализ менее детализирован и более формализован. Основное содержание внешнего финансового анализа составляет: 1. анализ абсолютных показателей прибыли; 2. анализ относительных показателей рентабельности; 3. анализ финансового состояния, рыночной устойчивости, ликвидности баланса, платежеспособности предприятия; 4. анализ эффективности использования заемного капитала; Величина собственных оборотных средств на начало и конец отчётного года, и факторы, повлиявшие на её изменение, рассмотрены в таблице 5.1. Задание №1 Определить величину собственных оборотных средств на начало и конец отчетного года, и факторы, повлиявшие на ее изменение. Расчеты обобщить в таблице № 5.1 Таблица 5.1 Определение собственных оборотных средств и влияния отдельных факторов, вызвавших их изменение
1. В качестве факторов оказывающие влияние на собственные оборотные средства, являются структурные элементы, формирующие 3-ий и 4-ый разделы баланса. 2. Определим наличие собственных оборотных средств по данным отчетности формы № 1 на начало и конец года. Наличие СОС = Капитал и резервы + Долгосрочные обязательства – Внеоборотные активы. на начало периода: 1 666 175 + 351 791 – 1 270 019 = 747 947 на конец периода: 1 941 951 + 370 980 – 1 600 816 = 712 115 3. Рассчитаем влияние факторов на изменение СОС: 3.1 Факторы, влияющие прямопропорционально на итоговый показатель - Собственный капитал - Долгосрочные обязательства Анализируя СОС, представленные в таблице 20. можно сказать, что факторы, входящие в эту группу положительно влияют на изменение СОС, и их совокупное влияние в текущем году составило 294 965 тыс.руб. УК не изменился, и следовательно он никак не повлиял на изменение собственных оборотных средств. Резервный капитал за текущий год увеличился на 13 тыс.руб. Добавочный капитал оказал достаточно сильное влияние и это составило 257 114 тыс.руб. Нераспределенная прибыль и займы и кредиты оказали довольно ровное влияние на изменение итогового показателя и это составило 18 649 тыс.руб. и 19 189 тыс.руб. соответственно. 3.2 Факторы, влияющие обратнопропорционально на итоговый показатель стоимости СОС - ВНА Из факторов данной группы на СОС все составляющие оказывают отрицательное влияние. Однако достаточно сильное изменение оказало увеличение стоимости незавершенного строительства и это составило 297 990 тыс.руб. Степень влияния ОС довольна незначительна и составляет 32 807 тыс.руб. Подводя итоги по данной теме можно сказать, что ООО «Рубин» находится на стадии обновления и расширения, в связи с большим объемом незавершенного строительства. 4. Для определения доли участия СОС в формировании оборотных активов определим и рассчитаем следующие коэффициенты: Коэффициенты для определения доли участия СОС в формировании оборотных активов
5. Рассчитаем коэффициент обеспеченности предприятия СОС по следующим формулам. Данные возьмем из формы № 1 бухгалтерского баланса. К СОС = ( стр. 490 + стр. 590+стр. 640 – стр. 190 ) / стр. 290 К СОС = СОС / ОА На начало года: КСОС 0 = 747 947 / 1 574 710 = 0,4750 На конец года: КСОС 1 = 712 115 / 1 545 524 = 0,4608 ∆ КСОС = 0,461 – 0,475 = - 0,0142 Данный коэффициент характеризует наличие собственных оборотных средств, необходимых для текущей деятельности организации. Данный показатель должен быть больше 0,1. 6. Рассчитаем коэффициент обеспеченности материальных затрат собственными оборотными средствами по следующим формулам: Коб МЗ = СОС / МЗ Коб МЗ = (стр. 490+ стр. 590+ стр. 640 – стр. 190) / стр. 210 На начало года: Коб МЗ 0 = 747 947 / 963 166,00 = 0,7766 На конец года: Коб МЗ 1 = 712 115 / 937 539,00 = 0,7596 ∆ Коб МЗ = 0, 7596 – 0,7766 = - 0,0628 7. Рассчитаем коэффициент маневренности СОС по следующим формулам: Кманв. = СОС / МЗ Кманв = (стр. 490+ стр. 590+ стр. 640 – стр. 190) / стр. 210 На начало года: Кманв.0 = 747 947 / 2 017 966,00 = 0,3706 На конец года: Кманв1 = 712 115 / 2 312 931,00 = 0,3079 Вывод: Коэффициент обеспеченности собственными оборотными средствами на конец анализируемого периода равняется 0,475 и это на 0,0142 меньше, чем на начало периода. Значение коэффициента обеспеченности СОС находится в нормативной зоне. Коэффициент обеспеченности материальных запасов на конец анализируемого периода снизился на 0,0170 и составил 0,7596. На последний день анализируемого периода значение коэффициента обеспеченности материальных запасов находится в нормативной зоне. По коэффициенту маневренности видно, что его величина снизилась по состоянию на конец отчетного периода на 0,0628 пунктов. Можно сказать, что коэффициент маневренности СОС не соответствует нормативному, и находится в области критических значений. Поскольку из трех анализируемых ни один из них не имеет положительной динамики, а коэффициент маневренности ниже критического значения финансовое положение организации можно характеризовать как неустойчивое. Задание №2 Исходя из данных отчетов по формам № 1 «Бухгалтерский баланс» и №2 «Отчет о прибылях и убытках», а также Справки № 2 «Переменные и постоянные расходы в составе затрат на проданную продукцию» определить операционный, финансовый и операционно-финансовый леверидж (рычаг), экономический эффект операционного и финансового рычага. Таблица 5.2 Расчет операционного, финансового и операционно-финансового рычага
1. Операционный рычаг (операционный леверидж) показывает, во сколько раз темпы изменения прибыли от продаж превышают темпы изменения выручки от продаж. Зная операционный рычаг можно прогнозировать изменение прибыли при изменении выручки [2, с. 354] Операционный рычаг вычисляется по формуле:
а) прошлый год: Ор = 2 408 640 / 2 057 621 = 1,1706 б) отчетный год: Ор = 3 078 069 / 2 436 824 = 1,2631 При увеличении объемов продаж на 1% прибыль организации увеличится на 1,2631%. Эффект операционного рычага заключается в том, что любое изменение выручки от продаж всегда порождает более сильное изменение прибыли. Изменение выручки может быть вызвано изменением цены, изменением натурального объема продаж. ЭОР = темп роста МД / темп роста прибыли ЭОР = 127,793 / 118,429 = 1,0791. Таким образом, темп роста маржинального дохода в 1,0791 раз превышает темп роста прибыли. 2. Финансовый рычаг – это отношение заемного капитала организации к собственным средствам, он характеризует степень риска и устойчивость компании. Чем меньше финансовый рычаг, тем устойчивее положение организации. С другой стороны, заемный капитал позволяет увеличить коэффициент рентабельности собственного капитала, т.е. получить дополнительную прибыль на собственный капитал [2, с. 397]. Финансовый рычаг: ЗК – заемный капитал, СК – собственный капитал а) прошлый год: 1 068 165 / 1 663 856,5 = 0,6420 б) отчетный год: 1 191 471,5 / 1 804 063 = 0,6604 Нормативное значение ≤ 1,5. Полученный результат на отчетный период показывает, что на 1 руб. вложенных в активы собственных средств приходится 0,6604 руб. привлекаемых средств. Показатель, отражающий уровень дополнительной прибыли при использовании заемного капитала называется эффектом финансового рычага. ЭФР = (1 – Сн ) * (Rа – Ск ) * ЗК/СК, где Сн - ставка налога на прибыль (20%), Rа – коэффициент рентабельности активов (посчитан в задании № 17), Ск – средний размер ставки процентов за кредит (по условию – 12%), ЗК – средняя сумма заемного капитала, СК – средняя сумма собственного капитала. ЭФР = (1 – 0,2) * (0,07909 – 0,12) * 0,6604 = - 0,0216. Эффект финансового рычага имеет отрицательное значение, использование привлеченного капитала убыточно. 3. Обобщающей категорией является операционно-финансовый рычаг (леверидж), который в отличие от предыдущих видов каким-либо простым количественным показателем не выражается, а его влияние выявляется путем оценки взаимосвязи трех показателей: выручка, расходы производственного и финансового характера и чистая прибыль [4, с. 212].
а) прошлый год: 1,1706 * 0,6420 = 0,7515 б) отчетный год: 1,2631 * 0,6604 = 0,8343 Этот показатель дает представление о том, как изменение продаж повлияет на изменение чистой прибыли и дохода на акцию предприятия. Другими словами, он позволит определить, на сколько процентов изменится чистая прибыль при изменении объема продаж на 1% [8]. При этом изменение прибыли составит 0,8343%. Задание № 3. Оцените эффективность использования оборотных активов и влияние произошедших изменений на финансовое положение. Таблица 5.3 Расчет эффекта от изменения оборачиваемости оборотных активов и оценка влияния факторов
1. Рассчитаем оборачиваемость оборотных активов как отношение выручки от продаж к среднегодовой величине оборотных активов: а) прошлый год: 6 240 000 / 1 527 417 = 4,0853 б) отчетный год: 7 238 399 / 1 560 117 = 4,6397 2. Рассчитаем продолжительность одного оборота оборотных активов, как отношение продолжительности периода в днях к коэффициенту оборачиваемости: а) прошлый год: 360 / 4,0853 = 88 дней б) отчетный год: 360 / 4,6397 = 78 дней. Таким образом, продолжительность оборота уменьшилась на 10 дней, что свидетельствует об ускорении оборачиваемости оборотных средств. 3. Экономический эффект от сокращения продолжительности оборота в днях составит:
Определим сумму условного высвобождения средств (относительную экономию): = (7 238 399 / 360) * (-10) = -211 686 тыс. руб. Таким образом, за счет ускорения оборачиваемости оборотных активов относительная экономия составляет 211 686 тыс. руб. 4. Расчет влияния факторов на изменение продолжительности оборота проведем способом цепных подстановок: Рассчитаем условные показатели:
5. Рассчитаем влияние факторов на изменение коэффициента оборачиваемости:
Баланс отклонений = 2 – 12 = -10 дней 6. Рассчитаем влияние факторов на изменение экономического эффекта:
Таким образом, за счет увеличения среднегодовых остатков оборотных активов на 32 700 тыс. руб. продолжительность одного оборота увеличилась на 2 дня, что потребовало дополнительного привлечения 37 932 тыс. руб. За счет увеличения выручки от продаж на 998 399 тыс. руб. продолжительность одного оборота снизилась на 12 дней, за счет этого образовалась относительная экономия в размере 249 618 тыс. руб. За счет совместного влияния факторов было высвобождено 211 686 тыс. руб. Задание № 4. Рассчитать коэффициенты ликвидности. На основании анализа динамики коэффициентов ликвидности и соотношения различных групп активов, сгруппированных по степени ликвидности, и соответствующих групп пассивов, дать оценку платежеспособности и степени устойчивости финансового состояния организации. Под ликвидность понимается способность актива превращаться в денежные средства. Подразделим активы на группы по степени ликвидности: 1. Наиболее ликвидные активы: А1 = Кр.фин.вл. + ДС 2. Быстрореализуемые активы: А2 = ДЗ < 12 мес. + ПР ОА 3. Медленно реализуемые активы: А3 = З + НДС 4. Трудно реализуемые активы: А4 = ВА + ДЗ > 12 мес . Подразделим пассивы по степени срочности их погашения: 1. Наиболее срочные обязательства: П1 = КЗ + Зад.учред. по дивидендам 2. Краткосрочные обязательства: П2 = КРкр и з + Резервы предст.расходов + ПРКр.обяз. 3. Долгосрочные обязательства: П3 = Долг.обяз . 4. Постоянные пассивы: П4 = КиР + Дох.буд.пер . Таблица 5.4 Группировка активов и пассивов бухгалтерского баланса для оценки ликвидности
В организации имеют место следующие неравенства: 1. На начало периода: А1 А2 А3 А4 2. На конец периода: А1 А2 А3 А4 - На основании проведенного анализа можно сказать, что баланс нельзя признать абсолютно ликвидным, т.к. не выполняется неравенство А1 ≥ П1 за отчетный и за прошлый года. - Проверим условие текущей ликвидности: А1+А2 Начало года: 516 588 Конец года: 504 615 ТЛ = (А1+А2) – ( П1+П2) ТЛНГ = 516 588 - 826 763 = - 310 175 ТЛКГ = 504 615 - 833 409= - 328 794 -т.о. у организации ни в прошлом, ни в текущем периоде не выполняется условие текущей ликвидности, значит организация на ближайший промежуток времени не в состоянии расплатиться по обязательствам и имеет дефицит денежных средств на конец анализируемого периода в сумме 328 794 тыс.руб. - Прогноз перспективной ликвидности у организации более оптимистичный, т.к. неравенство: А1+А2 + А3 Начало года: 1 479 881 Конец года: 1 442 285 ПЛ = А3 – П3 ПЛНГ = 963 293 - 351 791 = 611 502 ПЛКГ = 937 670 - 370 980 = 566 690 На основании проведенных расчетов можно сказать, что при имеющихся материально-производственных запасов и долгосрочной дебиторской задолженности у организации, все ее внешние обязательства будут погашены и имеется излишек на конец текущего периода в размере 566 690 тыс.руб. Негативным фактором является снижении динамики данного коэффициента. Вывод: Единственная причина баланса дефицитности баланса – несбалансированность наиболее ликвидных активов и кредиторской задолженности. Для анализа ликвидности используется ряд относительных показателей – коэффициентов, характеризующих структуру бухгалтерского баланса. Расчеты показателей представлены в таблице 5.3.1 Таблица 5.4.1 Относительные показатели, характеризующие ликвидность и структуру баланса организации
3. Коэффициент общей ликвидности, применяется для оценки ликвидности баланса в целом. Рассчитаем коэффициент по формуле: К ОЛ = ОА / КО. начало года : (132 911 + 0,5 * 383 677 + 0,3 * 963 293) / (675 305 + 0,5 * 151 458+ 0,3 * 351 791) = 0,72 конец года: (133 923 + 0,5 * 370 692 + 0,3 * 937 670) / (672 439 + 0,5 * 160 970 + 0,3 * 370 980) = 0,69 Вывод: Оптимальное значение коэффициента > 1, т.о. общая оценка ликвидности баланса ниже оптимального значения. 4. Коэффициент текущей ликвидности дает общую оценку ликвидности оборотных активов. Показывает, сколько рублей оборотных активов приходится на 1 рубль краткосрочных обязательств. Рассчитаем коэффициент текущей ликвидности: Ктек.лик Ктек.лик.н.п.
= Ктек.лик.к.п
.
= Вывод: Коэффициент текущей ликвидности ниже нормативного значения. На конец года видна негативная динамика, коэффициент текущей ликвидности снизился на 0,5 пункта. Это означает, что оборотные активы не покрывают краткосрочные обязательства. Значение данного коэффициента больше 2, показывает, что стоимость оборотных активов в 2 раза превышает балансовую стоимость краткосрочных обязательств. В организации коэффициент близок к оптимальному значению, и это означает, что организация имеет хорошие условия и ресурсы для устойчивого функционирования, а так же обладает высокими гарантиями в части погашения долгов организации. 5. Коэффициент критической ликвидности показывает, какую часть краткосрочных обязательств организация может погасить не только за счет имеющейся наличности, но и за счет ожидаемых поступлений от покупателей и заказчиков, при условии своевременного проведения взаиморасчетов. Рассчитаем коэффициент критической ликвидности по формуле: Ккр.лик. = Ккр.лик н.п. = 516 588 / 826 763 = 0,62 Ккр.лик к.п. = 504 615 / 833 409 = 0,61 Вывод: Коэффициент критической ликвидности ниже нормативного значения и это означает, что организация не может в полной степени погасить краткосрочную задолженность за счет имеющейся наличности и ожидаемых поступлений. 6. Коэффициент абсолютной ликвидности, показывает, какую часть краткосрочной задолженности предприятие может покрыть за счет имеющихся денежных средств и краткосрочных финансовых вложений. Кал = ( ДС + КФВ) / Тек.об. или А1 / (П1+П2), где Тек.Об. – это V раздел баланса минус «Резервы предстоящих расходов и платежей» Кал0 = (73 172 + 59 739) / (826 763 – 48) = 0,161 Кал1 = ( 73 923 + 60 000) / ( 833 409 – 38) = 0, 161 Вывод: Оптимальное значение данного коэффициента больше 0,2. Это означает, что ежедневно подлежат погашению более 20% обязательств. Из приведенных расчетов видно, что организация имеет критический уровень погашения краткосрочных обязательств, причем динамика данного коэффициента отсутствует. Для роста коэффициента абсолютной ликвидности организации следует снизить уровень внеоборотных активов, запасов, дебиторской задолженности и краткосрочных обязательств. 7. Рассчитаем коэффициент обеспеченности оборотных активов собственными оборотными средствами. КСОС = или Данный коэффициент показывает, какая часть ОА сформирована за счет собственного капитала: КСОС 0 = ( 1 666 175 + 351 791- 1 364 848) / 1 479 881 = 0,44 КСОС 1 = (1 941 951 + 370 980 - 1 704 055) / 1 442 285 = 0,42 Вывод: Коэффициент обеспеченности СОС выше оптимального, можно сказать, что в организации более 40% оборотных средств, сформированы за счет собственного капитала. На конец отчетного периода видна негативная динамика снижения коэффициента на 0,02 пункта. Платежеспособность в самом общем виде характеризуется степенью ликвидности оборотных активов организации и свидетельствует о ее финансовых возможностях полностью и в установленные сроки расплачиваться по своим обязательствам. На практике считается, что если организация признается платежеспособной, если значение К ТЛ больше 2, а КСОС больше 0,1. Если хотя бы один из коэффициентов ниже оптимального значения, то баланс организации не является удовлетворительным, а организация признается неплатежеспособной. Спрогнозируем восстановление платежеспособности организации в следующие 6 месяцев. Для этого 8. Спрогнозируем способность организации восстановить свою платежеспособность в течение 6 месяцев. С этой целью рассчитаем коэффициент восстановления платежеспособности (оптимальное значение ≥ 1 ): Ктек.лик.к.п. + 6 мес./12мес. * (Ктек.лик.к.п. - Ктек.лик.н.п ) Квост. = 2 = 0,91 Вывод: Коэффициент восстановления платежеспособности меньше 1 и это ниже оптимального значения. На основании проведенных расчетов можно сказать, что организация не сможет в течении 6 месяцев восстановить свою платежеспособность . Следовательно организации необходимо разработать комплекс мер по ускорению оборачиваемости оборотных средств, для более активного их роста. Финансовая устойчивость – это стабильное превышение доходов над расходами, что обеспечивает свободное маневрирования денежными средствами и путем их эффективного использования способствует бесперебойному производственно-коммерческому циклу. Таблица 5.4.2 Анализ динамики показателей финансовой устойчивости организации
1. Коэффициент автономии (финансовой независимости) можно рассчитать следующим образом: Данный коэффициент показывает удельный вес собственных средств в общей сумме источников финансирования (какая часть активов предприятия сформирована за счет собственных источников средств). К авт =1 666 223 / 2 844 729 = 0,58 - на начало года К авт = 1 941 989 / 3 146 340 = 0,62 - на конец года Положительная оценка финансовой устойчивости может быть сделана, если показатель финансовой независимости ≥ 0,5. Коэффициент автономии организации на конец отчетного периода составил 0,62, и в данном случае можно сказать, что собственникам принадлежит 62 % имущества организации. Показатель выше оптимального и это свидетельствует о благоприятной финансовой ситуации в организации. За последний год коэффициент автономии увеличился на 0,03 пункта. 2. Коэффициент финансовой устойчивости (обеспеченности долгосрочными источниками финансирования) рассчитывается по формуле:
К ФУ = (1 666 223 + 351 791) / 2 844 729 = 0,71 - на начало года К ФУ = (1 941 989 + 370 980) / 3 146 340 = 0,74 - на конец года Данный коэффициент характеризует долю формирования активов за счет долгосрочных источников средств, то есть, какая часть активов сформирована за счет устойчивых источников. С начала по конец отчетного периода произошло изменение значения коэффициента финансовой устойчивости. Рассчитаем изменение: 0,74 – 0,71 = 0,03 (или 3 %). На конец отчетного периода коэффициент финансовой устойчивости на 3% выше показателя на начало отчетного периода. Оптимальное значение коэффициента финансовой устойчивости ≥ 0,6, расчетные данные превышают это значение, таким образом, финансовое состояние организации является достаточно устойчивым. 3. Коэффициент соотношения заемного и собственного капитала (лаверидж) можно рассчитать следующим образом:
Рассчитаем коэффициент соотношения заемного и собственного капитала (леверидж), как отношение долгосрочных и краткосрочных обязательств, за минусом доходов будущих периодов к величине собственного капитала. КФР
= КФР = 137 072 + 661 133+278 635 / (608 470 + 165) = 1,7693 - на начало года КФР = 301 236 + 699 281+721 804 / (610 079 + 165) = 2,8223 - на конец года Коэффициент финансового рычага характеризует финансовую активность организации по привлечению заемных средств. Норматив коэффициента 1,5. Данный коэффициент считается одним из основных индикаторов финансовой устойчивости; и чем выше значение этого коэффициента, тем выше риск вложения капитала в данное предприятие. Изменение показателя: 2,82 – 1,76 = 1,05 4. Коэффициент обеспеченности собственными оборотными средствами можно рассчитать следующим образом:
КСОС 0 = ( 1 666 223 +351 791 – 1 270 019) / 1 574 710 = 0,475 КСОС 1 = ( 1 941 989 +370 980 – 1 600 816) / 1 545 524 = 0,4608 Оптимальное значение коэффициента обеспеченности СОС ≥ 0,1, расчетные данные превышают это значение, таким образом, финансовое состояние организации является достаточно устойчивым. 5. Коэффициент финансовой маневренности рассчитывается следующим образом: КФМ 0 = ( 1 666 223 +351 791 – 1 270 019) / 1 666 223 = 0,7073 КФМ 1 = ( 1 941 989 +370 980 – 1 600 816) / 1 941 989 = 0,6202 Коэффициент финансовой маневренности показывает долю собственного капитала, направленную на финансирование оборотных активов. Его норматив 0,2 – 0,5. Данный коэффициент рассчитанный при анализе финансового положения организации больше оптимального значения, следовательно финансовое положение организации можно считать устойчивым. Проведем анализ типа финансовой устойчивости. Представим расчетные данные в таблице 5.3.3 Таблица 5.4.3 Установление типа финансовой устойчивости организации
Система соотношений типов финансовой устойчивости: 1. Абсолютная финансовая устойчивость: Запасы < СОС 2. Нормальная финансовая устойчивость: СОС < Запасы < СОС + ДО 3. Неустойчивое финансовое состояние: СОС + ДО < Запасы < СОС + ДО+ КЗиК 1. Предкризисное финансовое состояние (на грани банкротства) Запасы > СОС + ДО + КЗиК На основании проведенного анализа на этапе абсолютной финансовой устойчивости отмечается дефицит источников финансирования относительно запасов. Можно сказать, что организация не относится к абсолютно финансово-устойчивым организациям. На следующем этапе у организации наблюдается излишек источников финансирования. Следовательно, для финансирования операционного цикла компании нет необходимости в привлечении краткосрочных займов и кредитов для решения оперативных финансовых вопросов в текущей деятельности. Можно сказать, что организация относится ко второму типу: НОРМАЛЬНАЯ ФИНАНСОВАЯ УСТОЙЧИВОСТЬ. Вывод: По данным таблицы 23.2, наблюдается концентрация собственного капитала выше критического значения - 25,16 % на начало периода и 22,07 % на конец периода, что говорит о достаточном уровне финансовой устойчивости и независимости хозяйствующего субъекта. Коэффициент автономии или концентрации собственного капитала означает, что все обязательства организации могут быть покрыты его собственными средствами, то есть величина собственных источников финансирования должна быть выше половины совокупных источников формирования имущества. Превышение показателя нормативного значения (50%) означает, что в свете долгосрочной перспективы все обязательства могут быть покрыты собственными средствами. Данный факт важен для кредиторов, которые более охотно вкладывают средства в организации с высокой долей собственного капитала. Отметим, что исследуемая организация характеризуется допустимыми значениями данного коэффициента, а так же на конец отчетного периода присутствует позитивная тенденция увеличения показателя к концу отчетного периода, и это составило 3 пункта. Привлечение дополнительных источников финансирования может способствовать росту эффективности использования совокупного капитала за счет эффекта финансового рычага. Коэффициент маневренности показывает, какая часть собственных средств организации находится в мобильной форме, позволяющей относительно свободно маневрировать данными ресурсами. Анализируемая организация имеет допустимое оптимальное значение на начало периода, на конец текущего периода данный коэффициент снизился на 6 пунктов, то есть произошло перетекание собственных источников формирования имущества во внеоборотные активы. Коэффициент соотношения заемных и собственных средств показывает, что хозяйствующий субъект в большей мере финансируется за счет собственного капитала, значение коэффициента ниже оптимального и в динамике уменьшилось на 0,03 пункта. За счет привлечения долгосрочных кредитов и займов организация получила дополнительные источники финансирования деятельности, возврат которых предполагается более чем через год, что позволяет ему укреплять финансовую устойчивость и на основании анализа типа финансовой устойчивости организации достаточно собственных средств и долгосрочных займов и кредит для нормального операционного цикла. Задание № 5. Проанализируйте соотношение дебиторской и кредиторской задолженности на различные отчетные даты. 1. Рассчитаем долю долгосрочной и краткосрочной дебиторской задолженности в общей структуре дебиторской задолженности. а) доля долгосрочной дебиторской задолженности определяется по формуле:
- на начало года: - на конец года: - относительное отклонение составило: б) доля краткосрочной дебиторской задолженности определяется по формуле:
- на начало года: - на конец года: - относительное отклонение составило: 2. Рассчитаем долю долгосрочной и краткосрочной кредиторской задолженности в общей структуре кредиторской задолженности. а) доля долгосрочной кредиторской задолженности определяется по формуле:
- на начало года: - на конец года: Таблица 5.5
- относительное отклонение составило: б) доля краткосрочной кредиторской задолженности определяется по формуле: - на начало года: - на конец года: - относительное отклонение составило: 3. Рассчитаем абсолютное отклонение дебиторской и кредиторской заложенности: а) абсолютное отклонение дебиторской заложенности: - отклонение долгосрочной дебиторской заложенности:
- отклонение краткосрочной дебиторской заложенности:
- общее отклонение дебиторской задолженности составило:
б) абсолютное отклонение кредиторской заложенности:
- отклонение долгосрочной кредиторской заложенности:
- отклонение краткосрочной кредиторской заложенности:
- общее отклонение кредиторской задолженности составило:
4. Определим индекс покрытия кредиторской задолженности, дебиторской по формуле: На 1 руб. обязательств, приходится: - на начало года: - на конец года: - относительное отклонение: 5. Рассчитаем сколько приходится, рублей оборотных активов на 1 рубль краткосрочных обязательств: - на начало года: - на конец года: 6. Определим долю дебиторской задолженности в общей величине оборотных активов: - на начало года: - на конец года: 7. Проведем анализ оборачиваемости дебиторской и кредиторской задолженности. а) определим среднегодовую величину задолженности за отчетный год: - дебиторской задолженности:
- кредиторской задолженности:
б) рассчитаем коэффициент оборачиваемости дебиторской и кредиторской задолженности за отчетный год: - дебиторской задолженности: - кредиторской задолженности: в) рассчитаем коэффициент закрепления, который является обратным коэффициенту оборачиваемости: - дебиторской задолженности:; - кредиторской задолженности: г) рассчитаем длительность оборотов дебиторской и кредиторской задолженности в днях: - дебиторской задолженности: - кредиторской задолженности: Представим полученные данные в таблице № 5.5.1 Таблица 5.5.1
Вывод: Проведя горизонтальный анализ рассчитанной таблицы № 30, можно сделать вывод, что дебиторская задолженность по сравнению с прошлым годом уменьшилась на 4 575 тыс. руб. или на 0,96 %, за счет краткосрочной дебиторской задолженности уменьшилась на 12 985 тыс.руб. (3,38%) и за счет долгосрочной дебиторской задолженности увеличилась на 8 410 тыс.руб. (8,87%). Кредиторская задолженность к концу года возросла на 25 807 тыс.руб. (2,19%), за счет увеличения долгосрочной кредиторской задолженности на 19 189 тыс.руб. (5,45%) и за счет увеличения краткосрочной кредиторской задолженности на 6 618 тыс.руб. (0,80%). Вертикальный анализ говорит о том, что дебиторская задолженность состоит из краткосрочной задолженности 80,18 в прошлом году и 78,22 в отчетном году, уменьшилась на 1,97 %, расчеты с покупателями и заказчиками составляет 19,82 %, а в отчетном году 21,78, т.е. увеличились на 1,97%. Кредиторская задолженность состоит из долгосрочной кредиторской задолженности 29,85% в прошлом году, в отчетном году 30,81%, доля долгосрочной кредиторской задолженности увеличилась на 0,95% . Краткосрочная кредиторская задолженность 70,15% в прошлом году, в отчетном году 69,19%, доля краткосрочная кредиторской задолженности уменьшилась на 0,95%. Рассчитанный индекс покрытия хоть к концу года и уменьшился на 0,01, так и остался меньше 1, это говорит о том, что в случае необходимости расплаты с кредиторами, дебиторской задолженности не хватит и придется вовлекать собственные средства. Сделанные расчеты показали, что не 1 руб. краткосрочных обязательств на начало года приходится 1,91руб. оборотных активов организации и на конец года 1,85 руб. Следовательно, покрытие кредиторской задолженности будет возможно за счет оборотных активов. Рассчитанная доля дебиторской задолженности в общей величине оборотных активов, говорит о том, что на 1 руб. оборотных активов приходится на начало года 30 коп., а концу года 31коп. Доля, хоть и увеличилась к концу года на 1 коп., но составляет не большую часть всего оборотного актива. Проведенный анализ оборачиваемости дебиторской и кредиторской задолженности, говорит о том, что коэффициент оборачиваемости дебиторской задолженности составляет 15,20% или 24 дня. Это значит, что выставленные счета покупателям и заказчикам оплачиваются примерно в течение месяца. Коэффициент оборачиваемости кредиторской задолженности составляет 6,08% или 59 дней. Большая длительность оборота кредиторской задолженности дает нам возможность, использовать кредиторскую задолженность как источник получения финансовых ресурсов. Задание 6 На основании проведенного анализа финансового положения предприятия можно заключить, что большинство показателей характеризуют положение предприятия как: Анализ ликвидности предприятия показал, что баланс предприятия нельзя назвать, абсолютно ликвидным, так как его наиболее ликвидные активы не покрывают наиболее срочных обязательств. Однако организация имеет возможность восстановить платежеспособность в дальнейшем, улучшив сбыт и производство продукции, что подтверждает расчетперспективной платежеспособности. Учитывая, что в ООО «Рубин» можно отнести к числу неплатежеспособных организаций, т.к. значение коэффициента текущей ликвидности менее 2, а коэффициент обеспеченности оборотных активов собственными средствами меньше 0,1. Рассчитали возможность восстановления платежеспособности, который показал, что тенденция уменьшения к концу года коэффициента текущей ликвидности не позволит восстановить платежеспособность организации через 6 месяцев. Рассчитанные коэффициенты финансовой устойчивости предприятия характеризует его способность осуществлять хозяйственную деятельность преимущественно за счет собственных средств, при сохранении платежеспособности. Основная часть коэффициентов соответствует нормативным показателям или близка к ним. Это говорит о достаточно устойчивом финансовом состоянии организации, что подтверждается расчетом финансовой устойчивости организации на основе величин собственных средств. Анализ дебиторской и кредиторской задолженности показал, что дебиторская задолженность к концу года снизилась, за счет краткосрочной дебиторской задолженности и за счет долгосрочной дебиторской задолженности. Проведенный анализ оборачиваемости дебиторской и кредиторской задолженности, говорит о том, что коэффициент оборачиваемости дебиторской задолженности составляет 15,45% или 24 дня. Это значит, что выставленные счета покупателям и заказчикам оплачиваются примерно в течение месяца. Коэффициент оборачиваемости кредиторской задолженности составляет 6,08 % или 59 дней. Большая длительность оборота кредиторской задолженности дает нам возможность, использовать кредиторскую задолженность как источник получения финансовых ресурсов. 6. Комплексная оценка деятельности организации Задание № 1 Проведем сравнительную рейтинговую оценку результативности деятельности ООО «Рубин», ООО «Алмаз» и ООО «Агат». Таблица 6.1 Подготовка стандартизированных показателей для комплексной оценки результатов хозяйственной деятельности ООО
На основании данных справки №3 «Коэффициенты комплексных показателей, входящих в рейтинговую оценку показателей, конкурирующих с ООО «Рубин». заполняется табл.25.1 для ООО «Алмаз» и ООО «Агат», для ООО «Рубин» воспользуемся данными формы №2 «Отчет о прибылях и убытках» за отчетный год:
Таблица 5.6.1 Матрица стандартизированных показателей комплексной оценки результатов деятельности ООО
Дадим сравнительную рейтинговую оценку результативности деятельности конкурирующих с ООО «Рубин» обществ: «Алмаз» и «Агат». Расчеты произведем в таблице 25.2. Исходные данные для анализа представлены в таблице 25.1 и в справке № 4 «Коэффициент значимости комплексных показателей, участвующих в рейтинговой оценке деятельности организаций анализируемой отрасли». Расчеты. Создадим матрицу стандартизованных коэффициентов хij
по алгоритму: Рассчитаем итоговое значение по каждой организации: ООО «Алмаз»: 0,965 * 1,8 + 0,884 * 1,4 + 0,767 * 2 + 0,856 * 1,6 + 0,955 * 1,5 + 0,974 * 1,7 = 8,964, ООО «Агат»: 1,000 * 1,8 + 1,000 * 1,4 + 0,921 * 2 + 1,000 * 1,6 + 0,843 * 1,5 + 1,000 * 1,7 = 9,605. ООО «Рубин»: 0,085 * 1,8 + 0,626 * 1,4 + 1,000 * 2 + 0,660 * 1,6 + 1,000 * 1,5 + 0,979 * 1,7 = 7,249, Рейтинговую оценку с учетом коэффициента значимости рассчитаем по следующей формуле: ООО «Алмаз»: ООО «Агат»: ООО «Рубин»: Вывод: Рейтинговая оценка результативности деятельности конкурирующих организаций позволяет сделать вывод, что ООО «Агат» занимает 1-е место по прибыльности деятельности, а анализируемая нами организация ООО «Рубин» занимает 3 место. Заключение Проведя комплексный экономический анализ хозяйственной деятельности ООО «Рубин», можно сделать следующие выводы: В отчетном году в ООО «Рубин», произошел рост объема продаж на 998 399 тыс. руб. по сравнению с предыдущим годом. 1. Проведя анализ ресурсного потенциала организации, можно сказать, что на данное изменение повлияли следующие факторы: 1.1 Анализ трудовых ресурсов: - Увеличение среднечасовой выработки одного рабочего, привело к значительному увеличению объема продаж на 1 121 386,66 тыс. руб. или на 112,32 % (1 121 386,66 / 998 399*100%). - Увеличение численности рабочих на 430 человек за отчетный год привело к увеличению объема продаж на 312 000 тыс. руб. или на 31,25% (312 000 / 998 399 * 100%). - Уменьшение продолжительности рабочего дня в отчетном году на 0,5 часа (30 мин.) ((16 254 000 / 2 167 200) - (16 580 800 / 2 072 600)), произошло за счет внутрисменных простоев, что привело к значительному снижению объема продаж на 407 800,85 тыс. руб. или на 40,85 % ( 407 800,85 / 998 399*100%). - Уменьшение числа отработанных дней одним рабочим на 1 день негативно сказалось на объеме продаж (27 187,06 тыс.руб. или 2, 72 % ). Таким образом, увеличение объема продаж на 998 399 тыс. руб. в организации, произошло за счет самого качественного интенсивного фактора (среднечасовая выработка рабочего) и самого экстенсивного фактора (численность рабочих). Снижение объема продаж произошло за счет экстенсивных факторов (увеличение целодневных простоев и внутрисменные потери). Организации необходимо предусмотреть мероприятия по ликвидации внутрисменных и целодневных потерь и за счет этого увеличить объем продаж на 407 800,85 тыс.руб. 1.2 Анализ материальных ресурсов: - Увеличение стоимости материалов себестоимости продукции (экстенсивный фактор) и это увеличило объем продаж на 1 129 425 тыс.руб. или 113 % (1 129 425/ 998 399) - Отрицательное влияние оказало снижение материалоотдачи проданной продукции на 131 026 тыс. руб. В относительном выражении это - 13 %. Темп прироста стоимости материалов составляет 18% (645 478 / 3 566 212 * 100). В то время как объем продаж увеличился на 16%. Увеличение стоимости материальных затрат в себестоимости продаж увеличилось на 18%, в результате чего произошел относительный перерасход материала на 74 884,08 тыс.руб. Снижение материалоотдачи связано не только с ухудшением их использования, но так же с ростом цен на сырье и материалы. Увеличение стоимости материальных затрат отрицательно отражается на себестоимости продукции и сокращает возможности ее выпуска. В то же время увеличение стоимости материальных затрат не свидетельствует о перерасходе материальных затрат в натуральном выражении, что требует дополнительного анализа расхода материальных затрат при проведении анализа затрат и себестоимости продукции. 1.3 Анализ основных средств: - увеличение коэффициента сменности на 0,25 увеличило выручку от продаж на 1 509 052,31 тыс. руб., - увеличение первоначальной стоимости активной части производственных основных средств на 22 106 руб. увеличило выручку от продаж на 124 428,11 тыс. руб. Отрицательное влияние на изменение выручки от продаж оказало: - уменьшение продолжительности смены уменьшило объем выручки от продаж на сумму 490 442 тыс.руб. - уменьшение продукции приходящийся на 1 тыс.руб. стоимости активной части основных средств за 1 машино-час работы уменьшило объем продаж на 118, 231тыс. руб. - изменение количества дней в течение которых основные средства находились в рабочем состоянии уменьшило объем продаж на сумму 26 428,11 тыс.руб. На основании проведенных расчетов и анализа можно сказать, что происходит увеличение количественных факторов и снижение качественных, что оценивается негативно. 1.4 По результатам анализа комплексной оценки экстенсивного и интенсивного фактора по каждому виду ресурсов на 1 % прироста выручки от продаж продукции (коэффициент экстенсивного использования ресурсов) означает, что на каждый процент прироста продукции приходится 0,3125%прироста среднесписочной численности рабочих, а так же 0,1248% прироста стоимости активной части ОСи 1,1312% прироста стоимости материальных затрат в стоимости продукции. Расчет влияния экстенсивного и интенсивного показателей показывает, что доля влияния экстенсивного использования ресурсов составляет 52,35%, а доля интенсивного использования ресурсов - 47,65%, т.о. ООО «Рубин» неэффективно использует имеющиеся ресурсы. Экстенсивные факторы на рост объема продаж влияют сильнее, чем интенсивные. 1.5 Выявленные резервы роста объема производства и продаж продукции на предварительных этапах расчета по каждому виду ресурсов показали, что комплектной суммы резерва составляет 131 026,00 тыс.руб., т.к организация по всем располагает резервами роста выпуска продукции в этом объеме. 2. Анализ производства и объема продаж показал: 2.1 Анализ влияния на прирост объема продаж изменения количества, ее структуры и цен произошел под влиянием двух факторов: количества проданной продукции и цены. За счет увеличения количества выручка от продаж увеличилась на 936 000 тыс. руб., что свидетельствует о положительных результатах деятельности организации, т. е о расширении бизнеса, наращивании объема производства. За счет изменения цены выручка увеличилась на 149 399 тыс. руб. Отрицательное влияние оказало изменение структурных сдвигов на продукцию, что привело к снижению выручки на 87 000 тыс. руб. Это говорит о низкой рентабельности продукции и о том, что организации следует уделять внимание не только росту количества выпускаемой продукции, но и на ассортимент. 2.2 Разработанный бизнес-план показал, что среди изделий, планируемых в будущем периоде для продажи убыточных нет. Наибольшую рентабельность имеет изделие В – 10,5 %. Ниже рентабельность изделий С (8,13 %) и А (7,693%). Самая низкая рентабельность у изделия в (5,55%), а так же маленькая прибыль и организации необходимо рассмотреть вопрос о целесообразности выпуска данного вида продукции. 2.3 Анализ точки безубыточности и финансовой устойчивости показал, что: Точке безубыточности в ООО «Рубин» в отчетном году соответствует 5 539 402, 35 тыс.руб. Это свидетельствует о том, что фактический объем продаж в отчетном году превысил критический объем, а на планируемый период она составит 7 255 631 тыс.руб. Запас финансовой прочности в отчетном году составил 1 698 997 тыс.руб. Запас финансовой прочности в несколько раз ниже нормы: 23,47 % и 21,67 % в плановом году, что означает, что реализовав 76,53 % и 78,33 % продукции, предприятие сможет покрыть свои издержки и лишь соответственно 23,47 % и 21,67 % реализованной продукции приносят предприятию прибыль. При том, что нормативное значение запаса финансовой прочности составляет 40-50 % от объема продаж. 3. Анализ затрат и себестоимости продукции показал: 3.1 Доля материальных затрат в структуре себестоимости составляет более 60%, на долю трудовых затрат и отчислений на социальные нужды приходится более 25 %. При сравнении структуры затрат на производство в отчетном году и в прошлом годом выявлено увеличение доли материальных затрат, затрат на увеличение оплаты труда, отчислений на социальные нужды и уменьшение затрат на амортизацию и прочие затраты. Т.к. темп прироста расходов (15 %) меньше чем темп прироста объема продаж (16 %), это говорит об эффективном использовании всех производственных ресурсов в целом. 3.2 Динамика себестоимости проданной продукции показала, что затраты на 1 руб. продаж снизились на 1 копейку с 0,91 коп. до 0,90 коп. Факторы, повлекшие снижение этого показателя, оказали различное влияние. 3.3 Факторный анализ по отдельным видам материалов показал, что влияние на изменение стоимости материалов всего выпуска продукции оказало увеличение количества израсходованного материала вида Y на 67 500 тыс. руб., а снижение количества материала вида X на – 112 200 тыс.руб., материала вида Z на – 344 160 тыс.руб., материала вида W на – 23 312 тыс.руб. Общее влияние за счет изменения количества по всем видам материалов составило - 412 172 тыс.руб. Доля изменения стоимости всех материалов за счет изменения количества составила - 63,86 %, а за счет изменения цены +163,86%. Наибольшее влияние на стоимость всех материалов оказал рост цен на материал вида W , что увеличило себестоимость продукции на 884 800 тыс.руб., а снижение цены материала Z на 10 руб., привело к снижению всей стоимости материалов на – 8 100 тыс.руб. Общее суммарное изменение цены на материалы увеличило стоимость материалов на 1 057 650 тыс.руб. Из всех видов материалов наибольшее влияние на совокупную стоимость всех материалов, оказали материалы вида Z, в сторону снижения стоимости материалов и W в сторону увеличения стоимости материалов. 3.4 Анализ влияния отдельных факторов на уровень затрат на оплату труда показал, что в ООО «Рубин», в отчетном году произошел рост по заработной плате на 167 235 тыс.руб. по сравнению с прошлым годом. Этот рост произошел за счет увеличения среднегодовой заработной платы на 4,85 тыс.руб. или 11,88% (4,85 / 40,84 Численность работников за отчетный год возросла на 710 человек или 2,55 % (710/27 810 3.5 Анализ состава, структуры и динамики доходов и расходов показал, что в отчетном году общая сумма доходов предприятия составила 7 291 898 тыс. руб., что на 1 002 771 тыс. руб. или на 14 % больше, чем в прошлом году. Значительное влияние на рост доходов ООО «Рубин» оказала выручка от реализации продукции, величина которой увеличилась на 998 399 тыс. руб. или на 16 % больше по сравнению с прошлым годом. Удельный вес выручки от продаж в общей сумме доходов в прошлом году составил 99,42%, в отчетном году 99,27%, т.е. удельный вес вырос на 0,15% по отношению к прошлому году. Учитывая изложенное выше можно сделать вывод о том, что организация основную часть доходов получает от текущей деятельности, т.е. за счет выручки от продаж. Наиболее весомый вклад, как в прошлом, так и в отчетном годах в общую сумму расходов предприятия вносят расходы по обычным видам деятельности – это себестоимость продукции. Управленческие расходы в отчетном году увеличились, но в процентах к общей сумме расходов они снизились на 0,205 %, что можно расценить положительно. К этому могли привести такие факторы как снижение управленческого персонала, командировок управленцев, а так же снижение нужд управленческого характера. Коммерческие расходы, величина которых в отчетном году выросла , также в процентах к общей сумме расходов снизились на 0,017 %, тоже можно оценить положительно. 4. Анализ финансовых результатов деятельности организации показал: 4.1 Что чистая прибыль в отчетном году была сформирована в рамках обычной деятельности, т.е. за счет прибыли от продаж. Абсолютная величина прибыли от продаж возросла на 162 223 тыс.руб. В отчетном году, так же как и прошлом году получен убыток по прочим операциям, причем в отчетном году размер убытка увеличился на 127 147 тыс. руб. Это значит, что величина прочих расходов и процентов к уплате по прежнему превышает величину прочих доходов и процентов к получению, что является негативным фактором. Этот убыток уменьшает прибыль до налогообложения и чистую прибыль организации. 4.2 Проведение факторного анализа прибыли до налогообложения и суммы налога на прибыль показало, что чистая прибыль в связи с увеличением прибыли до налогообложения на 162 223 тыс. руб. На изменение прибыли от продаж в большей степени повлияли количественные (экстенсивные) факторы: количество и цена. Резерв составил 78 014 тыс.руб. 4.3 Величина показателя эксплуатационных затрат высокая, что говорит о довольно низкой рентабельности производственной деятельности. При этом в отчетном году произошло хотя и незначительное, но увеличение рентабельности производственной деятельности на 0,0392 или на 3,92коп. (0,4252-0,3860) и соответствующее снижение эксплуатационных затрат на -0,0392 (0,5748-0,6140), что можно оценить положительно. Расчеты на планируемый период свидетельствуют об ухудшении результатов, так как рентабельность на планируемый период уменьшится на -0,0367 или -3,67коп. (0,3885-0,4252) и соответственно повысятся эксплуатационные затраты на 0,0367 (0,6115-0,5748). Это свидетельствует об отрицательной производственной деятельности, бизнес-план составлен неудачно, а его реализация приведет к снижению результатов деятельности. 4.4 На основании анализа рентабельности активов можно сделать вывод о том, что рентабельность активов в отчетном году снизилась на 0,0802% по сравнению с прошлым годом. Наибольшее влияние оказало уменьшение рентабельности продаж на 0,5433% , что свидетельствует о снижении эффективности текущей деятельности организации. Так же отрицательное влияние оказало снижение коэффициента финансовой независимости, за счет него рентабельность активов снизилась на 0,0950%. А улучшение коэффициента оборачиваемости собственного капитала на 0,2620 привело к улучшению рентабельности активов на 0,5580%, но не смогло перекрыть отрицательного влияния двух других факторов. 4.5 Анализ рентабельности собственного капитала показал, что рентабельность собственного капитала в отчетном году увеличилась на 0,108 % по сравнению с прошлым годом. Наибольшее положительное влияние оказал коэффициент оборачиваемости заемного капитала. Увеличение этого коэффициента в отчетном году на 0,303 позволило увеличить рентабельность собственного капитала на 0,007. Финансовый рычаг в отчетном году вырос на 0,01069, что привело к увеличению рентабельности собственного капитала на 0,00216. Отрицательное влияние на рентабельность собственного капитала оказала рентабельность продаж, она уменьшила этот показатель на 0,009021. 5. Анализ финансового положения показал что: 5.1 За отчетный год СОС организации уменьшились на 35 832 тыс.руб. Наибольшее влияние на это снижение оказало возросшее в 3 раза по сравнению с прошлым годом незавершенное строительство (темп роста 305% = 443 557 / 145 567*100). На основании проведенного анализа можно сделать вывод, что ООО «Рубин», находится на стадии обновления и расширения основных средств в связи с большим объемом незавершенного строительства. 5.2 Анализируя рассчитанные коэффициенты и сравнивая их с нормативными показателями, можно сказать, что коэффициент обеспеченности материальными запасами, который показывает, в какой степени материальные запасы покрыты собственными источниками и не нуждаются в привлечении заемных, к концу года увеличился на 0,02 и соответствует нормативному показателю от 0,6 до 0,8; коэффициент обеспеченности СОС к концу года хоть и уменьшился на 0,01, но остался в пределах нормативного показателя; коэффициент маневренности, к концу года увеличился на 0,03, при этом так и не достиг оптимального значения 0,5. На основании этого следует, что организация является в недостаточной степени финансово устойчивой. 5.3 На основании проведенного расчета операционного, финансового рычагов, можно сказать: - при увеличении выручки от продаж на 1%, прибыль от продаж увеличилась на 1,805%. - финансовый рычаг имеет отрицательный эффект за счет того, что рентабельность капитала ниже уровня платы за кредит. Текущий коэффициент финансового рычага отрицательный, т.е. в отчетном году происходит «проедание» собственного капитала, что может стать причиной банкротства. В текущем году, организация использовало заемный капитал уже по более низкой цене, тем самым подняв рентабельность капитала, при достаточно устойчивой структуре собственного и заемного капитала. При использовании заемных средств с ценой равной 12 % рентабельность СК организации увеличится, т.о. при таком дифференциале финансового рычага (14,76 - 12) организация увеличит рентабельность СК на 1,34%. 5.4 Анализ эффективности оборотных активов показал, что продолжительность оборота в отчетном году по сравнению с прошлым годом снизалась на 8,64 дня, это позволило сэкономить 173 610 тыс.руб. Факторы, которые повлияли на этот результат – это выручка от продаж и среднегодовые остатки оборотных активов. 5.5 Анализ ликвидности предприятия показал, что баланс предприятия нельзя назвать, абсолютно ликвидным, так как его наиболее ликвидные активы не покрывают наиболее срочных обязательств. Однако организация имеет возможность восстановить платежеспособность в дальнейшем, улучшив сбыт и производство продукции, что подтверждает расчетперспективной платежеспособности. Учитывая, что в ООО «Рубин» можно отнести к числу неплатежеспособных организаций, т.к. значение коэффициента текущей ликвидности менее 2, а коэффициент обеспеченности оборотных активов собственными средствами меньше 0,1. Рассчитали возможность восстановления платежеспособности, который показал, что тенденция уменьшения к концу года коэффициента текущей ликвидности не позволит восстановить платежеспособность организации через 6 месяцев. Рассчитанные коэффициенты финансовой устойчивости предприятия характеризует его способность осуществлять хозяйственную деятельность преимущественно за счет собственных средств, при сохранении платежеспособности. Основная часть коэффициентов соответствует нормативным показателям или близка к ним. Это говорит о достаточно устойчивом финансовом состоянии организации, что подтверждается расчетом финансовой устойчивости организации на основе величин собственных средств. Анализ дебиторской и кредиторской задолженности показал, что дебиторская задолженность к концу года снизилась на 4 575 тыс.руб., за счет краткосрочной дебиторской задолженности на 12 985 тыс.руб. (3,38 %) и за счет долгосрочной дебиторской задолженности на 8 410 тыс.руб. (8,87 %). Проведенный анализ оборачиваемости дебиторской и кредиторской задолженности, говорит о том, что коэффициент оборачиваемости дебиторской задолженности составляет 15,45% или 24 дня. Это значит, что выставленные счета покупателям и заказчикам оплачиваются примерно в течение месяца. Коэффициент оборачиваемости кредиторской задолженности составляет 6,08 % или 59 дней. Большая длительность оборота кредиторской задолженности дает нам возможность, использовать кредиторскую задолженность как источник получения финансовых ресурсов. 6. Анализ показателей комплексной оценки хозяйственной деятельности организации и аналогичные показатели конкурирующих обществ показал , что ООО «Рубин» находится в не самом выгодном положении, т.к. оно по ранжированию мест заняло третье место. Рекомендации для повышения эффективности хозяйственной деятельности организации: 1. Т.к. при анализе ресурсного потенциала организации видно, что ООО «Рубин», для увеличения объема продаж можно порекомендовать уделить должное внимание экстенсивным показателям ресурсного потенциала. Наиболее вероятной причиной отрицательного влияния средней продолжительности рабочего дня и числа отработанных дней одним рабочим являются незапланированные внутрисменные и целодневные простои по вине самого предприятия или внешних контрагентов. ООО «Рубин» необходимо разработать мероприятия по снижению потерь рабочего времени, что можно считать резервом роста продаж. Т.к. организация является достаточно материалоемкой, ей необходимо искать резервы за счет внутренних возможностей: - ликвидации сверхнормативного расхода отдельных видов материалов; - снижение брака в производстве; - снижение потерь материалов в процессе заготовления или хранения; - автоматизации производственных процессов. Наиболее вероятными причинами отрицательного влияния изменения продукции, приходящейся на 1 тыс. руб. стоимости активной части основных производственных средств за 1 машино-час работы, могут быть: - несоответствие темпов роста производительности (мощности) нового оборудования темпам роста его первоначальной (инвентарной) стоимости по сравнению с аналогичным заменяемым экземпляром; - увеличение стоимости основных средств без изменения их физических свойств; - изменение в ассортименте выпускаемой продукции; - уровень экономической работы, направленной на выявление состава оборудования, которое длительное время не будет участвовать в создании продукции. 2. При разработке бизнес-плана предприятию предпочтительнее сосредоточиться на выпуске и продаже изделий В, С и А, для чего необходимо обеспечить увеличение спроса на данные виды продукции и возможности увеличения их производства. Т.к. уровень рентабельности всех изделий невысок всего лишь 2 и 3 группа, поэтому предприятию необходимо изыскать резервы повышения прибыльности своей продукции, например, за счет снижения затрат на производство, улучшения качества продукции и расширения областей сбыта. Но нельзя отказываться и от выпуска менее рентабельных изделий таких как D, так как это приведет к неэффективному использованию производственных мощностей, что повлечет рост полной себестоимости выпускаемой продукции. От малорентабельной продукции можно отказаться лишь в том случае, если есть возможность заменить ее высокорентабельной уже выпускаемой или новой. Так же следует принять меры по снижению точки безубыточности, в частности за счет увеличения спроса и продаж наиболее рентабельных изделий, снижения издержек производства. Т.к. доля материальных затрат в структуре себестоимости составляет более 60%. Следовательно, основные резервы снижения себестоимости следует искать в направлении рационального использования материальных ресурсов. Из всех видов материалов наибольшее влияние на совокупную стоимость всех материалов, оказали материалы вида Y и W следовательно, именно этим видам материалов надо уделить наибольшее влияние при дальнейшем проведении углубленного анализа. Стоимость использованных материалов может быть снижена: - за счет снижения количества используемых материалов, которые в свою очередь зависят от удельного расхода материалов на единицу продукции, структуры и объема выпускаемой продукции. - за счет снижения цен, т.е за счет снижения себестоимости изготовления материалов. В состав себестоимости входит цена приобретения отдельного вида материала и транспортно-заготовительные расходы, состав и размер которых зависит от способов заготовления и привлекаемых поставщиков, то есть часть себестоимости заготовления материала зависит от деятельности самого предприятия, а часть вызвана происходящими в отраслях инфляционными процессами. Поэтому резервами снижения стоимости основных видов материалов являются: - снижение удельного расхода материала за счет совершенствования техники и технологии производства, уменьшение потерь материалов во время перевозки и хранения, сокращения брака и т.д. - снижение себестоимости заготовления материалов, то есть снижение товарно-заготовительных расходов, замены дорогостоящих материалов на более дешевые без ущерба качества продукции, совершенствование связей с поставщиками и т.д. Т.к. негативное влияние на прибыль оказало увеличение себестоимости продукции, уменьшив ее на 78 014 тыс. руб. и влияние структурных сдвигов, что так же уменьшило прибыль на 14 428 тыс.руб., это может служить резервом увеличения прибыли от продаж. Резерв увеличения прибыли может составит более 92 тыс.руб. если компания уделит должное внимание разработке бизнес-плана. Если организация уделит должное внимание приведенным выше рекомендациям, это позволит ей увеличить объем продаж, следовательно, получить большую прибыль, а так же повысить свой рейтинг по отношению к конкурирующим фирмам. Список использованной литературы 1. Анализ финансовой отчетности: Учебник / Под ред. М.А. Вахрушиной, Н.С. Пласковой. – М.: Вузовский учебник, 2009. 2. Комплексный экономический анализ хозяйственной деятельности: Учебное пособие/Под ред. М.А. Вахрушиной. – М.: Вузовский учебник, 2009. 3. Комплексный экономический анализ хозяйственной деятельности: Учебное пособие /А.И.Алексеева, Ю.В.Васильев, А.В., Малеева, Л.И.Ушвицкий. - М.: Финансы и статистика, 2006. 4. Савицкая Г.В. Анализ хозяйственной деятельности предприятия. – М.: Инфра-М, 2006. 5. Шеремет А.Д. Комплексный экономический анализ хозяйственной деятельности – М: Инфра-М, 2009. 6. Бердникова Т.Б. Анализ и диагностика финансово-хозяйственной деятельности предприятия. - М. : ИНФРА-М, 2007. 7. Шеремет А.Д., Сайфулина Р.Ф. Методика финансового анализа. Учебное пособие.- М: Инфра-М, 2008. 8. Канке А.А., Кошевая И. П. Анализ финансово-хозяйственной деятельности предприятия.- М. : ИНФРА-М, 2007. 9. Чуев И.Н., Чуева Л.Н. Комплексный экономический анализ хозяйственной деятельности: Учебник для вузов. – М.: Издательско-торговая корпорация «Дашков и Ко », 2008. 10. Любушин Н.П. Комплексный экономический анализ хозяйственной деятельности: учебное пособие. – 4-е изд.– М.: ЮНИТИ, 2009. 11. Ковалев А.И., Привалов В.А. Анализ финансового состояния предприятия – М.: Центр экономики и маркетинга, 2010. 12. Краюхин Г.А. Методика анализа деятельности предприятий в условиях рыночной экономики – СПб., Проспект, 2008. 13. Любушин Н.П., Лещева В.Б., Дьякова В.Г. Анализ финансово-экономической деятельности предприятия – М.: ЮНИТИ, 2007. 14. Негашев Г. В. Анализ финансов предприятия в условиях рынка – М.: Высшая школа, 2003. 15. Лысенко Д. В. Комплексный экономический анализ хозяйственной деятельности: Учебник для вузов.- М: Инфра-М, 2009. 16. Быкардов Л. В. Финансово-экономическое состояние предприятия: Практическое пособие.- М.: Издательство ПРИОР, 2007. 17. Писаренко Н. П. Экономическая эффективность торгового предприятия. - М.: Экономика, 2006. 18. Степанова Е. Е., Хмелевская Н.В., Информационное обеспечение управленческой деятельности: Учебное пособие. – М.: Инфра-М, 2007. 19. Горбачева Л.А. Анализ прибыли и рентабельности. –М.: Экономика, 2008. 20. Абрютина М.С., Грачев А.В. Анализ финансово – экономической деятельности предприятия.- М.: ДИС, 2007. 21. Кузина Е.Л., Сидорина Т. В. Финансовые результаты предприятия: Учет. Анализ Аудит. - М.: ПРИОР : Эксперт. бюро, 2007. 22. Лопатина И.М., Золкина З.К. Основы анализа финансового состояния предприятия: Учебное пособие. – М.: Инфра-М, 2009. Данная работа скачена с сайта Банк рефератов http://www.vzfeiinfo.ru ID работы: 27978 |
|||||||||||||||||||||||||||||||||||||||||||||||||||||||||||||||||||||||||||||||||||||||||||||||||||||||||||||||||||||||||||||||||||||||||||||||||||||||||||||||||||||||||||||||||||||||||||||||||||||||||||||||||||||||||||||||||||||||||||||||||||||||||||||||||||||||||||||||||||||||||||||||||||||||||||||||||||||||||||||||||||||||||||||||||||||||||||||||||||||||||||||||||||||||||||||||||||||||||||||||||||||||||||||||||||||||||||||||||||||||||||||||||||||||||||||||||||||||||||||||||||||||||||||||||||||||||||||||||||||||||||||||||||||||||||||||||||||||||||||||||||||||||||||||||||||||||||||||||||||||||||||||||||||||||||||||||||||||||||||||||||||||||||||||||||||||||||||||||||||||||||||||||||||||||||||||||||||||||||||||||||||||||||||||||||||||||||||||||||||||||||||||||||||||||||||||||||||||||||||||||||||||||||||||||||||||||||||||||||||||||||||||||||||||||||||||||||||||||||||||||||||||||||||||||||||||||||||||||||||||||||||||||||||||||||||||||||||||||||||||||||||||||||||||||||||||||||||||||||||||





= 1,90
= 1,85

. 