Реферат: Исследование метеорологических условий на рабочих местах
|
Название: Исследование метеорологических условий на рабочих местах Раздел: Рефераты по географии Тип: реферат | |||||||||||||||||||||||||||||||||||||||||||||||||||||||||||||||||||||||||||||||||||||||||||||||||||||||||||||||||||||||||||||||||||||||||||||||||||||||||||||||||||||||||||||||||||||||||||||||||||||||||||||||||||||||||||||||||||||||||||||||||||||||||||||||||||||||||||||||||||||||||||||||||||||||||||||||||||||||||||||||||||||||||||||||||||||||||||||||||
Министерство Образования Республики Молдова Технический Университет Молдовы Кафедра КПЭА Отчёт по лабораторным работам Кишинёв 2001 Цель работы: ознакомление с приборами и методами контроля метеорологических условий. Максимальная влажность (точка росы) – характеризуется максимальным количеством влаги (упругость или вес водяных паров), которая может находиться в воздухе (1м3) при данной температуре. Абсолютная влажность – фактическая упругость, Па (мм рт.ст.) или весовое количество водяного пара, находящееся в 1м3 воздуха в момент измерений, выраженное в граммах. Относительная влажность – отношение (в процентах) абсолютной влажности к максимальной влажности при данных температурных условиях. Таблица 1
Рв – максимальная влажность воздуха (упругость водяных паров) при температуре влажного термометра (табл. 3) tc и tb – показания сухого и влажного термометров соответственно, °С В – барометрическое давление, Па (мм рт.ст.) (берётся по барометру, установленному на вертикальной панели лабораторного стенда). Зная абсолютную влажность, определяем относительную влажность, Г.
R – абсолютная влажность, ч/м3 или мм рт.ст. Рс – максимальная влажность воздуха (упругость водяных паров при температуре сухого термометра (табл. 3)). Таблица 2
Таблица 3
Вывод: В соответствии с полученными результатами можно сделать вывод, что при таких условиях микроклимат не соответствует норме по ГОСТ 12.1.005 - 76. Лабораторная работа №4 Исследование производственного шума Цель работы: Ознакомление с методикой исследования производственного шума, принципом нормирования прибором и методом измерения, и средствами защиты от шума. Таблица результатов измерений нормируемых параметров шума
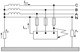
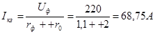
L1 – Lдоп; L2 – Lбез ср защиты; L3 – Lсо ср защиты Вывод: После проведённых измерений производственного шума без средств защиты, получили превышение допустимого уровня шума на частотах 125 и 8000 Гц. Для того, чтобы снизить уровень шумов ниже допустимого, применили средства защиты, что привело к снижению шума до нормальных значений. Лабораторная работа №6 Средства защиты человека от поражения электрическим током Цель работы: Ознакомление со средствами и способами защиты человека от поражения электрическим током; с требованиями, предъявляемыми защитному заземлению, изоляции токоведущих частей; с проведением контроля защитного заземления, зануления и изоляции токоведущих частей.
Таблица 1
Таблица 2
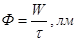
Вывод: Во всех полученных результатах измеренное сопротивление изоляции выше допустимого равного 0,5 делаем вывод, что работать можно, кроме одного случая В-С, где измеренное сопротивление равно 0,2 говорим, что работать невозможно. Лабораторная работа №8 Исследование освещённости на рабочих местах Цель работы: Ознакомление с основными понятиями и нормированием производственного освещения; привить навыки работы с приборами для определения освещённости на рабочих местах; научиться пользоваться нормативными материалами и измерять освещённость на рабочих местах. Основные светотехнические понятия : Световой поток – количество лучистой энергии, распространяющейся через площадку S в единицу времени и оцениваемой по зрительному ощущению человека:
W – количество лучистой энергии, проходящей через площадку S, Вт t - время, с За единицу светового потока принимается люмен (лм), поток, излучаемый при равномерном освещении эталонной накаливания в одну международную свечу (канделлу) внутрь телесного угла, равного одному стерадиану. Сила света – величина светового потока Ф, приходящая на единицу телесного угла:
Ф – световой поток, лм W – телесный угол, стерадиан За единицу света принята канделла (кд), которая определяется как сила света точечного источника, дающего световой поток Iлм внутри телесного угла в 1 стерадиан. Яркостью поверхности в данном направлении называется отношение силы света, излучаемой поверхностью в этом направлении, к проекции светящейся поверхности на плоскость, перпендикулярную данному направлению:
Ia - сила света, излучаемого поверхностью в направлении под углом a Контраст объекта с фоном К характеризуется соотношением яркостей рассматриваемого объекта (точка, линия, знак, пятно, трещина, риска, раковина или другие элементы, которые требуется различить в процессе работы) и фона. Определяются по формуле:
Lф и L0 – яркости соответственного фона и объекта. Контраст объекта различия с фоном – считается: большим – при значении К>0,5 (объект и фон резко отличаются по яркости) средним – при значении 0,2 £ К £ 0,5 (объект и фон заметно отличаются по яркости) малым – при значении К < 0,2 мало отличаются по яркости Таблица 1
Таблица 2
m – коэффициент светового климата, по таблице 4 СниП II-4-79, в зависимости от района расположения здания на территории СНГ (для RM – 0,9) с – коэффициент солнечности климата, RM – располагается в IV световом поясе Коэффициент естественной освещённости:
Вывод: Проделав испытания можно сказать, что все результаты в основном приемлемы для того, чтобы люди могли работать, но в менее освещённых случаях необходимо добавить искусственное освещение. Лабораторная работа №2 Определение содержания токсичных и взрываемых паро-газообразных веществ в воздухе рабочей зоны. Цель работы: Изучение некоторых методов и средств инструментальных измерений вредных газов и паров в воздухе рабочей зоны. Полученную концентрацию вредности приведём к н.у. (Р=760 мм рт.ст., t=0°С) по формуле:
х – концентрация вредности, приведённая к н.у. а – измеренная концентрация вредности по прибору УГ-2,мг/м3 t – замеренная температура воздуха в помещении, °С Pt – атмосферное давление во время замера, мм рт.ст.
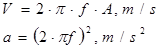
Вывод: Так как реальная концентрация превышает допустимую в 2 раза, значит необходимы меры по устранению. Lucrarea de laborator № 5 Tema Studierea vibraţiilor de producţie Scopul lucrării : A lua cunoştinţă de aparatele pentru măsurarea parametrelor vibraţiilor, a însuşi metodica efectuării măsurărilor şi calculelor, a aprecia eficacitatea mijloacelor de vibrozolare. Noţiuni generale Vibraţia prezintă prin sine oscilaţii mecanice ale corpurilor solide percepute de om ca trepidaţii. Cel mai simplu tip de oscilaţii sunt cele armonice. Parametrii de bază ai oscilaţiilor sinusoidale sunt: fregvenţa (f) –Hz; amplitudinea (A) - m; viteza (v) – m/s; acceleraţia (a) – m/s2. Pentru oscilaţiile sinusoidale viteza (v) şi acceleraţie (a) se determină după formulele:
Drept nivel de prag iniţial al vibrovitezei este luată valoarea 5×10-8 m/s, iar pentru vibroacceleraţie 3×10-4 m/s care corespund pragului standard al presiunei sonare egală cu 2×10-5 N/m2. Valorile relative ale vitezei şi acceleraţie vibraţiei se exprimă în decibeli şi determină după formulele:
Tabela 1
Concluzie : Из проделанной работы видно, что при применении средств виброзащиты происходит значительное изменение результатов в лучшую сторону. Делаем вывод, что такие средства просто необходимы в производстве. |
|||||||||||||||||||||||||||||||||||||||||||||||||||||||||||||||||||||||||||||||||||||||||||||||||||||||||||||||||||||||||||||||||||||||||||||||||||||||||||||||||||||||||||||||||||||||||||||||||||||||||||||||||||||||||||||||||||||||||||||||||||||||||||||||||||||||||||||||||||||||||||||||||||||||||||||||||||||||||||||||||||||||||||||||||||||||||||||||||


График спектра шумов
Схема защитного заземления
Схема защитного зануления
Схема подключения омметра при измерении сопротивления заземляющего устройства