Контрольная работа: Статистические расчеты 3
|
Название: Статистические расчеты 3 Раздел: Рефераты по экономико-математическому моделированию Тип: контрольная работа | ||||||||||||||||||||||||||||||||||||||||||||||||||||||||||||||||||||||||||||||||||||||||||||||||||||||||||||||||||||||||||||||||||||||||||||||||||||||||||||||||||||||||||||||||||||||||||||||||||||||||||||||||||||||||||||||||||||||||||||||||||||||||||||||||||||||||||||||||||||||||||||||||||||||||||||||||||||||||||||||||||||||||||||||||||||||||||||||||||||||||||||||||||||||||||||||||||||||||||||||||||||||
Вариант 1. Задача №1 Имеются данные по 16 рабочим:
С целью изучения зависимости между стажем работы и выработкой рабочих произведите группировку рабочих по стажу работы, выделив три группы с равными интервалами. По каждой группе и целом подсчитайте: А) число рабочих; Б) стаж работы – в целом и в среднем на одного рабочего; В) выработку изделий – в целом и в среднем на одного рабочего. Решение:
Исходя из полученных данных, можно сделать вывод о том, что выработка изделий напрямую зависит от стажа рабочего: самая продуктивная работа у рабочих, чей стаж превышает 10 лет. Задача №2. Имеются следующие данные о численности и заработной плате персонала по двум организациям:
Вычислите среднемесячную заработную плату по двум предприятиям: 1. за базисный период; 2. за отчетный период. Сравните полученные показатели и сделайте вывод. Решение: Определим фонд заработной платы по двум предприятиям за базисный период: 6500*210+7100*350 = 3 850 тыс. руб. Общее число работающих по двум предприятиям: 210 + 350 = 560 чел. Среднемесячная зарплата за базисный период: 3850000 / 560 = 6 875 руб. Т.е. за базисный период рабочие второго предприятия получали заработную плату выше, чем средняя по двум предприятиям за данный период. Среднее число работающих в отчетном периоде по двум предприятиям: 139 500 / 6 800 + + 253 500 / 7 450 ≈ 54 чел Среднемесячная зарплата за отчетный период: (139500+253500) / 54 ≈ 7 278 руб. Т.о., в отчетном периоде ситуация аналогична базисному периоду. Задача №3. Население города по возрасту распределяется следующим образом:
По данным таблицы исчислите: 1. средний возраст населения города; 2. моду, медиану. Сделайте выводы. Решение: 1.
2.Найдем моду по формуле:
М = 19 + (9* (20 – 17) / ((20 – 17) + (20 – 18)) = 19 + 27 / 5 = 24,4года 24,4 года - это величина признака (варианта), который наиболее часто встречается в данной совокупности, т.e. это варианта, имеющая наибольшую частоту. Найдем медиану по формуле:
Ме = 39 + 9 * (50 – 55) / 14 = 39 – 5 / 14 * 9 = 35,78 лет 35,78 - варианта, находящаяся в середине ряда распределения, она делит ряд на две равные (по числу единиц) части – со значениями признака меньше медианы и со значениями признака больше медианы. Задача №4. Имеются следующие данные об остатках вкладов в одном из отделений сберегательного банка в первом полугодии 2008 г. (тыс. руб.)
Исчислите средние остатки вкладов в сберегательном банке: 1. за первый квартал; 2. за второй квартал; 3. за полугодие в целом. Решение: Среднемесячные остатки вкладов за первый квартал (с 01.01 по 01.04): (883 + 881 + 900) / 3 = 888 тыс. руб. Среднемесячные остатки вкладов за второй квартал (с 01.04 по 01.07): (910 + 918 + 920) / 3 = 916 тыс. руб. Среднемесячные остатки вкладов за полугодие (с 01.01 по 01.07): (883 + 881 + 900 + 910 + 918 + 920) / 6 = 902 тыс. руб. Задача №5. Имеются данные о продаже картофеля по двум рынкам:
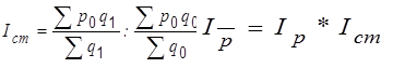
Вычислите: 1. индекс цен переменного состава; 2. индекс цен постоянного состава; 3. индекс структурных сдвигов. Сделайте выводы. Решение: Индекс цен переменного состава вычислим по формуле:
Средняя цена базисного периода = (13 * 100 + 12,2 * 150) / (100 + 150) = 12,52 руб. Средняя цена отчетного периода = (12,5 * 150 + 12 * 300) / (150 + 300) = 12,17 руб. Индекс цен переменного состава = 12,17 / 12,52 = 0,9718 Индекс переменного состава характеризует уменьшение прибыли на 3% из-за изменения объем продаж и уровня цен. Индекс цен постоянного состава вычислим по формуле:
Индекс цен постоянного состава: (12,5 * 150 + 12 * 300) / (13 * 150 + 12,2 * 300) = 0,9759 Индекс цен постоянного составапоказывает, что уровень продаж уменьшился бы на 3% при изменении индивидуальных уровней при неизменной структуре. Индекс структурных сдвигов вычислим по формуле:
Индекс структурных сдвигов = 0,9718 / 0,9759 = 0,9957 Индекс структурных сдвигов показывает, что средний уровень продаж уменьшился бы на 0,5%, за счет изменения структуры. Задача №6. Имеются следующие данные о товарообороте магазина: Таблица
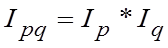
В 4 квартале по сравнению с 3 кварталом цены на мясо и мясопродукты не изменились, а на молочные повысились в среднем на 5%. Определите: 1. общий индекс товарооборота в фактических ценах; 2. общий индекс цен; 3. общий индекс физического объема товарооборота. Решение: Общий индекс товарооборота в фактических ценах найдем по формуле:
Ipq = (50,4 + 53,6) / (36,8 + 31,2) = 1,53 Общий индекс цен найдем по формуле:
Ip = (50,4 + 53,6) / (50,4 + 53,6 / 1,05) = 1,025 Общий индекс физического объема товарооборота найдем по формуле:
Т. е. Iq = 1,53 / 1,025 = 1,49 |
||||||||||||||||||||||||||||||||||||||||||||||||||||||||||||||||||||||||||||||||||||||||||||||||||||||||||||||||||||||||||||||||||||||||||||||||||||||||||||||||||||||||||||||||||||||||||||||||||||||||||||||||||||||||||||||||||||||||||||||||||||||||||||||||||||||||||||||||||||||||||||||||||||||||||||||||||||||||||||||||||||||||||||||||||||||||||||||||||||||||||||||||||||||||||||||||||||||||||||||||||||||







