Контрольная работа: по Экономике 4
|
Название: по Экономике 4 Раздел: Рефераты по экономике Тип: контрольная работа | ||||||||||||||||||||||||||||||||||||||||||
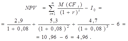
Задача 15 n = 3 года. I 0 = 6тыс.руб., 8% (r = 0,08).
Определить: А) NPV и s ( NPV ) ; Б) вероятность того, что NPV £ 0; В) вероятность попадания NPV в интервал [ M ( NPV ) ; M ( NPV )+ 50%]. Решение. А. 1. Ожидаемое значение потока платежей в периоде t : Год 1: 4,1
Год 2: 4,9 Год 3: 4,3
2. Ожидаемая чистая современная стоимость NPV : 5,01
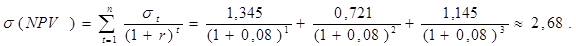
3. Стандартное отклонение потока платежей от ожидаемого значения в периоде t : Год 1: 0,7
Год 2: 0,83
Год 3: 1,19
4. Стандартное отклонение NPV : 2,13
То есть величина NPV может колебаться в диапазоне: 5,01 ± 2,13. Б. 5. Определяем вероятность того, что значение NPV будет меньше или равно нулю: при х = 0: =НОРМРАСП(0;5,01;2,13;1) получим 0,0093, т.е. вероятность того, что значение NPV будет больше или равно нулю является незначительной. В. 6. Определяем вероятность попаданияNPV в интервал[M ( NPV ) ; M ( NPV ) +50% ]. При х = M ( NPV ) = 5,01 =НОРМРАСП(5,01;5,01;2,13;1) получим 0,5 или 50%. При х = M ( NPV ) + 50%NPV = 5,01+ 2,13 = 7,14. =НОРМРАСП(7,14;5,01;2,13;1) получим 0,88 или 88%, т.е. вероятность данного события будет находиться в диапазоне 50% £р
£ 88%. Задача 9
n = 5 лет. t = 1. FA С = 150 тыс. руб. (FCt )С = 1000 тыс. руб. FA Н = 2000 тыс. руб. ТН.НОРМ = 10 лет (FCt )Н = 950 тыс. руб. 10% (r = 0,1), 20% (Т = 0,2). 1) Разработать план движения денежных потоков . 2) Предположим, что затраты на восстановление старого оборудования могут амортизироваться в течение 10 лет. Как повлияет данное условие на принятие решения ? Решение. I . 1. Ежегодные амортизационные отчисления для нового оборудования: А t Н = FA Н / ТН.НОРМ = 2000 /10 = 200 тыс. руб. 2. Снижение ежегодных эксплуатационных расходов: D FCt = (FCt )С – (FCt )Н = 1000 – 950 = 50 тыс. руб. 3. Ежегодные амортизационные отчисления капитальных вложений: А tI = [(I0 )1 +(I0 )2 ]/n = (300+250) /5 = 110 тыс. руб. 4. Определяем ежегодные амортизационные отчисления для старого оборудования, принимая остаточную балансовую стоимость, равную FA С.ОСТ =FA С = 150 тыс. руб. А t С = FAC / ТС.НОРМ = 150 /10 = 15 тыс. руб. Помещаем все результаты по проекту в таблицу:
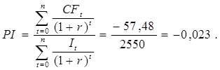
Определяем критерии эффективности проекта 5. Чистая приведенная стоимость: 164-2550=-2386
Т.к. NPV < 0, то проект не следует принимать. 6. Индекс рентабельности:164/2550=-0,064
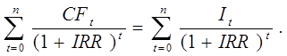
Индекс рентабельности PI = -0,064 < 1, поэтому проект нельзя принять. 7. Определяем внутреннюю норму доходности IRR :
IRR положительного решения не имеет, поэтому проект следует отклонить. II . Если затраты на восстановление старого оборудования могут амортизироваться в течение n 1 =10 лет, то ежегодные амортизационные отчисления капитальных вложений: А tI = [(I0 )1 +(I0 )2 ]/n1 = (300+250) /10 = 55 тыс. руб. Тогда план движения денежных потоков будет:
Все данные остаются прежними, изменений нет. Предприятие «Б» рассматривает проект по производству нового продукта «Ж». Стоимость требуемого оборудования — FA=280 000,00, его доставка и установка обойдутся в FA1=12 000,00. Ожидается, что оборудование прослужит n=10 лет, после чего его остаточная стоимость будет равна FA ост=14 000,00. Внедрение оборудования потребует дополнительного увеличения оборотного капитала в сумме WC=23 500, из которой 50% будет восстановлено к концу 10-го года. Ежегодная выручка от реализации продукта «Ж» определена в размере Rt= l35 000,00, операционные затраты — в VC1+FC1=60 000,00. Стоимость капитала для предприятия равна r=10%, ставка налога на прибыль T=20%. Используется ускоренный метод амортизации (метод суммы лет). 1) Разработайте план движения денежных потоков и осуществите оценку экономической эффективности проекта. 2) Предположим, что проект будет осуществляться только 5 лет, после чего оборудование будет продано за 50 000,00. Будет ли эффективным данный проект для предприятия? Подкрепите свои выводы соответствующими расчетами. РЕШЕНИЕ: 1. Определим объем инвестиций : Io=FA+FA1+WC=280+12+23,5=315,5 2. Определим ежегодные амортизационные отчисления (ускоренный метод) : Сумма, с которой будет начисляться амортизация: FA-FAост=280-14=266 Сумма лет полезного использования: 1+2+3+4+5+6+7+8+9+10=55 Сумма амортизационных отчислений: 1 год- 266*(10-1+1)/55=48.4 2 год-=266*(10-2+1)/55=43,5 3 год = 38,7 4 год = 33,9 5 год = 29 6 год = 24,2 7 год= 19,3 8 год = 14,5 9 год = 9,7 10 год = 4,8 3. Величина ликвидационного потенциала через 10 лет: LCFn=10=FAост+0,5WC=14+0,5*23,5=25,75 Помещаем все результаты по проекту в таблицу:
Определяем критерии эффективности проекта 4. Чистая приведенная стоимость: 406,77-315,5=91,27
Т.к. NPV > 0, то проект следует принять. 5. Индекс рентабельности: 406,77/315,5=1,289
Индекс рентабельности PI = 1,289> 1, поэтому проект можно принять. 6. Определяем внутреннюю норму доходности IRR :
IRR =0,17 > r=0,1 проект следует принять. II . 1. Определим остаточную балансовую стоимость к 5-му году: 24,2+19,3+14,5+9,7+4,8=72,5 2. Убыток от продажи оборудования за 50тыс.руб в конце 5 года: 72,5-50=22,5 Помещаем все результаты по проекту в таблицу:
Определяем критерии эффективности проекта 4. Чистая приведенная стоимость: 250,06-315,5=-65,44
Т.к. NPV <0, то проект следует отклонить. 5. Индекс рентабельности: 0,793
Индекс рентабельности PI = 0,793< 1, поэтому проект не следует принимать. 6. Определяем внутреннюю норму доходности IRR :
IRR не имеет положительного решения, значит проект принимать не следует. |
||||||||||||||||||||||||||||||||||||||||||

тыс. руб.
тыс. руб.








