Билеты: Финансовая математика 3
|
Название: Финансовая математика 3 Раздел: Рефераты по математике Тип: билеты | |||||||||||||||||||||||||||||||||||||||||||||||||||||||||||||||||||||||||||||||||||||||||||||||||||||||||||||||||||||||||||||||||||||||||||||||||||||
«Финансовая математика»«Финансовая математика»ОглавлениеПредисловие Часть 1. Теоретические основы финансово-коммерческих вычислений Глава 1. Общие понятия 1.1. Фактор времени в финансово-коммерческих расчетах 1.2. Сущность финансовой математики 1.3. Основные категории, используемые в финансово-экономических расчетах Тесты для проверки усвоения пройденного материала Глава 2. Операции наращения 2.1. Простые проценты 2.1.1. Формула простых процентов 2.1.2. Расчет процентов с использованием процентных чисел 2.1.3. Переменные ставки 2.1.4. Определение срока ссуды и величины процентной ставки 2.2. Сложные проценты 2.2.1. Формула сложных процентов 2.2.2. Эффективная ставка процентов 2.2.3. Переменная ставка процентов 2.2.4. Непрерывное начисление процентов 2.2.5. Определение срока ссуды и величины процентной ставки 2.3. Эквивалентность ставок и замена платежей 2.3.1. Эквивалентность процентных ставок 2.3.2. Изменение финансовых условий Тесты для проверки усвоения пройденного материала Глава 3. Операции дисконтирования 3.1. Сущность дисконтирования 3.2. Математическое дисконтирование 3.3. Банковский учет Тесты для проверки усвоения пройденного материала Глава 4. Потоки платежей и финансовые ренты 4.1. Сущность потока платежей и основные категории 4.2. Обобщающие характеристики финансовых потоков 4.2.1. Наращенная величина аннуитета 4.2.2. Современная (текущая) величина аннуитета 4.3. Определение параметром аннуитета 4.4. Оценка некоторых видов аннуитета 4.4.1. Бессрочный аннуитет 4.4.2. Непрерывный аннуитет 4.5. Нерегулярные потоки платежей Тесты для проверки усвоения пройденного материала Глава 5. Инфляция в финансово-коммерческих расчетах 5.1. Сущность инфляции и необходимость ее учета в количественном анализе 5.2. Методы учета инфляции в финансовых расчетах Тесты для проверки усвоения пройденного материала Часть 2. Типовые приложения финансовой математики Глава 6. Финансовые функции ЕХСЕL как основа практических расчетов в современных условиях 6.1. Сущность финансовых функций 6.2. Использование финансовых функций в финансовых операциях 6.2.1. Операции наращения 6.2.2. Операции дисконтирования 6.2.3. Определение срока финансовой операции 6.2.4. Определение процентной ставки Глава 7. Кредитные расчеты 7.1. Планирование погашения долга 7.1.1. Погашение долга единовременным платежом 7.1.2. Погашение долга в рассрочку 7.1.3. Потребительский кредит Глава 8. Оценка инвестиционных процессов 8.1. Особенности инвестиционных процессов как объекта финансовой математики 8.2. Показатели эффекта и эффективности инвестиционных проектов 8.2.1. Чистый приведенный доход 8.2.2. Срок окупаемости 8.2.3. Внутренняя норма доходности Приложение 1 Приложение 2 Приложение 3 Приложение 4 Приложение 5 Обозначения, используемые в данном пособии ПредисловиеУчебное пособие содержит систематизированное изложение основных понятий и методов финансовых вычислений и количественного анализа финансовых операций. Содержание курса охватывает базовые разделы финансовой математики, а также построение плана погашения кредита и финансовый анализ инвестиций. Базовые разделы финансовой математики и опирающиеся на них прикладные финансовые расчеты сопровождаются использованием технологии табличного процессора Excel. Принятый в настоящем учебном пособии состав и последовательность рассмотрения учебного материала, позволяет получить целостное представление о финансово-экономических расчетах и о практическом применении этих методов при разработке и реализации финансовых решений. Учебное пособие направлено на формирование профессионального уровня экономиста любой специальности. Кроме того, данный курс входит в подготовку бакалавров математиков, специализирующихся по направлению "прикладная математика" – математические методы и исследование операций в экономике. Возможно использование учебного курса для слушателей факультетов повышения квалификации экономических специальностей, а также для экономистов-практиков. Полученные студентами знания по финансовой математике являются основой для дальнейшего изучения ими дисциплин "Финансовый менеджмент", "Финансово-инвестиционный анализ", "Анализ рынка ценных бумаг", "Биржевое дело", "Страхование" и т.п. Издание подготовлено на основе курсов лекций, читавшихся авторами на экономическом и математическом факультетах Алтайского государственного университета. Учебный курс разработан при поддержке Национального фонда подготовки кадров в рамках Программы "Совершенствование социально-экономического образования в вузах". Авторы благодарны экспертам НФПК за внимание и конструктивную критику. Часть 1. Теоретические основы финансово-коммерческих вычисленийГлава 1. Общие понятия1.1. Фактор времени в финансово-коммерческих расчетахРоссийская экономика все более интегрируется в мировую экономику, что требует использования финансового инструментария, применяемого развитыми странами и международными организациями в финансовой практике. Становление рыночных отношений в России сопровождается появлением навыков и методов, которыми приходится овладевать для оценки инвестиционных проектов, в операциях на рынке ценных бумаг, в ссудо-заемных операциях, в оценке бизнеса и др. Кардинальное изменение банковской системы, внедрение новых форм собственности, развитие фондового рынка и финансовой самостоятельности предприятий сделали актуальным управление финансовыми ресурсами, одним из краеугольных элементов которого являются финансовые вычисления, базирующиеся на понятии временной ценности денег. Известный всем лозунг "время – деньги" имеет под собой реальную основу, позволяющую определить истинную ценность денег с позиции текущего момента. Важность учета фактора времени обусловлена принципом неравноценности денег, относящихся к различным моментам времени: равные по абсолютной величине денежные суммы "сегодня" и "завтра" оцениваются по разному, – сегодняшние деньги ценнее будущих. Отмеченная зависимость ценности денег от времени обусловлена влиянием фактора времени: · во-первых, деньги можно продуктивно использовать во времени как приносящий доход финансовый актив, т.е. деньги могут быть инвестированы и тем самым принести доход. Рубль в руке сегодня стоит больше, чем рубль, который должен быть получен завтра ввиду процентного дохода, который вы можете получить, положив его на сберегательный счет или проведя другую инвестиционную операцию; · во-вторых, инфляционные процессы ведут к обесцениванию денег во времени. Сегодня на рубль можно купить товара больше, чем завтра на этот же рубль, т.к. цены на товар повысятся; · в-третьих, неопределенность будущего и связанный с этим риск повышает ценность имеющихся денег. Сегодня рубль в руке уже есть и его можно израсходовать на потребление, а будет ли он завтра в руке, – еще вопрос. Существуют два подхода и соответствующие им два типа экономического мышления: · статический подход не учитывает фактор времени, – в соответствии с этим, здесь возможно оперирование денежными показателями, относящимися к различным периодам времени, и их суммирование; · динамический подход используется в финансовом анализе и финансовом менеджменте, где фактор времени играет решающую роль и его необходимо обязательно учитывать, поэтому здесь неправомерно суммировать денежные величины, относящиеся к различным моментам времени. Эти два подхода соответствуют "бухгалтерскому" и "экономическому" принципам анализа затрат. Именно динамический подход предполагает включение в расходы так называемых неявных затрат, определяемых на основе принципа альтернативной ценности. В условиях централизованно планируемой экономики на внутреннем уровне господствовал первый тип экономического мышления. Почему? · Во-первых, ни юридические, ни физические лица, как правило, не располагали крупными суммами временно свободных денежных средств, поскольку для юридических лиц ресурсы жестко лимитировались, а для физических лиц заработать крупные суммы денег было невозможно. · Во-вторых, единственный путь использования временно свободных денежных средств был связан с размещением их в Сбербанке. Переход к рыночной экономике изменил ситуацию и тип экономического мышления, поскольку деньги приобретают для широкого круга людей объективно существующую временную ценность. Сегодня можно заработать любую сумму денег, поскольку нет жестких ограничений ни для физических, ни для юридических лиц. Заработанные деньги можно пустить на потребление или инвестировать в экономику, поскольку ликвидируется монополия государства на пользование сбережениями населения. Финансовые и коммерческие расчеты стали постоянно сопровождать любого человека, будь то предприниматель или пенсионер. 1.2. Сущность финансовой математикиВ зарубежных университетах и колледжах при подготовке экономистов, финансистов, коммерсантов, менеджеров и маркетологов большое внимание уделяется изучению теории и практики финансово-экономических расчетов, необходимых в анализе инвестиционных проектов, расчете кредитных и коммерческих операций, эффективности предпринимательской деятельности, в страховом деле. Такая учебная дисциплина, охватывающая определенный круг методов вычислений, получила название финансовой математики. В России термин финансовая математика постепенно завоевывает сторонников, приходя на смену таким названиям, как финансовые и коммерческие расчеты, высшие финансовые вычисления и т.п. Финансовые вычисления появились с возникновением товарно-денежных отношений, но в отдельную отрасль знания оформились только в XIX в.: они назывались "коммерческие вычисления" или "коммерческая арифметика". Как утверждал русский математик, финансист и бухгалтер Н.С. Лунский, коммерческая математика изначально существовала под именем "политической арифметики", родоначальником которой является английский экономист Вильям Петти, – отец политической экономии и родоначальник статистической науки. Быстрый экономический рост стран в XIX в. во многом был обусловлен распространением коммерческих знаний. В частности, в России действия правительства привели к тому, что к концу XIX в. появились коммерческие училища, торговые школы, классы, курсы, поскольку актуальность и важность коммерческого образования не у кого не вызывала сомнения, а основу коммерческих наук составляла коммерческая арифметика, так как именно она обуславливает каждый торговый акт, каждую финансовую операцию. В области финансовых или коммерческих вычислений работал целый ряд российских ученых: И.З. Бревдо, Р.Я. Вейцман, П.М. Гончаров, И.И. Кауфман, Н.С. Лунский, Б.Ф. Мелешевский и другие, которые развили теорию и практику "коммерческой арифметики". В послереволюционный период коммерческая арифметика в России не получила должного развития, поскольку многие вопросы, связанные с финансами и финансовыми расчетами, попросту игнорировались. В странах с ориентацией на рыночную экономику коммерческая арифметика развилась в самостоятельное направление в науке – в финансовую математику. Сегодня процедурная сторона данной науки кажется относительно несложной, но содержательная сторона коммерческих расчетов не потеряла актуальности и в наше время. Что же представляет из себя "финансовая математика"? Один из российских основоположников данной науки Н.С. Лунский считал, что высшие финансовые вычисления являются отраслью прикладной математики, посвященной исследованию доступных математическому анализу вопросов финансовой науки, статистики и политической экономии. Однако, сформировавшись на стыке финансовой науки и математики, данная область знаний не относится к математическим дисциплинам, поскольку количественные методы могут применяться лишь после того, как эмпирические свойства и отношения переведены на "язык цифр". В связи с этим любому измерению и расчету предшествует качественный анализ объектов, в ходе которого с учетом конечной цели исследования и наличных методологических и методических средств выбираются свойства объектов и процедуры определения, соответствующих им числовых значений. При этом следует следить за адекватностью математических операций, выполняемых на числах, свойствам и отношениям изучаемых явлений и процессов. Качественный анализ необходим и после того, как вычисление произведено, чтобы установить степень соответствия результатов измерения объектам измерения с учетом целей исследования. Объектом изучения финансовой математики является финансовая операция, в которой необходимость использования финансово-экономических вычислений возникает всякий раз, когда в условиях сделки (финансовой операции) прямо или косвенно присутствуют временные параметры: даты, сроки выплат, периодичность поступления денежных средств, отсрочка платежей и т.д. При этом фактор времени зачастую играет более важную роль, чем стоимостные характеристики финансовой операции, поскольку именно он определяет конечный финансовый результат. В связи с этим, на наш взгляд, лучшее определение сущности финансовой математики дано Е.М. Четыркиным, который отмечал, что финансовая математика представляет собой совокупность методов определения изменения стоимости денег, происходящего вследствие их возвратного движения в процессе воспроизводства. Таким образом, финансовая математика – раздел количественного анализа финансовых операций, предметом которого является изучение функциональных зависимостей между параметрами коммерческих сделок или финансово-банковских операций и разработка на их основе методов решения финансовых задач определенного класса. Конкретно это выражается в решении следующих задач: · исчисление будущей суммы денежных средств, находящихся во вкладах, займах или ценных бумагах путем начисления процентов; · учет векселей; · определение параметров сделки исходя из заданных условий; · определение эквивалентности параметров сделки; · анализ последствий изменения условий финансовой операции; · исчисление обобщающих показателей финансовых потоков; · определение параметров финансовой ренты; · разработка планов выполнения финансовых операций; · расчет показателей доходности финансовых операций. К настоящему времени финансовая математика в России получила широкое распространение благодаря работам Е. Кочовича, Е.М. Четыркина, Г.П. Башарина, В.В. Капитоненко, Е.С. Стояновой, Г.Б. Поляка, В.Е. Черкасова, Т.В. Ващенко, В.А. Морошкина, С.В. Мирошкиной, А.В. Бухвалова, А.В. Идельсона, О.Ю. Ситниковой, Я.С. Мелкумова, В.Н. Румянцева и др. Финансовая математика используется в банковском и сберегательном деле, страховании, в работе финансовых организаций, торговых фирм, инвестиционных компаний, фондовых и валютных бирж и т.п. 1.3. Основные категории, используемые в финансово-экономических расчетахВ финансовой математике широко представлены все виды статистических показателей: абсолютные, относительные и средние величины. Процентные деньги или просто проценты в финансовых расчетах представляют собой абсолютную величину дохода (приращение денег) от предоставления денег в долг в любой его форме (причем эта финансовая операция может реально и не состояться): 1>>> · выдача денежной ссуды; · продажа в кредит; · сдача в аренду; · депозитный счет; · учет векселя; · покупка облигаций и т.п. Таким образом, проценты можно рассматривать как абсолютную "цену долга", которую уплачивают за пользование денежными средствами. Абсолютные показатели чаще всего не подходят для сравнения и оценки ввиду их несопоставимости в пространстве и во времени. Поэтому в финансово-коммерческих расчетах широко пользуются относительными показателями. Относительный показатель, характеризующий интенсивность начисления процентов за единицу времени, – процентная ставка. Методика расчета проста: отношение суммы процентных денег, выплачивающихся за определенный период времени, к величине ссуды. Этот показатель выражается либо в долях единицы, либо в процентах. Таким образом, процентная ставка показывает, сколько денежных единиц должен заплатить заемщик за пользование в течение определенного периода времени 100 единицами первоначальной суммы долга. Начисление процентов, как правило, производится дискретно, т.е. за фиксированные одинаковые интервалы времени, которые носят название "период начисления", – это отрезок времени между двумя следующими друг за другом процедурами взимания процентов. Обычные или декурсивные (postnumerando) проценты начисляются в конце периода. В качестве единицы периода времени в финансовых расчетах принят год, однако это не исключает использования периода менее года: полугодие, квартал, месяц, день, час.
Период времени от начала финансовой операции до ее окончании называется сроком финансовой операции. Для рассмотрения формул, используемых в финансовой математике, необходимо ввести ряд условных обозначений: I – проценты за весь срок ссуды (interest); PV – первоначальная сумма долга или современная (текущая) стоимость (present value); i – ставка процентов за период (interest rate); FV – наращенная сумма или будущая стоимость (future value), т.е. первоначальная сумма долга с начисленными на нее процентами к концу срока ссуды; n – срок ссуды в годах. После начисления процентов возможно два пути: · либо их сразу выплачивать, по мере их начисления, · либо отдать потом, вместе с основной суммой долга. Увеличение суммы долга в связи с присоединением к ней процентных денег называется наращением, а увеличенная сумма – наращенной суммой. Отсюда можно выделить еще один относительный показатель, который называется коэффициент наращения или множитель наращения, – это отношение наращенной суммы к первоначальной сумме долга. Коэффициент наращения показывает, во сколько раз наращенная сумма больше первоначальной суммы долга, т.е. по существу является базисным темпом роста. Основу коммерческих вычислений составляют ссудо-заемные операции, в которых проявляется ярче всего необходимость учета временной ценности денег. Несмотря на то, что в основе таких расчетов заложены простейшие на первый взгляд схемы начисления процентов, эти расчеты многообразны ввиду многообразия условий финансовых контрактов в отношении частоты и способов начисления процентов, а также вариантов предоставления и погашения ссуд. Существуют различные способы начисления процентов и соответствующие им виды процентных ставок.
Простая процентная ставка применяется к одной и той же первоначальной сумме долга на протяжении всего срока ссуды, т.е. исходная база (денежная сумма) всегда одна и та же. Сложная процентная ставка применяется к наращенной сумме долга, т.е. к сумме, увеличенной на величину начисленных за предыдущий период процентов, – таким образом, исходная база постоянно увеличивается. Фиксированная процентная ставка – ставка, зафиксированная в виде определенного числа в финансовых контрактах. Постоянная процентная ставка – неизменная на протяжении всего периода ссуды. Переменная процентная ставка – дискретно изменяющаяся во времени, но имеющая конкретную числовую характеристику. Плавающая процентная ставка – привязанная к определенной величине, изменяющейся во времени, включая надбавку к ней (маржу), которая определяется целым рядом условий (сроком операции и т.п.). Основу процентной ставки составляет базовая ставка, которая является начальной величиной. Примером базовой ставки для зарубежных финансовых рынков могут служить лондонская межбанковская ставка ЛИБОР (LIBOR – London Interbank Offered Rate) или ставка ЛИБИД (LIBID – London Interbank Bid Rate), для России это ставка МИБОР (MIBOR – Moscow Interbank Offered Rate) или ставка МИБИД (MIBID – Moscow Interbank Bid Rate), а также ставка МИАКР (MIACR – Moscow Interbank Actual Credit Rate).
Тесты для проверки усвоения пройденного материалаВ заданиях, представленных в форме теста, необходимо выбрать правильный вариант ответа. Иногда правильных ответов может быть два и более. 1. Принцип неравноценности денег заключается в том, что: o A – деньги обесцениваются со временем; o B – деньги приносят доход; o C – равные по абсолютной величине денежные суммы, относящиеся к различным моментам времени, оцениваются по-разному; o в – "сегодняшние деньги ценнее завтрашних денег". 2. Финансово-коммерческие расчеты используются для: o A – определения выручки от реализации продукции. o B – расчета кредитных операций. o C – расчета рентабельности производства. o в – расчета доходности ценных бумаг. 3. Подход, при котором фактор времени играет решающую роль, называется: o A – временной; o B – статический; o C – динамический; o в – статистический. 4. Проценты в финансовых расчетах: o A – это доходность, выраженная в виде десятичной дроби; o B – это абсолютная величина дохода от предоставления денег в долг в любой его форме; o C – показывают, сколько денежных единиц должен заплатить заемщик за пользование в течение определенного периода времени 100 единиц первоначальной суммы долга; o в – это %. 5. Процентная ставка – это: o A – относительный показатель, характеризующий интенсивность начисления процентов; o B – абсолютная величина дохода от предоставления денег в долг в любой его форме; o C – ставка, зафиксированная в виде определенного числа в финансовых контрактах; o в – отношение суммы процентных денег к величине ссуды. 6. В качестве единицы времени в финансовых расчетах принят: o A – год; o B – квартал; o C – месяц; o в – день. 7. Наращение – это: o A – процесс увеличения капитала за счет присоединения процентов; o B – базисный темп роста; o C – отношение наращенной суммы к первоначальной сумме долга; o в – движение денежного потока от настоящего к будущему. 8. Коэффициент наращения – это: o A – отношение суммы процентных денег к величине первоначальной суммы; o B – отношение наращенной суммы к первоначальной сумме; o C – отношение первоначальной суммы к будущей величине денежной суммы; o в – отношение процентов к процентной ставке. 9. Виды процентных ставок в зависимости от исходной базы: o A – постоянная, сложная; o B – простая, переменная; o C – простая, сложная; o в – постоянная, переменная. 10. Фиксированная процентная ставка – это: o A – ставка, неизменная на протяжении всего периода ссуды; o B – ставка, применяемая к одной и той же первоначальной сумме долга; o C – ставка, зафиксированная в виде определенного числа в финансовых контрактах; o в – отношение суммы процентных денег к величине ссуды. Глава 2. Операции наращения2.1. Простые проценты2.1.1. Формула простых процентовРассмотрим процесс наращения (accumulation), т.е. определения денежной суммы в будущем, исходя из заданной суммы сейчас. Экономический смысл операции наращения состоит в определении величины той суммы, которой будет или желает располагать инвестор по окончании этой операции. Здесь идет движение денежного потока от на-стоящего к будущему. Величина FV показывает будущую стоимость "сегодняшней" величины PV при заданном уровне интенсивности начисления процентов i.
При использовании простых ставок процентов проценты (процентные деньги) определяются исходя из первоначальной суммы долга. Схема простых процентов предполагает неизменность базы, с которой происходит начисление процентов. Из определения процентов не трудно заметить, что проценты (процентные деньги) представляют собой, по сути, абсолютные приросты: I = FV - PV, а поскольку база для их начисления является постоянной, то за ряд лет общий абсолютный прирост составит их сумму или произведение абсолютных приростов на количество лет ссуды: I = (FV - PV) n = [(FV - PV) / PV • PV] n = i • PV • n, где i = (FV - PV) / PV по определению процентной ставки. Таким образом, размер ожидаемого дохода зависит от трех факторов: от величины инвестированной суммы, от уровня процентной ставки и от срока финансовой операции. Тогда наращенную сумму по схеме простых процентов можно будет определять следующим образом: FV = PV + I = PV + i • PV • n = PV (1 + i • n) = PV • kн , где kн – коэффициент (множитель) наращения простых процентов. Данная формула называется "формулой простых процентов". Поскольку коэффициент наращения представляет собой значение функции от числа лет и уровня процентной ставки, то его значения легко табулируются. Таким образом, для облегчения финансовых расчетов можно использовать финансовые таблицы, содержащие коэффициенты наращения по простым процентам. Пример 1. Сумма в размере 2'000 рублей дана в долг на 2 года по схеме простого процента под 10% годовых. Определить проценты и сумму, подлежащую возврату. Решение: Наращенная сумма: FV = PV (1 + n • i ) = 2'000 (1 + 2 • 0'1) = 2'400 руб. или FV = PV • kн = 2'000 • 1,2 = 2'400 руб. Сумма начисленных процентов: I = PV • n • i = 2'000 • 2 • 0,1 = 400 руб. или I = FV - PV = 2'400 - 2'000 = 400 руб. Таким образом, через два года необходимо вернуть общую сумму в размере 2'400 рублей, из которой 2'000 рублей составляет долг, а 400 рублей – "цена долга". Следует заметить, что подобные задачи на практике встречаются редко, поскольку к простым процентам прибегают в случаях: · выдачи краткосрочных ссуд, т.е. ссуд, срок которых либо равен году, либо меньше его, с однократным начислением процентов; · когда проценты не присоединяются к сумме долга, а периодически выплачиваются. В тех случаях, когда срок ссуды менее года, происходит модификация формулы: а) если срок ссуды выражен в месяцах ( М ), то величина n выражается в виде дроби: n = М / 12, тогда все формулы можно представить в виде: FV = PV (1 + М / 12 • i); I = PV • М / 12 • i; kн = 1 + М / 12 • i. Пример 2. Изменим условия предыдущего примера, снизив срок долга до 6 месяцев. Решение: Наращенная сумма: FV = PV (1 + М / 12 • i) = 2'000 (1 + 6/12 • 0'1) = 2'100 руб. или FV = PV • kн = 2'000 • 1,05 = 2'100 руб. Сумма начисленных процентов: I = PV • М / 12 • i = 2'000 • 6/12 • 0,1 = 100 руб. или I = FV - PV = 2'100 - 2'000 = 100 руб. Таким образом, через полгода необходимо вернуть общую сумму в размере 2'100 рублей, из которой 2'000 рублей составляет долг, а проценты – 100 рублей. б) если время выражено в днях (t), то величина n выражается в виде следующей дроби: n = t / T, где t – число дней ссуды, т.е. продолжительность срока, на который выдана ссуда; T – расчетное число дней в году (временная база). Отсюда модифицированные формулы имеют следующий вид: FV = PV (1 + t / T • i ); I = PV • t / T • i; kн = 1 + t / T • i. Здесь возможны следующие варианты расчета: 1. Временную базу ( T ) можно представить по-разному: o условно состоящую из 360 дней. В этом случае речь идет об обыкновенном (ordinary interest), или коммерческом проценте; o взять действительное число дней в году (365 или 366 дней). В этом случае получают точный процент (exact interest). 2. Число дней ссуды ( t ) также можно по-разному определять: o условно, исходя из того, что продолжительность любого целого месяца составляет 30 дней, а оставшиеся дни от месяца считают точно, – в результате получают так называемое приближенное число дней ссуды; o используя прямой счет или специальные таблицы порядковых номеров дней года, рассчитывают фактическое число дней между датами, – в этом случае получают точное число дней ссуды. 2>>> Таким образом, если время финансовой операции выражено в днях, то расчет простых процентов может быть произведен одним из трех возможных способов: 1. Обыкновенные проценты с приближенным числом дней ссуды, или, как часто называют, "германская практика расчета", когда продолжительность года условно принимается за 360 дней, а целого месяца – за 30 дней. Этот способ обычно используется в Германии, Дании, Швеции. 2. Обыкновенные проценты с точным числом дней ссуды, или "французская практика расчета", когда продолжительность года условно принимается за 360 дней, а продолжительность ссуды рассчитывается точно по календарю. Этот способ имеет распространение во Франции, Бельгии, Испании, Швейцарии. 3. Точные проценты с точным числом дней ссуды, или "английская практика расчета", когда продолжительность года и продолжительность ссуды берутся точно по календарю. Этот способ применяется в Португалии, Англии, США. Чисто формально возможен и четвертый вариант: точные проценты с приближенным числом дней ссуды, – но он лишен экономического смысла. Вполне естественно, что в зависимости от использования конкретной практики начисления простых процентов их сумма будет различаться по абсолютной величине. Для упрощения процедуры расчета точного числа дней финансовой операции пользуются специальными таблицами порядковых номеров дней года (Приложение 1), в которых все дни в году последовательно пронумерованы. Точное количество дней получается путем вычитания номера первого дня финансовой операции из номера последнего дня финансовой операции. Пример 3. Сумма 2 млн руб. положена в банк 18 февраля не високосного года и востребована 25 декабря того же года. Ставка банка составляет 35% годовых. Определить сумму начисленных процентов при различной практике их начисления. Решение: 1. Германская практика начисления простых процентов: Временная база принимается за 360 дней, T = 360. t = 11 (февраль) + 30 (март) + 30 (апрель) + 30 (май) + 30 (июнь) + + 30 (июль) + 30 (август) + 30 (сентябрь) + 30 (октябрь) + + 30 (ноябрь) + 25 (декабрь) - 1 = 305 дней Сумма начисленных процентов: I = P • t / T • i = 2'000'000 • 305/360 • 0,35 = 593'055,55 руб. 2. Французская практика начисления процентов: Временная база принимается за 360 дней, T = 360. Количество дней ссуды: t = 11 (февраль) + 31 (март) + 30 (апрель) + 31 (май) + 30 (июнь) + + 31 (июль) + 31 (август) + 30 (сентябрь) + 31 (октябрь) + + 30 (ноябрь) + 25 (декабрь) - 1 = 310 дней По таблицам порядковых номеров дней в году (Приложение 1) можно определить точное число дней финансовой операции следующим образом: t = 359 - 49 = 310 дней. Сумма начисленных процентов: I = P • t / T • i = 2'000'000 • 310/360 • 0,35 = 602'777,78 руб. 3. Английская практика начисления процентов: Временная база принимается за 365 дней, T = 365. Количество дней ссуды берется точным, t = 310 дней. Сумма начисленных процентов: I = P • t / T • i = 2'000'000 • 310/365 • 0,35 = 594'520,55 руб. Как видно, результат финансовой операции во многом зависит от выбора способа начисления простых процентов. Поскольку точное число дней в большинстве случаев больше приближенного числа дней, то и проценты с точным числом дней ссуды обычно получаются выше процентов с приближенным числом дней ссуды. В практическом смысле эффект от выбора того или иного способа зависит от значительности сумм, фигурирующих в финансовой операции.
2.1.2. Расчет процентов с использованием процентных чиселВ банковской практике размещенный на длительное время капитал может в течение этого периода времени изменяться, т.е. увеличиваться или уменьшаться путем дополнительных взносов или отчислений. Таким образом, при обслуживании счетов банки сталкиваются с непрерывной сетью поступлений и расходованием средств и начислени-ем процентов на постоянно меняющуюся сумму. В этой ситуации в банковской практике используется правило: общая начисленная за весь срок сумма процентов равна сумме процентов, начисленных на каждую из постоянных на некотором отрезке времени сумм. Это касается и дебетовой, и кредитовой части счета. Разница лишь в том, что кредитовые проценты вычитаются. В таких случаях для расчета процентов используется методика расчета с вычислением процентных чисел: каждый раз, когда сумма на счете изменяется, производится расчет "процентного числа" за период, в течение которого сумма на счете была неизменной. Процентное число вычисляется по формуле: Процентное число = = (Сумма на счете • Длительность периода в днях) / 100 = = (PV • t ) / 100 Для определения суммы процентов за весь срок их начисления все "процентные числа" складываются, и их сумма делится на постоянный делитель, который носит название "процентный ключ" или дивизор, определяемый отношением количества дней в году к годовой процентной ставке: I = ΣПроцентных чисел : Постоянный делитель, где Постоянный делитель = Продолжительность года в днях / Годовая ставка процентов = T / i 4>>> Проценты, вычисляемые с использованием дивизора, рассчитанного исходя из 365 дней в году, будут меньше, чем проценты по дивизору, где количество дней в году принято за 360, поэтому при обслуживании конкретного клиента всегда используется один из дивизоров. Методика с использованием процентных чисел по своей сути является последовательным применением формулы простых процентов для каждого интервала постоянства суммы на счете: I = I1 + I2 + I3 = P1 • t1 / T • i + P2 • t2 / T • i + P3 • t3 / T • i Пример 4. При открытии сберегательного счета по ставке 28% годовых, 20 мая 1999 года была положена сумма в размере 1'000 рублей, а 5 июля на счет добавлена сумма в 500 руб., 10 сентября снята со счета сумма в 750 руб., а 20 ноября счет был закрыт. Используя процентные числа определить сумму начисленных процентов при условии, что банк использует "германскую практику". Решение: Срок хранения суммы в 1'000 руб. составил 46 дней, тогда Процентное число 1 = (1'000 • 46) / 100 = 460; срок хранения суммы в размере 1'500 руб. составил 66 дней, откуда Процентное число 2 = (1'500 • 66) / 100 = 990; срок хранения уменьшенной до 750 руб. суммы составил 70 дней: Процентное число 3 = (750 • 70) / 100 = 525 Дивизор = 360 / 28 = 12,857 Следовательно, сумма начисленных процентов за период действия сберегательного счета составит: I = (460 + 990 + 525) / 12,857 = 153,61 руб. Можно проверить правильность произведенных нами расчетов, исходя из сути процентов: I = 1'000 • 46 / 360 • 0,28 + 1'500 • 66 / 360 • 0,28 + 750 • 70 / 360 • 0,28 = 153,61 руб. Как видим, результат вычислений тот же самый. 2.1.3. Переменные ставкиСтавка процентов не является застывшей на вечные времена величиной, поэтому в финансовых операциях, в силу тех или иных причин, предусматриваются дискретно изменяющиеся во времени процентные ставки. Например, наличие инфляции вынуждает собственника денег периодически варьировать процентной ставкой. В таких случаях наращенную сумму определяют, используя следующую формулу: FV = PV • (1 + n1 • i1 + n2 • i2 + … + nk • ik ), где k – количество периодов начисления; nk – продолжительность k-го периода; ik – ставка процентов в k-ом периоде. Пример 5. Вклад в сумме 5'000 руб. был положен в банк 25 мая не високосного года по ставке 35% годовых, а с 1 июля банк снизил ставку по вкладам до 30% годовых и 15 июля вклад был востребован. Определить сумму начисленных процентов при английской практике их начисления. Решение: Количество дней для начисления процентов по первоначально действующей процентной ставке в размере 35% годовых рассчитывается точно и составляет 37 дней, а по измененной ставке 30% годовых – 14 дней. Отсюда величина процентов будет равна: I = 5'000 • (37 / 365 • 0,35 + 14 / 365 • 0,30) = 234,93 руб. Таким образом, при закрытии счета клиент должен получить процентов в сумме 234,93 руб. 2.1.4. Определение срока ссуды и величины процентной ставкиВ любой простейшей финансовой операции всегда присутствуют четыре величины: современная величина (PV), наращенная или будущая величина (FV), процентная ставка (i) и время (n). Иногда при разработке условий финансовой сделки или ее анализе возникает необходимость решения задач, связанных с определением отсутствующих параметров, таких как срок финансовой операции или уровень процентной ставки. Как правило, в финансовых контрактах обязательно фиксируются сроки, даты, периоды начисления процентов, поскольку фактор времени в финансово-коммерческих расчетах играет важную роль. Однако бывают ситуации, когда срок финансовой операции прямо в условиях финансовой сделки не оговорен, или когда данный параметр определяется при разработке условий финансовой операции. Обычно срок финансовой операции определяют в тех случаях, когда известна процентная ставка и величина процентов. Если срок определяется в годах, то n = (FV - PV) : (PV • i), а если срок сделки необходимо определить в днях, то появляется временная база в качестве сомножителя: t = [(FV - PV) : (PV • i)] • T. Пример 6. На сколько дней можно дать в долг 1'000 долларов, исходя из 8% годовых, если возвращенная сумма будет составлять 1'075 долларов? Решение: Исходя из формулы срока долга для простых процентов, следует: для обычных процентов t = [(FV - PV) : (PV • i)] • T = = [(1'075 - 1'000) : (1'000 • 0,08) • 360 = 338 дней; для точных процентов t = [(FV - PV) : (PV • i)] • T = = [(1'075 - 1'000)/(1'000 • 0,08) • 365 = 342 дня. Таким образом, сумма в 1'000 долларов может быть предоставлена на срок в 342 дня, если в условиях финансовой операции будет использован термин "точные проценты", а по умолчанию или использованию термина "обыкновенные проценты", срок ссуды сокращается до 338 дней. Необходимость определения уровня процентной ставки возникает в тех случаях, когда она в явном виде в условиях финансовой операции не участвует, но степень доходности операции по заданным параметрам можно определить, воспользовавшись следующими формулами: i = (FV - PV) : (PV • n) = [(FV - PV) : (PV • t)] • T. Пример 7. В контракте предусматривается погашение обязательств через 120 дней в сумме 1'200 долларов, при первоначальной сумме долга 1'150 долларов. Определить доходность операции для кредитора в виде процентной ставки. Решение: Рассчитываем годовую процентную ставку, используя формулу "обыкновенного процента", поскольку в условиях сделки нет ссылки на "точный процент": i = [(FV - PV) : (PV • t)] • T = = [(1'200 - 1'150) : (1'150 • 120)] • 360 = 0,13 Таким образом, доходность финансовой операции составит 13% годовых, что соответствует весьма высокодоходной финансовой операции, т.к. обычно доходность подобных операций колеблется от 2% до 8%. 2.2. Сложные проценты2.2.1. Формула сложных процентовВ финансовой практике значительная часть расчетов ведется с использованием схемы сложных процентов. Применение схемы сложных процентов целесообразно в тех случаях, когда: · проценты не выплачиваются по мере их начисления, а присоединяются к первоначальной сумме долга. Присоединение начисленных процентов к сумме долга, которая служит базой для их начисления, называется капитализацией процентов; · срок ссуды более года. Если процентные деньги не выплачиваются сразу по мере их начисления, а присоединяются к первоначальной сумме долга, то долг, таким образом, увеличивается на невыплаченную сумму процентов, и последующее начисление процентов происходит на увеличенную сумму долга: FV = PV + I = PV + PV • i = PV • (1 + i) – за один период начисления; FV = (PV + I) • (1 + i) = PV • (1 + i) • (1 + i) = PV • (1 + i)2 – за два периода начисления; отсюда, за n периодов начисления формула примет вид: FV = PV • (1 + i)n = PV • kн , где FV – наращенная сумма долга; PV – первоначальная сумма долга; i – ставка процентов в периоде начисления; n – количество периодов начисления; kн – коэффициент (множитель) наращения сложных процентов. Эта формула называется формулой сложных процентов. Как было выше указано, различие начисления простых и сложных процентов в базе их начисления. Если простые проценты начисляются все время на одну и ту же первоначальную сумму долга, т.е. база начисления является постоянной величиной, то сложные проценты начисляются на увеличивающуюся с каждым периодом начисления базу. Таким образом, простые проценты по своей сути являются абсолютными приростами, а формула простых процентов аналогична формуле определения уровня развития изучаемого явления с постоянными абсолютными приростами. Сложные проценты характеризуют процесс роста первоначальной суммы со стабильными темпами роста, при наращении ее по абсолютной величине с ускорением, следовательно, формулу сложных процентов можно рассматривать как определение уровня на базе стабильных темпов роста. Согласно общей теории статистики, для получения базисного темпа роста необходимо перемножить цепные темпы роста. Поскольку ставка процента за период является цепным темпом прироста, то цепной темп роста равен: (1 + i). Тогда базисный темп роста за весь период, исходя из постоянного темпа прироста, имеет вид: (1 + i)n . Базисные темпы роста или коэффициенты (множители) наращения, зависящие от процентной ставки и числа периодов наращения, табулированы и представлены в Приложении 2. Экономический смысл множителя наращения состоит в том, что он показывает, чему будет равна одна денежная единица (один рубль, один доллар и т.п.) через n периодов при заданной процентной ставке i. 5>>> Графическая иллюстрация соотношения наращенной суммы по простым и сложным процентам представлена на рисунке 4.
Как видно из рисунка 4, при краткосрочных ссудах начисление по простым процентам предпочтительнее, чем по сложным процентам; при сроке в один год разница отсутствует, но при среднесрочных и долгосрочных ссудах наращенная сумма, рассчитанная по сложным процентам значительно выше, чем по простым. При любом i, если 0 < n < 1, то (1 + ni) > (1 + i)n ; если n > 1, то (1 + ni) < (1 + i)n ; если n = 1, то (1 + ni) = (1 + i)n . Таким образом, для лиц, предоставляющих кредит: · более выгодна схема простых процентов, если срок ссуды менее года (проценты начисляются однократно в конце года); · более выгодной является схема сложных процентов, если срок ссуды превышает один год; · обе схемы дают одинаковый результат при продолжительности периода один год и однократном начислении процентов. Пример 8. Сумма в размере 2'000 долларов дана в долг на 2 года по ставке процента равной 10% годовых. Определить проценты и сумму, подлежащую возврату. Решение: Наращенная сумма FV = PV • (1 + i)n = 2'000 • (1 + 0'1)2 = 2'420 долларов или FV = PV • kн = 2'000 • 1,21 = 2'420 долларов, где kн = 1,21 (Приложение 2). Сумма начисленных процентов I = FV - PV = 2'420 - 2'000 = 420 долларов. 6>>> Таким образом, через два года необходимо вернуть общую сумму в размере 2'420 долларов, из которой 2'000 долларов составляет долг, а 420 долларов – "цена долга". Достаточно часто финансовые контракты заключаются на период, отличающийся от целого числа лет. В случае, когда срок финансовой операции выражен дробным числом лет, начисление процентов возможно с использованием двух методов: · общий метод заключается в прямом расчете по формуле сложных процентов: FV = PV • (1 + i)n , n = a + b, где n – период сделки; a – целое число лет; b – дробная часть года. · смешанный метод расчета предполагает для целого числа лет периода начисления процентов использовать формулу сложных процентов, а для дробной части года – формулу простых процентов: FV = PV • (1 + i)a • (1 + bi). Поскольку b < 1, то (1 + bi) > (1 + i)a , следовательно, наращенная сумма будет больше при использовании смешанной схемы. Пример. В банке получен кредит под 9,5% годовых в размере 250 тыс. долларов со сроком погашения через два года и 9 месяцев. Определить сумму, которую необходимо вернуть по истечении срока займа двумя способами, учитывая, что банк использует германскую практику начисления процентов. Решение: Общий метод: FV = PV • (1 + i)n = 250 • (1 + 0,095)2,9 = 320,87 тыс. долларов. Смешанный метод: FV = PV • (1 + i)a • (1 + bi) = = 250 • (1 + 0,095)2 • (1 + 270/360 • 0,095) = = 321,11 тыс. долларов. Таким образом, по общему методу проценты по кредиту составят I = S - P = 320,87 - 250,00 = 70,84 тыс. долларов, 7>>> а по смешанному методу I = S - P = 321,11 - 250,00 = 71,11 тыс. долларов. Как видно, смешанная схема более выгодна кредитору.
2.2.2. Эффективная ставка процентовПериод начисления по сложным процентам не всегда равен году, однако в условиях финансовой операции указывается не ставка за период, а годовая ставка с указанием периода начисления – номинальная ставка ( j ). Номинальная ставка (nominal rate) – годовая ставка процентов, исходя из которой определяется величина ставки процентов в каждом периоде начисления, при начислении сложных процентов несколько раз в год. Эта ставка · во-первых, не отражает реальной эффективности сделки; · во-вторых, не может быть использована для сопоставлений. Если начисление процентов будет производиться m раз в год, а срок долга – n лет, то общее количество периодов начисления за весь срок финансовой операции составит N = n • m Отсюда формулу сложных процентов можно записать в следующем виде: FV = PV • (1 + j / m)N = P • (1 + j /m)mn , где j – номинальная годовая ставка процентов. Пример 9. Изменим условия предыдущего примера, введя ежеквартальное начисление процентов. Решение: Количество периодов начисления: N = m • n = 4 • 2 = 8 Наращенная сумма составит: FV = PV • (1 + j / m)mn = 2'000 • (1 + 0,1 / 4 )8 = 2'436,81 руб. Сумма начисленных процентов: I = FV - PV = 2'436,81 - 2'000 = 436,81 руб. Таким образом, через два года на счете будет находиться сумма в размере 2'436,81 руб., из которой 2'000 руб. является первоначальной суммой, размещенной на счете, а 436,81 руб. – сумма начисленных процентов. Наряду с номинальной ставкой существует эффективная ставка (effective rate), измеряющая тот реальный относительный доход, который получен в целом за год, с учетом внутригодовой капитализации. Эффективная ставка показывает, какая годовая ставка сложных процентов дает тот же финансовый результат, что и m-разовое наращение в год по ставке j / m: (1 + i)n = (1 + j / m)m • n , следовательно, i = (1 + j / m)m - 1. Из формулы следует, что эффективная ставка зависит от количества внутригодовых начислений. Расчет эффективной ставки является мощным инструментом финансового анализа, поскольку ее значение позволяет сравнивать между собой финансовые операции, имеющие различные условия: чем выше эффективная ставка финансовой операции, тем (при прочих равных условиях) она выгоднее для кредитора. Пример 10. Рассчитаем эффективную ставку для финансовой операции, рассмотренной в предыдущем примере, а также для вклада при ежемесячном начислении процентов по годовой ставке 10%. Решение: Эффективная ставка ежеквартального начисления процентов, исходя из 10% годовых, составит: i = (1 + j / m)m - 1 = (1 + 0,1 / 4)4 - 1 = 0,1038. Эффективная ставка ежемесячного начисления процентов будет равна: i = (1 + j / m)m - 1 = (1 + 0,1 / 12)12 - 1 = 0,1047. Таким образом, годовая ставка, эквивалентная номинальной ставке процентов в размере 10% годовых при ежемесячном начислении процентов, составит 10,47% против 10,38% с ежеквартальным начислением процентов. Чем больше периодов начисления, тем быстрее идет процесс наращения. Для облегчения расчетов можно пользоваться таблицами коэффициентов наращения сложных процентов, но внимательно следить за соответствием длины периода начисления и процентной ставки за этот же период. Например, если периодом начисления является квартал, то в расчетах должна использоваться квартальная ставка. 2.2.3. Переменная ставка процентовНеобходимо отметить, что основная формула сложных процентов предполагает постоянную процентную ставку на протяжении всего срока начисления процентов. Однако, предоставляя долгосрочную ссуду, часто используют изменяющиеся во времени, но заранее зафиксированные для каждого периода ставки сложных процентов. В случае использования переменных процентных ставок, формула наращения имеет следующий вид:
где ik – последовательные во времени значения процентных ставок; nk – длительность периодов, в течение которых используются соответствующие ставки. Пример. Фирма получила кредит в банке на сумму 100'000 долларов сроком на 5 лет. Процентная ставка по кредиту определена в 10% для 1-го года, для 2-го года предусмотрена надбавка к процентной ставке в размере 1,5%, для последующих лет 1%. Определить сумму долга, подлежащую погашению в конце срока займа. Решение: Используем формулу переменных процентных ставок: FV = PV • (1 + i1 )n 1 • (1 + i2 )n 2 • … • (1 + ik )n k = = 100'000 • (1 + 0,1) • (1 + 0,115) • (1 + 0,125)3 = = 174'632,51 долларов Таким образом, сумма, подлежащая погашению в конце срока займа, составит 174'632,51 доллара, из которых 100'000 долларов являются непосредственно суммой долга, а 74'632,51 доллара – проценты по долгу. 2.2.4. Непрерывное начисление процентовВсе ситуации, которые мы до сих пор рассматривали, относились к дискретным процентам, поскольку их начисление осуществляется за фиксированные промежутки времени (год, квартал, месяц, день, час). Но на практике нередко встречаются случаи, когда проценты начисляются непрерывно, за сколь угодно малый промежуток времени. Если бы проценты начислялись ежедневно, то годовой коэффициент (множитель) наращения выглядел так: kн = (1 + j / m)m = (1 + j / 365)365 Но поскольку проценты начисляются непрерывно, то m стремится к бесконечности, а коэффициент (множитель) наращения стремится к e j : где e ≈ 2,718281, называется числом Эйлера и является одной из важнейших постоянных математического анализа. Отсюда можно записать формулу наращенной суммы для n лет: FV = PV • ej • n = P • eδ • n Ставку непрерывных процентов называют силой роста (force of interest) и обозначают символом δ, в отличие от ставки дискретных процентов ( j ). Пример. Кредит в размере на 100 тыс. долларов получен сроком на 3 года под 8% годовых. Определить сумму подлежащего возврату в конце срока кредита, если проценты будут начисляться: а) один раз в год; б) ежедневно; в) непрерывно. Решение: Используем формулы дискретных и непрерывных процентов: начисление один раз в год FV = 100'000 • (1 + 0,08)3 = 125'971,2 долларов; ежедневное начисление процентов FV = 100'000 • (1 + 0,08 / 365)365 • 3 = 127'121,6 долларов непрерывное начисление процентов FV = 100'000 • e0,08 • 3 = 127'124,9 долларов. Графически изменение наращенной суммы в зависимости от частоты начисления имеет следующий вид:
При дискретном начислении каждая "ступенька" характеризует прирост основной суммы долга в результате очередного начисления процентов. Обратите внимание, что высота "ступенек" все время возрастает. В рамках одного года одной "ступеньке" на левом графике соответствует две "ступеньки" на среднем графике меньшего размера, но в сумме они превышают высоту "ступеньки" однократного начисления. Еще более быстрыми темпами идет наращение при непрерывном начислении процентов, что и показывает график справа. Таким образом, в зависимости от частоты начисления процентов наращение первоначальной суммы осуществляется с различными темпами, причем максимально возможное наращение осуществляется при бесконечном дроблении годового интервала. Непрерывное начисление процентов используется при анализе сложных финансовых задач, например, обоснование и выбор инвестиционных решений. Оценивая работу финансового учреждения, где платежи за период поступают многократно, целесообразно предполагать, что наращенная сумма непрерывно меняется во времени и применять непрерывное начисление процентов 2.2.5. Определение срока ссуды и величины процентной ставкиТак же как для простых процентов, для сложных процентов необходимо иметь формулы, позволяющие определить недостающие параметры финансовой операции: · срок ссуды: n = [log (FV / PV)] / [log (1 + i)] = [log (FV / PV) ] / [log(1 + j / m)m ]; · ставка сложных процентов:
Пример. Что выгоднее: увеличение вклада в три раза за три года или 46% годовых? Решение: Такого рода задачи приходится решать не только лицам, занимающимся финансовой работой, но и населению, когда решается вопрос о том, куда выгоднее вложить деньги. В таких случаях решение сводится к определению процентной ставки: Таким образом, увеличение вклада за три года в три раза эквивалентно годовой процентной ставке в 44,3%, поэтому размещение денег под 46% годовых будет более выгодно. 2.3. Эквивалентность ставок и замена платежей2.3.1. Эквивалентность процентных ставокДостаточно часто в практике возникает ситуация, когда необходимо произвести между собой сравнение по выгодности условий различных финансовых операций и коммерческих сделок. Условия финансово-коммерческих операций могут быть весьма разнообразными и напрямую несопоставимыми. Для сопоставления альтернативных вариантов ставки, используемые в условиях контрактов, приводят к единообразному показателю. Различные финансовые схемы можно считать эквивалентными в том случае, если они приводят к одному и тому же финансовому результату. Эквивалентная процентная ставка – это ставка, которая для рассматриваемой финансовой операции даст точно такой же денежный результат (наращенную сумму), что и применяемая в этой операции ставка. Классическим примером эквивалентности являются номинальная и эффективная ставка процентов: i = (1 + j / m)m - 1. j = m[(1 + i)1 / m - 1]. Эффективная ставка измеряет тот относительный доход, который может быть получен в целом за год, т.е. совершенно безразлично – применять ли ставку j при начислении процентов m раз в год или годовую ставку i, – и та, и другая ставки эквивалентны в финансовом отношении. Поэтому совершенно не имеет значения, какую из приведенных ставок указывать в финансовых условиях, поскольку использование их дает одну и ту же наращенную сумму. В США в практических расчетах применяют номинальную ставку, а в европейских странах предпочитают эффективную ставку процентов. Если две номинальные ставки определяют одну и ту же эффективную ставку процентов, то они называются эквивалентными. Пример. Каковы будут эквивалентные номинальные процентные ставки с полугодовым начислением процентов и ежемесячным начислением процентов, если соответствующая им эффективная ставка должна быть равна 25%? Решение: Находим номинальную ставку для полугодового начисления процентов: j = m[(1 + i)1 / m - 1] = 2[(1 + 0,25)1/2 - 1] = 0,23607. Находим номинальную ставку для ежемесячного начисления процентов: j = m[(1 + i)1 / m - 1] = 4[(1 + 0,25)1/12 - 1] = 0,22523. Таким образом, номинальные ставки 23,61% с полугодовым начислением процентов и 22,52% с ежемесячным начислением процентов являются эквивалентными. При выводе равенств, связывающих эквивалентные ставки, приравниваются друг к другу множители наращения, что дает возможность использовать формулы эквивалентности простых и сложных ставок: простая процентная ставка: i = [(1 + j / m)m • n - 1] / n; сложная процентная ставка:
Пример. Предполагается поместить капитал на 4 года либо под сложную процентную ставку 20% годовых с полугодовым начислением процентов, либо под простую процентную ставку 26% годовых. Найти оптимальный вариант. Решение: Находим для сложной процентной ставки эквивалентную простую ставку: i = [(1 + j / m)m • n - 1] / n = [(1 + 0,2 / 2)2 • 4 - 1] / 4 = 0,2859. Таким образом, эквивалентная сложной ставке по первому варианту простая процентная ставка составляет 28,59% годовых, что выше предлагаемой простой ставки в 26% годовых по второму варианту, следовательно, выгоднее разместить капитал по первому варианту, т.е. под 20% годовых с полугодовым начислением процентов. Находим эквивалентную сложную ставку процентов для простой ставки: Таким образом, процентная ставка 18,64% годовых с полугодовым начислением процентов ниже 20% годовых с полугодовым начислением процентов, то первый вариант выгоднее. 2.3.2. Изменение финансовых условийВ практической деятельности часто возникает необходимость изменения условий ранее заключенного контракта – объединение нескольких платежей или замене единовременного платежа рядом последовательных платежей. Естественно, что в таких условиях ни один из участников финансовой операции не должен терпеть убыток, вызванный изменением финансовых условий. Решение подобных задач сводится к построению уравнения эквивалентности, в котором сумма заменяемых платежей, приведенная к какому-то одному моменту времени, приравнена к сумме платежей по новому обязательству, приведенному к тому же моменту времени. Для краткосрочных контрактов консолидация осуществляется на основе простых ставок. В случае с объединением (консолидированием) нескольких платежей в один сумма заменяемых платежей, приведенных к одной и той же дате, приравнивается к новому обязательству: FV0 = ΣFVj • (1 + i • tj ), где tj – временной интервал между сроками, tj = n0 - nj . Пример 6. Решено консолидировать два платежа со сроками 20.04 и 10.05 и суммами платежа 20 тыс. руб. и 30 тыс. руб. Срок консолидации платежей 31.05. Определить сумму консолидированного платежа при условии, что ставка равна 10% годовых. Решение: Определим временной интервал между сроками для первого платежа и консолидированного платежа: 8>>> t1 = 11(апрель) + 31(май) - 1 = 41 день; для второго платежа и консолидированного платежа: t2 = 22(май) - 1 = 21 день. Отсюда сумма консолидированного платежа будет равна: FVo б . = FV1 • (1 + t1 / T • i) + FV2 • (1 + t2 / T • i) = = 20'000 • (1 + 41/360 • 0,1) + 30'000 • (1 + 21/360 • 0,1) = 50'402,78 руб. Таким образом, консолидированный платеж со сроком 31.05 составит 50'402,78 руб. Конечно, существуют различные возможности изменения условий финансового соглашения, и в соответствии с этим многообразие уравнений эквивалентности. Готовыми формулами невозможно охватить все случаи, возникающие в практической деятельности, но в каждой конкретной ситуации при замене платежей уравнение эквивалентности составляется похожим образом. Если платеж FV1 со сроком n1 надо заменить платежом FVоб. со сроком nоб. (nоб. > n1 ) при использовании сложной процентной ставки i, то уравнение эквивалентности имеет вид: FVоб. = FV1 • (1 + i)n об. - n 1 Пример. Предлагается платеж в 45 тыс. руб. со сроком уплаты через 3 года заменить платежом со сроком уплаты через 5 лет. Найти новую сумму платежа, исходя из процентной ставки 12 % годовых. Решение: Поскольку nоб. > n1 , то платеж составит: FVоб . = FV1 (1 + i)n об . - n 1 = 45'000 (1 + 0,12)5 - 3 = 56'448 руб. Таким образом, в новых условиях финансовой операции будет предусмотрен платеж 56'448 руб.
|
![]() |
| Рис. 6. Логика финансовой операции дисконтирования. |
Не редко такой расчет называют приведением стоимостного показателя к заданному моменту времени, а величину PV называют приведенной (современной или текущей) величиной FV. Таким образом, дисконтирование – приведение будущих денег к текущему моменту времени, и при этом не имеет значения, имела ли место в действительности данная финансовая операция или нет, а также независимо от того, можно ли считать дисконтируемую сумму буквально наращенной.
Именно дисконтирование позволяет учитывать в стоимостных расчетах фактор времени, поскольку дает сегодняшнюю оценку суммы, которая будет получена в будущем. Привести стоимость денег можно к любому моменту времени, а не обязательно к началу финансовой операции.
Исходя из методики начисления процентов, применяют два вида дисконтирования:
· математическое дисконтирование по процентной ставке;
· банковский учет по учетной ставке.
Различие в ставке процентов и учетной ставке заключается в различии базы для начислений процентов:
· в процентной ставке в качестве базы берется первоначальная сумма долга:
i = (FV - PV) / PV
· в учетной ставке за базу принимается наращенная сумма долга:
d = (FV - PV) / FV
Проценты, начисленные по ставке процентов, называются антисипативными, а по учетной ставке – декурсивными.
Учетная ставка более жестко отражает временной фактор, чем процентная ставка. Если сравнить между собой математическое и банковское дисконтирование в случае, когда процентная и учетная ставка равны по своей величине, то видно, что приведенная величина по процентной ставке больше приведенной величины по учетной ставке.
3.2. Математическое дисконтирование
Математическое дисконтирование – определение первоначальной суммы долга, которая при начислении процентов по заданной величине процентной ставки ( i ) позволит к концу срока получить указанную наращенную сумму:
для простых процентов
PV = FV : (1 + n • i ) = FV • 1 / (1 + n • i ) =
= FV • (1 + n • i ) -1 = FV • kд ,
где kд – дисконтный множитель (коэффициент приведения) для простых процентов.
Дисконтный множитель показывает, какую долю составляет первоначальная сумма долга в величине наращенной суммы. Поскольку дисконтный множитель (множитель приведения) зависит от двух аргументов (процентной ставки и срока ссуды), то его значения легко табулируются, что облегчает финансовые расчеты.
Пример. Через 150 дней с момента подписания контракта необходимо уплатить 310 тыс. руб., исходя из 8% годовых и временной базы 360 дней. Определить первоначальную сумму долга.
Решение:
Поскольку срок ссуды менее года, то используем формулу простых процентов:
PV = FV • 1 / (1 + t / T • i ) =
= 310'000 • 1 / (1 + 150 / 360 • 0,08) = 300'000 руб.
PV = FV • kд = 310'000 • 0,9677419 = 300'000 руб.
Таким образом, первоначальная сумма долга составила 300 тыс. руб., а проценты за 150 дней – 10 тыс. руб.
Для сложных процентов
PV = FV • (1 + i)-n = FV • kд ,
где kд – дисконтный множитель для сложных процентов.
Если начисление процентов производится m раз в год, то формула примет вид:
PV = FV • (1 + j / m) -m • n .
Пример. Через два года фирме потребуется деньги в размере 30 млн руб., какую сумму необходимо сегодня поместить в банк, начисляющий 25% годовых, чтобы через 2 года получить требуемую сумму?
Решение:
Поскольку срок финансовой операции составляет более года, что используем формулу приведения для сложных процентов:
PV = FV • 1 / (1 + i) n =
= 30'000'000 • 1 / (1 + 0,25)2 = 19'200'000 руб.
или
PV = FV • kд = 30'000'000 • 0,6400000 = 19'200'000 руб.
Таким образом, фирме следует разместить на счете 19'200'000 руб. под 25% годовых, чтобы через два года получить желаемые 30'000'000 руб.
Современная величина и процентная ставка, по которой проводится дисконтирование, находятся в обратной зависимости: чем выше процентная ставка, тем при прочих равных условиях меньше современная величина.
В той же обратной зависимости находятся современная величина и срок финансовой операции: чем выше срок финансовой операции, тем меньше при прочих равных условиях современная величина.
3.3. Банковский учет
Банковский учет – второй вид дисконтирования, при котором исходя из известной суммы в будущем, определяют сумму в данный момент времени, удерживая дисконт.
Операция учета (учет векселей) заключается в том, что банк или другое финансовое учреждение до наступления платежа по векселю покупает его у предъявителя по цене ниже суммы векселя, т.е. приобретает его с дисконтом. Сумма, которую получает векселедержатель при досрочном учете векселя, называется дисконтированной величиной векселя. При этом банк удерживает в свою пользу проценты (дисконт) от суммы векселя за время, оставшееся до срока его погашения. Подобным образом (с дисконтом) государство продает большинство своих ценных бумаг.
Для расчета дисконта используется учетная ставка:
· простая учетная ставка:
D = FV - PV = FV • n • в = FV • t / T • в ,
где n – продолжительность срока в годах от момента учета до даты выплаты известной суммы в будущем.
Отсюда:
PV = FV - FV • n • в = FV • (1 - n • d),
где (1 - n • d) – дисконтный множитель.
Очевидно, что чем выше значение учетной ставки, тем больше дисконт. Дисконтирование по простой учетной ставке чаще всего производится по французской практике начисления процентов, т.е. когда временная база принимается за 360 дней, а число дней в периоде берется точным.
Пример. Вексель выдан на 5'000 руб. с уплатой 17 ноября, а владелец учел его в банке 19 августа по учетной ставке 8%. Определить сумму, полученную предъявителем векселя и доход банка при реализации дисконта.
Решение:
Для определения суммы при учете векселя рассчитываем число дней, оставшихся до погашения обязательств:
t = 13 (август) + 30 (сентябрь) + 31 (октябрь) + 17 (ноябрь) - 1 = 90 дней.
Отсюда, определяемая сумма:
PV = FV • (1 - t / T • d) = 5'000 • (1 - 90 / 360 • 0,08) = 4'900 руб.
Тогда дисконт составит:
D = FV - PV = 5'000 - 4'900 = 100 руб.
или
D = FV • t / T • в = 5'000 • 90 / 360 • 0,08 = 100 руб.
Следовательно, предъявитель векселя получит сумму 4'900 руб., а банк при наступлении срока векселя реализует дисконт в размере 100 руб.
· по сложной учетной ставке:
PV = FV • (1 - d) n
При использовании сложной учетной ставки процесс дисконтирования происходит с прогрессирующим замедлением, т.к. учетная ставка каждый раз применяется к уменьшаемой на величину дисконта величине.
Пример. Определить величину суммы, выдаваемую заемщику, если он обязуется вернуть ее через два года в размере 55 тыс. руб. Банк определяет свой доход с использованием годовой учетной ставки 30%.
Решение:
Используя формулу дисконтирования по сложной учетной ставке, определяем:
PV = FV • (1 - d) n = 55'000 • (1 - 0,3)2 = 26'950 руб.
Заемщик может получить ссуду в размере 26'950 руб., а через два года вернет 55 тыс. руб.
Объединение платежей можно производить и на основе учетной ставки, например, при консолидировании векселей. В этом случае, сумма консолидированного платежа рассчитывается по следующей формуле:
FVoб = ΣFVj • (1 - в • tj ) -1 ,
где tj – интервал времени между сроками векселей.
Пример. Вексель на сумму 10 тыс. руб. со сроком погашения 10.06, а также вексель на сумму 20 тыс. руб. со сроком погашения 01.08 заменяются одним с продлением срока до 01.10. При объединении векселей применяется учетная ставка 25%. Определить сумму консолидированного векселя.
Решение:
Для использования формулы консолидированного платежа необходимо определить срок пролонгации векселей:
t1 = 21 (июнь) + 31 (июль) + 31 (август) + 30 (сентябрь) + 1 (октябрь) - 1 = 113 дней,
t2 = 31 (август) + 30 (сентябрь) + 1(октябрь) - 1 = 61 день.
Тогда, сумма консолидированного векселя:
FVo = ΣFVj • (1 - в • tj ) -1 =
= 10'000 • (1 - 113 / 360 • 0,25) -1 + 20'000 • (1 - 61 / 360 • 0,25) -1 =
= 31'736 руб.
Таким образом, сумма консолидированного векселя с датой погашения 01.10 составит 31'736 руб.
В том случае, когда учету подлежит долговое обязательство, по которому предусматривается начисление процентов, происходит совмещение начисления процентов по процентной ставке и дисконтирования по учетной ставке:
PV2 = PV1 • (1 + n1 • i ) • (1 - n2 • в ),
где PV1 – первоначальная сумма долга;
PV2 – сумма, получаемая при учете обязательства;
n1 – общий срок платежного обязательства;
n2 – срок от момента учета до погашения.
Пример. Обязательство уплатить через 100 дней сумму долга в размере 50 тыс. руб. с начисляемыми на нее точными процентами по ставке 40%, было учтено за 25 дней до срока погашения по учетной ставке 25%. Определить сумму, полученную при учете обязательства.
Решение:
Следует обратить внимание на различие временных баз, используемых при наращении и учете:
PV2 = PV1 • (1 + n1 • i ) • (1 - n2 • в ) =
= 50'000 • (1 + 100 / 365 • 0,4) • (1 - 25 / 360 • 0,25) = 54'516 руб.
Следовательно, сумма, получаемая при учете данного обязательства, составит 54'516 руб.
Глава 4. Потоки платежей и финансовые ренты
4.1. Сущность потока платежей и основные категории
До сих пор мы рассматривали случаи финансовых операций, состоящих из отдельного разового платежа, например, получение и погашение долгосрочной ссуды. Вместе с тем, погашение такой ссуды возможно не только единовременным платежом, но множеством распределенных во времени выплат. В финансовой литературе ряд распределенных во времени выплат и поступлений называется потоком платежей.
Потоки платежей являются неотъемлемой частью всевозможных финансовых операций: с ценными бумагами, в управлении финансами предприятий, при осуществлении инвестиционных проектов, в кредитных операциях, при оценке бизнеса, при оценке недвижимости, выборе альтернативных вариантов финансовых операций и т. п.
Члены потока могут быть как положительными величинами (поступления), так и отрицательными величинами (выплатами), а временные интервалы между членами такого потока могут быть равными и неравными.
Поток платежей, все члены которого имеют одинаковое направление (знак), а временные интервалы между последовательными платежами постоянны, называется финансовой рентой или аннуитетом.
При рассмотрении финансовой ренты используются основные категории:
· член ренты (R) – величина каждого отдельного платежа;
· период ренты (t) – временной интервал между членами ренты;
· срок ренты (n) – время от начала финансовой ренты до конца последнего ее периода;
· процентная ставка (i) – ставка, используемая при наращении платежей, из которых состоит рента.
Поскольку условия финансовых сделок весьма разнообразны, постольку разнообразны и виды потоков платежей. В основе классификации финансовых рент положены различные качественные признаки:
· В зависимости от периода продолжительности ренты выделяют
o годовую ренту, которые представляют собой ежегодные платежи, т.е. период ренты равен 1 году;
o срочную ренту, при которой период ренты может быть как более, так и менее года.
· По числу начислений процентов различают
o ренты с начислением 1 раз в год;
o ренты с начислением m раз в год;
o непрерывное начисление.
· По величине членов ренты могут быть
o постоянные ренты, где величина каждого отдельного платежа постоянна, т.е. рента с равными членами;
o переменные ренты, где величина платежа варьирует, т.е. рента с неравными членами.
· По числу членов ренты они бывают
o с конечным числом членов (ограниченные ренты), когда число членов ренты конечно и заранее известно;
o с бесконечным числом (вечные ренты), когда число ее членов заранее не известно.
· По вероятности выплаты ренты делятся на
o верные ренты, которые подлежат безусловной выплате, т.е. не зависят не от каких условий, например, погашение кредита;
o условные ренты, которые зависят от наступления некоторого случайного события.
· По методу выплаты платежей выделяют
o обычные ренты, которые на практике встречаются чаще всего, – с выплатой платежа в конце периода ренты (постнумерандо);
o ренты, с выплатой в начале периода ренты (пренумерандо).
4.2. Обобщающие характеристики финансовых потоков
Обобщающими характеристиками финансовых потоков являются:
· наращенная сумма;
· современная величина потока платежей.
4.2.1. Наращенная величина аннуитета
Получатели поступлений оценивают свой доход суммарной величиной за полный срок действия платежа, разумеется, с учетом временной неравноценности денег.
Наращенная сумма – сумма всех платежей с начисленными на них процентами к концу срока ренты. Это может быть обобщенная сумма задолженности, итоговый объем инвестиций и т.п.
![]() |
| Рис. 7. Логика финансовой операции наращения финансовой ренты |
Наращенные отдельные платежи представляют собой члены геометрической прогрессии с первым членом равным R и множителем равным (1 + i).
Рассмотрим определение наращенной суммы на примере наиболее простого случая, – годовой постоянной обычной ренты:
![]() |
где FVA – наращенная сумма ренты;
R – размер члена ренты, т.е. размер очередного платежа;
i – годовая процентная ставка, по которой на платежи начисляются сложные проценты;
n – срок ренты в годах,
s n;i – коэффициент наращения ренты.
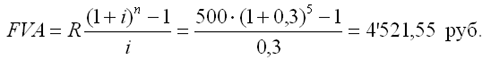
Пример. На счет в банке в течении пяти лет в конце каждого года будут вноситься суммы в размере 500 руб., на которые будут начисляться проценты по ставке 30%. Определить сумму процентов, которую банк выплатит владельцу счета.
Решение:
Поскольку период ренты равен одному году, то это годовая рента; проценты начисляются один раз в год; взносы будут в конце периода ренты, постнумерандо, значит это обычная рента; сумма платежа постоянна на протяжении всего срока ренты, что характерно для постоянной ренты; число членов ренты пять, т.е. конечно, следовательно, ограниченная рента; а выплаты носят безусловный характер, таким образом, это верная рента.
Сумма всех взносов с начисленными процентами будет равна:
![]() |
Можно определить наращенную сумму постоянной ренты, воспользовавшись финансовыми таблицами (Приложение 4), содержащими коэффициенты наращения ренты:
FVA = R • s5 ; 30 = 500 • 9,0431 = 4'521,55 руб.
Сумма взносов в течение 5 лет составит:
P = n • R = 5 • 500 = 2'500 руб.
Следовательно, сумма начисленных процентов будет равна:
I = FVA - P = 4'521,55 - 2'500 = 2'021,55 руб.
Таким образом, доход владельца счета за 5 лет составит 2'021,55 руб.
Для овладения методами финансовой математики важно не столько запоминание формул, сколько общих принципов расчета.
Для определения наращенной суммы на конец рассматриваемого периода последовательно присоединяются промежуточные результаты наращения к очередному платежу.
Рассмотрим поэтапное решение предыдущего примера:
Расчет наращенной величины аннуитета
| Период | Взносы* | Проценты, начисленные за период | Наращенная сумма на конец периода |
| 1 | 500,00 | - | 500,00 |
| 2 | 500,00 | 150,00 | 1150,00 |
| 3 | 500,00 | 345,00 | 1995,00 |
| 4 | 500,00 | 598,50 | 3093,50 |
| 5 | 500,00 | 928,05 | 4521,55 |
* Взносы поступают в конце периода.
Таким образом, получается такая же сумма, как и по формуле наращения аннуитета.
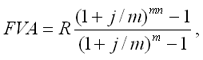
Однако рассматриваемая формула используется только при начислении процентов один раз в год, но возможны случаи и неоднократного начисления процентов в течение года, тогда используют следующую формулу:
![]() |
где j – номинальная ставка процентов.
Пример. Рассмотрим предыдущую задачу, изменив условия: проценты начисляются поквартально.
Решение:
В этом случае рента с начислением процентов 4 раза в год, а общее количество начислений составит 20 раз. Отсюда сумма всех взносов с начисленными на них процентами будет равна:
![]() |
Отсюда сумма начисленных процентов будет равна:
I = FVA - P = 4'840,76 - 2'500,00 = 2'340,76 руб.
Как видим, переход от годового начисления процентов к ежеквартальному начислению заметно увеличил как наращенную сумму, так и сумму процентов.
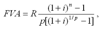
Бывают случаи, когда рентные платежи вносятся несколько раз в год равными суммами (срочная рента), а начисление процентов производится только раз в году. Тогда наращенная величина ренты будет определяться по формуле:
![]() |
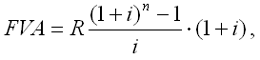
Также нередки случаи, когда рентные платежи вносятся несколько раз в году и начисление процентов также происходит несколько раз в год, но число рентных платежей не равно числу периодов начисления процентов, т.е. p ≠ m. Тогда формула по которой можно определить наращенную величину финансовой ренты примет вид:
![]() |
На практике большее распространение получил поток постнумерандо, поскольку согласно общим принципам учета принято подводить итоги и оценивать финансовый результат операции или иного действия по окончании очередного отчетного периода. Что же касается поступления денежных средств в счет оплаты, то на практике они чаще всего распределены во времени неравномерно и поэтому для удобства все поступления относят к концу периода, что позволяет использовать формализованные алгоритмы оценки.
Поток пренумерандо имеет значение при анализе различных схем накопления денежных средств для последующего их инвестирования.
Рента пренумерандо отличается от обычной ренты числом периодов начисления процентов. Поэтому наращенная сумма ренты пренумерандо будет больше наращенной суммы обычной ренты в (1 + i) раз.
Для годовой ренты пренумерандо с начислением процентом один раз в год формула примет вид:
![]() |
Для годовой ренты пренумерандо с начислением процентов несколько раз в год:
![]() |
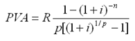
4.2.2. Современная (текущая) величина аннуитета
Помимо наращенной суммы обобщающей характеристикой потока платежей является современная величина. Современная (текущая) величина потока платежей (капитализированная или приведенная величина) – это сумма платежей, дисконтированных на момент начала ренты по ставке начисляемых сложных процентов. Это важнейшая характеристика финансового анализа, т.к. является основой для измерения эффективности различных финансово-кредитных операций, сравнения условий контрактов и т.п. Данная характеристика показывает, какую сумму следовало бы иметь первоначально, чтобы, разбив ее на равные взносы, на которые начислялись бы установленные проценты в течение всего срока, можно было бы получить указанную наращенную сумму.
![]() |
| Рис. 8. Логика финансовой операции определения современной величины потока платежей |
В этом случае реализуется схема дисконтирования: все элементы с помощью дисконтных множителей приведены к одному моменту времени, что позволяет их суммировать.
В простейшем случае, для годовой обычной ренты с выплатами в конце каждого года, когда момент оценки совпадает с началом ренты, современная величина финансовой ренты равна:
![]() |
Дробь в формуле – коэффициент приведения ренты (an;i ), значения которого табулированы для широкого круга значений, поскольку зависят от ставки процентов (i) и от числа лет (n) (Приложение 5).
Пример. Определить по данным примера современную величину ренты.
Решение:
Современная величина ренты составит:
![]() |
Таким образом, все производимые в будущем платежи оцениваются в настоящий момент в размере 1'217,78 руб.
Рассмотрим расчет современной величины ренты для различных ее видов:
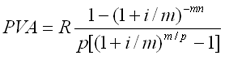
· годовая рента с начислением процентов несколько раз в год:
![]() |
| ; |
· срочная рента при начислении процентов один раз в год:
![]() |
| ; |
· срочная рента с неоднократным начислением процентов в течение года, при условии, что число выплат не равно числе начислений, т.е. p ≠ m :
![]() |
| . |
4.3. Определение параметром аннуитета
Последовательные платежи в виде постоянной обычной годовой ренты определяются основными параметрами:
R – размер платежа;
n – срок ренты в годах;
i – годовая ставка процентов.
Однако при разработке условий финансовой операции могут возникать ситуации, когда заданной величиной является одна из двух обобщающих характеристик и неполный набор параметров ренты. В таких случаях находят недостающий параметр.
При определении члена ренты возможны два варианта, зависящие от того, какая величина является исходной:
а) наращенная сумма. Если сумма долга определена на какой-либо момент в будущем (FVA), тогда величину последующих взносов в течение n лет при начислении на них процентов по ставке i можно определить по формуле:
![]() |
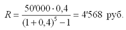
Пример. Для покупки автомобиля через 5 лет потребуется 50 тыс. руб. Определите размер ежегодных взносов, вносимых в конце каждого года в банк, который начисляет проценты по ставке 40%.
Решение:
В данном случае известна наращенная величина постоянной финансовой ренты, поэтому размер ежегодных взносов будет равен:
![]() |
Таким образом, чтобы накопить на счете необходимую сумму для покупки автомобиля следует в конце каждого года в течении пяти лет откладывать 4'568 руб.
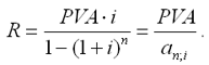
б) современная величина финансовой ренты, тогда, исходя из ставки процента и срока ренты, разовый платеж находится по формуле:
![]() |
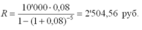
Пример. Сумма 10 тыс. долларов предоставлена в долг на 5 лет под 8% годовых. Определить ежегодную сумму погашения долга.
Решение:
Известна современная величина долга, отсюда:
![]() |
Таким образом, ежегодно необходимо будет возвращать сумму 2'504,56 руб.
Можно произвести проверку: сумма долга с начисленными на нее процентами к концу пятого года будет составлять:
FV = 10'000 • (1 + 0,08)5 = 14'693,28 руб.
Наращенная сумма для потока платежей размером 2'504,56 руб. составит:
![]() |
Следовательно, величина члена финансовой ренты определена верно. Незначительное расхождение вызвано округлением расчетов.
Современная величина ренты пренумерандо рассчитывается путем умножения современной величины обычной ренты на соответствующий множитель наращения.
4.4. Оценка некоторых видов аннуитета
4.4.1. Бессрочный аннуитет
Если денежные поступления осуществляются достаточно длительное время и их число заранее не может быть известно, то такой поток называется бессрочным аннуитетом или вечной рентой. В этом случае определение будущей величины такого аннуитета не имеет смысла.
Для данного вида финансовой ренты имеет смысл только характеристика современной величины потока платежей. Поток, даже с неограниченным числом платежей все же имеет конечную приведенную стоимость, поскольку с финансовой точки зрения, деньги, поступающие через много лет, сейчас практически ничего не стоят.
Для бессрочного аннуитета постнумерандо формула современной величины принимает следующий вид:
![]() |
При больших сроках аннуитета и большом уровне процентной ставки для определения приведенной величины срочного аннуитета можно пользоваться формулой бессрочного аннуитета, поскольку полученный приблизительный результат не слишком будет отличаться от точного значения, т.к. при сроке более 40-50 лет коэффициенты дисконтирования аннуитета незначительно отличаются друг от друга.
Приведенная стоимость бессрочного аннуитета пренумерандо в общем виде определяется из приведенной стоимости бессрочного аннуитета постнумерандо, скорректированного на коэффициент (1 + i), т.е. отличается на величину первого платежа.

4.5. Нерегулярные потоки платежей
В финансовых операциях возможны ситуации, когда величина платежа либо увеличивается, либо уменьшается с течением времени, например, под влиянием инфляции. В таких случаях говорят о нерегулярных потоках платежей.
Нерегулярные потоки платежей характеризуются присутствием хотя бы одного нерегулярного параметра: период ренты или размер платежа.
Для получения их обобщающих характеристик требуется прямой счет, т.е. вычисление соответствующих характеристик по каждому платежу и последующему их суммированию.
Однако в ряде случаев можно применять следующую формулу:
![]() |
Пример. По приведенным данным о денежных потоках рассчитать для каждого наращенную величину, если потоки имеют место в конце года. Процентная ставка 12% годовых.
| Поток | 1 | 2 | 3 | 4 | 5 |
| А | 100 | 200 | 200 | 300 | 300 |
| В | 200 | - | 200 | - | 200 |
Решение:
Для решения данной задачи произведем прямой расчет наращенной суммы по каждому периоду, представив данные в виде таблиц.
Наращение суммы для потока А
:
| k | Платеж | Проценты | Наращенная сумма |
| 1 | 100 | - | 100,00 |
| 2 | 200 | 12,00 | 312,00 |
| 3 | 200 | 37,44 | 549,44 |
| 4 | 300 | 65,93 | 915,37 |
| 5 | 300 | 109,84 | 1325,21 |
| Итого | 1100 | 225,21 | x |
Таким образом, наращенная сумма потока А через пять лет составит 1'325,21 рублей.
Наращение суммы для потока В
| k | Платеж | Проценты | Наращенная сумма |
| 1 | 200 | - | 200,00 |
| 2 | - | 24,00 | 224,00 |
| 3 | 200 | 26,88 | 450,88 |
| 4 | - | 54,11 | 504,99 |
| 5 | 200 | 60,60 | 765,59 |
| Итого | 600 | 165,59 | x |
Для потока В наращенная сумма через пять лет составит 765,59 рублей.
Если воспользуемся вышеприведенной формулой, то
· для потока А наращенная величина составит:
FVA = 100 • (1 + 0,12)4 + 200 • (1 + 0,12)3 + 200 • (1 + 0,12)2 +
+ 200 • (1 + 0,12)1 + 300 = 1'325,22 руб.
· для потока В наращенная величина составит:
FVA = 200 • (1 + 0,12)4 + 200 • (1 + 0,12)2 + 200 = 765,58 руб.
Таким образом, расчет по формуле для нерегулярных потоков платежей дает такой же результат, как и прямой счет.




























