Реферат: Глоттохронология
|
Название: Глоттохронология Раздел: Рефераты по истории Тип: реферат |
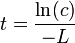
Введение Гло́ттохроноло́гия (от др.-греч. γλῶττα «язык», χρóνος «время» и λόγος «слово», «учение») — гипотетический метод сравнительно-исторического языкознания, для предположительного определения времени разделения родственных языков, основанный на гипотезе, что скорость изменения базового словаря языка остается примерно одинаковой. Эта гипотеза предложена Моррисом Сводешем как попытка аналогии с радиоуглеродным методом измерения возраста органических веществ. В лингвистике предлагается оценивать «лексический полураспад». Этим методом определяется период времени, с которого два или более языка разошлись от общего праязыка, путем подсчета количества замененных слов в каждом языке. Затем вычисляется приблизительное время появления этих языков. Глоттохронология является приложением лексикостатистики, с которой ее иногда путают. Глоттохронология основана на гипотезе, согласно которой в каждом языке особой стабильностью и устойчивостью к изменениям во времени обладает некоторое количество одинаковых для всех языков понятий. Эти понятия относят к так называемой «ядерной лексике». Существуют списки Сводеша для «ядерной лексики»: 200-словный, 100-словный и 30-словный. 1. История Понятие изменения языка не ново, и его история пересматривается в трудах Хаймса (1973) и Уэллса (1973). Появление самой глоттохронологии относится к середине XX века (см. статьи Лис, 1953; Сводеш, 1955, 1972). Введение в проблему дается в работах Эмблтона (1986) и МакМэхона (2005). Глоттохронология уже давно противоречива, частично из-за проблемы точности, так же, как и из-за вопроса, является ли ее основой звук (см., например, Бергсланд, 1958; Бергсланд и Вогт, 1962; Фодор, 1961; Шретьен, 1962; Гай, 1980). К этим понятиям обращались Добсон и др. (1972), Дайен (1973) и Крастал, Дайен и Блэк (1973). Предположение о скорости замены одного слова может исказить результаты определения времени расхождения, когда мы имеем дело также с заимствованными словами; но здесь применялись более реалистичные модели. Шретьен намеревался опровергнуть математику этой модели. На конференции в Йелле в 1971 была доказана несостоятельность его критики. Беспристрастный обзор последних аргументов можно найти в докладах конференции, проходившей в институте МакДональда в 2000 году (см. Ренфрю, МакМэхон и Трэск, 2002). Здесь представлены статьи от «Почему лингвистика не имеет дело с датами» до статьи Старостина, обсужденной ниже. 2. Методология 2.1. Список слов Первоначально в этом методе предполагалось, что ядро словаря языка заменяется с постоянной (или почти постоянной) скоростью во всех языках и культурах и, таким образом, может применяться для измерения отрезка времени. В этой процедуре используется список лексических единиц, собранных Моррисом Сводешом, предположительно устойчивых к заимствованию (первоначально составлен как список из 200 единиц; однако, к уменьшенному списку из 100 слов Сводеша (1955) намного чаще обращаются современные лингвисты). Такое ядро словаря было выделено, для того чтобы охватить понятия, присущие каждому человеческому языку (такие, как личные местоимения, части тела, небесные тела, глаголы основных действий, числительные «один», «два» и т. д.), исключая понятия, специфические для какой-либо культуры или какого-либо периода времени. Как было выяснено, такой идеал фактически невозможен, и, возможно, набор значений потребуется составить с учетом сравниваемых языков. Затем в этих списках вычисляется процент родственных слов (слов, имеющих общее происхождение). Чем больше процент родственных слов, тем меньше времени назад предположительно разделились два сравниваемых языка. 2.2. Глоттохронологическая константа Лис получил значение «глоттохронологической константы» слов, изучая известные изменения в 13 парах языков при помощи списка из 200 слов. Он получил число 0.806 ± 0.0176 с 90 % точностью. При списке из 100 слов Сводеш получил число 0.86, так как большее значение отражает исключение заимствованных слов. Эта константа соотносится со скоростью удерживания слов формулой L = 2ln (r ) где L — скорость замены, ln — логарифм по основанию e, а r — глоттохронологическая константа. 2.3. Время расхождения Основная формула глоттохронологии кратко заключается в следующем:
где t — данный период времени от одной стадии языка к другой, c — процент сохранившихся к концу этого периода единиц из списка, а L — скорость замены для этого списка слов. Проверяя исторически доказываемые случаи, где мы знаем о t из нелингвистических данных (например, приблизительный промежуток от классической латыни до современных романских языков), Сводеш получил эмпирическое значение приблизительно 0.14 для L (означающее, что скорость замены составляет около 14 слов из 100-словного списка в тысячелетие). 2.4. Результаты Было выяснено, что глоттохронология работает в случае индоевропейских языков[1], составляя 87 % расхождений. Также установлено, что она работает для хамито-семитских языков (Флеминг, 1973), китайского (Манро, 1978) и америнда (Старк, 1973; Баумхофф и Ольмстед, 1963). Так как последние соотношения были получены при помощи датирования по радиоуглероду и группам крови, так же, как и археологии. 3. Противоречия Со времени возникновения глоттохронологию отрицали многие лингвисты, и сегодня её отрицают многие индоевропеисты. Тот факт, что последние глоттохронологические результаты (Грэй и Аткинсон) противоречат популярной Курганной гипотезе, лишь усугубил неприятие глоттохронологии. · Однако, критика, выдвигаемая против более высокой устойчивости лексем лишь в списках Сводеша (Хаарманн, 1990), несостоятельна, так как лишь определенное количество слов может подвергаться подсчету. · Традиционная глоттохронология предполагала, что язык изменяется с постоянной скоростью. Таким образом, Бергсланд и Вогт (1962) убедительно доказали на основе современных языковых данных, проверяемых экстралингвистическими источниками, что скорость изменения для исландского составила около 4 % за тысячелетие, тогда как для риксмола (письменного норвежского) она достигла бы 20 % (предложенная Сводешом «постоянная скорость» предположительно должна была составлять около 14 % за тысячелетие).Это и несколько других похожих примеров убедительно доказали, что формула Сводеша не может являться универсальной. Вполне возможно, вероятность изменения является различной для отдельных слов или выражений («каждое слово имеет свою собственную историю»).Это предположение было модифицировано и многократно ниже). · Серьезным аргументом является то, что языковые изменения происходят из-за социальных и исторических событий, которые, разумеется, являются непредвиденными, и, таким образом, не поддаются строгому анализу. 4. Модифицированная глоттохронология Где-то между первоначальной концепцией Сводеша и полным отрицанием глоттохронологии располагается идея о том, что глоттохронология как формальный метод лингвистического анализа начинает действоать с помощью нескольких важных изменений. Таким образом, неоднородности в скорости замены изучал Ван дер Мерве (1966), разделяя список слов на классы, каждый из которых имеет свою собственную скорость, тогда как Дайен, Джеймс и Коул (1967) допустили, что каждое значение имеет свою собственную скорость. Одновременное вычисление времени расхождения и скорости замены проводили Краскал, Дайен и Блэк. Брейнард (1970) учел случайное родство, а эффекты смысла были введены Глисоном (1959). Санкофф (1973) предложил введение параметра заимствования и допустил рассмотрение синонимов. Все эти разнообразные изменения приведены в книге Санкоффа «Полностью параметризованная лексикостатистика». В 1972 году Санкофф в биологическом контексте выработал модель генетического расхождения популяций. Эмблтон (1981) вывела из этого упрощенную версию в лингвистическом контексте. Она выполнила ряд моделирований, используя те из них, которые, как было выяснено, дают хорошие результаты. Доработки в статистической методологии, связанные с совершенно другой отраслью науки — изменения в ДНК с течением времени — снова вызвали интерес, как в девяностых, так как для этих методов больше не требуется предположение о постоянной скорости изменения (Грэй и Аткинсон). 4.1. Метод Старостина Еще одна попытка ввести такие изменения была сделана русским лингвистом Сергеем Старостиным, который предложил следующее: · Систематически заимствуемые слова, которые заимствуются одним языком из другого, являются нарушающим фактором и должны быть исключены из вычислений; по-настоящему значимым является только «родное» замещение единиц единицами того же языка. То, что этот фактор не был замечен, явилось главной причиной получения Сводешом 14 слов из 100-словного списка за тысячелетие в его первых вычислениях скорости замены, тогда как настоящая скорость фактически намного медленнее (около 5 или 6). Введение этой поправки эффективно сводят на нет аргументы из «Бергсланд и Вогт», так как подробный анализ данных по риксмолу показывает, что его основной список слов насчитывает около 15-16 заимствований из других германских языков (в основном, датского) — исключение этих элементов из расчетов снижает значение до ожидаемой скорости в 5-6 «родных» замен за тысячелетие; · Скорость изменения, в действительности, не постоянна, но зависит от периода времени, в течение которого слово существует в языке (то есть вероятность замены лексемы X лексемой Y возрастает прямо пропорционально прошедшему времени — так называемому «старению слов», эмпирически понимаемому как постепенное «разрушение» первоначального значения слов под весом приобретенных вторичных значений); · Отдельные единицы в 100-словном списке имеют другой уровень стабильности (например, для слова «я» обычно вероятность замены намного ниже, чем для слова «желтый» и т. д.). Полученная формула, учитывающая и зависимость от времени, и индивидуальные коэффициенты стабильности, выглядит следующим образом:
В этой формуле Lc отражает постепенное замедление процесса замещения благодаря различным индивидуальным скоростям (наименее стабильные элементы замещаются первыми и быстрее всего), тогда как квадратный корень представляет обратную тенденцию — ускорение замещения по мере того, как единицы в первоначальном списке слов «стареют» и становятся более склонными к изменению своего значения. Эта формула, очевидно, более сложная, чем первоначальная формула Сводеша, но, как видно из работы Старостина, ее результаты заслуживают большего доверия, чем результаты предыдущей (и она более или менее соответствует всем случаям разделения языков, которые могут быть подтверждены историческими сведениями). С другой стороны, она показывает, что глоттохронология может применяться как серьезный научный инструмент только для тех языковых семей, для которых была тщательно разработана историческая фонология (по меньшей мере, настолько, чтобы иметь возможность четко разграничить родственные и заимствованные слова). 4.2. Вычисление времени Проблема вычисления времени была предметом конференции, проводившейся в институте МакДональда в 2000 году. Опубликованные доклады (Ренфрю, МакМэхон и Трэск, 2002) дают представление о взглядах на глоттохронологию в данное время. Они варьируются от представленных в статье «Почему лингвистика не имеет дело с датами» до идей Старостина, обсужденных выше. Список литературы: 1. Language-tree divergence times support the Anatolian theory of Indo-European origin, Russel D. Gray & Quesntin D. Atkinson, Nature 426, 435—439 2003 Источник: http://ru.wikipedia.org/wiki/Глоттохронология |
