Реферат: Оценка рыночных отношений предприятия с объектами научно-технической продукции в ОАО Вяземский
|
Название: Оценка рыночных отношений предприятия с объектами научно-технической продукции в ОАО Вяземский Раздел: Рефераты по менеджменту Тип: реферат | |||||||||||||||||||||||||||||||||||||||||||||||||||||||||||||||||||||||||||||||||||||||||||||||||||||||||||||||||||||||||||||||||||||||||||||||||||||||||||||||||||||||||||||||||||||||||||||||||||||||||||||||||||||||||||||||||||||||||||||||||||||||||||||||||||||||||||||||||||||||||||||||||||||||||||||||||||||||||||||||||||||||||||||||||||||||||||||||||||||||||||||||||||||||||||||||||||||||||||||||||||||||||||||||||||||||||||||||||||||||||||||||||||||||||||||||||||||||||||||||||||||||||||||||||||||||||||||||||||||||||||||||||||||||||||||||||||||||||||||||||||||||||||||||||||||||||||||||||||||||||||||||||||||||||||||||||||||||||||||||||||||||||||||||||||||||||||||||||||||||||||||||||||||||||||||||||||||||||||||||||||||||||||||||||||||||||||||||||||||||||||||||||||||||||||||||||||||||||||||||||||||||||||||||||||||||||||||||||||||||||||||||||||||||||||||||||||||||||||||||||||||||||||||||||||||||||||||||||||||||||||||||||||||||||||||||||||||||||||||||||||||||||||||||||||||||||||||||||||||||
ФЕДЕРАЛЬНОЕ АГЕНТСТВО ПО ОБРАЗОВАНИЮ ФИЛИАЛ ГОСУДАРСТВЕННОГО ОБРАЗОВАТЕЛЬНОГО УЧРЕЖДЕНИЯ ВЫСШЕГО ПРОФЕССИОНАЛЬНОГО ОБРАЗОВАНИЯ МОСКОВСКОГО ГОСУДАРСТВЕННОГО ИНДУСТРИАЛЬНОГО УНИВЕРСИТЕТА В Г. ВЯЗЬМЕ СМОЛЕНСКОЙ ОБЛАСТИ КУРСОВАЯ РАБОТА Дисциплина: «Инновационный менеджмент» Тема: «Оценка рыночных отношений предприятия с объектами научно-технической продукции в ОАО «Вяземский хлебокомбинат»» Специальность: 080507 «Менеджмент организации» Группа: Студент: Преподаватель: 2010 г. Оглавление Глава 1 Оценка рыночных отношений с объектами научно-технической продукции на предприятии . 5 1.1 Оценка рыночных отношений предприятия. Рынок научно-технической продукции . 5 1.2 Научно-техническая продукция как товар особого рода . 16 1.3 Рыночные отношения предприятия с объектами научно-технической продукции . 22 Глава 2 Анализ инновационной деятельности (предприятия ОАО «Вяземский хлебокомбинат») 27 2.1 Общая характеристика ОАО «Вяземский хлебокомбинат» . 27 2.2 Анализ организационной структуры ОАО «Вяземский хлебокомбинат» 34 2.3 Анализ инновационной деятельности на ОАО «Вяземский хлебокомбинат» 37 Глава 3 Разработка инновационного проекта, выбор источника его финансирования . 53 3.3 Выпуск предприятием облигаций . 61 3.4 Выпуск предприятием привилегированных акций . 65 3.5 Выбор варианта и обоснования его эффективности . 69 Приложение А…………………………….……………………………………..75 ВВЕДЕНИЕ Современные тенденции мирового развития связаны с переходом общества к более высокой – постиндустриальной – стадии. Человеческая цивилизация вступила в новый этап своего развития – информационное общество, основу жизнедеятельности которого составляют процессы производства, распространения и использования информации. Причём речь идёт не об информации вообще, а, прежде всего, о знании, т.е. информации, воплощённой в фактах, сведениях о законах природы и общества и принципах их практического применения, навыках и способностях людей, а так же социальных отношений. Стабильное развитие производства в течение длительного времени зависит не только от ресурсов, но и от характера, от размеров инновационной деятельности, связанной с разработкой, внедрением, применением нововведений, которая направлена на внедрение итогов научных исследований и разработок в практический технологический процесс, т. е. она соединяет в себе производство, обмен, потребление и включает многие сферы деятельности, главная цель которой можно определить как создание, накопление и развитие научно-технического хозяйствования, которая обеспечивает его конкурентоспособность, экономическую безопасность и дальнейшее развитие. В этих условиях радикальным образом изменились механизмы функционирования российской экономики. Создание, распространение и внедрение новых продуктов, услуг, технологических процессов выступают как составная часть промышленной деятельности и реализуются посредством различных форм передачи (приобретения) технологий – овеществленных (в виде машин и оборудования) и невещественных (патенты, лицензии, ноу-хау и т.п.). В то же время, инновационная активность предприятий сдерживается многочисленными причинами объективного и субъективного характера (недостаточным финансовыми возможностями, высокой степенью риска, отсутствием собственной научно-исследовательской и опытно-конструкторской базы, кадров требуемой квалификации, необходимой научно-исследовательской и маркетинговой информации). Таким образом, анализ и прогнозирование развития экономики становятся невозможными без изучения целей и источников инноваций, форм внутреннего и внешнего технологического обмена, оценки текущих и капитальных затрат на инновационную деятельность по её видам и источникам финансирования, объёма инновационной продукции. Объектом исследования работы является предприятие пищевой промышленности ОАО «Вяземский хлебокомбинат». Предметом исследования является инновационная деятельность предприятия. Целью курсовой работы является – изучить и раскрыть особенности оценки рыночных отношений с объектами научно-технической продукции на предприятии. В соответствии с целью определены следующие задачи: - Рассмотреть понятие научно-технической продукции; - Ознакомиться с методами оценки рыночных отношений с объектами научно-технической продукции на предприятии; - Дать краткую характеристику предприятия ОАО «Вяземский хлебокомбинат»; - проанализировать систему управления предприятием ОАО «Вяземский хлебокомбинат»; - Проанализировать инновационную стратегию предприятия ОАО «Вяземский хлебокомбинат». ГЛАВА 1 ОЦЕНКА РЫНОЧНЫХ ОТНОШЕНИЙ С ОБЪЕКТАМИ НАУЧНО-ТЕХНИЧЕСКОЙ ПРОДУКЦИИ НА ПРЕДПРИЯТИИ1.1 Оценка рыночных отношений предприятия. Рынок научно-технической продукции Основанием всей системы хозяйственного управления в стране являются предприятия. Экономику всех государств можно рассматривать как совокупность всевозможных предприятий, находящихся в тесной производственной, кооперированной, коммерческой и другой взаимосвязи между собой и государством. От того, насколько эффективно работают предприятия и каково их финансовое состояние, зависят здоровье всей экономики и индустриальная мощь государства. Предприятие – главная экономическая единица конъюнктуры рынка. На предприятиях создаются продукция и услуги, необходимые для производственных целей и нужд населения. От того, как они используют свои ресурсы, какую выпускают продукцию по уровню качества и конкурентной способности, как внедряют результаты научно-технического прогресса, зависит рыночная оценка предприятия. Предприятие представляет собой такую форму организации хозяйства, при которой индивидуальный потребитель и производитель взаимодействуют посредством рынка с целью решения трех основных экономических проблем: что, как и для кого производить. При этом никто из предпринимателей и организаций сознательно решением этой триады экономических проблем не занят, каждый решает в стихии рынка на индивидуальном уровне. На оценку рыночных отношений и на эффективность работы предприятия влияют самые разнообразные факторы. В зависимости от направленности действия все факторы можно объединить в две группы: позитивные и негативные. Позитивные факторы – это такие факторы, которые благотворно влияют на деятельность предприятия, а негативные – наоборот. В зависимости от места возникновения все факторы можно классифицировать на внутренние и внешние. Внутренние факторы зависят от деятельности самого предприятия, т.е. само предприятие их порождает. Внутренние факторы очень разнообразны и для лучшего понимания, учета, анализа и выявления резервов производства их целесообразно объединить в следующие группы: - связанные с совершенствованием организации производства и труда, управлением предприятием; - связанные с организационно-правовой формой хозяйствования; - связанные с ускорением научно-технического прогресса и с инновационной политикой предприятия; - связанные со спецификой производства и отрасли; - связанные с амортизационной и инвестиционной политикой; - связанные с качеством и конкурентной способностью продукции, с управлением издержками и ценовой политикой; - связанные с личностью руководителя и способностью его команды управлять предприятием в условиях рынка; - связанные с созданием благоприятного социально- психологического климата в коллективе. Эта классификация чисто условная и она не отражает все многообразие факторов, но позволяет более детально представить внутренние факторы и их влияние на эффективность производства. Также внутренние факторы можно разделить на: - объективные факторы – это такие факторы, возникновение которых не зависит от субъекта управления (например, стихийные бедствия, ухудшение горно-геологических условий на горном предприятии); - субъективные факторы – составляют абсолютное большинство и полностью зависят от субъекта управления, они должны быть всегда в поле зрения и анализа. Эффективность работы предприятия, а также положительная оценка отношений в условиях рынка в значительной мере зависит и от внешних факторов. Внешние факторы можно классифицировать в следующие группы: - связанные с изменениями политической обстановки как внутри страны, так и в более глобальном масштабе; - связанные с инфляционными процессами; - связанные с деятельностью государства; - связанные с изменением конъюнктуры внутреннего и мирового рынка (в основном это проявляется в изменении спроса и предложения, а также в колебании цен). Вся история развития общественного производства свидетельствует и доказывает, что наиболее эффективно предприятия функционируют в условиях цивилизованного рынка, для которого характерны наличие различных форм собственности, здоровая конкуренция, демонополизация экономики, свободное ценообразование, наличие развитой рыночной инфраструктуры, преимущество потребителя по сравнению с производителем и другие необходимые атрибуты. Важной целью любого предприятия в условиях рынка является обеспечение стабильной финансовой устойчивости в его работе. Высшая цель деятельности предприятия - это превышение результатов над затратами, т.е. достижение возможно большей прибыли или возможно большей рентабельности. Идеальным положением является такое положение, когда получение максимальной прибыли обеспечивает и более высокую рентабельность. Для достижения поставленной цели предприятие должны: - рационально использовать производственные ресурсы с учетом их взаимозаменяемости; - выпускать высококачественную продукцию, систематически ее обновлять и оказывать услуги в соответствии со спросом и имеющимися производственными возможностями; - обеспечивать конкурентную способность предприятия и продукции, поддерживать высокий имидж предприятия; - систематически внедрять все новое и передовое в производство, в организацию труда и управление; - разрабатывать стратегию и тактику поведения предприятия и корректировать их в соответствии с изменяющимися обстоятельствами; - заботиться о своих работниках, росте их квалификации и большей содержательности труда, повышении их жизненного уровня, создании благоприятного социально-психологического климата в трудовом коллективе; - проводить гибкую ценовую политику и осуществлять другие функции. [9] При этом очень важно, чтобы все функции предприятия были направлены на реализацию выработанной стратегии и на достижение поставленной цели. Рубеж XX-XXI в.в. ознаменован значительным возрастанием особой значимости предприятий, занимающихся исследованиями или научной деятельностью, а также выпуском объектов научно-технической продукции. Основной целью и задачами формирования рынка научно-технической продукции является распространение рыночных отношений в научно-технической сфере; обеспечение выхода конкурентоспособной научно-технической продукции на внутренний и мировой рынки; замещение импортной продукции на внутреннем рынке и перевод на этой основе национальной экономики в стадию устойчивого экономического роста. Для достижения поставленной цели необходимо решение основной задачи, которая состоит в создании совокупности условий и механизмов, благодаря которым покупатели и продавцы научно-технической продукции и услуг научно-технического характера вступают в контакт друг с другом с целью покупки или продажи этой продукции или услуг. Решение этой задачи может быть обеспечено при соблюдении следующих условий: - Появление большого количества покупателей и продавцов научно-технической продукции и услуг научно-технического характера; - Обеспечение свободы вхождения в рынок любого производителя и любого покупателя; - Обеспечение "прозрачности" рынка, т. е. полной осведомленности участников о происходящем на рынке, а также отсутствие сговора между продавцами; - Мобильности факторов производства; - однородности продукции. - Появление большого количества покупателей и продавцов научно-технической продукции и услуг научно-технического характера обеспечивается осуществлением следующих мер: - Стимулирование инновационной активности предприятий; - Стимулирование предпринимательства в научно-технической сфере, в том числе стимулирование развития малого бизнеса; - Повышение качества и конкурентоспособности отечественной научно-технической продукции и услуг в научно-технической сфере; - Создание благоприятных для функционирования рынка научно-технической продукции институциональных условий; - Обеспечение правовой охраны результатов научно-технической деятельности, в том числе интеллектуальной собственности; - Защита внутреннего рынка от зарубежных конкурентов.[10] Обеспечение свободы вхождения в рынок любого производителя и любого покупателя требует осуществления мер, направленных на: - Увеличение платежеспособного спроса на основе проведения адекватной решаемой задаче финансово-экономической, налоговой и внешнеэкономической политики; - Расширение практики конкурсного размещения бюджетных средств для реализации государственных заказов, грантов, контрактов на проведение научно-исследовательских, опытно-конструкторских работ и выпуск наукоемкой продукции; - Разработка организационных и финансовых механизмов государственно-частных партнерств, в том числе передача научно-технических разработок, созданных при финансовой поддержке государства частным и акционерным корпорациям; - Создание информационной базы, содержащей маркетинговую информацию о рынке научно-технической продукции и услуг; - Устранение политики двойных стандартов в подходах к либерализации экономики при вступлении в ВТО; - Формирование региональных рынков научно-технической продукции. Для обеспечения "прозрачности" рынка, т. е. полной осведомленности участников о происходящем на рынке, а также для предупреждения возможности сговора между продавцами необходимо: - Ввести в действующее законодательство, в том числе антимонопольное и антитрестовское, нормы, регламентирующие правила, действующие на рынке научно-технической продукции, и регулирующие взаимоотношения между участниками этого рынка; - Усовершенствовать законодательные акты, направленные на охрану авторских и имущественных прав на объекты интеллектуальной собственности; - Организовать статистическую информацию, характеризующую объёмы и динамику этого рынка по позициям: НИР, НИОКР, технические разработки, технологические процессы, как в целом по рынку, так и по отдельным его участникам - в частности; - Разработать методы оценки научно-технических разработок и других результатов интеллектуальной деятельности и произвести оценку научно-технических разработок, особенно созданных при поддержке бюджетного финансирования; - Включить в сферу действия рынка ценных бумаг инновационно-активные предприятия. Динамичное развитие рынка научно-технической продукции должно обеспечиваться мобильностью факторов производства, используемых при создании научно-технической продукции на основе: - Создания и развития рынка ценных бумаг предприятий научно-технической сферы; - Активизации предпринимательских способностей; - Разрешения государственным предприятиям и учреждениям - участникам рынка научно-технической продукции - использовать средства, полученные при продаже научно-технической продукции на основе лицензионных соглашений, на научно-технические цели в качестве целевого финансирования; - Развития лизинга наукоёмкого уникального оборудования. Однородность научно-технической продукции, циркулирующей на рынке, должна быть достигнута следующими мерами: - Ориентация на приоритетные направления развития науки и техники и критические технологии; - Внедрение международных стандартов качества, сближение технологий и подходов к коммерциализации научно-технической продукции, сертификация продукции. Основными механизмами, обеспечивающими формирование и развитие отечественного рынка научно-технической продукции являются финансово-кредитный, правовой механизмы, а также институциональные преобразования. Развитие рынка научно-технической продукции возможно только при условии повышения инновационной активности субъектов национальной экономики, так как именно повышение инновационной активности предопределяет возникновение предложения и спроса на научно-техническую продукцию. Поэтому наибольшее значение имеет стимулирование НИОКР и инновационной активности предприятий в целом. Стимулирование НИОКР должно осуществляться с помощью государственной поддержки. В зависимости от социально-экономической и научной значимости разработок и инновационных проектов, обеспечивающих освоение и выпуск конкурентоспособной наукоёмкой продукции, создаваемых на базе технологий, имеющих высокий потенциал рыночной реализации, необходимо использовать различные формы прямой государственной поддержки: - Прямое государственное целевое финансирование НИОКР; - Предоставление государственных субсидий на возмездной и безвозмездной основе; - Предоставление государственных кредитов на разработку и освоение (по низкой процентной ставке или беспроцентный), либо возмещение сумм выплат по процентам за кредит, предоставляемых коммерческими банками; - Предоставление государственных гарантий для привлечения кредитных ресурсов частных кредитных учреждений; - Долевое, совместно с регионами и частным сектором, финансирование стратегически важных для национальной экономики коммерческих проектов. В целях обеспечения эффективного использования государственных финансовых ресурсов, выделяемых на проведение НИОКР, разработку и реализацию инновационных проектов, необходимо создать механизм многоуровневой научно-технической экспертизы; разработать методы экспертных оценок при разработке прогнозов научно-технологического развития, формировании приоритетных направлений развития науки и техники, выборе критических технологий, экспертизы заявок на получение государственных заказов, грантов и контрактов, связанных с выполнением НИОКР, разработкой и реализацией инновационных проектов; разработать методики оценки конкурентоспособности инновационных предприятий и оценки предпринимательского риска в инновационной деятельности. Для расширения предложения на рынке научно-технической продукции следует осуществить: - Инвентаризацию научно-технических результатов и интеллектуальной собственности, созданной с участием государственного финансирования; - Разработку методов экономической оценки интеллектуальной собственности, в том числе научно-технических результатов; - Оценку интеллектуальной собственности и включение её в состав нематериальных активов предприятий и организаций инновационной сферы; регистрацию инновационных разработок, продуктов и технологий региональными органами объединения "Росинформресурс" и включение их в соответствующую общероссийскую базу данных; - Организовать статистическую информацию о рынке товаров и услуг (участники рынка, продукция и услуги, объемы и динамика продаж и т. д.); осуществить институциональные преобразования с целью формирования инфраструктуры рынка научно-технической продукции и повышения инновационной активности национальной экономики.[14] Цель этих преобразований - интеграция институциональной структуры инновационной сферы в соответствии с требованиями рынка научно-технической продукции, формирование региональной институциональной структуры инновационной сферы и создание инфраструктуры этого рынка. Необходимо повысить ответственность регионов за формирование региональной инновационной инфраструктуры и разработать типовые требования к рыночной инфраструктуре инновационной деятельности региона; осуществить реструктуризацию научно-технической сферы с учетом реальной инновационной активности научно-технических организаций и их фактически сложившейся специализации; интегрировать часть узкоспециализированных отраслевых научных и проектных организаций, ведущих научные исследования и разработки в интересах преимущественно одного заказчика, в единую научно-промышленную структуру; акционировать отраслевые научно-исследовательские и проектные организации, ведущие широкий профиль исследований, и передать принадлежащий государству контрольный пакет акций предприятиям, являющимся заказчиками данной организации; реструктуризировать часть отраслевых научно-исследовательских и проектных институтов в инжиниринговые фирмы с развитой маркетинговой и коммерческой инфраструктурой с последующим их акционированием; создать на базе высших учебных заведений и институтов РАН, ведущих активную инновационную деятельность, современные институциональные структуры с участием малого бизнеса, такие, как: инновационно-технологические центры (технопарки), научные парки, инкубаторы бизнеса и др. институциональные структуры, имеющие положительный опыт работы в России и за рубежом; стимулировать кооперацию российских предприятий при разработке конкурентоспособной продукции; создать инфраструктуру рынка научно-технической продукции с использованием предприятий малого бизнеса, выполняющих консалтинговые функции, функции коммерциализации научно-технической продукции и её продвижения на отечественный и зарубежный рынки; создать информационную инфраструктуру рынка научно-технической продукции. Необходимо организовать подготовку кадров по специальностям, обеспечивающим функционирование рынка научно-технической продукции. С целью снижения инвестиционного риска институциональные преобразования должны обеспечить формирование и совершенствование нормативно правовой базы рынка научно-технической продукции. Основными направлениями совершенствования законодательства и нормативно-правовых актов в этой сфере являются: - Правовая охрана интеллектуальной собственности. Необходимо усовершенствовать законодательство в целях обеспечения защиты прав авторов при создании ими служебных произведений путём разграничения авторских и имущественных прав, а также охраны авторских и имущественных прав правообладателей на интеллектуальную собственность, права на которую закреплены за государством; - Стимулирование процессов создания и использования объектов интеллектуальной собственности. Совершенствование законодательства в этом направлении должно обеспечить включение в законодательные и нормативные акты, в том числе ведомственные, разделов о государственном стимулировании изобретательства и другой интеллектуальной деятельности, обеспечивающей создание конкурентоспособной инновационной продукции, закрепление прав регионов России в области реализации инновационной политики. Необходимо также сократить количество и размеры госпошлин за услуги патентных служб; - Правовое регулирование рынка научно-технической продукции. Должно быть направлено на пресечение неконтролируемой передачи отечественной научно-технической продукции за рубеж. 1.2 Научно-техническая продукция как товар особого рода Научно-техническая продукция производится по государственным заказам и договорам с конкретными заказчиками (министерствами, ведомствами, предприятиями, организациями). Государственный заказ на научно-техническую продукцию - задание центральных экономических органов на проведение комплексных НИОКР (или их крупных этапов) и решение важнейших научно-технических проблем общегосударственного или республиканского значения. В госзаказ включаются задания на исследования, разработки, изготовление опытных образцов (установок), создание и освоение новой техники и технологии, включенные в международные и государственные научно-технические программы, а также планы межотраслевых научно-технических комплексов (МНТК). Как правило, они основаны на открытиях и крупных изобретениях, направлены на создание принципиально новой техники, технологии, финансируются (полностью или частично) из госбюджета и других централизованных фондов. Госзаказ выдается на срок выполнения соответствующей программы и может выходить за рамки пятилетки.[15] Предложения по формированию госзаказа выдвигают руководители научно-технических программа их направлений, МНТК, академий, Советов министров республик, министерства и ведомства, главные конструкторы по видам техники, а также отдельные научно-технические коллективы и ученые. Основанием для этого служат данные о прогнозируемых результатах и затратах, значимости соответствующих научных достижений, масштабах их возможного использования, а также постановления высших советских органов и правительства. Госзаказы могут размещаться и выполняться на конкурсной основе. В первом случае заказ выдается той из конкурирующих организаций, которая предложила наиболее эффективное решение. В другом случае госзаказ на одну тему выдается нескольким исполнителям, а в дальнейшем для освоения в производстве (строительстве) выбирается лучший вариант. На основе госзаказа его исполнители, соисполнители заключают хозяйственные договоры в обязательном порядке. Госзаказы получают материально-техническое обеспечение в первую очередь. Их исполнители могут получать экономические преимущества и льготы (более высокие цены, льготы по налогам и плате за ресурсы, кредитные и страховые льготы, надбавки к должностным окладам и т.д.). В то же время они несут повышенную ответственность за выполнение заказа. Договор на создание и передачу научно-технической продукции -двустороннее или многостороннее соглашение между ее производителями и потребителями (заказчиками), устанавливающее наименование продукции (предмет договора), научные, технические, экономические, экологические и другие требования к ее качеству (техническое задание), срок сдачи работы и ее основных этапов, порядок ее приемки и оценки, а также использования, договорную цену, порядок взаимных расчетов, санкции за невыполнение или ненадлежащее выполнение обязательств по договору. Типовое положение о порядке заключения, исполнения, изменения и расторжения договоров предоставляет их участникам широкие права по определению конкретного содержания договора. Его предметом может быть создание любого из видов научно-технической продукции (включая работы по прогнозированию, планированию, обоснованию цен, эргономике, обучению кадров и т.д.), а также передача ранее созданной продукции. Договор может включать как весь комплекс работ от исследований до услуг по внедрению и освоению нововведения, так и отдельные его этапы. Договора определяют условия производства и реализации научно-технической продукции. Часть поисковых исследований выполняется по инициативе самих институтов в качестве задела для производства научно-технической продукции в перспективе. Непосредственный продукт науки - понятия, теоретические конструкции, модели, знаковые системы, наглядные графические образы и другая информация, содержащая новое знание и обеспечивающая его одинаковое понимание и освоение специалистами. Конечный продукт науки - нововведения, точнее фактический эффект от их использования.[14] Непосредственный продукт фундаментальной науки не становится товаром. Он является результатом труда не только данного научного коллектива, но и предшествующих поколений исследователей, воплощает общественные затраты на развитие образования, культуры и смежных отраслей науки, а не только расходы данного института. Это продукт по сути дела принадлежит обществу в целом и может быть использован в течение неограниченного времени необозримым кругом потребителей. При окончании фундаментального исследования невозможно предсказать все области, где оно будет использовано и тем более исчислить его экономический эффект. Конечный продукт науки тоже далеко не всегда выступает как товар, поскольку является результатом труда многих коллективов и реализуется спустя длительное время после окончания исследования. Поэтому для того, чтобы включить науку в систему рыночных отношений, ныне учитывается промежуточный результат - научно-техническая продукция - товар особого рода. Научно-техническая продукция - законченный в соответствии с требованиями договора, принятый заказчиком результат научно-исследовательских, проектных, конструкторских, технологических работ, реализуемый по договорным ценам. К ней относятся: - Научно-техническая документация (отчеты, проекты, чертежи, регламенты, нормативы, методики, программы и т.д.) о результатах законченных фундаментальных и прикладных исследований и разработок, включая работы по созданиюновой техники и других изделии, технологии, материалов, работы в области технико-экономических исследований, информатики, экологии, эргономики, математического моделирования, дизайна и т.д.; - Экспериментальные и опытные образцы (партии) новой техники (продукции); - Научно-технические услуги, включая участие в пусконаладочных работах, авторский надзор при освоении и эксплуатации нововведений, передовой опыт в этой области ("ноу-хау"), обучение персонала заказчика (потребителя), научно-технические, управленческие, финансово-экономические консультации; - Прочие результаты научной, инженерной и информационной деятельности, предназначенные для использования в производстве, управлении и планировании (передача технологии, экспертиза и т.д.). Научно-техническая продукция, произведенная организациями, входящими в состав предприятий и объединений, учитывается наряду с обычной продукцией в общих итогах их работы. В валовую продукцию объединения (предприятия) включается вся научно-техническая продукция, выполненная как по договорам со стороны, так и для своих нужд. В товарную продукцию включается и при оценке выполнения договорных обязательств учитывается лишь научно-техническая продукция, реализуемая по договорам со стороны. Таким образом, в принципе результаты научно-технической и производственной деятельности с 1989 г. суммируются. Это означает признание того факта, что научно-техническая деятельность создает новую стоимость и национальный доход (до сих пор наука относилась к непроизводственной сфере). В то же время научно-техническая продукция - товар особого рода. В отличие от обычного материального товара при потреблении она не исчезает. Поэтому возможна многократная реализация одного и того же продукта многим заказчикам (его некоторая модификация не меняет сути дела). Поэтому целесообразно оплачивать полную стоимость товара лишь при первой продаже, а в дальнейшем оплачивать лишь дополнительные услуги и перечислять часть прибыли от использования нововведения.[10] Полностью эквивалентный обмен в сфере НТП невозможен. Затраты на открытие и его воспроизводство резко различаются. Продукт умственного труда - наука - "всегда ценится далеко ниже ее стоимости, потому что рабочее время, необходимое для ее воспроизведения, не идет ни в какое сравнение с тем рабочим временем, которое требуется для того, чтобы первоначально ее произвести". К науке неприменимы традиционные критерии общественно необходимых затрат труда. Поскольку каждое подлинно научное исследование уникально и, как правило, выполняется лишь в одном-двух учреждениях, не происходит формирования среднепрогрессивных величин, характеризующих усредненные затраты при господствующих условиях производства. Экономический эффект науки и материальная окупаемость ее затрат относятся лишь к науке или ее отдельным направлениям в целом, но не к каждому исследованию в отдельности. Все сказанное вовсе не подвергает сомнению необходимость экономических обоснований в процессе фундаментальных исследований. Законодательство СССР с 1991 г. регулирует отношения по созданию и использованию изобретений, открытий и других объектов интеллектуальной собственности. Это позволило сделать объектом рыночных отношений предметы духовной культуры и результаты их хозяйственного использования - передачу технологии, лицензии на изобретения, аренду оборудования (лизинг), передовой опыт "ноу-хау", технические услуги (инжиниринг). Передача технологии - реализация совокупности материальных (новая техника, продукты, материалы, технология), информационных (техническая документация) и организационных (обучение методам организации производства, труда и управления) результатов НИОКР. Передача технологии происходит в различных формах; поставки готовой продукции, ее совместная разработка и производство (кооперирование), сооружение производственных объектов "под ключ". При этом лицензия продается лишь на те нововведения, которые запатентованы в установленном порядке. Аренда новой техники (лизинг) используется при передаче технологии, воплощенной в дорогостоящих и уникальных объектах (крупных ЭВМ, измерительных комплексах, сложном оборудовании). Впоследствии они могут выкупаться у арендодателя (банка, посреднической фирмы и т.д.). Передовой опыт ("ноу-хау") - умение, знания и навыки, которые не являются общеизвестными, не защищены патентами и могут быть эффективно использованы в производственной и хозяйственной деятельности (НИОКР, проектирование и строительство, изготовление и продажа продукции, поиск и добыча полезных ископаемых, освоение нововведений, в том числе экономических, подготовка кадров). С этим связаны и технические услуги (инжиниринг) по подготовке и обеспечению нормального хода производства и реализации продукции (консультации и экспертиза проектов, оценка технологий и сооружаемых объектов, техническое обучение и инструктаж, передача технической информации). Продажа объектов интеллектуальной собственности становится все более важным элементом современной рыночной экономики. Согласно инвестиционному законодательству интеллектуальные ценности ("ноу хау", опыт, авторские права) приравниваются к имущественным (денежные средства, паи, акции, движимое и недвижимое имущество и т.д.) в качестве инвестиций. Результат фундаментального исследования часто не принимает материально-предметную форму, а персонифицируется, воплощается в знаниях специалистов. Их, как показал опыт, невозможно засекретить и присвоить. Общечеловеческому достоянию невозможно дать денежную оценку. В то же время продукт прикладных исследований и разработок принимает самостоятельную предметную форму изобретения, технической документации, методик, имеет авторство, принадлежит определенному физическому или юридическому лицу, отчуждается от трудового процесса после его завершения. 1.3 Рыночные отношения предприятия с объектами научно-технической продукции Особое влияние на то, чтобы предприятие на рынке имело устойчивое положение, а также положительную оценку своей предпринимательской деятельности, имеет введение в производство и реализацию новой, усовершенствованной, продукции, при производстве которой используется иной состав сырья, новая технология или это может быть совершенно новый товар, не имеющий аналогов. При рациональном выборе новой продукции, как правило, в результате научно-технических и маркетинговых исследований, позволит предприятию занять определенную рыночную нишу, что значительно повлияет на рыночные отношения предприятия, а также на эффективность хозяйственной и предпринимательской деятельности предприятия и значительное расширение ассортимента продукции. Для производства и реализации объектов научно-технической продукции на предприятии следует провести некоторую техническую подготовку производства, в процессе которой выполняются разнообразные конструкторско-технологические расчеты, связанные с определением конструктивного состава изделий, последовательности их обработки на установленном оборудовании, работы по определению состава инструментов и приспособлений.[10] Основными целями технической подготовки производства является обеспечение высоких технико-экономических характеристик создаваемых и выпускаемых изделий, сокращение сроков и затрат при подготовке и освоение новых изделий на базе применения электронной вычислительной техники, повышение технического уровня производства, механизации и автоматизации технологических процессов, минимизации расходов материальных, трудовых и денежных средств. В технической подготовке производства формируется информация, характеризующая состав изделий и технологию их изготовления, материальные и трудовые нормативы. Особое значение имеет сокращение сроков научно-технической подготовки производства, в том числе и обеспечение определенной параллельности выполнения отдельных этапов. Для этого необходимо: - Снизить до минимума все изменения, вносимые в изделие после передачи результатов от одного этапа к другому; - Определить и реализовать рациональную параллельность работ, фаз, стадий цикла; - Обеспечить сокращение затрат времени на выполнение отдельных этапов. Как уже указывалось, проведение НИР можно рассматривать как научную подготовку производства (НПП), ОКР - как основную часть конструкторской подготовки производства (КПП) и частично технологической (ТПП), а собственно подготовку производства на серийном заводе как окончание КПП, проведение в основном ТПП, а также организационной подготовки производства (ОПП). Длительности всех стадий жизненного цикла изделия коренным образом влияют на его экономическую эффективность. Особое значение имеет сокращение сроков научно-технической подготовки производства, в том числе и обеспечение определенной параллельности выполнения отдельных этапов. Для этого необходимо: - Снизить до минимума все изменения, вносимые в изделие после передачи результатов от одного этапа к другому; - Определить и реализовать рациональную параллельность работ, фаз, стадий цикла; - Обеспечить сокращение затрат времени на выполнение отдельных этапов. Решение первой задачи обеспечивается инженерно-техническими методами: - Стандартизация; - Унификация; - Обеспечение качества и надежности; - Применение САПР и т. д. Решение второй задачи осуществляется путем применения планово-координационных методов. Решение третьей задачи связано с первой и состоит в использовании организационных методов: - Технического обеспечения; - Автоматизации; - Средств планирования, функционально-стоимостного анализа, опытного производства и т.д. Основными критериями для выбора оптимального технологического процесса являются себестоимость и производительность. Для выбора оптимального варианта технологического процесса, т.е. для сопоставительной оценки, нет необходимости производить поэлементный расчет всех статей затрат, входящих в себестоимость, а достаточно проанализировать лишь затраты, меняющиеся при изменении технологического процесса. Вычислять и включать в себестоимость затраты, не меняющиеся при изменении варианта процесса, не имеет смысла, так как при определении абсолютной величины экономии, достигаемой при применении более выгодного варианта, одинаковые слагаемые себестоимости взаимно уничтожаются. Выбор наиболее экономичного варианта реализации технологического процесса из множества возможных способов изготовления продукции следует в общем случае осуществлять по минимуму приведенных затрат, которые принимаются в качестве критерия оптимальности. Однако, как отмечалось в первой главе, рациональный вариант на практике определяется на основе определения критического объема производства, служащего границей экономической целесообразности сравниваемых вариантов, и по минимуму затрат, приходящихся на один машино-час работы оборудования. Однако для сопоставления вариантов технологических процессов во многих случаях достаточно ограничиться расчетом технологической себестоимости выпуска. На основании всего вышесказанного можно сделать следующие выводы: - Научно-техническая подготовка имеет непосредственное влияние на ускорение обновления ассортимента продукции на предприятии, т.к. она является составной частью данного процесса (обновление ассортимента); - Ускорение и автоматизация некоторых этапов научно-технической подготовки позволит не только быстрее обновить ассортимент, но и выбрать его наиболее рациональный вариант, т.к. на стадии технологической подготовки производства происходит расчет наиболее экономичного варианта производства продукции. Начальный этап освоения выпуска новых изделий характеризуется повышенными издержками. Причину этого можно объяснить следующими факторами: - Небольшой объем выпуска изделий, на который распределяется условно-постоянные расходы, связанные с освоением; - Повышенной трудоемкостью и станкоемкостью изготовления (из-за постепенности отладки оборудования; неполной оснащенностью техпроцессов специальным оборудованием и оснасткой; недостаточной опытностью рабочих и ИТР); - Большим количеством переналадок (например, прессового оборудования); - Повышенным браком; - Затратами на обучение персонала; - Доплатами до среднего уровня зарплаты в период освоения и др. По мере наращивания объема выпуска новых изделий происходит и снижение издержек. Положение предприятий, выпускающих научно-техническую продукцию, на рынке значительно выше своих конкурентов, так как в настоящее время потребители отдают большую благосклонность инновационным товарам, прошедшим какие бы то ни было изменения, доработки, усовершенствования, приобретения дополнительных свойств. Таким образом, при разумном подходе к организации технологического процесса производства объектов научно-технологической продукции, а ее также ассортимент, в значительной степени будет влиять на оценку рыночных отношений данного предприятия, и что немаловажно, высоко котироваться как у предприятий-компаньонов, так и у потребителей выпускаемой продукции. То есть следует, что производство и выпуск объектов инновационной продукции на предприятии и эффективное ее продвижение на рынке аналогичных товаров увеличит оценку рыночных отношений данного предприятия. ГЛАВА 2 анализ инновационной деятельности (ПРЕДПРИЯТИЯ ОАО «Вяземский хлебокомбинат»)2.1 Общая характеристика ОАО «Вяземский хлебокомбинат» Открытое акционерное общество «Вяземский хлебокомбинат» (ОАО «Вяземский хлебокомбинат») было пущено в эксплуатацию 27 сентября 1947 г. В то время его производственная мощность составляла 30 тонн продукции в сутки. В 1960 – 65 г.г. была произведена реконструкция печного отделения. Предприятие было оборудовано двумя печами ФТЛ-2, их мощность составила 39,6 тонн в сутки. Примерно с 1970 г. в городе начались перебои с производством хлеба в регионе, и хлебокомбинату приходилось обеспечивать своей продукцией все близлежащие районы: Тёмкинский, Угранский, Сафоновский, Сычевский, Исаковский, Холм-Жирковский, Новодунинский и весь Вяземский район, Смоленск. С 1975 г. началась реконструкция зданий. Был построен административно-бытовой корпус, склад хранения муки, расширены производственные мощности. Были смонтированы два агрегата непрерывного приготовления теста и две тестомесильные машины «Стандарт». Пущен в эксплуатацию заквасочный цех, освоена новая технология приготовления хлеба на жидких заквасках. Завод стал выпускать продукции от 45 до 48 т. хлебобулочных изделий в сутки. В 1978 – 1982 г.г. были введены в действие три поточные линии: - две линии по непрерывному производству формового, расстойно-печные агрегаты Р2–59м с печами ФТЛ-2-66; - одна линия по производству булочных изделий мощностью 52,8 т. в сутки. В 1981 г. был запущен в эксплуатацию склад бестарного хранения муки на 192 т., это позволило сохранять запасы муки на 5 – 7 дней работы хлебокомбината. В 1985 г. произведена реконструкция котельной с переводом на жидкое топливо. В конце 80-х гг. был сдан в эксплуатацию кондитерский цех, где выпускались бисквитно-кремовые, песочные и мелкоштучные сдобные изделия. В то же время в городе открыт ряд собственных магазинов «Горячий хлеб». В то же время решается вопрос о большой реконструкции, т. е. о новом заводе, т. к. старый хлебокомбинат не соответствовал санитарным нормам и условиям труда. В 1991 – 1992 г.г. начинается реконструкция имеющихся мощностей и строительство отдельно стоящего корпуса склада площадью 600 м2 , но изменения в социальном и экономическом развитии страны затормозили строительство и впоследствии оно было заморожено. В современной своей форме ОАО «Вяземский хлебокомбинат» учреждено с 31.01.2001г. в соответствии с планом приватизации путем преобразования муниципального предприятия «Вяземский хлебокомбинат» в ОАО, 100% акций которого находится в муниципальной собственности. Место нахождения ОАО «Вяземский хлебокомбинат»: Российская Федерация, Смоленская область, г. Вязьма, ул. 25 Октября, д. 32., тел: (848131) 5-26-82, 5-07-69, www. hleb.vyazma.ru. Главной целью деятельности Общества, закрепленной Уставом, является извлечение прибыли через удовлетворение общественных потребностей в продукции, работах и услугах путем: - производства и реализации хлебобулочных и кондитерских изделий; - осуществление торговой деятельности через торговые точки предприятия. Основные задачи предприятия: - удовлетворение потребностей населения города и района в хлебобулочных и кондитерских изделиях; - обеспечение и повышение социальных гарантий членов трудового коллектива предприятия; - получение прибыли и рост доходов посредством производства и сбыта хлебобулочных изделий. Также целью является расширение ассортимента продукции, повышение ее качества, осуществление с наименьшими затратами реконструкции и технологического перевооружения предприятия, использование на предприятии достижений НТП. ОАО «Вяземский хлебокомбинат» выпускает следующие виды продукции: батон и хлеб (в ассортименте), торты, пироги, пирожки, пирожные, караваи, сухари и другие хлебобулочные и кондитерские изделия. Продукция комбината имеет ограниченный срок годности, поэтому используется полиэтиленовая пленка, которая не влияет на качество, но, тем не менее, сохраняет продукцию на более длительный срок, что позволяет доставку продукции по городам Смоленской области. Высшим органом управления ОАО «Вяземский хлебокомбинат» является общее собрание акционеров (далее – Общее собрание или Собрание), состоящие из акционеров или их представителей, действующих на основании нотариально оформленной доверенности. Организационная структура ОАО «Вяземский хлебокомбинат» представлена в приложении А. Руководство текущей деятельностью ОАО «Вяземский хлебокомбинат» единоличный исполнительный орган - Генеральный директор и коллегиальный исполнительный орган – Правление. Основными посредниками являются организации г. Вязьма (муниципальные – школы, сады, больницы, служба ФСБ и т.д.) и индивидуальные предприниматели, которые через свои торговые точки реализуют населению г. Вязьма, а также транспортировка осуществляется в Холм-Игоревское, Н.Дугино, Сычевку, Угру, Исаково, Шиманово, Темкино, Юхнов, Туманово, Сафоново, Гагарин, Смоленск. Итак, около 200 клиентов, с которыми работает предприятие вне города, а в г. Вязьме свыше 225 точек. ОАО «Вяземский хлебокомбинат» получил сертификат соответствия ГОСТ ИСО-9001 – 2001 и множество премий и наград, как на региональном уровне, так и на общероссийском. Спонсорство ОАО «Вяземский хлебокомбинат» происходит непосредственно через акционеров, а именно, от главного акционера, владеющего большим числом акций – генеральный директор ОАО «Вяземский машиностроительный завод», ОАО «Добрая Вязь». Также спонсорами являются зарубежные партнеры COOPINHAL (Бразилия) и т.д. ОАО «Вяземский хлебокомбинат» имеет хозяйственные связи с ОАО «Вяземский машиностроительный завод», то есть, заключено соглашение между организациями. ОАО «Вяземский машиностроительный завод» предоставляет автотранспорт в аренду на бессрочное пользование и другой производственный и хозяйственный инвентарь. Рассмотрим и сравним данные по реализации хлебобулочных и кондитерских изделий в течение 2008 г., а также тенденции увеличения и снижения сбыта по сезонам (или месяцам) представлены в таблице 2.1.
Из таблицы 2.1 видно, что основным производством на ОАО «Вяземский хлебокомбинат» является хлебобулочная продукция, так как ее реализация составляет 78% от общего объема производства продукции.
Рисунок 2.1– Выпуск хлебобулочных и кондитерских изделий в 2008 г. на ОАО «Вяземский хлебокомбинат» Из рисунка 2.1 видно, что увеличение роста объема продаж хлебобулочных изделий происходит в летний период времени и в праздничные дни, а рост объема продаж кондитерских изделий в зимний период времени и также в праздничные дни. Основными конкурентами ОАО «Вяземский хлебокомбинат» являются ОАО «Хлебопек» в г. Смоленске и ОАО «Сафоновохлеб», которые входят в фирму Стойленская Нива, но по сравнению с ценой и качеством продукции данных производителей, то ОАО «Вяземский хлебокомбинат» реализует продукцию по более умеренным ценам, но качество намного лучше. Внутриотраслевая конкуренция на рынке, где представлена хлебобулочная продукция ОАО «Вяземский хлебокомбинат», может быть описана как умеренная и представлена на рисунке 2.2. Основными поставщиками сырья и материалов являются: - ЗАО «Угра» пос. Угра (творог - 9%, сметана и т.д.); - ООО «Люта» г. Смоленск (декор кондитерский, конфитюр термостабильный, сливки, смесь чиабатта, смесь бон-багет, совитал, глазурь шоколадная, капли термостабильные); - ОАО «Мелькомбинат» г. Тверь (мука сеянная, 8 злаков и т.д.);
Рисунок 2.2 – Оценка положения ОАО «Вяземский хлебокомбинат» на рынке по производству и реализации хлебобулочной продукции в 2008г. - ООО «Люкс» (дрожжи прессованные); - ОАО «Мега-групп» г. Москва (упаковка, бумага, пластик, пленка упаковочная, пленка термопак); - ООО «Русагриком» г. Смоленск (оптовая база - изюм, маргарин молочный, солод красный и т.д.); - ООО «Яхта» г. Москва (масло подсолнечное и т.д.); - ОАО «Мелькомбинат» г. Вязьма (мука пшеничная – высший сорт, 1 сорт и т.д.). Поставщики сырья и материалов представлены на рисунке 2.3.
Рисунок 2.3 – Основные поставщики сырья на ОАО ««Вяземский хлебокомбинат»» Каждый год ОАО «Вяземский хлебокомбинат» участвует в сотнях ярмарок, выставок и в других мероприятиях. Удостоен национальной экологической премии в номинации «Эко - продукция». Вошло в Сто Лучших Товаров России - 2006 г, премия Российскийского союза пекарей, Знак качества 21 века, награды на Всероссийском смотре кондитерских изделий, Золотая медаль за высокое качество кондитерских изделий - Москва 2006г. и т.д. На выставке в г. Смоленск с 26 - 28 июня 2008 «Лето. Красота. Здоровье» ОАО «Вяземский хлебокомбинат» участвовал в показе и презентации хлебобулочной и кондитерской продукции и был награжден дипломом качества. Таким образом, продукция ОАО «Вяземский хлебокомбинат» имеет определенное место на потребительском рынке. Хлебобулочные и кондитерские изделия выпускаются отличного качества. Продукция реализуется потребителям через магазины по всей Смоленской области. 2.2 Анализ организационной структуры ОАО «Вяземский хлебокомбинат» Открытое акционерное общество « Вяземский хлебокомбинат» является производственной организацией, существующей в виде акционерного общества. Учредительным документом акционерного общества служит Устав, утвержденный учредителями. Схема организационной структуры ОАО «Вяземский хлебокомбинат» представлена в приложении А. Даная структура является линейно-функциональной. При использовании данной структуры управления всю полноту власти берет на себя высший линейный руководитель, которым на ОАО «Вяземский хлебокомбинат» является генеральный директор предприятия. Решения, подготовленные функциональными подразделениями рассматриваются и утверждаются линейным руководителем, который передает их подчиненным подразделениям. При очень большом объеме разнообразных вопросов такая схема чрезвычайно усложняет работу линейного руководителя. Для ее упрощения по определенным вопросам функциональные подразделения непосредственно руководят нижестоящими подразделениями. Собрание акционеров ОАО «Вяземский хлебокомбинат» является высшим органом управления предприятием. Годовое общее собрание акционеров созывается Советом директоров путём письменного уведомления, направленного каждому акционеру. Собрание акционеров решает следующие вопросы: - определение количественного состава Совета директоров, избрание его членов и досрочное прекращение его полномочий; - определение предельного размера объявленных акций; - увеличение Уставного капитала Общества путём увеличения номинальной стоимости акций или путём размещения дополнительных акций; - уменьшение Уставного капитала Общества путём уменьшения номинальной стоимости акций, приобретения Обществом части акций в целях сокращения их общего количества или погашения не полностью оплаченных акций; - утверждение аудитора Общества, определение порядка ведения Общего собрания. Совет директоров Открытого Акционерного Общества «Вяземский хлебокомбинат» решает следующие вопросы: - определение приоритетных направлений деятельности Общества, созыв годового и внеочередных собраний акционеров Общества; - утверждение повестки дня общего собрания; - определение даты составления списка акционеров, имеющих право на участие в Общем собрании и т.д. Руководство текущей деятельностью Общества осуществляет единоличный исполнительный орган - генеральный директор. Генеральный директор ОАО «Вяземский хлебокомбинат» руководит в соответствии с действующим законодательством производственно-хозяйственной и финансовой деятельностью предприятия, обеспечивает выполнение предприятием всех обязательств перед федеральным, региональным и местным бюджетами, государственными внебюджетными фондами, поставщиками, заказчиками и кредиторами, включая учреждение банка, а также хозяйственных и трудовых договоров. Главный инженер ОАО «Вяземский хлебокомбинат» определяет техническую политику и направления технического развития предприятия, обеспечивает необходимый уровень технической подготовки производства и его постоянный рост, повышение эффективности производства и производительности труда, рациональное использование производственных ресурсов, высокое качество и конкурентоспособность производимой продукции, соответствие выпускаемых изделий действующим государственным стандартам и техническим условиям. Главный механик ОАО «Вяземский хлебокомбинат» обеспечивает бесперебойную и технически правильную эксплуатацию и надёжную работу оборудования, повышение её сменности, содержание в работоспособном состоянии на требуемом уровне точности, организует разработку планов осмотра, испытаний и профилактических ремонтов оборудования в соответствии с положениями Единой системы планово-предупредительного ремонта, утверждает эти планы и контролирует их выполнение, обеспечивает техническую подготовку производства. Главный бухгалтер ОАО «Вяземский хлебокомбинат» осуществляет организацию бухгалтерского учёта финансово-хозяйственной деятельности предприятия и контроль за экономным использованием материальных, трудовых и финансовых ресурсов, формирует в соответствии с законодательством учётную политику, исходя из структуры и особенностей деятельности предприятия. Планово-экономический отдел ОАО «Вяземский хлебокомбинат» должен мобилизовать коллектив предприятия на выполнение и перевыполнение плана достижения наилучших результатов производства при наименьших затратах трудовых и материальных ресурсов. Цель деятельности отдела технического контроля состоит в том, чтобы выпускаемая продукция и поступающие на предприятие сырьё и материалы строго соответствовали стандартам, нормам. Начальник производственно-технологической лаборатории организует проведение химических анализов и других исследований с целью обеспечения лабораторного контроля соответствия качества сырья, полуфабрикатов и готовой продукции действующим стандартам, техническим условиям и требованиям экологической безопасности. Начальник отдела кадров организует разработку прогнозов, определение текущей потребности в кадрах и источников её удовлетворения на основе изучения рынка труда. 2.3 Анализ инновационной деятельности на ОАО «Вяземский хлебокомбинат» Сегодня предприятие невозможно представить без новых технологий и новых материалов в любом производстве, и непосредственно, это касается хлебобулочной и кондитерской продукции. За последние несколько лет для предприятий пищевой промышленности, а именно в производстве хлеба и кондитерской продукции произошло обновление в технологиях производства, в связи с меняющимися условиями на рынке данной продукции и большой конкуренции между производителями. Новые технологии, связаны с сокращением времени на производство, а также с увеличением времени хранения данной продукции. Производство становится с низким процентом брака, то есть практически вся продукция будет задействована в производстве, реализовывается и перерабатывается, но в итоге не является вредной для здоровья человека. В настоящее время в пищевой промышленности с точки зрения технологии, экономики, экологии произошли своего рода изменения, которые повлекли за собой изменения и на производствах по производству хлебобулочной и кондитерской продукции, что естественно, затронуло и ОАО «Вяземский хлебокомбинат». Управление инновационной деятельностью на ОАО «Вяземский хлебокомбинат» непосредственно разработкой занимается главный технолог, а утверждает генеральный директор. На основе унифицированных рецептур, в которых указывают сорт муки и расход каждого вида сырья в лаборатории ОАО «Вяземский хлебокомбинат» составляются производственные рецептуры. В них указывают дозировку муки, дополнительного сырья, растворов, полуфабрикатов (закваски, заварки, жидких дрожжей) на замес одной порции опары (закваски) и теста, а также технологический режим приготовления изделий (температура, влажность, кислотность полуфабрикатов, продолжительность брожения, обминок, условия расстойки и выпечки). Разрыхление теста, придание ему определённых структурно-механических свойств, необходимых для последующих операций, а также накопление веществ, обусловливающих вкус и аромат хлеба, его окраску являются основной целью брожения. В процессе брожения тесто, которое готовится порционно, подвергается обминке, то есть кратковременному повторному промессу в течение 1,5-2,5 минут. Разделка пшеничного теста включает в себя деление теста на куски, округление, предварительную расслойку, формование тестовых заготовок и окончательную расслойку. Деление осуществляется на тестоделительных машинах по объёмному принципу. На ОАО «Вяземский хлебокомбинат» существуют делительные машины, отсекающие тесто от жгута, разделяющие его на куски мерными карманами при различном нагнетании теста и штампующие куски хлеба. Округление необходимо для сглаживания неровностей на поверхности кусков и создания плёнки, которая препятствует выходу газов из теста в процессе предварительной расслойки. Предварительная расслойка осуществляется на ленточных транспортёрах или в шкафах, внутри которых устанавливают систему ленточных транспортёров или цепной люлечный конвейер. На тестозакаточных машинах ОАО «Вяземский хлебокомбинат» осуществляется формование пшеничного теста. Брожение теста, которое необходимо для восполнения диоксида углерода, удалённого в процессе деления, округления и формования является целью окончательной расслойки. Изменения, характеризующие переход тестовой заготовки в процессе выпечки в хлеб, являются результатом целого комплекса процессов – физических, микробиологических, коллоидных и биохимических. Упёк хлеба – это потери массы теста при выпечке, которые выражаются разностью между массами теста и горячего хлеба. Для снижения упёка ОАО «Вяземский хлебокомбинат» увеличивает массу хлеба, а на завершающем этапе выпечки повышает относительную влажность воздуха и снижает температуру в пекарной камере. При хранении хлеба происходит его усушка и очерствение. Эти два процесса являются самостоятельными, но находятся в некоторой взаимосвязи, так как мякиш хлеба частично теряет свою мягкость не только за счет процесса очерствения, но и за счет снижения влажности. Испечённый хлеб направляется в хлебохранилище ОАО «Вяземский хлебокомбинат» для охлаждения, а затем в экспедицию для отправки в торговую сеть. В настоящее время на предприятии ведется работа по внедрению ERP – системы (системы планирования ресурсов на предприятия). Внедрение этой системы, как методологии работы вообще, необходимо для планирования и контроля всех процессов, для поиска конкурентных преимуществ. Основной принцип заключается в интеграции всех программных продуктов, последовательной связи результатов работы всех подразделений для обеспечения прозрачного, сквозного и динамически связанного планирования всех процессов на предприятии. Начиная с детализированного планирования в производстве хлебобулочной и кондитерской продукции, ее хранении и распределении между заказчиками и клиентами. В системе производственные результаты представляются и в виде финансовых отчетов, что позволяет анализировать деятельность и на основе этих данных оптимизировать структуру затрат. Основная цель всех мероприятий, реализуемых в рамках описанных подходов – это обеспечить согласованную и сбалансированную работу всех подразделений, сделать ее прозрачней, планировать производство в более широком понимании, с учетом и производственного, и закупочного циклов. Это управление производственными и складскими запасами, согласование мощностей. Результатом внедрения таких подходов является улучшение обслуживания клиентов, повышение производительности труда, снижение затрат. Недостатки в работе по внедрению инновационных мероприятий на ОАО «Вяземский хлебокомбинат» представлены на рисунке 2.2.
Рисунок 2.2 – Недостатки в работе по внедрению инновационных мероприятий на ОАО «Вяземский хлебокомбинат» 2.4 Оценка рыночных отношений и фактического состояния научно-технического уровня производства в ОАО «Вяземский хлебокомбинат» Для производственно-хозяйственной деятельности ОАО «Вяземский хлебозавод» техническая сторона производства, уровень развития технологии, научно-исследовательской базы играет первостепенное значение. Научно-технический уровень производства обусловливает экономическую эффективность производства предприятия, уровень основных показателей его деятельности. Важнейшими показателями научно-технического уровня производства являются показатели уровня прогрессивности средств труда. Для их характеристики рассчитываются следующие показатели: - показатели технологической структуры основных фондов; - показатели, характеризующие изменение возрастного состава оборудования; - коэффициенты обновления и выбытия основных фондов, в том числе по активной их части; - показатель износа основных фондов; - удельный вес основных фондов по охране окружающей среды; - коэффициенты сменности работы оборудования и использования оборудования; - количество автоматического оборудования; - фондоотдача, фондовооруженность, фондоемкость. При анализе показателей структуры основных фондов следует учитывать, что хотя они представляют собой совокупную потребительную стоимость, их элементы играют в процессе производства неодинаковую роль, выступая при этом в различной материально-вещественной форме. Основные производственные фонды по роли их в процессе производства подразделяются на активную и пассивную части. К активной части относятся прежде всего силовые и рабочие машины и оборудование, приборы, инструменты и т.п., от применения которых непосредственно зависит увеличение выпуска продукции в целом и в расчете на одного работника. К пассивной - относятся здания, сооружения, передаточные устройства и т.п., то есть те основные фонды, которые не оказывают прямого воздействия на процесс труда и уровень его производительности. По соотношению удельного веса этих групп основных фондов можно в определенной степени судить об уровне прогрессивности основных фондов и научно-техническом уровне в целом. Более 90% основных средств в акционерном обществе приходится на производственные фонды. В целом по предприятию стоимость основных средств увеличилась с 14284 тыс. руб. до 27225 тыс. руб. Это произошло в результате их обновления, приобретения новых. Удельный вес зданий в общей структуре основных средств в отчётном году составляет 27,63%, а в базисном году такой удельный вес составлял 27,96%. Увеличилась стоимость сооружений в результате их строительства. На предприятии увеличилась доля активной части фондов, в том числе машин и оборудования, транспортных средств. Машины и оборудование занимают наибольший удельный вес в структуре основных производственных фондов: в 2007 году – 59,6%, в 2008 году – 59,42%, в 2009 году – 59,63%. Такая тенденция является положительной в деятельности предприятия. Сумма производственного и хозяйственного инвентаря возросла с 22,2 тыс. руб. до 41,3 тыс. руб., но составляет по – прежнему 0,15% в структуре основных средств. Таблица 2.2 - Состав и структура основных средств ОАО «Вяземский хлебокомбинат» за 2007-2009 г.г.
Несвоевременная замена морально устаревших машин и оборудования ведет к увеличению количества морально устаревших машин и оборудования. А это значит ухудшаются экономические показатели, отвлекаются большие трудовые ресурсы, увеличиваются затраты на ремонт, проводимый часто на низком техническом уровне. Обновление устаревших фондов, характеризуемое через коэффициенты обновления и выбытия основных производственных фондов, в том числе их активной части, свидетельствует о повышении технического уровня предприятия. Определяя влияние процесса обновления основных фондов на технический уровень производства, следует учитывать то обстоятельство, что мероприятие по замене старого оборудования новым становится целесообразным лишь в случае, если вновь вводимые основные фонды оказываются значительно производительнее и эффективнее старых. Таблица 2.3 – Показатели состояния и движения основных средств ОАО «Вяземский хлебокомбинат» за 2007-2009 г.г.
Продолжение таблицы 2.3
Коэффициент роста основных средств определяется как отношение стоимости основных средств на конец года на стоимость их на начало года. Данный коэффициент в 2008 оду увеличился до 1,1, а в 2009 году вырос до 1,73. Он говорит о том, что к концу каждого года стоимость основных средств увеличивается. Абсолютный годовой прирост показывает, на какую сумму увеличиваются основные средства к концу года. Коэффициент обновления показывает отношение поступивших (новых) фондов к стоимости фондов на конец года. Незначительный уровень данного коэффициента свидетельствует о медленном обновлении основных средств. Поступление основных средств возросло за три года с 997 тыс. руб. до 14780 тыс. руб. Изменение коэффициента выбытия от 0,04 до 0,21 говорит об увеличении выбывающих основных средств в течение последних трёх лет. Это означает, что оборудование изнашивается и его необходимо обновлять. Важно, чтобы основные фонды не только имелись в достаточном количестве, но и были пригодными к дальнейшему использованию на предприятии. Эту характеристику дают два коэффициента – износа и годности, которые определяются на начало и конец года. Коэффициент износа исчисляется как отношение суммы износа ко всей стоимости основных средств. На начало базисного и прошлого года этот коэффициент составлял 0,238 и 0,266, соответственно, а в отчётном – 0,288, т. е. сумма износа увеличилась. На конец данных периодов значение коэффициента к 2009 г. снизилось на 0,028 пункта. Коэффициент годности находится отношением остаточной стоимости основных средств к стоимости их на начало или конец года. Значение данного коэффициента близко к 1, т. е. пригодность основных средств очень высока, они могут быть успешно использованы в деятельности предприятия. Анализ уровня прогрессивности, используемых средств труда должен быть дополнен анализом изменений показателей фондоотдачи и фондовооруженности труда в динамике. Одним из основных показателей, характеризующих как эффективность всего производства, так и эффективность использования и уровень технического состояния средств труда, является показатель фондоотдачи. Высокие темпы научно-технического прогресса обусловливают и высокие темпы роста основных фондов, опережающие рост производительности труда и производства продукции. При неэффективном использовании основных производственных фондов нельзя считать обоснованным рост фондоемкости продукции, так как динамика ее зависит не только от количества вновь вводимых основных фондов, но и от уровня их эксплуатации и от того, насколько высокопроизводительна новая техника. Неэффективное использование основных фондов приводит в результате к снижению производительности труда, повышению себестоимости продукции, снижению рентабельности производства, снижению темпов роста производства продукции. При этом снижается уровень развития технической базы предприятия и научно-технический уровень производства в целом. Таблица 2.4 – Показатели эффективности использования основных средств ОАО «Вяземский хлебокомбинат» за 2007-2009 г.г.
Данные таблицы 2.4 свидетельствуют о снижении фондоотдачи в ОАО «Вяземский хлебокомбинат» По сравнению с базисным годом фондоотдача уменьшилась на 28,57%, а по сравнению с прошлым годом на 29,23%. В соответствии с уменьшением фондоотдачи увеличивается фондоемкость с 0,19 руб. до 0,26 руб. Фондоемкость показывает, сколько используется основных фондов для производства единицы продукции. На величину и динамику фондоотдачи влияют экономические, организационные, технические и технологические факторы. Фондоотдача (фондоемкость) зависят от уровня цен на продукцию, структуры цен, оценки основных производственных фондов, технического их уровня и состояния, степени использования. Рентабельность производственных фондов за анализируемый период увеличилась в 9,5 раз. Повысить рентабельность в дальнейшем можно за счёт сокращения сверхплановых целодневных и внутрисменных простоев оборудования и повышения коэффициента сменности до планового уровня. По данным таблицы 2.5 можно сделать выводы, что в ОАО «Вяземский хлебокомбинат» имеется оборудование различного возраста. К старому оборудованию можно отнести Циркуляционный стол, тестозакаточную машину, так как срок фактического использования этого оборудования превысил срок полезного использования, оно полностью самортизировано, но еще используется в производстве. Также на предприятии имеется довольно новое оборудование со сроком фактического использования 1-4 года, с высоким коэффициентом годности сюда можно отнести тестомесильную машину, хлебной печи и мукопросеиватель. Таблица 2.5 - Анализ возрастного состава оборудования в ОАО «Вяземский хлебозавод» на конец 2009 года
Научно-технический прогресс в ОАО «Вяземский хлебокомбинат» оказывает значительное влияние на технологию производства. Технология на предприятии представляет собой целесообразный способ соединения орудий труда с предметами труда и реализуется в конечной продукции. Применяемые технологические процессы в ОАО значительно влияют на качество продукции. Характеристика применяемой технологии, степени ее прогрессивности и соответствия последним достижениям науки и техники, занимает особое место в характеристике научно-технического уровня производства предприятия. Применение прогрессивных технических процессов, их постоянное совершенствование является одним из главных источников экономии материалов и снижения трудоемкости, фактором увеличения выпуска, качества и срока годности продукции, одним из резервов повышения эффективности работы любого предприятия (объединения). Для анализа уровня прогрессивности применяемых технологических процессов рассчитываются следующие показатели - степень охвата рабочих механизированным трудом; - коэффициент механизации производства, в том числе по видам производств; - коэффициент автоматизации парка оборудования; - электровооруженность труда потенциальная и фактическая; - коэффициент электрификации техпроцессов и коэффициент электроемкости продукции; - количество поточно-механизированных и автоматизированных линий. Наиболее простым и распространенным показателем уровня механизации является показатель - степень охвата рабочих механизированным трудом. Рассчитывается он как отношение численности рабочих занятых механизированным трудом, к общей численности рабочих. Он может быть рассчитан как для основного, так и вспомогательного производства. Для характеристики уровня механизации рассчитывается коэффициент механизации производства: это отношение объема продукции, выпущенной с помощью машин и механизмов, к общему выпуску продукции. Таблица 2.5 – Показатели прогрессивности применяемых технологических процессов в ОАО «Вяземский хлебозавод» за 2007-2009г.г.
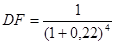
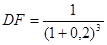
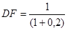
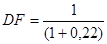
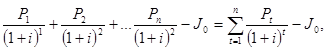
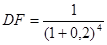
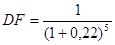
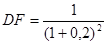
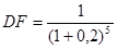
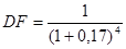
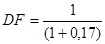
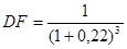
По данным таблицы 2.5 следует, что уровень механизации в ОАО достаточно высокий. Все коэффициенты прогрессивности применяемых технологических процессов близится к 1, что говорит о том, что практически все работы на предприятии механизированы, а это значит, что в ОАО «Вяземский хлебозавод» особое внимание уделяется научно-техническому прогрессу в технологиях производства хлебобулочных и кондитерских изделиях. Необходимо уточнить, что для повышения научно-технического уровня производства предприятия в целом и поддержания его на должной высоте необходима, прежде всего, механизация вспомогательных работ, где еще широко используется ручной труд. И, прежде всего, комплексная механизация производства, касающаяся преимущественно новых технологических процессов, так как здесь она дает при полной загрузке производственных мощностей значительный рост научно-технического уровня и, следовательно, эффективности производства, благодаря увеличению производительности машин и оборудования, как за счет прогрессивных техпроцессов, так и за счет исключения человека из непосредственного участия в производственном процессе. Наиболее концентрированным выражением научно-технического прогресса на предприятии является электровооруженность труда. Нет необходимости специально подчеркивать огромное значение электрификации производства. Развитие электрификации приводит к коренным, принципиальным изменениям в технологии, предметах труда и самое главное в орудиях труда. Электровооруженность труда в еще большей мере, чем фондовооруженность труда влияет на научно-технический уровень и эффективность производства. Снижение электровооруженности труда приводит к снижению его производительности. ГЛАВА 3 РАЗРАБОТКА ИННОВАЦИОННОГО ПРОЕКТА, ВЫБОР ИСТОЧНИКА ЕГО ФИНАНСИРОВАНИЯПредприятие может обеспечивать свое выживание в долгосрочной перспективе только в том случае, если будет производить продукт (осуществлять услуги), который будет стабильно находить покупателей. Это означает, что продукт нужен покупателям, и они готовы платить за него деньги. Он интересен покупателю более чем аналогичный по потребительским свойствам продукт, производимый другими фирмами. Если продукт обладает этими двумя свойствами, то он имеет конкурентные преимущества. Так как анализируемое предприятие выпускает хлебобулочные изделия, его продукция всегда пользуется спросом, во многом его конкурентоспособность зависит от качества выпускаемой продукции. Предприятию ОАО «Вяземский хлебокомбинат» для расширения производства и в связи с увеличением клиентов необходимо рассмотреть покупку и внедрение новой технологической линии по производству продукции с частичной заменой устаревшего оборудования. Очень важно, что на новом оборудовании можно производить новую продукцию, которая будет реализовываться населению по умеренным ценам, будет соответствующего качества и отвечать современному вкусу покупателей. На ОАО «Вяземский хлебокомбинат» наблюдаются такие проблемы, снижение конкурентоспособности, слабая техническая оснащенность, низкая производительность труда и т.д. Необходимо для улучшения положения предприятия провести некоторые изменения: - выход на новые рынки или сегменты рынка; - расширение ассортимента продукции; - добавление сопутствующих продуктов; - возможность перейти в группу с лучшей стратегией; - ускорение роста рынка. Для выше перечисленных задач непосредственно необходимо новое оборудование, с помощью которого можно реализовать данные мероприятия. Предприятие ОАО «Вяземский хлебокомбинат» рассматривает проект по приобретению новой линии по производству булочных изделий мощностью 80 т. в сутки. Стоимость линии - 1 млн. руб., срок эксплуатации - 5 лет, износ начисляемся равномерно, ликвидационная стоимость линии по истечение пяти лет будет равна нулю. Срок закупки оборудования - нулевой год. Выручка от реализации продукции, изготовленной на этой технологической линии, составляет по годам (начиная с первого года) 900 тыс. руб., 1 620 тыс. руб., 2 052 тыс. руб., 1 296 тыс. руб., 972 тыс. руб. Текущие расходы составляют 20% от выручки каждого года. Постоянные расходы составляют 250 тыс. руб. в год на протяжении всего срока жизни проекта. Предприятие рассматривает несколько вариантов финансирования проекта: Вариант 1. Ссуда банка под 20% годовых по банковскому договору. Возврат ссуды нужно будет произвести в течение срока жизни проекта. Вариант 2. Выпуск предприятием облигаций под 17% годовых. Расходы по реализации облигаций составят 5% от номинала. Облигационный заем следует возвратить в течение срока жизни проекта. Вариант 3. Выпуск предприятием привилегированных акций на необходимую сумму под 22% годовых. Дивиденды будут выплачиваться в конце каждого года, начиная с первого. Для обоснования каждого из предложенных вариантов нужно пошагово рассчитать все необходимые показатели. Для начала рассчитаем все необходимые показатели для первого варианта, а именно для банковского кредита. Для этого составим график погашения банковского кредита по годам (таблица 3.1). Таблица 3.1 - График погашения банковского кредита (в тыс. руб.)
В результате мы получаем, что сумма уплаченных процентов за 5 лет составляет 360 тыс. руб., а суммарный платеж – 1360 тыс. руб. Далее, в таблицах 3.2, 3.3, 3.4, составим баланс движения денежных средств (Cash – flow). Таблица 3.2 - Cash – flow операционной деятельности проекта
В результате проведенных расчетов в таблице 3.2, мы находим чистую прибыль, а также чистый приток от операционной деятельности, который складывается из чистой прибыли и амортизации. По этим данным можно определить, какую сумму основного долга можно выплатить в текущем году. В результате мы получили, что в первый год кредит лучше не выплачивать, во 2-ой год можно выплатить 300 тыс. руб., в третий – 600 тыс. руб., в четвертый – оставшиеся 100 тыс. руб. В таблице 3.3 для начала необходимо вычислить коэффициент дисконтирования при ставке 20%. Для этого воспользуемся формулой (3.1). , где (3.1) i – ставка дисконтирования; n– год. Рассчитаем коэффициент дисконтирования по годам: 1-й год: 2-й год: 3-й год: 4-й год: 5-й год: Теперь подставим получившиеся значения в таблицу 3.3 и рассчитаем доходы от инвестиционной деятельности, приведенные к настоящей стоимости. В таблице 3.4 необходимо найти чистый приток финансовой деятельности, который высчитывается путем вычитания выплат на погашения кредита из чистого притока от операционной деятельности. Таблица 3.3 - Cash – flow инвестиционной деятельности проекта
Таблица 3.3 показывает, что чистые доходы от инвестиционной деятельности, приведенные к настоящей стоимости, к концу пятого года составляют 905,97 тыс. руб. Таблица 3.4 - Cash – flow финансовой деятельности проекта
В таблице 3.4 мы рассчитали чистый приток финансовой деятельности, который находится путем вычитания выплат на погашение кредита из чистого притока от операционной деятельности. Можно подчеркнуть, что в четвертый год прибыль была максимальной (559,44 тыс. руб.), а в первый год – минимальной (256 тыс. руб.). Чистый дисконтированный доход (NPV) определяется по формуле (3.2): NPV = где J0 - первоначальные инвестиции, 1000 тыс. руб., Pt - денежный поток доходов в конце t -го периода (доходы от операционной деятельности), i – коэффициент дисконтирования, 20%. Чистый дисконтированный доход: NPV = 911. Критерием экономической эффективности инновационного проекта являются положительные значения NPV: - если NPV больше или равен 0, то проект может быть рассмотрен и принят к реализации; - если NPV меньше 0, то проект не рассматривается. Индекс доходности, рентабельности инвестиций (PI), вычисляемый по формуле (3.3), приведенной ниже:
PI= 1911 / 1000=1,91. Критерием экономической эффективности инновационного проекта является индекс доходности, превышающей 1: - если индекс доходности больше 1, то проект эффективен; - если индекс доходности меньше 1, то проект не эффективен. Внутренняя норма доходности (IRR) – это коэффициент, при котором NPV равен нулю, т.е. На практике находится путем интерполяции, т.е. путем выбора двух коэффициентов дисконтирования i1 и i2 , таким образом, чтобы в выбранном интервале функция NPV = f (i) меняла свое значение с «+» на «-». Итак, внутренняя норма доходности (IRR) определяется по формуле (3.4):
где i1 – значение процентной ставки в дисконтном множителе, при котором NPV (i1 )>0; i2 – значение процентной ставки в дисконтном множителе, при котором NPV (i2 )<0. Этот показатель отражает максимально допустимый уровень расходов, которые могут быть произведены при реализации данного проекта. Если использовался заемный капитал, то IRR показывает верхнюю допустимую по условиям проекта величину банковской процентной ставки. Возьмем значения процентных ставок в дисконтных множителях, для которой NPV (i1 ) > 0 и NPV (i2 ) < 0. При i1 = 20%, NPV = 911 > 0; При i2 = 55%, NPV = -43,12 < 0.
По формуле 3.5, приведенной из учебника находим срок окупаемости инвестиций (РР): PP = Jo / ∑Pt , (3.5) где, Jo - размер первоначальных инвестиций, 1000 тыс. руб.; ∑ Pt - сумма денежных поступлений в год, 1911 тыс. руб. Срок окупаемости инвестиций: PP = Т.е. срок окупаемости инвестиций равен 0,52 года от начала получения доходов, или 1,52 года от начала инвестирования. Завершающим этапом рассмотрения 1 варианта финансирования проекта является написание всех интегральных показателей эффективности инновационного проекта, которые были найдены в вышеперечисленных расчетах (таблица 3.5). Таблица 3.5 - Интегральные показатели эффективности инновационного проекта
3.3 Выпуск предприятием облигаций Теперь рассмотрим второй вариант финансирования проекта. Для этого в таблицах 3.6, 3.7, 3.8 составим баланс движения денежных средств (Cash – flow). Таблица 3.6 Cash – flow операционной деятельности проекта
Таблица 3.6 составлена в связи с тем, что облигационный заем можно возвращать только одномоментно в тот год, когда это позволит сделать финансовое положение предприятия (когда по балансу cash-flowнакопится достаточная для его погашения сумма денежных средств). Из данной таблицы мы видим финансовое положение предприятия позволяет выплатить всю сумму долга на третий год реализации проекта. Рассчитаем коэффициент дисконтирования по годам: 1-й год: 2-й год: 3-й год: 4-й год: 5-й год: Теперь подставим получившиеся значения в таблицу 3.7 и рассчитаем доходы от инвестиционной деятельности, приведенные к настоящей стоимости. Таблица 3.7 Cash – flow инвестиционной деятельности проекта
Таблица 3.7 показывает, что чистые доходы от инвестиционной деятельности, приведенные к настоящей стоимости, к концу пятого года составляют 894,21 тыс. руб. В таблице 3.8 необходимо найти чистый приток финансовой деятельности, который высчитывается путем вычитания выплат на погашения кредита из чистого притока от операционной деятельности. Таблица 3.8 Cash – flow финансовой деятельности проекта
Из таблицы 3.8 можно проследить за оставшейся прибылью на предприятии по годам, т. е. в какие года она была минимальной, в какие – максимальной. Минимальной прибыль была в третьем году (17,28 тыс. руб.) в связи с выплатой долга, а максимальной – во втором году (740,8 тыс. руб.) По формуле (3.2) находим чистый дисконтированный доход (NPV). где J0 - первоначальные инвестиции, 1000 тыс. руб., Pt - денежный поток доходов в конце t -го периода (доходы от операционной деятельности), i – коэффициент дисконтирования, 17%. Чистый дисконтированный доход: NPV = 901,8. Индекс доходности, рентабельности инвестиций (PI), вычисляемый по формуле (3.3), будет равен: PI= 1901,8 / 1000=1,90. Возьмем значения процентных ставок в дисконтных множителях, для которой NPV (i1 ) > 0 и NPV (i2 ) < 0. При i1 = 17%, NPV = 901,8 > 0; При i2 = 50%, NPV = -33,03 < 0.
По формуле (3.5), приведенной выше находим срок окупаемости инвестиций (РР): Срок окупаемости инвестиций: PP = Т.е. срок окупаемости инвестиций равен 0,53 года от начала получения доходов, или 1,53 года от начала инвестирования. Завершающим этапом рассмотрения 2 варианта финансирования проекта является написание всех интегральных показателей эффективности инновационного проекта, которые были найдены в вышеперечисленных расчетах (таблица 3.9). Таблица 3.9 Интегральные показатели эффективности инновационного проекта
3.4 Выпуск предприятием привилегированных акций Теперь рассмотрим третий вариант финансирования проекта. Для этого в таблицах 3.10, 3.11, 3.12 составим баланс движения денежных средств (Cash – flow). Таблица 3.10 - Cash – flow операционной деятельности проекта
В таблице 3.10 мы видим, что в первый год чистый приток от операционной деятельности предприятия отрицательный. Это означает, что предприятию не хватит денежных средств в сумме 14,8 тыс. руб. для оплаты каких-либо расходов, будь то текущие, постоянные расходы или дивиденды по акциям. Рассчитаем коэффициент дисконтирования по годам: 1-й год: 2-й год: 3-й год: 4-й год: 5-й год: Теперь подставим получившиеся значения в таблицу 3.11 и рассчитаем доходы от инвестиционной деятельности, приведенные к настоящей стоимости. Таблица 3.11 - Cash – flow инвестиционной деятельности проекта
Таблица 3.11 показывает, что чистые доходы от инвестиционной деятельности, приведенные к настоящей стоимости, к концу пятого года составляют 980,94 тыс. руб. В таблице 3.12 необходимо найти чистый приток финансовой деятельности, который высчитывается путем вычитания выплат на погашения кредита из чистого притока от операционной деятельности. Таблица 3.12 - Cash – flow финансовой деятельности проекта
Из таблицы 3.12 можно проследить за оставшейся прибылью на предприятии по годам, т. е. в какие года она была минимальной, в какие – максимальной. Предприятие понесло убытки в первом году (14,8 тыс. руб.), а максимальной прибыль была в третьем году (685,62 тыс. руб.). По формуле (3.2), приведенной выше, находим чистый дисконтированный доход (NPV). где J0 - первоначальные инвестиции, 1000 тыс. руб., Pt - денежный поток доходов в конце t -го периода (доходы от операционной деятельности), i – коэффициент дисконтирования, 22%. Чистый дисконтированный доход: NPV = 761,27. Индекс доходности, рентабельности инвестиций (PI), вычисляемый по формуле (3.3), будет равен: PI= 1761,27 / 1000=1,76. Возьмем значения процентных ставок в дисконтных множителях, для которой NPV (i1 ) > 0 и NPV (i2 ) < 0. При i1 = 22%, NPV = 761,27 > 0; При i2 = 50%, NPV = -6,25 < 0.
По формуле (3.5), приведенной выше находим срок окупаемости инвестиций (РР): Срок окупаемости инвестиций: PP = Т.е. срок окупаемости инвестиций равен 0,57 года от начала получения доходов, или 1,57 года от начала инвестирования. Завершающим этапом рассмотрения 3 варианта финансирования проекта является написание всех интегральных показателей эффективности инновационного проекта, которые были найдены в вышеперечисленных расчетах (таблица 3.13). Таблица 3.13 - Интегральные показатели эффективности инновационного проекта
3.5 Выбор варианта и обоснования его эффективности Проделав все необходимые расчеты, можно сделать вывод, что наиболее выгодным вариантом финансирования новой технологической линии по переработке молока является первый вариант, а именно ссуда банка под 20% годовых по банковскому договору. При расчете всех данных было доказано, что такие показатели, как чистый дисконтированный доход предприятия (911), индекс прибыльности (53%), внутренняя норма рентабельности (911) были выше, чем в остальных вариантах. А такие показатели, как период окупаемости (1,52) и дисконтированный период окупаемости были ниже (1,91). А эти аспекты как раз и указывает на то, что, следуя именно по этому варианту, проект будет более эффективным. Это означает, что проект может быть не только рассмотрен, но и принят к реализации. А в последующем, он будет являться экономически более эффективным проектом. Предприятие, использовав этот вариант финансирования инновационного проекта по приобретению новой технологической линии по переработке молока, может надеяться на успешное будущее и добьется самых наилучших результатов. ЗАКЛЮЧЕНИЕВ данной курсовой работе были описаны особенности оценки рыночных отношений предприятий с объектами научно-технической продукции, а также был проведен анализ инновационной деятельности предприятия ОАО «Вяземский хлебокомбинат». Было выяснено, что для предприятий большое значение имеет высокая оценка рыночных отношений предприятия. Чтобы добиться таких показателей на предприятии необходимо проектирование инновационной стратегии, которое представляет собой непрерывный, динамический процесс, в основе которого лежит выбор потенциально успешного стратегического положения предприятия. С выбором стратегии связана разработка планов проведения исследований и разработок и других форм инновационной деятельности. Конкретный тип инновационной стратегии, прежде всего, зависит от состояния процессов взаимодействия товаропроизводителя с внешней средой в самом широком смысле. Для относительно благополучных предприятий более приемлема имитационная стратегия (внедрение передовых технологий, заимствуемых у других предприятий), позволяющая занять передовые позиции на рынке. ОАО «Вяземский хлебокомбинат» использует имитационную стратегию. Инновационная деятельность ОАО «Вяземский хлебокомбинат» заключается в изготовлении новых видов продуктов, улучшения качества продукции за счет изменения рецептуры, покупка нового оборудования, техники. Но в настоящее время предприятие ОАО «вяземский хлебокомбинат» нуждается в приобретении нового оборудования взамен имеющегося уже физически и морально изношенного. Были выполнены расчеты всех предложенных вариантов финансирования проекта, сделан выбор варианта и обоснована его эффективность. 1. В курсовой работе был проведен анализ научно-технического уровня производства и оценено его влияние на показатели производительности и эффективности труда. На основе данного анализа были выявлены основные проблемы развития и повышения научно-технического уровня производства: - В нашей инновационной системе отсутствуют крупные высокотехнологичные фирмы, которые способны брать на себя решение финансовых и технологических задач. - отсутствие однозначности оценки производительности, отсюда возникает необходимость разработки методики измерения и оценки производительности для принятия управленческих решений. - проблема определения уровня согласованности темпов роста производительности по технологической цепочке, а также по ресурсным, технологическим и рыночным факторам - отсутствие в управлении учета связи между изменением производительности и производственной активностью предприятий. Известно, что узловым фактором экономического роста является производственная активность, однако обеспечение темпов активности связано с технологическим обновлением производства, темпами выпуска конкурентоспособной продукции, финансовыми возможностями и другими составляющими. 2. Следуя изложенным проблемам, были определены пути их решения: - Для повышения научно-технического уровня производства предприятия в целом и поддержания его на должной высоте необходима, прежде всего, механизация вспомогательных работ, где еще широко используется ручной труд. И, прежде всего, комплексная механизация производства, касающаяся преимущественно новых технологических процессов, так как здесь она дает при полной загрузке производственных мощностей значительный рост научно-технического уровня и, следовательно, эффективности производства, благодаря увеличению производительности машин и оборудования, как за счет прогрессивных техпроцессов, так и за счет исключения человека из непосредственного участия в производственном процессе. - Комплексный экономический анализ и оценка научно-технического уровня производства должны стать основой для планирования повышения производительности труда и эффективности экономики. - Повышение производительности представляет собой не что иное, как процесс изменений, и как всякий процесс, он требует управления, а, следовательно, и стратегического подхода. Изменения касаются всех основных организационных составляющих, включая структуру кадров, занятость, квалификацию, технологию, оборудование, продукцию рынки сбыта. - Для стабильного функционирования инновационной системы прежде всего необходимо сформировать законодательную базу. Потому что любой рядовой исследователь или инноватор, вкладывающий свои деньги и ресурсы в инновационные разработки, должен быть уверен в защищённости своих прав на изобретение и на получение соответствующего дохода от его использования 3ми лицами. В этом направлении предприняты серьёзные шаги, что отражено в принятии 4 части ГК. - Уже сейчас из средств внебюджетных фондов начинается создание инфраструктуры будущей инновационной системы, которая послужит базой для переориентации экономики. - Технопарки, Наукограды и Академгородки играют огромную роль в становлении инновационной системы. Однако они ещё не успели себя показать и пока не имеют серьезного влияния на инновационные процессы в РФ. Но правительство уже возлагает на них серьёзные надежды. БИБЛИОГРАФИЯ1. «О федеральной целевой программе «Национальная технологическая база» на 2007-2011 годы» (Постановление, Правительство РФ, №54, от 29.01.2007) 2. Авдеев Ю. Курс на инновацию //Красная звезда, декабрь 2006 3. Бетухина Е., Пойсик М. Мировая практика формирования научно-технической политики. - Кишинев, 2006 4. Водачек Л., Водачкова О. Стратегия управления инновации на предприятии. - М.: Экономика, 2007 5. Глазьев С. Стратегия экономического роста // Наш современник, апрель 2007 6. Инновационный процесс в странах развитого капитализма (методы, формы, механизм) / Под ред. Рудаковой И.Е. - М.: изд-во МГУ, 2006 7. Морозов Ю.П. Инновационный менеджмент: Учеб. пособие для вузов. – М.: ЮНИТИ-ДАНА, 2008 8. Остапенко Ю.М. Экономика труда // Москва 2006 9. Основы инновационного менеджмента: Теория и практика: Учеб. пособие / Под ред.П.Н.Завлина и др. – М.: Экономика, 2007 10. Реброва Т.И., Козлов М.В. Оценка влияния организационно – технического уровня производства на эффективность использования ресурсов// Харьков, 2006 11.Управление организацией: Учебник / Под ред. А.Г.Поршнева, З.П.Румянцевой, Н.А.Саломатина. - 2-е изд., перераб. и доп. - М.: ИНФРА-М, 2007 12. Шевчук А. В. Труд: прошлое, настоящее, будущее // Общественные науки и современность, 2007 № 3 Официальный сайты: 13. http://www.rg.ru / Российская газета 14. http://www.sci-innov.ru/ Федеральный портал по научной и инновационной деятельности 15. http://www.economy.gov.ru/minec/main Министерство экономического развития и торговли Приложение А – Организационно-производственная структура ОАО «Вяземский хлебозавод»
Рис. 1.1 Организационно-производственная структура управления ОАО «Вяземский хлебокомбинат» |
|||||||||||||||||||||||||||||||||||||||||||||||||||||||||||||||||||||||||||||||||||||||||||||||||||||||||||||||||||||||||||||||||||||||||||||||||||||||||||||||||||||||||||||||||||||||||||||||||||||||||||||||||||||||||||||||||||||||||||||||||||||||||||||||||||||||||||||||||||||||||||||||||||||||||||||||||||||||||||||||||||||||||||||||||||||||||||||||||||||||||||||||||||||||||||||||||||||||||||||||||||||||||||||||||||||||||||||||||||||||||||||||||||||||||||||||||||||||||||||||||||||||||||||||||||||||||||||||||||||||||||||||||||||||||||||||||||||||||||||||||||||||||||||||||||||||||||||||||||||||||||||||||||||||||||||||||||||||||||||||||||||||||||||||||||||||||||||||||||||||||||||||||||||||||||||||||||||||||||||||||||||||||||||||||||||||||||||||||||||||||||||||||||||||||||||||||||||||||||||||||||||||||||||||||||||||||||||||||||||||||||||||||||||||||||||||||||||||||||||||||||||||||||||||||||||||||||||||||||||||||||||||||||||||||||||||||||||||||||||||||||||||||||||||||||||||||||||||||||||||
Таблица 2.1 – Выпуск готовой продукции в 2009 г. на ОАО «Вяземский хлебокомбинат»


, (3.3)