Курсовая работа: Применение выборочного наблюдения в исследовании рынка вариант
|
Название: Применение выборочного наблюдения в исследовании рынка вариант Раздел: Рефераты по маркетингу Тип: курсовая работа | |||||||||||||||||||||||||||||||||||||||||||||||||||||||||||||||||||||||||||||||||||||||||||||||||||||||||||||||||||||||||||||||||||||||||||||||||||||||||||||||||||||||||||||||||||||||||||||||||||||||||||||||||||||||||||||||||||||||||||||||||||||||||||||||||||||||||||||||||||||||||||||||||||||||||||||||||||||||||||||||||||||||||||||||||||||||||||||||||||||||||||||||||||||||||||||||||||||||||||||||||||||||||||||||||||||||||||||||||||||||||||||||||||||||||||||||||||||||||||||||||||||||||||||||||||||||||||||||||||||||||||||||||||||||||||||||||||||||||||||||||||||||||||||||||||||||||||||||||||||||||||||||||||||||||||||||||||||||||||||||||||||||||||||||||||||||||||||||||||||||||||||||||||||||||||||||||||||||||||||||||||||||||||||||||||||||||||||||||||||||||||||||||||||||||||||||||||||||||||||||||||||||||||||||||||||||||||||||||||||||||||||||||||||||||||||||||||||||||||||||||||||||||||||||||||||||||||||||||||||||||||||||||||||||||||||||||||||||||||||||||||||||||||||||||||||||||||||||||||||||
Министерство образования и науки РФ Федеративное агентство по образованию ГОУ ВПО Кафедра статистики Курсовая работа по дисциплине «статистика» на тему «Применение выборочного наблюдения в исследовании рынка (на примере рекламной деятельности)» Вариант №4 Исполнитель:,,,,,,,,, Специальность:,,,,, Группа: дневная № зачетной книжки: ,,,,,,,,,, Руководитель: ,,,,,,,,,,,,,,,,, Владимир 2007 Оглавление. Введение………………………………………………………….…….……3 Теоретическая часть………………………………………………..……….4 Расчетная часть……………………………………………………..……….9 Аналитическая часть………………………………………………….……28 Заключение…………………………………………………………….……34 Список литературы…………………………………………………………35 Введение. Необходимым условием становления цивилизованных рыночных отношений является развитие и оптимизация инфраструктуры рынка. Рекламная деятельность — важнейшая составная часть рыночной инфраструктуры — обеспечивает ускорение реакции изменения спроса на изменение предложения и тем самым влияет в целом на повышение эффективности товарных рынков. В силу этого, особо актуальным является статистическое изучение данной сферы деятельности, так как именно статистика располагает аппаратом глубокого научного и достаточно оперативного исследования, что позволяет реально отразить закономерности ее развития. Использование статистической методологии в анализе рекламной деятельности дает ценный материал при принятии управленческих решений. В данной курсовой работе будут рассмотрены следующие вопросы: понятие, виды и основные характеристики рекламной деятельности; система статистических показателей рекламной деятельности; выборочное наблюдение как метод в исследовании рынка. В аналитической части было проведено статистическое исследование с применением компьютерной техники и методов освоенных при выполнении расчетной части задания. Для практической реализации указанных методов в работе использованы возможности компьютерной обработки данных с помощью системы статистических прикладных программ «Statistica 6.0», «MS Excel XP», «MSWordXP» 1. Теоретическая часть. 1.2 Понятие рекламной деятельности. Виды. Основные характеристики. Термин “реклама” происходит от латинского “reclamare” , что означает откликаться, возражать, выкрикивать, выражать неудовольствие. А в английском языке реклама обозначается термином “advertising” , что в переводе означает уведомление и истолковывается как привлечение внимания потребителя к продукту (товару, услуге) и распространение советов, призывов, предложений, рекомендаций приобрести данный товар или услугу. Некоторые особенности рекламы: 1. реклама одновременно достигает большого числа потребителей и относительно дёшева на одного клиента; 2. реклама публична и это означает, что товар проверен, а его приобретение не встретит осуждения со стороны общественности; 3. реклама позволяет многократно повторять обращения; 4. реклама выразительна, так как воздействует на органы чувств человека. Виды и функции рекламы. 1.Имидж – реклама. В основном, это реклама по созданию благоприятного образа (имиджа) фирмы или товара. Ее основная роль — ознакомить потенциальных покупателей или пользователей с продукцией (услугой), с назначением продукции, ее характеристиками, а также с направлениями деятельности, с теми преимуществами, которые получает покупатель, обращаясь к производителю. Вторая роль — создать благоприятное впечатление именно о данном товаре или фирме. 2. Стимулирующая реклама. Эта реклама направлена, в основном, на стимулирование потребностей покупателей. Ее направленность ограничена, она должна быть адресована пользователям или покупателям продукции. При этом неизбежно обращение к несколько большей аудитории покупателей или пользователей. Это самый распространенный вид рекламы. В ней важно подчеркнуть основные преимущества продукции и услуги, их положительные качества по сравнению с аналогичными товарами. Основная задача стимулирующей рекламы — стимулировать потребность в приобретении товара или эксплуатации, предлагаемой услуги. Стимулирующая реклама является частью имидж-рекламы. 3. Реклама стабильности. Эта реклама направлена на информирование покупателей и партнеров о стабильности в результатах работы фирмы, о ее устойчивом положении на рынке. К рекламе можно отнести любой способ агитации, информации, убеждений, выставочные мероприятия, коммерческие семинары, упаковку, печатную продукцию (проспекты, каталоги, плакаты и т.д.), распространение сувениров и другие средства стимулирования торговой деятельности. 1.2 Система статистических показателей характеризующих рекламную деятельность. Наиболее важный вопрос, на который должна дать ответ статистика, по какому пути пойдет реклама, с точки зрения преобладания отдельных форм рекламы? Этот вопрос важен прежде всего для потребителя. Уже устоявшийся американский вариант - несомненное лидерство наиболее навязчивой телевизионной рекламы. Далее следуют, как правило, наружная и прямая почтовая реклама. Статистическое изучение использования в практике различных форм, видов, каналов распространения и типов рекламы преследует целью получить важнейшие характеристики рекламной инфраструктуры на основе сбора и обобщения данных об их рейтинге. Для построения таких рейтингов необходимо отчетливо представлять классификацию всех существующих форм, видов и средств распространения рекламы. К основным формам традиционно относят устную, печатную, прямую почтовую, аудиовизуальную рекламу, рекламные сувениры, рекламу. В задачи статистики входит анализ распространенности этих форм, видов, каналов и типов, а также возможности применения разнообразных статистических методов для его эффективного проведения. Статистический анализ потребителей рекламы. Проводя статистическое исследование потребителей рекламы, следует иметь в виду, что это весьма специфичная категория населения в силу того, что потребитель товаров и услуг по тем или иным причинам (например, из-за возраста) не всегда является потребителем рекламной информации, и наоборот. Для такого исследования могут широко использоваться данные государственной статистики, переписей населения и иные специально организованные обследования, прежде всего опросы потребителей. Несмотря на богатый арсенал методов организации и статистического обобщения результатов опросов и тестирования, здесь имеется значительная специфика, прежде всего связанная с необходимостью выявления различных психологических аспектов воздействия рекламы на потребителя. Статистические исследования рекламного бюджета. Для разработки рекомендаций по объему и структуре рекламного бюджета необходимо провести весьма скрупулезный анализ достаточно большого объема статистической информации по структуре и динамике сбыта как собственной продукции, так и продукции конкурентов, предполагающий сопоставление этих данных с затратами на те или иные формы и виды рекламы, оценить влияние структуры рекламных затрат на показатели сбыта, сопоставить эффективность той или иной комбинации форм и видов рекламирования на конкретных рынках. Статистический анализ эффективности рекламы. При проведении такого анализа представляется важным учет различных аспектов в изучении эффективности рекламы. Экономический аспект заключается в оценке финансовых, коммерческих результатов, полученных от вложения средств в рекламную деятельность Совершенствование статистики рекламной деятельности должно внести значительный вклад как в развитие теории и практики рекламы, пока еще заметно отстающих от современных потребностей развития рыночной экономики, так и в развитие статистической методологии и практики. 1.3 Выборочное наблюдение как метод в исследовании рынка. Выборочное наблюдение, Это довольно распространенный вид, основанный на принципе случайного отбора тех единиц изучаемой совокупности, которые должны быть подвергнуты наблюдению. При правильной организации выборочное наблюдение дает достаточно точные результаты, вполне пригодные для характеристики всей исследуемой совокупности. Численность выборочной совокупности зависит от природы (характера) исследуемого социально-экономического явления. В выборочной совокупности должны быть представлены все типы единиц, имеющиеся в исследуемой совокупности. В противном случае выборочная совокупность не будет точно воспроизводить пропорции и зависимости, характерные для совокупности во всем ее объеме. Основная задача выборочного наблюдения - получить показатели, пригодные для характеристики генеральной совокупности. Преимущества выборочного метода: 1) сроки обследования уменьшаются, так как обследуется только часть совокупности; 2) уменьшаются затраты труда; 3) уменьшаются затраты материальных средств; 4) повышается оперативность информации; 5) сокращается число единиц наблюдения, поэтому уменьшается количество ошибок регистрации. В условиях перехода к рынку для принятия оперативных решений нужна надежная информация и это способствует более широкому применению выборочного метода наблюдения.Основные условия научного применения выборочного метода:1) достаточная численность выборочной совокупности;2) равная возможность каждой единицы генеральной совокупности попасть в выборку.По способу организации отбора различают:1. индивидуальный отбор - отбирают отдельные единицы;2. групповой - отбираются качественно однородные группы или серии единиц;3. комбинированный отбор - комбинация индивидуального и группового отбора.Выборочное наблюдение широко практиковалось русской дореволюционной земской статистикой. Некоторые приёмы, в частности высоко оценённый В. И. Лениным многофазный отбор, не потеряли значения и до настоящего времени. ЦСУ СССР регулярно проводит обследование около 62 тыс. бюджетов семей рабочих, служащих и колхозников, а также ведёт единовременные обследования в разных областях социально-экономической статистики. Выборочным путём получена часть сведений при Всесоюзной переписи населения 1970. Выборочные обследования широко практикуются научными учреждениями, в частности при социологических исследованиях. Развивается и самостоятельная область. Выборочное наблюдение — контроль качества промышленной продукции. Расчетная часть. Имеются следующие выборочные данные по 30 туристическим фирмам (выборка 10%-ная механическая) о затратах на рекламу и численности туристов, воспользовавшихся услугами туристической фирмы:
Задание 1. Признак – затраты на рекламу. Число групп – пять. Решение. Строим статистический ряд распределения предприятий по признаку «затраты на рекламу», образовав 5 групп с равными интервалами. Для построения интервального вариационного ряда, характеризующего распределение предприятий по среднесписочной численности работников, необходимо вычислить величину и границы интервалов ряда. При построении ряда с равными интервалами величина интервала i определяется по формуле
При i = 66,4тыс. руб. границы интервалов ряда распределения имеют следующий вид (табл. 2): Таблица 2 Границы интервалов ряда распределения
Для построения интервального ряда необходимо подсчитать число предприятий, входящих в каждую группу (частоты групп). Процесс группировки единиц совокупности по признаку затраты на рекламу представлен во вспомогательной (разработочной). Разработочная таблица для построения интервального ряда распределения и аналитической группировки. Таблица 3
Помимо частот групп в абсолютном выражении в анализе интервальных рядов используются ещё три характеристики ряда распределения - частоты групп в относительном выражении, накопленные (кумулятивные) частоты
Sj
,получаемые путем последовательного суммирования частот всех предшествующих (
j
-1)
интервалов, и накопленные частости
, рассчитываемые по формуле Таблица 4 Структура предприятий по затратам на рекламу
Вывод. Анализ интервального ряда распределения изучаемой совокупности предприятий показывает, что распределение предприятий по затратам на рекламу не является равномерным: преобладают предприятия с общими затратами от 256,6 до 323,6 тыс. руб. (это 14 предприятий, доля которых составляет 46,47%); 26,67% предприятий имеют общие затраты менее 256,6 тыс. руб., а 73,3% – менее 323,6 тыс. руб. Нахождение моды и медианы полученного интервального ряда распределения графическим методом и путем расчетов Для определения моды графическим методом строим по данным табл. 4 (графы 2 и 3) гистограмму распределения предприятий по изучаемому признаку.
![]() ![]() ![]() Расчет конкретного значения модыдля интервального ряда распределения производится по формуле:
Вывод. Для рассматриваемой совокупности предприятий наиболее распространенная среднесписочная численность работников характеризуется средней величиной 293,3.
![]() Конкретное значение медианы для интервального ряда рассчитывается по формуле:
Вывод. В рассматриваемой совокупности предприятий половина предприятий имеют в среднем затраты на рекламу не более 298,1 тыс. руб., а другая половина – не менее 298,1 тыс. руб. Расчет характеристик ряда распределения. Для расчета характеристик ряда распределения Таблица 5 Расчетная таблица для нахождения характеристик ряда распределения
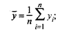
Расчет средней арифметической взвешенной:
Расчет среднего квадратического отклонения:
Расчет дисперсии:
Расчет коэффициента вариации:
Вывод: анализ полученных значений показателей Значение Vσ = 14,4% не превышает 33%, следовательно, вариация затрат на рекламу в исследуемой совокупности предприятий незначительна и совокупность по данному признаку качественно тыс.руб., Мо =293,3 тыс. руб., Ме =298,1 тыс. руб.), что подтверждает вывод об однородности совокупности предприятий. Таким образом, найденное среднее значение затрат на рекламу предприятий является типичной, надежной характеристикой исследуемой совокупности предприятий. Задание 2. Связь между признаками – затраты на рекламу и численность туристов, воспользовавшихся услугами фирмы. Таблица 6
Вывод . Анализ данных таблицы 6 показывает, что с увеличением затрат на рекламу от группы к группе систематически возрастает и средняя численность туристов воспользовавшихся услугами фирмы по каждой группе предприятий, что свидетельствует о наличии прямой корреляционной связи между исследуемыми признаками. Для построения корреляционной таблицы необходимо знать величины и границы интервалов по двум признакам X и Y . Величина интервала и границы интервалов для факторного признака Х –затраты на рекламу . Для результативного признака Y – Для построения корреляционной таблицы необходимо знать величины и границы интервалов по двум признакам X и Y . При k = 5, у max = 1406 чел., у min = 662 чел.:
Интервальный ряд распределения результативного признака . Таблица 7. Распределение предприятий по фонду заработной платы
Используя группировки по факторному и результативному признакам, строим корреляционную таблицу. Таблица 8. Корреляционная таблица зависимости фонда заработной платы от среднесписочной численности работников.
Вывод . Анализ данных таблицы 8 показывает, что распределение частот групп произошло вдоль диагонали, идущей из левого верхнего угла в правый нижний угол таблицы. Это свидетельствует о наличии прямой корреляционной связи между затраты на рекламу и численностью туристов воспользовавшихся услугами фирмы. Таблица 9
Общая средняя
Расчет общей дисперсии по формуле:
Межгрупповая дисперсия
Таблица 10 Вспомогательная таблица для расчета межгрупповой дисперсии
Расчет эмпирического коэффициента детерминации
Вывод. 81,8% вариации объёма выпуска продукции предприятиями обусловлено вариацией среднесписочной численности работников, а 8,1% – влиянием прочих неучтенных факторов. Эмпирическое корреляционное отношение оценивает тесноту связи между факторным и результативным признаками и вычисляется по формуле
Рассчитаем показатель:
Вывод : согласно шкале Чэддока связь между среднесписочной численностью менеджеров и объёмом продаж фирмами является весьма тесной. Задание 3. По результатам выполнения задания 1 с вероятностью 0,683 определите: 1. Ошибку выборки средних затрат туристических фирм на рекламу и границы, в которых будет находится средняя в генеральной совокупности. 2. Ошибку выборки доли туристических фирм с затратами на рекламу менее 321,8 тыс. руб. в месяц и границы, в которых будет находиться генеральная доля. Средняя ошибка выборки
Величина средней ошибки выборки рассчитывается дифференцированно (по различным формулам) в зависимости от вида и способа отбора единиц из генеральной совокупности в выборочную. Для собственно-случайной и механической выборки с бесповторным способом отбора средняя ошибка
Предельная ошибка выборки
Границы задают доверительный интервал генеральной средней , т.е. случайную область значений, которая с вероятностью Р гарантированно содержит значение генеральной средней. Эту вероятность Р называют доверительной вероятностью или уровнем надёжности . Предельная ошибка выборки Δ
кратна средней ошибке µ
с коэффициентом кратности
t
(
называемым также коэффициентом доверия
), который зависит от значения доверительной вероятности Р.
Для предельной ошибки выборочной средней
Значения t вычислены заранее для различных доверительных вероятностей Р и протабулированы (таблицы функции Лапласа Ф ). Для наиболее часто используемых уровней надежности Р значения t задаются следующим образом (табл. 11): Таблица 11
По условию выборочная совокупность насчитывает 30 предприятий, выборка 5%-ная механическая, следовательно, генеральная совокупность включает 600 предприятий.
Выборочная средняя Таблица 12
Расчет средней ошибки выборки по формуле:
Расчет предельной ошибки выборки по формуле:
Определение по формуле доверительного интервала для генеральной средней: 272,6-6,97 265,63 тыс. руб. Вывод. На основании проведенного выборочного обследования предприятий региона с вероятностью 0,683 можно утверждать, что для генеральной совокупности предприятий величина средней затрат на рекламу находится в пределах от 265,63 тыс. руб. до 279,57 тыс. руб. Определение ошибки выборки для доли организаций со средней списочной численностью работников 180 чел. и выше, а также границ, в которых будет находиться генеральная доля. Доля единиц выборочной совокупности, обладающих тем или иным заданным свойством, выражается формулой:
Для собственно-случайной и механической выборки с бесповторным способом отбора предельная ошибка выборки
Предельная ошибка выборки
По условию Задания 3 исследуемым свойством является затраты на рекламу менее 321,8 тыс. руб. Число предприятий с заданным свойством определяется из таблицы 3 (графа 3): m =22. Расчет выборочной доли по формуле:
Расчет по формуле предельной ошибки выборки для доли:
Определение по формуле (20) доверительного интервала генеральной доли:
0, 727 Вывод. С вероятностью 0,683 можно утверждать, что в генеральной совокупности предприятий доля затрат на рекламу менее 321,8 будет находиться в пределах от 72,7% до 73,9%. Задание 4. Имеются следующие данные о затратах на рекламу двух туристических фирм и численности туристов, воспользовавшихся их услугами: Таблица 13
Определить: 1. Общие индексы средних затрат на рекламу (на одного туриста) переменного, постоянного состава, структурных сдвигов. 2. Абсолютное изменение средних затрат на рекламу (на одного туриста) под влиянием отдельных факторов. Индекс переменного состава затрат на рекламу
Индекс постоянного состава заработной платы
Если необходимо зафиксировать влияние структурного фактора на изменение среднего уровня заработной платы, то рассчитывается индекс структурных сдвигов
Между индексами постоянного, переменного состава и структурных сдвигов существует взаимосвязь:
Для расчета общей индексов средней заработной платы по двум организациям применяется вспомогательная таблица 14. Таблица 14 Вспомогательная таблица для расчета индексов средней заработной платы
Используя полученные данные (табл. 14), вычисляем индекс средних затрат на рекламу):
. Индекс средних затрат на рекламу постоянного состава:
индекс средних затрат на рекламу структурных сдвигов:
Проверка полученных результатов осуществляется по формуле: 1,84 = 1,744 · 1,059 1,84 = 1,84 (верное равенство). Абсолютное изменение производительности труда за счет: 1.Влияния уровня затрат на рекламу по каждому предприятию.
Т.о затраты на рекламу увеличиваются на 149,9тыс. руб. 2.Влияние структурных изменений в численности туристов воспользовавшихся услугами фирмы.
Т.о. затраты на рекламу увеличились на1,06 тыс.руб. Аналитическая часть. Постановка задачи. Сведения о количестве выездов российских граждан за границу необходимы для туристических фирм. Это необходимо для того что бы предприятие получило наиболее выгодные результаты. Среднее число выездов российских граждан за границу в 2006-2007г. Осуществляется типическая выборка на основании совокупности разделенным по целям поездок. В таблице представлены статистические данные о целях выездов за границу российских граждан. Число выездов российских граждан за границу по целям поездок за 2006год в страны дальнего зарубежья; тысяч поездок.
Определим объем выборки с учетом следующих данных: N =22, объем совокупности,
Р =0,95, вероятность. Расчет дисперсии: Расчет дисперсии выполнен с применением пакета прикладных программ обработки электронных таблиц MSExcel в среде Windows.
Определим объем выборки:
n= Определим количество единиц отбираемых из каждой группы:
По первой группе (служебные выезды):
По второй группе (туризм):
По третьей группе (частный):
По четвертой группе (обслуживающий персонал):
В ходе собственно случайной выборке были отобраны следующие 15 стран со следующими показателями:
Применим пакет прикладных программ обработки электронных таблиц MSExcel в среде Windows для определения основных характеристик выборки.
На основе полученных данных определим границы в которых будет находится среднее число выездов.
69 Осуществим собственно - случайную выборку по каждой группе:
Применим пакет прикладных программ обработки электронных таблиц MSExcel в среде Windows для определения основных характеристик выборки.
Анализ результатов статистических компьютерных расчетов Результаты проведенных расчетов позволяют сделать следующие выводы. Среднее число выездов российских граждан за границу в 2006-2007 г. полученных путем собственно - случайной выборки равно 273 тысячи поездок. Так же при собственно – случайной выборке из каждой группы были взяты 15 стран и рассчитаны показатели, характеризующие эти группы. По эти данным можно сделать вывод что чаще всего люди выезжают за границу для отдыха т.е. туризма. Заключение. Использование статистических методов наблюдения, анализа, моделирования и прогнозирования различных аспектов рекламной деятельности и рекламного воздействия на потребителей позволяет снизить степень риска принимаемых рекламных решений, а также составить довольно обоснованное представление о том, какие формы и виды рекламы оказывают наиболее сильное воздействие на потребителя, грамотно оценивать конечные коммерческие и социально-психологические результаты рекламной деятельности. В силу данного обстоятельства рекламная деятельность должна опираться на необходимые статистические показатели, расчеты и прогнозы, позволяющие выявить определенные закономерности. Таким образом, рекламную деятельность можно рассматривать как особый объект статистического исследования. Отрадным фактом, в значительной мере способствующим статистическому изучению рекламной деятельности в России, следует считать введение статистического учета услуг в области рекламы, осуществленное по форме N 1 -реклама, утвержденной постановлением Госкомстата России от 26.06.2000 г. N 52 "Сведения по оказанию услуг в области рекламы за 20_ г.", которая представляется (ежегодно 1 апреля) в органы государственной статистики юридическими лицами (или их обособленными подразделениями), занимающимися производством, размещением и распространением рекламной информации. Совершенствование статистики рекламной деятельности должно внести значительный вклад как в развитие теории и практики отечественной рекламы, пока еще заметно отстающих от современных потребностей развития рыночной экономики, так и в развитие статистической методологии и практики. Список литературы: 1. В.М. Гусаров «теория статистики», М.-2001 2. http://www.ng.ru/economics/2008-05-19/6_travel.html 3. Дэвис Джоэл Дж. Исследования в рекламной деятельности: теория и практика. -М.- 2003 4. Пономарева А.М. Рекламная деятельность: организация, планирование, оценка эффективности. -М.-2004 5. Рекламная деятельность : Учебник/ Ф.Г. Панкратов, Баженов Ю.К., В.Г. Шахурин. -М.-2004 6. Рекламный рынок: методика изучения. : Курс лекций - Учебное пособие/ Ф.И. Шарков; А.А. Родионов. -М.-2005 7. Романов А.А. Статистическое изучение рекламной деятельности. - Вопросы статистики. – 2003 8. www.gks.ru (сайт Росстата) 9. Голубков Е.П. Маркетинг. Словарь-справочник. М.-2000 10. Российский статистический ежегодник: Стат.сб.-М.:Росстат 11. Бушуева Л.И. Статистические методв в маркетинговых исследованиях. Сыктывкар, 1999. 12. Курс социально-экономической статистики под ред. Назарова М.Г.- М.-2000г. Основные понятия и категории статистики рынка услуг .Рынок — это, как известно, прежде всего совокупность экономических отношений по поводу купли-продажи товаров по ценам, определяемым взаимодействием спроса и предложения в результате конкуренции. К основным категориям рынка вообще и рынка услуг в частности относятся: - предложение; - спрос покупателей; - конъюнктура рынка; - емкость рынка; - насыщенность рынка; - конкуренция; - сбалансированность рынка; - мобильность рынка и др. Необходимыми компонентами рынка услуг являются товары-услуги, т.е. предложение (продавец), и спрос — покупатель. Отсутствие одного из этих двух компонентов или серьезный дисбаланс между ними свидетельствуют о кризисном состоянии всей экономики. Под предложением услуг понимают количество ПУ, которые могут быть поставлены на рынок предприятиями, организациями, юридическими и физическими лицами — производителями услуг в условиях их оптимального функционирования по определенной цене. Предложение на рынке ПУ зависит от экономического потенциала сферы услуг и степени его использования. Под спросом на платные услуги понимается потребность общества и отдельных его членов в какой-либо услуге, обеспеченная необходимыми денежными ресурсами. Это — желание, способность и готовность субъектов приобрести то или иное количество услуг. На потребительском рынке услуг спрос определяется платежеспособностью населения. Используются также другие понятия, характеризующие спрос. Эффективный спрос — спрос на услугу при условии цены, которую готов заплатить покупатель и которая обеспечит прибыль, оправдывающую издержки производства услуг. Вторичный спрос — спрос на услуги, возникающие в связи с уже приобретенными товарами и услугами; типичный вторичный спрос — ремонтные услуги. Рыночный спрос — спрос, выражаемый таким количеством услуг, которое будет куплено определенной группой покупателей, в определенном регионе, в определенный период, по определенной цене. Спрос на услуги фирмы — доля фирмы в общем рыночном спросе. Его можно представить в виде формулы
где Qi — спрос на товары i -й компании; Si — рыночная доля i -й компании; Q — общий рыночный спрос. Рыночная доля выездов за границу российских граждан. Таблица 1
Важной характеристикой рынка платных услуг является его емкость. Необходимо различать потенциальную и реальную емкость рынка. Потенциальная емкость рынка определяется платежеспособным спросом на данный вид услуг, реальная емкость рынка — величиной услуг, реализованных за определенный период. Для расчета реальной емкости рынка можно применить следующую формулу:
где R — реальная емкость рынка; Р — стоимость оказанных услуг; Е — экспорт услуг; I — импорт услуг. Этот расчет осуществляется в денежном выражении, причем экспорт и импорт услуг пересчитываются в рубли по курсу МВБ на момент оказания услуг. Система показателей рынка услуг, методика их исчисленияВ решении задач статистики рынка услуг важная роль отводится системе показателей. Сформулируем основные принципы ее построения: - система показателей (в отличие от произвольного набора, перечня показателей) предполагает, что все показатели взаимосвязаны и ориентированы на достижение цели исследования; - система показателей строится на единых методологических принципах, что является необходимой предпосылкой их сопоставимости; - система показателей должна быть компактной, что не исключает дополнения обобщающих показателей показателями подсистемы. Для характеристики рынка услуг целесообразно использовать систему показателей, приведенную в табл.2. Таблица 2 Система показателей рынка услуг
Исходным направлением анализа рынка потребительских услуг населению является характеристика его социально-экономического потенциала. Социально-экономический потенциал рынка услуг — совокупная способность трудовых, материально-технических, финансовых и других ресурсов сферы обращения обеспечивать достижение наивысших результатов и эффективности функционирования рынка. Поэтому актуальной задачей статистики является разработка системы показателей характеристики потенциальных возможностей развития рынка услуг. К числу важных показателей потребительского рынка услуг относятся: объем предлагаемых услуг (товарное предложение, в котором в качестве товара выступает услуга) и покупательский спрос, а также степень их сбалансированности. Объем реализации услуг одновременно отражает объем удовлетворенного спроса (и в этом смысле этот показатель является социальным) и объем выручки, полученной от реализации платных услуг (и в этом смысле этот показатель характеризует экономический результат функционирования рынка). Объем реализации услуг населению — важный комплексный социально-экономический показатель удовлетворения потребностей в услугах разного назначения, а следовательно, показатель уровня жизни населения и одновременно результатов функционирования рынка услуг и развития сферы услуг. Этот показатель целесообразно использовать в качестве специфического показателя эффекта функционирования рынка. На его основе определяется вклад рынка услуг в результат функционирования рынка товаров в целом. Показатель уровня реализации услуг на одного жителя — важный индикатор развития регионального рынка и региональных сопоставлений. Следующая подсистема показателей включает показатели статистики цен на услуги. Цена — главная категория рынка, инструмент его регулирования, балансировки спроса и предложения, инструмент конкуренции и конкурентоспособности. В системе показателей цен целесообразно использовать категории устойчивости, колеблемости, сезонности, вариабельности цен, соотношений цен различных услуг, субрынков и секторов, а также показатели мобильности и эластичности цен. Показатели уровня и динамики цен исследуются во взаимосвязи с показателями покупательной способности рубля, денежных доходов населения. Исследование цен и их динамики на рынке услуг увязывается с проблемами инфляции и стоимости жизни. В подсистеме показателей результатов функционирования рынка услуг помимо показателя объема реализации услуг (выручки от реализации) большое значение имеет показатель прибыли, а также объема валовой добавленной стоимости, отражающей вклад рынка услуг в создание ВВП. Особую проблему составляет определение объемов рыночных услуг, оказываемых частнопрактикующими медработниками, репетиторами и т.п.; эти объекты могут быть получены на основании данных государственной налоговой службы и путем выборочных обследований доходов и расходов этих лиц и организаций (с выделением элементов промежуточного потребления). Выпуск рыночных услуг оценивается в основных ценах, т.е. исключая налоги на продукты (в рассматриваемых отраслях это налог на добавленную стоимость), но включая субсидии на продукты, т.е. государственную дотацию и другие субсидии, получаемые отраслью из государственного бюджета, кроме субсидий, связанных с использованием рабочей силы и других факторов производства, а также субсидий на капитальные затраты. Промежуточное потребление — стоимость всех продуктов (кроме основных фондов) и рыночных услуг, потребленных в течение данного периода в процессе производства и реализации услуг. Промежуточное потребление не включает износ основных фондов, который является элементом валовой добавленной стоимости. Вместе с тем к промежуточному по потреблению относятся затраты на улучшение условий труда работников сферы услуг, затраты на спецодежду и спецпитание; представительские расходы; оплата за обучение работников, если все это осуществляется в интересах производства. Валовая прибыль получается путем вычитания из валовой добавленной стоимости общей величины оплаты труда наемных работников, а также налогов на производство за вычетом субсидий на производство. Чистая прибыль получается путем вычитания из валовой прибыли величины потребления основных фондов (т.е. годового фонда амортизации и недоамортизированной стоимости выбывших основных фондов). Эффективность рынка услуг как социально-экономическая категория определяется достижением максимального результата (эффекта)наединицу затрат, связанных с его получением, или ресурсов его социально-экономического потенциала. В составе текущих затрат учитывается сумма стоимости фонда оплаты труда (ФОТ), промежуточного потребления (ПП) и потребления основного капитала (ПОК). Тогда обобщающий показатель уровня эффективности затрат определим по формуле
В составе ресурсов экономического потенциала рынка услуг учитываются: трудовые ресурсы, занятые обслуживанием рынка (Т), основные фонды (ОФ) и оборотные фонды (ОбФ). Расчет эффективности ресурсов осуществляется по формуле
Расчет сводного показателя эффективности ресурсов затруднен из-за отсутствия пока рыночной стоимости трудовых ресурсов, занятых на рынке труда. Однако рассчитываются отдельные компоненты эффективности ресурсов социально-экономического потенциала, изменение которых в динамике позволяет определить изменение в динамике показателя уровня эффективности ресурсов в целом. Отношение ВДС / Т является показателем производительности труда на рынке услуг (ПТ), сопоставимым по методике расчета с показателем общественной производительности труда (ВВП/Т). Этот показатель характеризует эффективность затрат живого труда на рынке услуг. Показателями эффективности затрат прошлого труда являются фондоотдача (ФО), фондоемкость (ФЕ) и материалоемкосты (МЕ). Фондоотдача — объем результата функционирования рынка услуг на единицу среднегодовой стоимости его основных фондов
фондоемкость — обратный показатель фондоотдачи
и материалоемкость исчисляется по формуле
Основным фактором роста производительности труда (ПТ) на рынке услуг является фондовооруженность труда (ФВ) — средняя стоимость основных фондов рынка услуг на одного занятого в этой сфере,
Между этими показателями имеется взаимосвязь:
В число показателей финансовой эффективности функционирования рынка, т.е. рентабельности (Рент.), в зависимости от целей анализа включаются: • отношение объема выручки от реализации услуг (Р) к текущим затратам (издержкам) на этот процесс (З):
• отношение прибыли (П) к объему реализации
• отношение прибыли к сумме основных (ОФ) и оборотных фондов:
Каждый из названных показателей имеет самостоятельное значение в экономическом анализе. Условия эффективности — определенные соотношения (неравенства) темпов роста основных показателей функционирования рынка товаров и услуг (результатов, ресурсов и затрат). Используя показатели международной методологии, можно рассчитать коэффициент рентабельности как отношение прибыли к величине валовой добавленной стоимости (ВДС), созданной на рынке услуг (размер прибыли, приходящейся на единицу ВДС):
Учитывая, что потребительские услуги создаются для конечного потребления, при анализе рынка целесообразно использовать коэффициент конечного потребления (Ккп), рассчитываемый как отношение объема конечного потребления (КП) к валовой добавленной стоимости:
Этот коэффициент показывает, какая часть валовой добавленной стоимости была использована на удовлетворение потребностей населения. Для оценки платного обслуживания населения на региональном рынке услуг целесообразно использовать данные выполнения кассового плана банков. Среди всех поступлений наличности в банковские учреждения легко фиксировать выручку от реализации платных услуг (Р). Объем выручки будет сопоставлен с выдачей наличных на заработную плату и на другие выплаты населению (В). Отношение этого сальдо к выдаче характеризует текущую деятельность рынка услуг обслуживаемого банком региона и называется коэффициентом эмиссии (Кэ):
где Рi — объем реализации платных услуг отрасли i ; Вi — сумма выдач наличных. Объем реализации услуг и сумма выдачи наличных денег для выплаты населению находятся в разных регионах в различных соотношениях. Поэтому коэффициент эмиссии может быть как положительной, так и отрицательной величиной. В большинстве случаев коэффициент эмиссии больше нуля. Чем выше коэффициент по абсолютной величине, тем уже возможности рынка данного региона. Этот коэффициент показывает и способность рынка услуг закрепить денежные расходы населения по месту получения доходов, сократить вывоз их из региона, миграцию денег. Динамика коэффициента эмиссии за ряд лет дает возможность принимать оперативные меры по регулированию рынка услуг. Для оценки влияния оперативного управления развитием сферы услуг можно использовать обобщающий показатель уровня развития рынков рыночных услуг (I ) в динамике. Это могут быть показатели обеспеченности персоналом различных отраслей сферы услуг по сравнению с нормативами и другие показатели. Интегральная оценка находится как сумма оценок отраслей:
где Кi — коэффициент значимости отрасли i , определяемый экспертной оценкой или опросом населения: Фi , Нi — соответственно фактический и нормативный уровень развития отрасли i по оперативно регулируемым показателям. Внедрение международных стандартов учета и статистики расширило понятие экономической деятельности, что имело своим следствием органическое включение сферы услуг в экономические процессы, происходящие в стране, позволило дать четкую характеристику экономического результата развития сферы услуг и ее участия в формировании ВВП. Статистическое исследование рыночной конъюнктурыОдной из главных задач статистического изучения рынка продуктов является оценка, анализ и прогноз рыночной конъюнктуры. Это необходимо для разработки стратегии маркетинга и осуществления коммерческих операций. Конъюнктура (от лат. conjungo — соединяю, связываю) рынка — конкретная ситуация, сложившаяся на рынке на данный момент или ограниченный отрезок времени, а также совокупность условий, которая эту ситуацию определяет. Под рыночной ситуацией, или состоянием рынка, понимается комплекс рыночных процессов и явлений, охватывающий степень сбалансированности рынка (соотношение спроса и предложения); тип рынка (конкурентный, монополистический и т.д.); тенденции развития рынка (изменения, их векторы, скорость и интенсивность); масштабы и степень деловой активности (заполненность хозяйственного портфеля фирмы, число и размер заказов, объем сделок и т.п.); устойчивость/колеблемость главных параметров рынка; уровень риска. Тенденции рынка определяются на основе анализа динамических рядов основных параметров рынка (продажи, цен, товарных запасов). Строятся трендовые модели, которые определяют вектор, скорость и ускорение развития. В зависимости от характера развития рынка для построения кривых тренда используются различные функции. Таблица3 Трендовые уравнения
* В формулах: yt — выравненное значение результативного признака: а — свободный член уравнения (экономически не интерпретируется); b — параметр уравнения, отражающий скорость развития: t — фактор времени (номер периода). Важным этапом конъюнктурного анализа является характеристика устойчивости развития рынка. Чем больше размах колебаний, тем выше уровень риска, менее надежны прогнозы. Колеблемость рынка проявляется в отклонениях фактических уровней от линии тренда, выражающей тенденцию развития. Визуально определить степень устойчивости рынка можно по графическому изображению, а более точно — с помощью формулы
где V —
показатель колеблемости (в процентах к среднему за период уровню; σy
-
yt
— среднее квадратическое отклонение фактических уровней динамического ряда (цен, продажи, запасов и т.д.) от выровненных, т.е. тренда; уi
—
фактические уровни динамического ряда; уt
—
выровненные значения динамического ряда, т.е. тренд;
п — число уровней динамического ряда. В зависимости от полученных характеристик даются оценки развития и состояния рынка: сильный (развивающийся) рынок; устойчиво развивающийся рынок; неустойчиво развивающийся рынок; стабильный рынок (при высокой активности торговли); стагнирующий рынок (при низкой активности торговли); спад рыночной активности; сокращение рынка. Количественно оценить покупательский спрос на локальном рынке какого-то товара не представляется возможным. Могут быть даны только косвенные, качественные (атрибутивные) оценки на основе наблюдения за изменениями продажи, цен, товарных запасов, поступления товаров (поставки). Эти показатели называются индексами деловой активности. При их анализе исходят из сопоставления индексов деловой активности, указывающих на сбалансированность или, наоборот, на разбалансированность рынка:
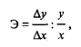
Анализ рынка включает изучение эластичности спроса, т.е. реакции потребителей на изменение цены или дохода, которая выражается в процентном изменении спроса при увеличении факторного признака (цены, дохода) на один процент. Она измеряется коэффициентом, формула которого:
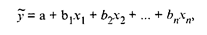
где Э — коэффициент эластичности; Δ — знак прироста; у — спрос (косвенно характеризуется продажей); х — факторный признак: цена или доход. У приведенной формулы (ее называют эмпирическим коэффициентом эластичности), несмотря на ее простоту и доступность, имеется существенный недостаток: она отражает влияние на спрос одного фактора, при этом подразумевается, что изменение целиком обусловлено действием данного фактора, хотя на самом деле это не так. На спрос одновременно влияет комплекс факторов, что можно отразить с помощью многофакторной модели спроса:
где По параметрам многофакторного уравнения регрессии можно построить «чистые» коэффициенты эластичности (их называют «теоретическими»), освобожденные от влияния других факторов
Многофакторная модель спроса используется также в целях прогнозирования. В этом случае она строится по данным динамических рядов и в нее дополнительно вводится фактор времени (t ). Она учитывает все изменения факторов, но для этого надо знать их прогнозные значения (можно заменять фактические данные гипотезами: если такие-то факторы будут на данном уровне, то спрос составит определенную величину, если факторы будут иными, то и спрос будет иметь другое значение). Напомним, что прогноз может быть достаточно надежно осуществлен методами экспертных оценок. Иногда развернутый прогноз дается в форме сценария, где сочетаются различные методики, а точечный прогноз заменяется многовариантным. Используются методы описательного анализа собственных действий, строятся предположения о встречных действиях конкурентов. Известно несколько методов прогнозирования риска. Первый — экспертные (иногда, особенно в малом бизнесе, используются интуитивные оценки риска, основанные на опыте и таланте коммерсанта); оценки вероятности риска с помощью статистических и вероятностных методов, базирующихся на теории принятия решений; балльные оценки риска. Суть балльного метода в следующем: каждый риск ( R ) описывается определенным числом (n ) i -х факторов (критериев риска). Значения каждого из них экспертным путем ранжируются по вероятности наступления риска и нормируются, т.е. каждому присваивается определенный балл (В i ), экспертным путем определяется вклад каждого фактора в совокупный риск ( Wi ). Тогда общий уровень риска составит:
Чем ближе R к 0, тем меньше риск, и, наоборот, чем больше R , тем он выше. Некоторые рыночные явления трудно было бы понять без использования данных статистики семейных бюджетов (крупной панели потребителей). Маркетинговое исследование опирается на систему опросов потребителей и предпринимателей, а также специалистов (устных — интервьюирования и письменных — анкетирования). Кроме того, маркетинг использует материалы так называемой вторичной информации, в частности публикации СМИ (различного рода бюллетени), где содержатся данные о конкурирующих предприятиях и т.п. В практику статистического учета все шире внедряются дорасчеты и экспертные оценки. На продуктовых и вещевых рынках практикуются методы несплошного наблюдения, базирующиеся на непосредственном наблюдении и опросах. Статистические методы, используемые при изучении рекламной деятельности: табличный, графический, метод статистических группировок, метод средних величин, корреляционно-регрессионный метод и др. |
|||||||||||||||||||||||||||||||||||||||||||||||||||||||||||||||||||||||||||||||||||||||||||||||||||||||||||||||||||||||||||||||||||||||||||||||||||||||||||||||||||||||||||||||||||||||||||||||||||||||||||||||||||||||||||||||||||||||||||||||||||||||||||||||||||||||||||||||||||||||||||||||||||||||||||||||||||||||||||||||||||||||||||||||||||||||||||||||||||||||||||||||||||||||||||||||||||||||||||||||||||||||||||||||||||||||||||||||||||||||||||||||||||||||||||||||||||||||||||||||||||||||||||||||||||||||||||||||||||||||||||||||||||||||||||||||||||||||||||||||||||||||||||||||||||||||||||||||||||||||||||||||||||||||||||||||||||||||||||||||||||||||||||||||||||||||||||||||||||||||||||||||||||||||||||||||||||||||||||||||||||||||||||||||||||||||||||||||||||||||||||||||||||||||||||||||||||||||||||||||||||||||||||||||||||||||||||||||||||||||||||||||||||||||||||||||||||||||||||||||||||||||||||||||||||||||||||||||||||||||||||||||||||||||||||||||||||||||||||||||||||||||||||||||||||||||||||||||||||||||
,






,
тыс. руб. 
;
;
;
,
или 81,8%
,
,
,
,
тыс.руб.
тыс. руб.










