Реферат: Изучение характеристик электростатического поля 2
|
Название: Изучение характеристик электростатического поля 2 Раздел: Рефераты по физике Тип: реферат | ||
Рецензия
|
![]() |
Поскольку работа по перемещению заряда вдоль эквипотенциальной поверхности равна нулю, то исходя из формул (6) и (7) можно показать, что в каждой точке вектор напряженности электрического поля перпендикулярен эквипотенциальной поверхности и направлен в сторону уменьшения потенциала. Т.е. силовые линии перпендикулярны эквипотенциальным поверхностям.
Если заряженные тела погрузить в проводящую среду, то в ней потечет электрический ток. Чтобы ток не прекращался, требуется непрерывное возобновление исходных зарядов путем подключения тел к внешнему источнику. В каждой точке среды ток характеризуется плотностью тока j - величиной тока, приходящейся на единицу площади, перпендикулярной направлению тока. Между плотностью тока и напряженностью электрического поля существует связь, называемая законом Ома в дифференциальной форме:
(12)
где s - удельная электропроводность среды, величина, обратная удельному сопротивлению. При постоянном токе распределение заряда в пространстве не изменяется и электрическое поле точно такое же, как и в электростатическом случае. Из уравнения (12) следует, что картина силовых линий электрического поля должна совпадать с картиной линий электрического тока. Эквипотенциальным линиям будут соответствовать линии, между точками которых отсутствует электрическое напряжение.
3. Экспериментальные результаты.
Описание лабораторной установки:
![]() |
установка представляет собой прямоугольную ванну с электролитом, в которую погружены два электрода. Электроды присоединены к источнику постоянного низковольтного напряжения. Один из электродов через вольтметр связан с подвижным зондом (курсор). Вольтметр показывает напряжение между отрицательно заряженным электродом и точкой в ванне, в которую помещен зонд.
На рис.1,2 графическое изображение электрического поля при различных положениях электродов. В первом случае электроды представляют собой два тонких кольца радиусом 1 см, во втором- отрицательно заряженная плоскость и положительно заряженное тонкое кольцо радиусом 1 см.
Рис.1

Рис.2

Ошибка!
На обоих рисунках не показаны значения потенциалов у эквипотенциальных линий. Направление силовых линий зависит от распределения потенциала по формуле
.
В точках с координатами (4,8), (10,8) и (17,8) величину напряженности электрического поля по формуле(11). Так как поле однородно, т.е. на каждую единицу длины изменение потенциала остается постоянным, то:
.
![]()
![]()
![]()
Ошибка! Нет вывода по результатам измерений.
4. Контрольные вопросы
1. Дайте определение электростатического поля и его характеристик.
Ответ:
Электрическое поле, созданное системой неподвижных зарядов, называется электростатическим полем . Так как электростатическое поле является частным случаем поля электрического, то их характеристики одинаковы.
Напряженность поля.
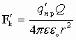
Поле, создаваемое зарядом Q, действует на qпр
с силой Fk
Отношение силы к заряду всегда остаётся постоянным

Е - величина напряженности электрического поля, создаваемого зарядом Q на расстоянии r.
Потенциал - энергетическая характеристика электрического поля, указывающая на способность поля перемещать заряды в пространстве.
Для заряда, формулирующего поле, отношение работы к величине переносимого заряда из данной точки поля в бесконечность является характеристикой заряда, формирующего поле, и есть величина постоянная. Это отношение и есть энергетическая характеристика электрического поля и называется потенциалом данной точки поля, созданного зарядом Q.
2. Оцените величину силы, действующей на электрон, помещенный в некоторую точку исследуемого поля.
Ответ:
Поле, создаваемое зарядом Q, действует на qпр с силой

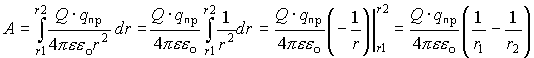
3. Рассчитайте работу по перемещению электрона между двумя точками в исследуемом поле (точки выбираются произвольно).
Ответ:
Если траектория перемещения заряда (от точки 1 к точке 2) носит произвольный характер, тогда работа на участке (1-2):

4. Могут ли пересекаться линии вектора напряженности электрического поля?
Ответ:
Вектора напряженности заряженных тел всегда перпендикулярны эквипотенциальным поверхностям, а значит, всегда перпендикулярны собственной поверхности заряженного тела. Следовательно, линии вектора напряженности электрического поля пересекаться не могут.
5. Могут ли пересекаться эквипотенциальные линии? Почему?
Ответ:
В трехмерном пространстве вблизи любого заряженного тела совокупность точек, потенциалы которых одинаковы, образуют эквипотенциальную поверхность. Следовательно, пересекаться эквипотенциальные поверхности с разными потенциалами не могут.
6. Какое ускорение приобретает электрон, двигаясь по эквипотенциальной линии?
Ответ:
Двигаясь по эквипотенциальной линии, электрон имеет ускорение равное нулю.
РАБОТА НАД ОШИБКАМИ
Вывод:
Исследовано электростатическое поле, созданное двумя электродами: два тонких кольца в первой ванне; отрицательно заряженная плоскость и положительно заряженное кольцо для второй ванны. Графически изображены сечения эквипотенциальных поверхностей. Видно, что вблизи электродов эквипотенциальные линии принимают форму источника, так например на примере второй ванны видно, что чем ближе эквипотенциальные линии к положительно заряженному кольцу, тем больше они принимают форму окружности, а чем ближе к плоскости, тем больше принимают форму прямой линии, что позволяет сделать вывод о том, что металлические электроды являются эквипотенциальными поверхностями. Построены силовые линии электростатического поля, произведены оценки величины напряженности поля в трех точках. Полученные результаты говорят о том, что в областях, где силовые линии расположены гуще, величина напряженности поля больше, что соответствует теоретическим ожиданиям.


(1)
(9)
