Курсовая работа: Планирование и организация эксперимента
|
Название: Планирование и организация эксперимента Раздел: Рефераты по маркетингу Тип: курсовая работа | |||||||||||||||||||||||||||||||||||||||||||||||||||||||||||||||||||||||||||||||||||||||||||||||||||||||||||||||||||||||||||||||||||||||||||||||||||||||||||||||||||||||||||||||||||||||||||||||||||||||||||||||||||||||||||||||||||||||||||||||||||||||||||||||||||||||||||||||||||||||||||||||||||||||||||||||||||||||||||||||||||||||||||||||||||||||||||||||||||||||||||||||||||||||||||||||||||||||||||||||||||||||||||||||||||||||||||||||||||||||||||||||||||||||||||||||||||||||||||||||||||||||||||||||||||||||||||||||||||||||||||||||||||||||||||||||||||||||||||||||||||||||||||||||||||||||||||||||||||||||||||||||||||||||||||||||||||||||||||||||||||||||||||||||||||||||||||||||||||||||||||||||||||||||||||||||||||||||||||||||||||||||||||||||||||||||||||||||||||||||||||||||||||||||||||||||||||||||||||||||||||||||||||||||||||||||||||||||||||||||||||||||||||||||||||||||||||||||||||||||||||||||||||||||||||||||||||||||||||||||||||||||||||||||||||||||||||||||||||||||||||||||||||
Министерство образования и науки Российской Федерации Государственное общеобразовательное учреждение высшего профессионального образования «Национальный исследовательский ТОМСКИЙ ПОЛИТЕХНИЧЕСКИЙ УНИВЕРСИТЕТ» Институт - кибернетики Направление (специальность) - метрология, стандартизация, сертификация Кафедра - компьютерных измерительных систем и метрологии ПЛАНИРОВАНИЕ И ОРГАНИЗАЦИЯ ЭКСПЕРИМЕНТА Курсовая работа по дисциплине «Планирование и организация эксперимента» Вариант № 1 Выполнил __________________ М.В. Волкова (дата) студент гр. 1Г70 __________________ (роспись) Проверил ___________________ В.Ю. Серик (дата) доцент кафедры КИСМ ___________________ (роспись) Томск – 2010 МинистерствообразованияинаукиРоссийскойФедерацииГосударственноеобщеобразовательноеучреждениевысшегопрофессиональногообразования «НациональныйисследовательскийТОМСКИЙПОЛИТЕХНИЧЕСКИЙУНИВЕРСИТЕТ» Институт кибернетики. Кафедра компьютерных измерительных систем и метрологии. ЗАДАНИЕ на выполнение курсовой работы Студенту гр. 1Г70 Болтовской Ольге Аркадьевне 1. Тема курсовой работы: «Планирование и организация эксперимента. Вариант №1». 2. Срок сдачи студентом готовой работы: 01.12.2010 . 3. Исходные данные к работе: 3.1. программная оболочка для моделирования экспериментальной установки, в среде MatLab – генератор случайных чисел; 3.2. генератор отклика для эксперимента. 4. Содержание текстового документа (перечень подлежащих разработке вопросов) 4.1. Составить план эксперимента по определению характеристик случайной величины: определить вид распределения, получить точечные и интервальные оценки параметров распределения, определить объем выборки для получения оценок с заданной точностью. Указание : Программа генерирует выборки заданного объема для непрерывной случайной величины. При этом возможны распределения вида: нормальное, равномерное, экспоненциальное, Рэлея. 4.2. Составить план эксперимента по выяснению регрессионной зависимости, осуществить компьютерный эксперимент и провести статистическую обработку его результатов. Указание : Использовать факторные планы. 5. Перечень графического материала (с точным указанием обязательных чертежей) 5.1. Гистограмма, функция плотности распределения, эмпирическая функция распределения, теоретическая функция распределения (задание 1) 5.2. Таблица факторного плана, регрессия (задание 2). 6. Консультанты по разделам выпускной квалификационной работы (с указанием разделов) – Казаков В.Ю. (по всем разделам). 7. Дата выдачи задания на выполнение выпускной квалификационной работы (курсового проекта, работы) – 01.10.10 . Руководитель ______________ (Казаков В.Ю.) Задание принял к исполнению ______________ (Болтовская О.А.) (подпись, дата) Содержание
Введение Планирование и организация эксперимента играет большую роль в современном мире. Оно имеет практическое значение в различных сферах деятельности человека. Планирование и организация эксперимента позволяет повысить эффективность статистических методов контроля качества и управления качеством, широко применяемых в настоящее время во многих странах. Наряду с контролем продукции нередко требуется провести контроль параметров технологических процессов. Эта задача может быть решена путем проверки статистических гипотез. Однако, наибольшего эффекта, можно добиться не контролем параметров качества, а такой организацией производственных процессов, при которой брак продукции не производится. Поэтому целью данной курсовой работы является ознакомление с основными этапами планирования эксперимента и применение их на практике для определения вида распределения генеральной совокупности и определения ее основных параметров, а также для проведения регрессионного анализа. 1 Эксперимент по определению характеристик случайной величины 1.1 Предварительный анализ данных Для того чтобы сформулировать гипотезу о виде распределения, необходимо использовать априорную информацию. В нашем случае, дана выборка из неизвестной генеральной совокупности, физическое происхождение ни выборки, ни генеральной совокупности неизвестно. Следовательно, чтобы предположить вид распределения, необходимо построить гистограмму по полученным значениям выборки. Для получения наиболее четкой картины предполагаемого распределения возьмем выборку n=500 (Приложение А) и выполним построение гистограммы с помощью программы STATISTICA с количеством интервалов равным 10.
Рисунок 1 – Гистограмма, полученная в программе STATISTICA По построенной гистограмме можно предположить, что данная выборка распределена по нормальному закону. 1.2 Определение вида распределения Знание закона распределения вероятностей для практического применения методов теории вероятностей и математической статистики чрезвычайно важно. Предварительная обработка результатов измерений и наблюдений необходима для того, чтобы в дальнейшем при построении эмпирических зависимостей (функции отклика), с наибольшей эффективностью использовать статистические методы и корректно анализировать полученные результаты. Любая обработка результатов наблюдений в первую очередь должна отвечать на вопрос определения вида распределения вероятностей обрабатываемого ряда случайных величин. На практике данная проблема обычно формулируется выдвижением статистической гипотезы. Задача первичного исследования — принять или отклонить выдвинутую гипотезу. Чтобы предположить конкретный вид распределения сгенерированной программой случайной величины, необходимо построить гистограмму. 1.2.1 Построение гистограммы Для построения гистограммы по данным из Приложения А выполним следующие действия: a) По полученной выборке построим вариационный ряд, т.е. преобразуем данные в порядке неубывания {Xi }. b) Определим число интервалов группирования по формуле k = 1 + 3,32 c) Вычислим ширину интервала группирования по формуле (1): (1) где Xmax – Xmin = R =26,873 - размах. d) Разбиваем вариационный ряд на интервалы: m1 : [-12,141; -9,4537); m6 : [1,2955; 3,9828); m2 : [-9,4537; -6,7664); m7 : [3,9828; 6,6701); m3 : [-6,7664; -4,0791); m8 : [6,6701; 9,3574); m4 : [-4,0791; -1,3918); m9 : [9,3574; 12,0447); m5 : [-1,3918; 1,2955); m10 : [12,0447; 14,732]. e) Определяем nj – число значений Х из вариационного ряда, попавших в j–ый интервал группирования. n1 = 6; n6 = 100; n2 = 15; n7 = 89; n3 = 41; n8 = 58; n4 = 63; n9 = 25; n5 = 97; n10 = 6. f) Строим гистограмму для данной выборки.
Рисунок 2 – Гистограмма Следует отметить, что при построении гистограммы по оси абсцисс откладывают величины границ интервалов группирования, а по оси ординат - частоту попадания измеренной величины хi в j-ый интервал. Согласно полученной гистограмме можно предположить, что данный закон распределения является нормальным. Для подтверждения или опровержения данного высказывая нам необходимо сформулировать гипотезу о виде распределения случайной величины и проверить ее с помощью специальных критериев. 1.2.2 Формулировка проверяемой гипотезы Сформулируем нулевую гипотезу: Н0 : Выборка из генеральной совокупности распределена по нормальному закону. Альтернативная гипотеза Н1 : Выборка из генеральной совокупности распределена по закону, отличному от нормального. Как известно, нормальное распределение (распределение Гаусса) - распределение вероятностей случайной величины Х, характеризуемой плотностью вероятности Согласно [1] нормальное распределение симметрично относительно точки х = μ и имеет два параметра μ=0 и σ=1, совпадающих со средним значением и стандартным отклонением. Параметр μхарактеризует положение μна оси х, а параметр σ определяет степень рассеяния случайной величины относительно μ. 1.2.3 Проверка гипотезы о нормальности распределения с помощью графического метода Данный метод основан на построении кумулятивной функции распределения наблюденных значений на бумаге для нормальных вероятностных графиков. Вертикальная ось имеет нелинейную шкалу, соответствующую площади под стандартной функцией нормального распределения и размечена значениями кумулятивной относительной частоты (в %). Другая ось имеет линейную шкалу для упорядоченных значений х. Если кумулятивная функция распределения переменной Х приближается к прямой линии, то распределение переменной Х будет нормальным [2]. Этот подход важен тем, что дает наглядную информацию по типу отклонения от нормального распределения. Чем больше объем выборки, тем более надежны заключения, которые можно вывести из вида графика функции распределения. Именно поэтому мною был выбран этот метод. Графическая процедура состоит в расположении наблюденных значений (х1 , х2 , …хn ) в неубывающем порядке и затем в нанесении значений вероятности Pk , рассчитанных по формуле (2):
на бумагу для нормальных вероятностных графиков (где k- порядковый номер х; k=1,…, n). По данным выборки построим вариационный ряд, рассчитаем значения кумулятивной относительной частоты (в %) и заполним таблицу 1. Таблица 1 – Данные для построениякумулятивной функции распределения
По рассчитанным значениям построим график кумулятивной функции распределения заданной выборки:
Рисунок 3 – Кумулятивная функция распределения Построенный график представлен набором точек, которые рассеяны около прямой линии - это дает первое подтверждение гипотезе о нормальном распределении генеральной совокупности, из которой взята выборка. Следует также отметить, что в данном случае частотное распределение имеет большую кривизну (график более выпуклый), но это не опровергает гипотезу Н0 . Можно сделать вывод, что гипотеза о нормальном распределении для выборки наблюдений адекватна. К сожалению, использование только одного критерия для проверки гипотезы о виде распределения не может быть до конца объективным. Поэтому рассмотрим еще один критерий – Колмогорова-Смирнова, модифицированный для проверки нормальности распределения. 1.2.4 Критерий Колмогорова-Смирнова, модифицирован-ный для проверки нормальности распределения Данный критерий основан на общем критерии Колмогорова-Смирнова и его применение в нашем эксперименте возможно, так как теоретическая функция распределения неизвестна нам с точностью до параметров μ и σ (они будут оцениваться по выборке). Алгоритм проверки гипотезы Н0 аналогичен алгоритму общего критерия, в данном случае меняются только критические значения - используется модифицированная статистика, рассчитываемая по формуле (3):
критические значения которой Таблица 2 – Критические значения статистики Колмогорова-Смирнова, модифицированной для проверки нормальности распределения
По формулам (4), (5) находим среднее значение и стандартное отклонение для заданной выборки:
Тогдаzi
= Таблица 3 - Результаты расчетов модифицированного критерия Колмогорова - Смирнова
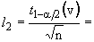
Из таблицы 3 следует, что: , .
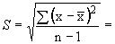
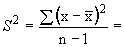
Далее Так как 1.3 Получение точечных и интервальных оценок параметров распределения 1.3.1 Сущность задачи точечного и интервального оценивания параметров Точечная оценка предполагает нахождение единственной числовой величины, которая и принимается за значение параметра. Такую оценку целесообразно определять в тех случаях, когда объем экспериментальных данных достаточно велик. Причем не существует единого понятия о достаточном объеме экспериментальных данных, его значение зависит от вида оцениваемого параметра. При малом объеме экспериментальных данных точечные оценки могут значительно отличаться от истинных значений параметров, что делает их непригодными для использования. Интервальный метод оценивания параметров распределения случайных величин заключается в определении интервала (а не единичного значения), в котором с заданной степенью достоверности будет заключено значение оцениваемого параметра. Интервальная оценка характеризуется двумя числами – концами интервала, внутри которого предположительно находится истинное значение параметра. Иначе говоря, вместо отдельной точки для оцениваемого параметра можно установить интервал значений, одна из точек которого является своего рода "лучшей" оценкой. Интервальные оценки являются более полными и надежными по сравнению с точечными, они применяются как для больших, так и для малых выборок. Совокупность методов определения промежутка, в котором лежит значение параметра Т , получила название методов интервального оценивания. Для нормального распределения параметрами являются μ и σ2 . Параметр μ — среднее значение (математическое ожидание) случайной величины и указывает координату максимума кривой плотности распределения, а σ² — дисперсия, которая определяет меру разброса данной случайной величины. 1.3.2 Точечные оценки параметров распределения Согласно [3] оценка среднего значения выборки из генеральной совокупности производится по формуле (6):
Точечная оценка дисперсии в и стандартного отклонения σ генеральной совокупности осуществляется по формулам (7), (8):
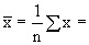
1.3.3 Определение объема выборки для получения оценок с заданной точностью В производстве при оценке мат.ожидания и дисперсии нерационально работать с выборками большого объема, так как это требует больших финансовых и временных затрат. В соответствии с этим объем выборки для получения интервальных оценок параметров распределения должен быть небольшим и определяться по формуле (9):
где εдоп = 0,5 – показывает величину доверительного интервала, отнесенного к стандартному отклонению случайной величины; n – объем выборки. Подберем такой объем выборки n, чтобы выполнялось равенство (9). Это возможно при n=30:
Таким образом объем выборки, достаточный для получения интервальных оценок с заданной точностьюεдоп = 0,5, равен 30. В Приложении Б представлена выборка необходимого объема, полученная с помощью генератора случайных чисел. 1.3.4 Интервальная оценка математического ожидания Определим интервальную оценку мат. ожидания заданной выборки из генеральной совокупности согласно методике, описанной в [3]. Для этого заполним таблицу 4. Таблица 4 – Определение интервальной оценки мат.ожидания выборки
1.3.5 Проверка гипотезы о равенстве математического ожидания заданному значению Предположим, что μ равно целому значению близкому к точечной оценке данного параметра (п.1.3.2), для этого проверим гипотезу о равенстве математического ожидания заданной величине. Формулируем гипотезу Н0 : m= 2.000; Н1
: m Осуществляем проверку гипотезы по методике описанной в [3] и заполняем таблицу 5. Таблица 5 – Проверка равенства мат.ожидания заданному значению
Равенство не выполняется, следовательно гипотеза Н1 отклоняется (выборка не противоречит нулевой гипотезе), и выполняется гипотеза Н0 : m=2,000. 1.3.6 Интервальная оценка дисперсии Аналогично п.1.3.4 определим интервальную оценку дисперсии заданной выборки из генеральной совокупности согласно методике, описанной в [3]. Для этого заполним таблицу 6. Таблица 6 – Определение интервальной оценки дисперсии
1.3.7 Проверка гипотезы о равенстве дисперсии заданному значению Предположим, что σ2 равно целому значению близкому к точечной оценке данного параметра (п.1.3.2), для этого проверим гипотезу о равенстве дисперсии заданной величине. Формулируем гипотезу Н0 : в = 24,000; Н1
: D Осуществляем проверку гипотезы по методике описанной в [3] и заполняем таблицу 7. Таблица 7 - Проверка равенства дисперсии заданному значению
Равенство не выполняется, следовательно гипотеза Н1 отклоняется (выборка не противоречит нулевой гипотезе), и выполняется гипотеза Н0 : в = 24,000. В п.1.2.3 и п.1.2.4 мы убедились, что заданная генеральная совокупность распределена по нормальному закону. С помощью программы Mathcad построим для этого закона графики функции распределения и плотности распределения. 1.4.1 Функция плотности распределения В соответствии с [1] функция плотности распределения для нормального закона распределения имеет следующий вид (10):
Данные необходимые для построения графика функции плотности распределения получены в п.1.3.5 и п.1.3.7: μ= 2,000, D=24,000.
1.4.2 Теоретическая функция распределения Функция распределения выглядит следующим образом (11):
График теоретической функции распределения показан на рисунке 5.
Рисунок 5 – График теоретической функции распределения случайной величины 1.4.3 Эмпирическая функция распределения По определению, эмпирическая функция распределения - это естественное приближение теоретической функции распределения данной случайной величины, построенное по выборке. По оси абсцисс откладываются интервалы группирования данных, а по оси ординат – накопленная частость. График эмпирической функции распределения по накопленным частотам представлен на рисунке 6:
Рисунок 6 – График эмпирической функции распределения 2 План эксперимента по выяснению регрессионной зависимости 1. Целью данного задания является установление регрессионной зависимости между тремя факторами (температура - X1 , давление - X2 , влажность - X3 ) и откликом компьютерного эксперимента. Следовательно, количество возможных комбинаций 23 = 8. Так как в нашем эксперименте значения отклика мы получаем с помощью компьютера, то количество повторов можно выбрать произвольно на заданных уровнях факторов, я считаю, что достаточно 5 повторов. В результате проведения эксперимента были получены значения отклика Y (таблица 8). С помощью ПФЭ найдем математическое описание процесса в окрестности точки факторного пространства с координатами: X01 = 20°C, X02 = 1 атм, X03 = 0,55 и шагами варьирования: ΔX1 = 20°C, ΔX2 = 0,5 атм, ΔX3 = 0,45. Х1 min =0 °С, Х1 max =40 °С Х2 min =0,5 атм., Х2 max =1,5 атм. Х3 min =0,1, Х3 max =1,0 2. Рассчитаем средние значения отклика, которые будут использоваться в качестве результата эксперимента по формулам (12), (13), результаты занесем таблицу 8. Таблица 8 – Результаты компьютерного эксперимента и расчетов
Формулы для расчетов:
где l - число параллельных опытов в i -той строке матрицы: k - номер параллельного опыта. 3. Будем использовать полную линейную модель регрессии со взаимодействием (14). В том случае, если наша модель окажется проще, незначимые коэффициенты обратятся в 0, и мы их отбросим, так как будем проводить эксперимент на обезразмеренных величинах.
где θi – параметры модели; Xi – факторы (независимые переменные); Yi – отклик. 4. Для упрощения обработки результатов эксперимента, производим кодирование значений факторов по выражению (15):
где
То есть кодированные значения факторов равны: X* 1 =1- max, X* 1 = -1 – min; X* 2 = 1 – max, X* 2 = -1- min; X* 3 = 1 - max, X* 3 = -1 - min. Таким образом, значения факторов: Х1 min =0 °С, Х1 max =40 °С Х2 min =0,5 атм., Х2 max =1,5 атм. Х3 min =0,1, Х3 max =1,0
В результате такого кодирования получаем расширенную матрицу планирования полного факторного эксперимента в безразмерных величинах Строим расширенную матрицу планирования:
5. Построенная матрица планирования является ортогональной, так как выполняются следующие соотношения (16):
6. Определим коэффициенты уравнения регрессии по выражению (17):
Согласно расширенной матрице плана, получим формулы для определения оценки для коэффициентов регрессии: ϴ0
= ϴ1
= ϴ2
= ϴ3
= ϴ4
= ϴ5
= ϴ6
= ϴ7
= 7.
Произведем контроль воспроизводимости результатов исследования, т.е. проверим равноточность измерений. Такая проверка необходима при малом числе опытов, т.к. в этом случае даже одна грубая ошибка может сильно исказить результаты. Проверка воспроизводимости производится с помощью критерия Кохрена, согласно которому, если имеются дисперсии по строкам и имеется их сумма
Сформулируем и проверим гипотезу об однородности дисперсий. Н0 : G < Gкрит , дисперсии однородные, Н1 :G > Gкрит , дисперсии неоднородные. По таблице значений критерия Кохрена для уровня значимости 0,05 найдем Gкр
для числа степеней свободы Так как G=0,330827 < Gкрит =0,391, можно сделать вывод, что опыты равноточные и дисперсии однородные, гипотеза Н0 принимается. 8. Определим оценки коэффициентов регрессии по формулам, полученным в п.6: ϴ0
= ϴ1
= ϴ2
= ϴ3
= ϴ4
= ϴ5
= ϴ6
= ϴ7
= 9.
Произведем оценку дисперсии воспроизводимости по формуле (18):
Определим дисперсию воспроизводимости для среднего значения отклика по формуле Определим среднеквадратичное отклонение 10. Произведем оценку значимости коэффициентов. Сформулируем гипотезу: Н0 : ϴi = 0 - коэффициент ϴi незначим; Н1 : ϴi ≠ 0 - коэффициент ϴi значим. Для проверки используется критерий Стьюдента t при уровне значимости 1-α/2 (α выбирается равным 0,05) и числе степеней свободы ν = = n(l -1) = 8·(5-1) = 32. Для ортогонального планирования, оценки дисперсии коэффициентов уравнения регрессии равны между собой и определяются по формуле (19):
Коэффициент уравнения статистически значим, если
Коэффициенты, признанные незначимыми (Θ5 и Θ7 ), приравняем к 0. Так как при ортогональном планировании коэффициенты уравнения регрессии оцениваются независимо друг от друга, то мы можем не производить пересчет коэффициентов и не проверять их значимость заново, а просто откинуть незначимые коэффициенты. Статистическая незначимость некоторых коэффициентов может быть вызвана следующими причинами: 1. Большая ошибка эксперимента из-за наличия неуправляемых и неконтролируемых переменных. 2. Данный фактор или взаимодействие факторов действительно не оказывают существенного влияния на значение параметра отклика у. Отбросив (приравняв к нулю) незначимые коэффициенты, получим уравнение связи между откликом у и факторами хi : y = f(x1 , x2 , x3 ) = ϴ0 + ϴ1 ·x1 + ϴ2 ·x2 + ϴ3 ·x3 + ϴ4 ·x1 ·x2 + ϴ6 ·x2 ·x3 + ε. 11. Оценим адекватность математической модели. Для проверки адекватности полученной математической модели производится оценка дисперсии адекватности:
где в = 6 - число значимых коэффициентов в уравнении; n = 8 - число опытов. Найдем = ϴ0 + ϴ1 + ϴ2 + ϴ3 + ϴ4 + ϴ6 = 241,29947. = ϴ0 - ϴ1 + ϴ2 + ϴ3 - ϴ4 + ϴ6 = 10,70687. = ϴ0 + ϴ1 - ϴ2 + ϴ3 - ϴ4 - ϴ6 = 140,3821. = ϴ0 - ϴ1 - ϴ2 + ϴ3 + ϴ4 - ϴ6 = 12,4347. = ϴ0 + ϴ1 + ϴ2 - ϴ3 + ϴ4 - ϴ6 = 233,3867. = ϴ0 - ϴ1 + ϴ2 - ϴ3 - ϴ4 - ϴ6 = 2,79413. = ϴ0 + ϴ1 - ϴ2 - ϴ3 - ϴ4 + ϴ6 = 128,9781. = ϴ0 - ϴ1 - ϴ2 - ϴ3 + ϴ4 + ϴ6 = 1,03069. Тогда S2 ад = 0,871040685. Сформулируем гипотезу об адекватности модели: Н0 : F крит > F – модель адекватна, Н1 : F крит < F – модель не адекватна. Для проверки гипотезы об адекватности воспользуемся критерием Фишера для выбранного уровня значимости α=0,05 и числа степеней свободы числителя при в = 6 и n = 8, F крит (0,05; 2; 32) = 3,295. Вычислим расчетное значение критерия Фишера по формуле:
Сравнив рассчитанное и критическое значения критерия Фишера, получим Fкрит > F, следовательно, данная модель является адекватной, принимаем гипотезу Н0 . 12.
Запишем модель в размерном виде для всех значимых коэффициентов. Для того чтобы перевести модель в размерный вид необходимо перейти от безразмерных величин к размерным величинам для этого формулу y=
Рассчитаем новые коэффициенты: Θ0Р = -1,3119 ≈ -1,31; Θ1Р = 1,9156 ≈ 1,92; Θ2Р = 2,1512 ≈ 2,15; Θ3Р = 14,6108 ≈ 14,61; Θ4Р = 2,56613 ≈ 2,57; Θ6Р = -3,8793 ≈ -3,88. Запишем математическую модель в окончательном виде: y = -1,31 + 1,92·x1 + 2,15·x2 + 14,61·x3 + 2,57·x1 ·x2 - 3,88·x2 ·x3 . 13. Анализ робастности регрессионной модели. Под анализом робастности понимается выяснение практической возможности полученной регрессионной модели. Определяем коэффициент детерминации, который показывает долю общего рассеяния относительно среднего, обусловленного регрессионной зависимостью (20):
где
i – количество опытов при каждом уровне фактора; j – количество повторов в каждом опыте. R2 = 0,999995357. Модель считается работоспособной, если R2 > 0,75. Таким образом, полученную регрессионную модель y = -1,31 + 1,92·x1 + 2,15·x2 + 14,61·x3 + 2,57·x1 ·x2 - 3,88·x2 ·x3 можно считать работоспособной, так как R2 =0,999995357> 0,75. Заключение В результате проделанной работы мы познакомились с основными математическими статистическими методами планирования эксперимента, а также с методами анализа законов распределения вероятностей случайных величин. На первоначальном этапе была собрана априорная информация, необходимая для дальнейшего исследования, было выдвинуто предположение о виде закона распределения случайной величины и проведено доказательство данного предположения, были определены оценки параметров данного распределения. Во второй части работы выяснялась зависимость между факторами, действующими на исследуемую величину, и изменение этой величины. Для предвидения влияния определенных факторов используется полный факторный эксперимент для построения регрессионной математической модели. Эта модель позволяет нормировать измерения вне зависимости от влияющих факторов или указывает на влияющее воздействие, которое необходимо устранить. Несмотря на простоту методов, они представляют собой мощный механизм повышения качества продукции и могут использоваться для решения весьма обширного круга задач, когда приходится принимать решения в условиях действия многочисленных влияющих на процесс факторов. Преимущество простых статистических методов здесь выражается в том, что появляется возможность проведения корректировки производственного процесса еще тогда, когда в нем возникают некоторые отклонения, которые еще не приводят к браку, но уже создают угрозу появления дефектной продукции. Такое управление качеством процессов, называемое управлением по отклонениям, неизмеримо эффективнее, чем применяемый в настоящее время контроль качества продукции по результатам, при котором контролируется не процесс, а продукция на разных стадиях ее изготовления путем применения либо сплошного, либо выборочного статистического контроля. Список использованной литературы 1. Кобзарь А. И. Прикладная математическая статистика. Для инженеров и научных работников. - М.: ФИЗМАТЛИТ, 2006. - 816 с. - ISBN 5-9221-0707-0. 2. ГОСТ Р ИСО 5479-2002 «Статистические методы. Проверка отклонения распределения вероятностей от нормального распределения». 3. ГОСТ Р 50779.21–2004 (ИСО 2854:1976) «Статистические методы. Правила определения и методы расчета статистических характеристик по выборочным данным». 4. Козлов М. В., Прохоров А. В. Введение в математическую статистику. – М.: Изд-во МГУ, 1987. - 264 с. Приложение А Выборка случайных величин (n=500)
Приложение Б Выборка случайных величин (n=30)
|
|||||||||||||||||||||||||||||||||||||||||||||||||||||||||||||||||||||||||||||||||||||||||||||||||||||||||||||||||||||||||||||||||||||||||||||||||||||||||||||||||||||||||||||||||||||||||||||||||||||||||||||||||||||||||||||||||||||||||||||||||||||||||||||||||||||||||||||||||||||||||||||||||||||||||||||||||||||||||||||||||||||||||||||||||||||||||||||||||||||||||||||||||||||||||||||||||||||||||||||||||||||||||||||||||||||||||||||||||||||||||||||||||||||||||||||||||||||||||||||||||||||||||||||||||||||||||||||||||||||||||||||||||||||||||||||||||||||||||||||||||||||||||||||||||||||||||||||||||||||||||||||||||||||||||||||||||||||||||||||||||||||||||||||||||||||||||||||||||||||||||||||||||||||||||||||||||||||||||||||||||||||||||||||||||||||||||||||||||||||||||||||||||||||||||||||||||||||||||||||||||||||||||||||||||||||||||||||||||||||||||||||||||||||||||||||||||||||||||||||||||||||||||||||||||||||||||||||||||||||||||||||||||||||||||||||||||||||||||||||||||||||||||||


(2)

(4), (5)
= 0,59782. Из таблицы 2 имеем
(6)
(7)
; 11,4284 < в < 45,5839.
24,92138
или
,
(10)
. (11)

, (12), (13)
, (15)

(16)
. (17)
, то для проверки равноточности необходимо выбрать самую большую из построчных дисперсий 
(20)