Реферат: Программирование Рascal
|
Название: Программирование Рascal Раздел: Рефераты по информатике Тип: реферат |
Вариант 2 Задания 1. Дано c, d. Вычислить 2. Дано a. Вычислить значение функции
где 3. В заданном одномерном массиве количество положительных элементов, равных первому положительному элементу. Если такие элементы в массиве есть, то вычислить сумму положительных элементов, рассматривая массив с конца. Если таких элементов нет, то напечатать об этом сообщение. 1
Блок-схема
Программа program v2_1; uses crt; var c,d,x,y,z:real; BEGIN clrscr; writeln('vvedite c'); readln(c); writeln('vvedite d'); readln(d); y:=exp(d)+sin(c/(1+sqrt(d*d+1)))/cos(c/(1+sqrt(d*d+1))); if y>0 then begin z:=c*y+d*y+c*d; writeln('z= ',z:5:2); end; if y=0 then writeln('y=0'); if y<0 then begin x:=arctan(y/sqrt(1-y*y))+sin(d/2)/cos(d/2); writeln('x= ',x:5:2); end; readln; END. Тестовый пример
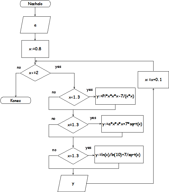
2 Блок-схема
Программа program v2_2; uses crt; var x,y,a:real; BEGIN clrscr; writeln('vvedite a'); readln(a); x:=0.8; while x<=2 do begin if x<1.3 then y:=Pi*x*x*x-7/(x*x); if x=1.3 then y:=a*x*x*x+7*sqrt(x); if x>1.3 then y:=ln(x)/ln(10)+7/sqrt(x); if y>0 then writeln('y= ',y:5:2); x:=x+0.1; end; readln; END. Тестовый пример
3 Блок-схема
Программа program v2_3; uses crt; var r:array [1..60] of integer; i,n,k,l,m,sum :integer; BEGIN clrscr; writeln('vvedite N<=60'); readln(n); m:=0; k:=0; for i:=1 to n do begin writeln('vvedite ',i,' element'); readln(r[i]); if (r[i]=l)and(m=1) then k:=k+1; if (r[i]>0)and(m=0) then begin l:=r[i]; m:=1; end; end; if k=0 then writeln('net elementov ravnyh 1 polozhitelnomy elementu') else begin sum:=0; for i:=n downto 1 do begin if r[i]>0 then sum:=sum+r[i]; end; writeln('summa polozhitelnyh elementov ravna ',sum); end; readln; END. Тестовый пример
|



