Размещение сельского хозяйства — «изолированное государство» И.Тюнена
В 1826 г. вышло первое издание книги «Изолированное государство в его отношении к сельскому хозяйству и национальной экономике. Исследование о влиянии хлебных цен, богатства почвы и накладных расходов на земледелие» Иоганна Генриха фон Тюнена из Теллова в Мекленбурге. Уже при жизни автора она выдержала несколько изданий, а в дальнейшем составила ядро целой исследовательской программы, но не столько в агрономии или экономики сельского хозяйства, сколько в экономической географии и региональной экономике.
Лучше всего суть и новизна теоретического подхода Тюнена отражена уже в первых двух параграфах его книги. Приведем их перевод:
§ 1. Предпосылки
Представьте себе очень большой город, расположенный посередине плодородной равнины, не прорезанной никакими судоходными реками и каналами.
Пусть эта равнина имеет совершенно одинаковую почву, везде одинаково удобную для обработки, и пусть на большом расстоянии от города она переходит в девственные пространства, которые отделяют все государство от остального мира.
На равнине нет других городов, кроме упомянутого единственного большого города, на который падает обязанность снабжать всю страну продуктами промышленного производства и который, в свою очередь, получает продукты питания исключительно от окружающей его равнины.
Копи и солеварни, которые удовлетворяют все потребности государства в металлах и соли, мы мыслим себе лежащими также вблизи этого центрального города, который мы в дальнейшем будем называть просто городом, так как он является единственным.
§ 2. Задача
Поставим себе вопрос: какие формы примет при установленных предпосылках сельское хозяйство и как будет отражаться на нем большее или меньшее расстояние от города, если это хозяйство будет вестись вполне рационально?
Понятно, что вблизи города должны производиться такие продукты, которые имеют значительный по отношению к своей стоимости вес или объем: доставка их в город благодаря этому настолько дорога, что их нельзя привозить из отдаленных местностей; здесь же должны производиться и скоропортящиеся продукты, которые потребляются только в свежем виде.
По мере удаления от города земля будет все более и более отводиться под такие продукты, провоз которых дешевле по отношению к их стоимости.
На основании этих расчетов вокруг города образуются более или менее резко разграниченные концентрические круги, в которых те или иные растения будут главными предметами производства.
Но специализация на возделывании какого-либо растения определяет и всю форму хозяйства, и мы увидим поэтому в различных поясах совершенно различные системы хозяйства.Уже сам Тюнен утверждал, что понятие «изолированное государство» для него не более как аппарат, как орудие познания. А для нас самое существенное, что Тюнен фактически впервые ввел в теорию размещения общенаучные представления об «идеальном объекте», «экономическом пространстве», его свойствах (прежде всего однородности, или изотропности), зональных (поясных) структурах, градиентах цен и рентных платежей, факторах размещения и экономическом расстоянии. Все это вошло в понятийно-терминологический аппарат общей теории размещения любых видов деятельности.
Среди неявных предпосылок теории Тюнена отметим предположение об экономическом равновесии, т.е. равенстве спроса и предложения в экономической системе «изолированного государства». Это предположение играет важную роль в формировании территориальной структуры хозяйства и его функционировании, включая механизмы ценообразования, издержек и земельной ренты.
Все явные и неявные предпосылки и допущения в теории размещения сельского хозяйства, по Тюнену, служат одной цели: четко определить роль основных факторов размещения и взаимосвязи между ними.
Основное внимание в теории Тюнена уделено трем главным факторам и их взаимосвязям:
1) расстоянию от хозяйства до города (рынка сбыта);
2) ценам на различные виды сельскохозяйственной продукции;
3) земельной ренте.
Взаимосвязи между двумя первыми факторами выражены крайне просто: цена, получаемая за единицу товара, равна рыночной цене минус транспортные издержки, связанные с перевозкой товара на рынок. Поскольку транспортные издержки увеличиваются с ростом расстояния от рынка, постольку любой данный продукт, например пуд ржи, представляет большую ценность при возделывании в зоне, расположенной в 3 км от города, чем в зоне, удаленной на 30 км.
Третий фактор — земельная рента — определен как отдача на капиталовложения в земельные ресурсы. В «изолированном государстве» земельная рента зависит от географического положения участка земли относительно рынка сбыта продукции. Легче всего это объяснить на примере роста населения в «государстве». Когда город был невелик, требовалось немного земель вокруг него для обеспечения жителей сельскохозяйственной продукцией. Город рос, и пропорционально возрастал спрос на эту продукцию, что требовало вовлечения в сельскохозяйственный оборот новых земель, расположенных на большем расстоянии от города. В результате росли и транспортные издержки, и, следовательно, должны были расти и цены на продукцию более удаленных земель. В выигрыше оставались хозяева близлежащих земель, которые получали дополнительную прибыль за счет разницы между поднявшимися ценами и меньшими транспортными издержками. Эта разница и определила величину ренты, а также возросшую привлекательность и ценность близлежащих земель. При дальнейшем росте населения города в оборот будут вовлечены земли еще более удаленной зоны, что повлечет новый рост цен. Соответственно увеличится рента на участках первой зоны и появится рента на участок второй по времени освоения зоны. В политической экономии этот вид земельной ренты носит название дифференциальная рента I по местоположению.
В ее размерах обычно учитывается и качество земель, а в дифференциальной ренте II — отдача на дополнительные капиталовложения.
Введение в теорию дифференциальной ренты I позволяет связать воедино все три фактора и выявить в аналитической форме общую закономерность возникновения зон разной специализации.
Опишем механизм зонирования в теории Тюнена, по Е.Данну. Взаиморасположение зон задается формулой:
R = Y (Р — С) — YD(f),
где R —
дифференциальная рента I по местоположению (в долл./l км2
); Y —
урожайность (в т/км2
); Р —
цена продукта; С —
производственные издержки на единицу продукции (в долл./l т продукции);D
—
расстояние от центрального рынка (в км); F
—
транспортные издержки (в долл./ткм).
При таких размерностях в уравнении ренты при Y =
1000 т/км2
, Р =
100 долл./т, С
= 50 долл./т и F
= 1 долл./ткм величина ренты (R)
должна составить: в центре города 50 тыс. долл./км2
, на расстоянии 10 км от него — 40 тыс. долл./км2
, 20 км — только 30 тыс. долл./км2
. На расстоянии 50 км и более от центра города производство данной культуры будет убыточно. Конкурентоспособность двух культурi
и j
на одной и той же территории зависит от их урожайности Y
и относительной доходности (Р — С).
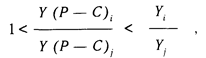
Когда для двух культур i и j оказывается справедливым условие

то они образуют две пространственно отграниченные зоны; культура i
преобладает в круговой зоне, прилегающей к городу, а культура / занимает кольцевидную зону с внешней ее стороны.
Иное соотношение членов в приведенном неравенстве приведет либо к обратной картине размещения этих культур, когда культура / займет внутреннее кольцо, либо к полному вытеснению одной культуры другой на всех доступных для нее землях, либо к выращиванию обеих культур в одной и той же зоне, «бок о бок», без какой-либо пространственной дифференциации на зоны.
В границах «изолированного государства» пространственная дифференциация в использовании земель и сельскохозяйственном производстве стала результатом действия трех факторов:
1) номенклатуры и объемов аграрного производства, требуемых городом;
2) технологии аграрного производства и перевозок готовой продукции;
3) стремления каждого производителя к максимизации земельной ренты путем производства таких видов продукции, для которых положение его земель относительно рынка сбыта наиболее выгодно.
Взаимодействие этих факторов привело к образованию классических колец (зон, поясов), изображенных на рис. 4.

Рис. 4. Использование земель в «изолированном государстве»:
0 — город; 1 — огородничество и садоводство; 2 — лесное хозяйство;
3 — плодосменное хозяйство; 4 — выгонное хозяйство; 5 — трехпольная система; 6 — экстенсивное скотоводствоЭта исходная схема зонирования территории была рассчитана Тюненом на основе теоретических предпосылок и огромного объема фактической информации, которую он многие годы скрупулезно собирал, ведя реальное хозяйство в имении Теллов (Мекленбург) и поставляя продукцию в город Росток. Именно записи о потребностях рынка, ценах, урожайности, производственных и транспортных издержках легли в основу конкретных расчетов, облегших плотью теоретические построения.
Кроме описанных предпосылок, следует учесть, что в первой из четырех теоретических схем, приведенных в работе Тюнена, все перевозки сельскохозяйственной продукции в город совершаются одним видом транспорта — гужевым. Лошадь и телега принадлежат сельским хозяйствам и перевозка идет за их счет. Нет ни системы множественных тарифов, зависящих от характера грузов, ни транзитных рефрижераторов, ни других, ставших привычными для нас видов транспорта.
Итак, в ближайшей к городу зоне наиболее выгодно садоводство и огородничество в сочетании с молочным животноводством при стойловом содержании скота круглый год. Почвенное плодородие поддерживается за счет усиленного удобрения. Основная причина формирования и стабильности зоны — близость к городу и техника перевозки. При низких скоростях гужевого транспорта и отсутствии холодильников производство свежего молока, овощей и фруктов будет давать наибольшую прибыль в условиях достаточного спроса городского рынка.
Вторая зона будет занята лесным хозяйством, поставляющим в город дрова — главный энергоноситель и деловую древесину. Тюнен детально обосновал эмпирическими данными, что лесное хозяйство дает наибольшую ренту в этом поясе по сравнению с другими видами землепользования. Приведем в сжатой и упрощенной форме его аргументацию.
Общее производство дров и деловой древесины с 1 га будет весьма велико; предположим, что этот объем будет в 3 раза больше, чем производство культуры Д. Учтем также предположение, что для каждой культуры производственные затраты и урожайность остаются одними и теми же для любой зоны «изолированного государства».
-

Рис. 5. Конкуренция за земельные участки второй зоны
График (рис. 5) иллюстрирует конкуренцию за использование земель между лесным хозяйством (жирная линия) и культурой Д
(тонкая линия). Горизонтальные прерывистые линии отражают стоимость продукции с одного гектара в рыночных ценах (YР
);
точечные горизонтальные линии отражают производственные издержки на 1 га (С).
Сплошные наклонные линии (YР
— YD(F))
отражают производство на 1 га в рыночных ценах минус транспортные издержки, т.е. стоимость каждого вида продукции на месте производства. Очевидно, что оценки этих стоимостей будут уменьшаться с увеличением расстояния до рынка. В нашем примере темп уменьшения стоимости продукции будет втрое выше для лесного хозяйства, чем для культуры Д.
Все землевладельцы в «изолированном государстве» предпочтут тот вид землепользования, который даст им наивысшую земельную ренту. График ясно показывает, что использование земель под лес даст более высокую ренту в диапазоне расстояний от 0 до К2
.
Далее рента будет выше для культуры Д.
Следовательно, дрова и деловая древесина будут производиться ближе к рынку, чем культура Д.
Из этих примеров не следует делать вывод, что размещение производства, дающего больший удельный выход продукции в рыночных ценах, будет всегда определяться его относительной близостью к рынку. Подобное утверждение содержится в книге Тюнена, однако оно справедливо только для условий, когда конкурирующие культуры равно устойчивы к порче во время перевозки на рынок и более высокие издержки на перевозку большего количества грузов не компенсируются снижением тарифов на перевозки или уменьшением производственных издержек.
В модели Тюнена издержки на производство дров и деловой древесины одинаковы для всего «изолированного государства». Однако это положение не распространяется на все культуры. В базовой схеме зонирования вслед за зоной лесного хозяйства следуют три зоны, в которых рожь является важным рыночным продуктом. Существенные различия между этими зонами определяются интенсивностью земледелия. С ростом расстояния от города снижаются производственные затраты на возделывание ржи, что приводит к соответствующему снижению урожайности.
В первой из этих трех зон в хозяйствах применяется шестилетний интенсивный севооборот. Рожь занимает треть земель; на остальных землях возделываются картофель, клевер, ячмень и вика. Картофель, как и рожь, идут на рынок. Вика используется для удобрения почвы и как зеленый корм для скота летом. Почвенное плодородие поддерживается с помощью навоза; пары отсутствуют; зимой ведется стойловый откорм скота.
В следующих двух зонах земля используется менее интенсивно. В первой из них применяется семилетний севооборот, в котором рожь занимает только 1/7 земель; за ней следует ячмень (один год), овес (один год), пар (один год), пастбище (три года). Для рынка предназначается рожь и продукция животноводства: масло, сыр и, возможно, живой скот для городских боен. Подобная продукция не столь быстро портится, как свежее молоко и плодоовощная продукция; поэтому ее можно производить в большем удалении от рынка.
Следующая зона — последняя, где ведущую роль играют зерновые — рожь в сочетании с животноводческой продукцией. В этой зоне господствует трехпольный севооборот, один из первых севооборотов, введенных земледельцем в практику сельского хозяйства. Структура севооборота проста: треть земли под рожью, треть под пастбищем, треть под паром.

Рис. 6. Рост производственных издержек на выращивание ржи с увеличением расстояния от рынка
За пределами этих трех зон экстенсивного хозяйства рентабельно только пастбищное животноводство. На рынок идет только животноводческая продукция, а рожь выращивается только для собственных нужд.
На рис. 6 показана связь между производственными затратами на выращивание ржи в зависимости от расстояния до рынка сбыта. Рожь А
(сплошная и прерывистая жирные линии) отражает эту связь по теории Тюнена: производственные издержки и урожайность уменьшаются с удалением от рынка. Рожь В
(тонкие линии) выражает гипотетический случай, когда рожь культивируется вблизи и в удалении от рынка. Тогда с позиции рынка рента на рожь А
и рожь В
была бы одинаковой. Однако со стороны рента уменьшалась бы менее круто для ржи А,
чем для ржи В.
На расстоянии К4
рента для ржи В
достигает нуля, а для ржи А
еще остается положительной величиной. Таким образом, при менее интенсивном возделывании ржи эта культура будет давать большую ренту и с удалением от рынка. Следовательно, рожь сможет конкурировать с другими культурами на более обширных территориях.
И в этом случае не следует абсолютизировать теоретическое положение, вытекающее из приведенной аргументации: интенсивность сельского хозяйства должна уменьшаться с удалением от рынка сбыта. Это общее положение столь же тесно связано с эмпирическим контекстом теории. На рис. 5 производственные затраты на дрова и деловую древесину были намного ниже, чем на продукт Д.
Хотя лесное хозяйство гораздо менее интенсивно, чем сельское хозяйство, оно располагалось ближе к рынку, чем все, кроме первой зоны товарного производства. Даже в случае одной культуры, такой как рожь, теоретическое положение нуждается в уточнении. Сокращение производственных издержек возможно только тогда, когда соответствующее сокращение урожайности не будет столь большим, что сведет на нет выигрыш в этом виде издержек.
Понятно, что уже сам автор теории размещения сельского хозяйства понимал, что исходное построение (рис. 4) нигде не встречается в чистом виде. Поэтому он вводил новые условия, предпосылки и расчеты издержек, цен и расстояний, что отразилось на следующих схемах (рис. 7, 8).
Кроме введения возможностей перевозки по судоходной реке и малого города учитывается предположение, что перевозки по реке обходятся только в 1/10 от издержек на гужевой транспорт.
В результате зона товарного садоводства и огородничества, занимавшая на исходной схеме только узкую полоску вокруг города, теперь значительно расширяется и тянется вдоль реки «изолированного государства». Напротив, пояс экстенсивного скотоводства

Рис. 7. Изменения в структуре использования земель после введения в схему судоходной реки и малого города (специализация и нумерация зон аналогична рис. 4)

Рис. 8. Изменения в структуре использования земель под влиянием изменений цен на хлеб (А)
и доходность земель (В)
отступает назад и совершенно исчезает даже в относительном удалении от реки. Подобное же влияние, по Тюнену, оказывают искусственные дороги. Если такие дороги проложить по равнине во всех направлениях, то расширятся все пояса с более интенсивным сельским хозяйством, но они сохранят свою правильную форму, как на рис. 4.
Зона 7 обозначает область влияния малого города, которая снабжает этот город сельскохозяйственной продукцией и ничего не вывозит в главный город. Это сочетание оказалось важным для дальнейших выводов относительно международной торговли.
Рис. 8 (А
и В
) отражает модификации исходной зональной схемы вследствие изменения цен на рожь в городе «изолированного государства». Тюнен привел детальные расчеты по формулам, где колебания цен в городе увязаны с колебаниями цен в деревне и, следовательно, с размерами ренты, величина которой определяет радиус зон для различных способов ведения хозяйства. Показано также, что величины пошлин и налогов (на ввоз и помол ржи) сократят доходы крестьян и тем самым приведут к сокращению обработанных земель. Эти расчеты наглядно показывают, писал Тюнен, «каким образом высокие налоги могут превратить в пустыню плодородные земли». Эти расчеты помогли ему определить рациональные размеры налогообложения, связанные с ценами на зерно и потребностями рынка.
На рисунке 8, В
показано влияние колебаний урожайности ржи при неизменных ценах на нее. Диапазон колебаний введен от 4 до 10 зерен. Соответственно при заданном спросе размеры зон, т.е. общих посевных площадей с учетом севооборотов и места в них ржи, будет колебаться также в заметном диапазоне.
Сравнение показателей для обеих схем, А
и В
, показывает, что снижение урожайности оказывает еще больше влияния на размеры зон, чем соответствующее понижение цен на хлеб. Так, при низкой урожайности (5 зерен) выгонное хозяйство (зона 4) исчезает вовсе.Теория Тюнена и ее авторские модификации были приложимы к размещению сельского хозяйства в течение его жизни и многие годы спустя. Структуры землепользования вокруг многих европейских и американских городов формировались в своих основных чертах по теории Тюнена, которая во многом и объясняла территориальные структуры и размещение типов хозяйства.
Более того, уже сам Тюнен указывал, что ее положения могут выйти за рамки «изолированного государства» и его единственного города. Например, Тюнен писал, что можно представить малый город с его зоной (рис. 7) и в виде небольшого самостоятельного государства. Но в таком государстве цены на хлеб будут всецело зависеть от цен в главном городе.
«В подобном отношении, — писал Тюнен, — как второстепенные государства к центральному, находятся европейские государства к тому богатому государству, которое может платить самую дорогую цену за хлеб, — к Англии и в особенности к ее главному городу — Лондону.
В европейских государствах, даже если они не ввозят и не вывозят хлеба, цены на него зависят от мирового лондонского рынка, и если это рынок закрыт, то во всей Европе произойдет понижение цен на хлеб».
Естественно, что кардинальные изменения в видах и способах транспортировки сельскохозяйственных грузов, внедрение холодильной техники и других методов сохранения продукции, гибкие шкалы транспортных тарифов и глобализация мировой торговли сельскохозяйственной продукцией внесли множество изменений в исходную модель Тюнена на всех уровнях пространственной иерархии. Однако все это не поколебало непреходящей ценности исходных положений и дедуктивных методов теории. Более того, ее проявления в современном мире нередко выявляются в территориальных структурах, не имеющих прямого отношения к сельскому хозяйству — расселении, рекреации и других видах человеческой деятельности. Механизмы зонирования территории, по Тюнену, приобрели универсальное значение в географической науке и практике.
|