Реферат: Методика анализа конкурента
|
Название: Методика анализа конкурента Раздел: Рефераты по менеджменту Тип: реферат |
| Методика анализа конкурента Конкурентная стратегия предполагает такое позиционирование бизнеса, которое позволит увеличить до максимума его потенциал, что отличит его от конкурентов. Отсюда следует, что центральным аспектом формулирования стратегии является всесторонний анализ конкурента. Задача такого анализа состоит в получении характеристики каждого конкурента с точки зрения изменений стратегии, которые он может предпринять, и его вероятный успехов, его возможных ответных шагов на любые стратегические действия других фирм и любые изменения, возникающие в отрасли и за ее пределами. Тщательный анализ конкурента необходим для получения ответов на следующие вопросы. Кого мы должны выбрать в качестве объекта для борьбы в отрасли и какова должна быть последовательность действий? Каково значение стратегического действия данного конкурента и насколько серьезно нам следует его воспринимать? Чего следует избегать, чтобы не вызвать эмоциональной и резкой реакции конкурента? Несмотря на явную потребность в тщательном анализе конкурента при формулировании стратегии, такой анализ далеко не всегда проводится достаточно четко и всеохватывающе. Этому могут помешать опасные суждения о конкурентах, исходящие от менеджеров: «Систематический анализ конкурентов невозможен», «Мы знаем все о наших конкурентах, потому что сталкиваемся с ними ежедневно». Подобные мнения, как правило, неверны. Другая трудность состоит в том, что всесторонний анализ конкурента требует значительного объема данных, большую часть которых нелегко получить, не приложив значительных усилий. Многие компании не занимаются систематическим сбором информации о конкурентах, а действуют на основе отрывочной информации, неформальных впечатлений, догадок и интуиции. Отсутствие качественной информации чрезвычайно затрудняет анализ конкурента. Анализ конкурентов состоит из четырех диагностических компонентов: будущих целей, текущей стратегии, представлений и потенциальных возможностей*. Понимание этих четырех компонентов позволяет обоснованно прогнозировать характер реакции конкурента на основе ключевых вопросов, приведенных на рис. 3.1. Большинство компаний проводят лишь частичный анализ, позволяющий получить интуитивное представление о текущих вариантах стратегии конкурентов и их преимуществах и слабых сторонах. Значительно меньшее внимание, как правило, уделяется пониманию движущих сил, определяющих поведение конкурента, — его будущих целей и его представлений о собственной позиции и состоянии своей отрасли. Установить эти движущие силы значительно сложнее, чем фактическое поведение конкурента, однако именно они определяют его будущее поведение. Представлена базовая методика анализа конкурента. Каждый компонент анализа, присутствующий на рис. 1, будет рассмотрен в соответствующих разделах с помощью перечня вопросов о конкурентах. Особое внимание будет уделено диагностированию целей конкурентов и представлениям о них. В этих более тонких областях анализа важно не ограничиваться простой констатацией и предложить некоторые методы определения реальных целей и представлений о конкурентах. Обсудив компоненты анализа конкурента, мы постараемся объяснить, как с помощью этих компонентов получить ответы на вопросы, приведенные на рис. 3.1. В заключение, учитывая важную роль достоверной информации в анализе конкурента, я кратко представлю способы сбора и анализа данных о конкурентах. Несмотря на то что обсуждаемые здесь методика и вопросы сформулированы в отношении конкурентов, те же приемы могут быть применены к самоанализу. Те же подходы дают компании возможность определить собственную позицию по отношению к внешней среде. Кроме того, применение этой методики может помочь компании в понимании того, какие выводы ее конкуренты могут сделать о ней самой. Это также является частью глубокого анализа конкурента, поскольку выводы конкурентов влияют на их представления и поведение и играют важную роль в разработке конкурентных действий.
Компоненты анализа конкурента Прежде чем обсуждать каждый компонент анализа, важно определить, каких именно конкурентов необходимо исследовать. Ясно, что анализу должны быть подвергнуты все важнейшие действующие конкуренты. Однако интерес может представить также анализ потенциальных конкурентов, способных появиться на сцене. Прогнозирование потенциальных конкурентов—достаточ-но сложная задача. Нередко их можно обнаружить среди следующих групп: • фирм, не принадлежащих к данной отрасли, но способных преодолеть барьеры для вхождения в нее с наименьшими затратами; • фирм, для которых вхождение в отрасль сулит очевидный синергетический эффект; • фирм, для которых конкуренция в новой отрасли является очевидным продолжением их корпоративной стратегии; • потребителей или поставщиков, способных осуществить вертикальную интеграцию предшествующих или последующих стадий производства. Другим потенциально полезным приемом является попытка прогнозирования вероятных слияний и поглощений как среди действующих конкурентов, так и потенциальных участников. Слияние может моментально превратить слабого конкурента в сильного или еще более усилить мощного конкурента. Прогнозирование фирм, способных осуществить поглощение, следует той же логике, что и прогнозирование потенциальных вхождений в отрасль. Прогнозирование фирм внутри отрасли, являющихся потенциальными объектами слияния, может быть основано, в частности, на анализе складывающейся ситуации в их структуре собственности, их способности адаптироваться к явлениям, происходящим в отрасли» и потенциальной привлекательности отрасли для развертывания в ней операций. Будущие цели Первый компонент анализа— диагностирование целей конкурентов - - важен по многим причинам. Знание целей позволяет выявить степень удовлетворенности конкурентов их текущей позицией и финансовыми результатами и тем самым определить вероятность изменения ими стратегии и характер реакции на внешние события или действия других фирм. Например, фирма, придающая большое значение стабильному росту объема продаж, может совершенно иначе отреагировать на спад деловой активности или рост доли рынка другой компании, чем фирма, ставящая на первое место окупаемость капиталовложений. Знание целей конкурентов поможет также предвидеть их реакцию на стратегические изменения. Одни стратегические изменения будут угрожать конкуренту в большей степени, чем другие, в зависимости от его целей и воздействия, оказываемого на него со стороны материнской компании. Этот масштаб угрозы будет определять вероятность противодействия. Наконец, диагностирование целей конкурента помогает интерпретировать серьезность его намерений. Стратегические действия, предпринимаемые конкурентом для достижения какой-либо из его главных целей или приведения результата в соответствие с ключевым целевым показателем, не являются случайными. Таким же образом диагностирование целей конкурента поможет определить, будет ли материнская компания оказывать серьезную поддержку инициативе какой-либо своей бизнес-единицы или ее сопротивлению действиям со стороны конкурентов. Хотя чаще всего обращают внимание на финансовые цели, всесторонний анализ целей конкурента, как правило, должен охватывать многие другие факторы качественного характера. Среди них — цели, формулируемые в показателях рыночной позиции, технологического лидерства, социальных результатов и т.п. Диагностирование целей должно также распространяться на различные уровни управления. Существуют общекорпоративные цели, цели бизнес-единицы и даже цели, поставленные перед отдельными функциями управления и ключевыми менеджерами. Цели вышестоящих уровней играют важную роль, но не определяют полностью цели нижестоящих уровней. Приведенные ниже диагностические вопросы помогают определить текущие и будущие цели конкурента. Мы начинаем с анализа бизнес-единицы или отделения фирмы, который в ряде случаев будет равнозначен анализу, охватывающему предприятие конкурента в целом. Затем мы рассмотрим влияние, оказываемое материнской компанией на цели подразделения в рамках многоотраслевой компании. Цели бизнес-единицы
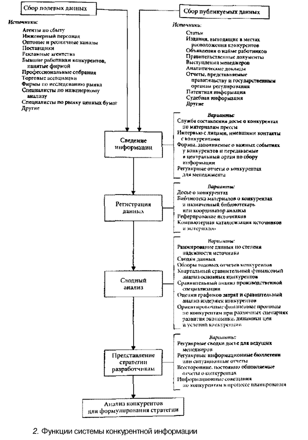
1. Каковы заявленные и незаявленные финансовые цели конкурента? На каких основаниях конкурент делает выбор, неизбежный при постановке целей: например, определяет соотношение между долгосрочными и краткосрочными целями? Между прибыльностью и ростом оборотов? Между развитием производства и регулярной выплатой дивидендов? 2. Каково отношение конкурента к принятию риска7 . Коль скоро финансовые показатели включают уровень прибыльности, рыночную позицию, темпы роста и приемлемый уровень риска, как конкурент сможет сбалансировать эти факторы? 3. Имеет ли конкурент экономические или неэкономические организационные ценности и установки, как разделяемые большинством работников, так и присущие высшему руководству, которые оказывают существенное влияние на цели? Стремится ли он стать лидером рынка? Фигурой, определяющей политику отрасли? Независимо действующим индивидуалистом? Технологическим лидером? Имеет ли он традиции или прошлый опыт проведения определенной стратегии или политики в той или иной функциональной области, организационно оформленной в виде целей? Строгие принципы в отношении дизайна или качества продукции? Предпочтения в месторасположении? 4. Какова организационная структура конкурента? Как в данной структуре закрепляются ответственность и полномочия по таким ключевым решениям, как размещение ресурсов, ценообразование, изменения продукции? Организационная структура конкурента дает некоторые представления об относительном статусе различных функциональных сфер, способах координации и направлениях, считающихся стратегически важными. Например, если отдел сбыта возглавляет старший вице-президент, который подчиняется непосредственно президенту фирмы, а производством руководит менеджер, подчиняющийся вице-президенту, это указывает на то, что функции сбыта придается большее значение, чем производству. Знание того, как распределяется ответственность за решения, дает ключ к прогнозированию возможных воздействий на эти решения со стороны высшего руководства. 5. Какие применяются системы контроля и стимулирования7 . Как определяется вознаграждение высшего управленческого персонала? Как оплачивается труд работников системы сбыта? Владеют ли менеджеры акциями? Существует ли система отсроченных компенсаций? Какие показатели деятельности отслеживаются регулярно? С какой периодичностью? Все эти сведения, как бы ни было трудно их получить, дают важные нити к пониманию того, что конкурент считает важным и как его менеджеры будут реагировать на события с учетом их стимулов. 6. Каковы применяемые система учета и учетная политика конкурента? Как проводится оценка материальных запасов? Распределяются издержки? Как учитывается инфляция? Подобные проблемы в области учета могут оказывать существенное влияние на восприятие конкурентом его результатов деятельности, уровня издержек, способов ценообразования и т.д. 7. Какие менеджеры занимают руководящие посты в исследуемой фирме, в особенности пост управляющего высшего ранга? Каковы их образование и опыт*? Кто из более молодого поколения менеджеров выглядит перспективным по уровню вознаграждения и специалистом какой области он является? Существуют ли в привлечении работников в компанию со стороны какие-либо закономерности, указывающие на возможные направления ее развития? Например, компания Bic Pen проводит явную политику привлечения кадров из других отраслей, так как намерена перейти к нетрадиционной стратегии. Есть ли вероятность отставок и увольнений среди руководителей? 8. Существует ли очевидное единство среди менеджеров по вопросам о будущих направлениях? Существуют ли группировки менеджеров, выступающих за различные цели? Если да, то это может привести к внезапным изменениям стратегии при смене власти. Напротив, единодушие может вести к большой степени устойчивости и даже неуступчивости перед лицом неприятностей. 9. Каков состав совета директоров? Имеет ли он достаточное число внешних членов для осуществления эффективной независимой оценки? Какие именно внешние члены входят в совет, каковы их послужной список и связи с компанией? Как они управляют своими фирмами или чьи интересы представляют? Состав совета директоров может нести информацию об ориентации компании, ее отношении к риску и даже о наиболее вероятных подходах к стратегии. 10. Какие контрактные обязательства могут ограничивать свободу действий компании? Имеются ли какие-либо долговые обязательства, способные оказать лимитирующее влияние на возможный выбор целей? Ограничения по условиям лицензирования или соглашений о совместных предприятиях? 11. Имеются ли какие-либо нормы регулирования, антимонопольного законодательства или другие государственные или социальные ограничения поведения фирмы в ответ на действия более мелкого конкурента или при попытке захватить более значительную долю рынка? Имел ли конкурент какие-либо проблемы с антимонопольным законодательством в прошлом? В чем они состояли? Приходилось ли ему заключать мировые соглашения? Подобные ограничения или даже просто опыт, с которым сталкивалась фирма, способны влиять на ее чувствительность в сторону воздержания от ответных действий на стратегические события до тех пор, пока не возникнет существенная угроза ее бизнесу. В результате таких ограничений может возникнуть благоприятная возможность для фирмы, стремящейся отобрать у лидера отрасли некоторую незначительную долю рышка. Цели материнской компании и бизнес-единицы Если конкурент является бизнес-единицей более крупной материнской компании, то эта компания, как правило, накладывает определенные ограничения или выдвигает требования к ее функционированию, которые имеют большое значение для прогнозирования поведения этой единицы. В этом случае в дополнение к приведенным ранее вопросам необходимо задать также следующие: 1. Каковы текущие результаты хозяйственной деятельности материнской компании? В первом приближении это указывает цели материнской компании, которые могут быть трансформированы в целевые показатели доли рынка, ценовые решения, задания по освоению новой продукции и т.д. для производственной единицы. Подразделение, работающее хуже, чем компания в целом, обыгчно испытывает давление с ее стороны. Бизнес-единица, демонстрирующая длительное улучшение финансовых результатов, вряд ли станет объектом решений, способных повредить этим успехам. 2. Каковы общие цели материнской компании? Какие вероятные задачи могут быть возложены на бизнес-единицу с этой точки зрения? 3. Какое стратегическое значение придает компания данному подразделению с учетом ее общей корпоративной стратегии? Рассматривает ли компания данный бизнес как «базовый» или как периферию своих операций? Какое место занимает этот бизнес в портфеле операций компании? Рассматривается ли он как растущая сфера и одна из основ будущего компании или как зрелый и стабильный источник денежных средств? Стратегическое значение подразделения будет оказывать большое влияние на его цели. 4. Почему материнская компания стала заниматься этим бизнесом? Данный фактор даст дальнейшие указания относительно места, занимаемого данным бизнесом в компании, и возможного давления с ее стороны на его стратегические позиции и поведение. 5. Каковы экономические связи между данным подразделением и другими производственными единицами компании? Какое значение имеют эти связи с точки зрения специфических требований, которые компания может выдвинуть перед подразделением, по сравнению с теми условиями, в которых оно могло бы работать, будучи самостоятельной компанией? Например, совместное использование мощностей может означать, что от подразделения требуется покрывать накладные расходы или утилизировать избыточные мощности, возникающие в других подразделениях. Или если данное подразделение обслуживает другую единицу, компания может не ставить ему задач по прибыли. Взаимосвязи с другими подразделениями компании могут также предполагать перекрестное субсидирование в том или ином направлении. 6. Каковы общекорпоративные ценности и установки высших менеджеров? Стремятся ли они к технологическому лидерству всех своих подразделений? Стремятся ли они к стабильности производства и отсутствию увольнений при определении политики отношений с профсоюзами*? Такого рода общекорпоративные ценности и установки, как правило, оказывают влияние и на бизнес-единицу. 7. Проводит ли компания какую-либо базовую стратегию в ряде различных подразделений и есть ли вероятность ее применения в данном подразделении? Например, Bic Pen использовала стратегию низкозатратного и стандартизированного массового производства письменных принадлежностей, зажигалок, колготок и бритв в сочетании с массированной рекламой. Haynes Corporation осваивает единую стратегию в таких различных видах бизнеса, как производство колготок, косметических товаров, мужского белья и носков. 8. Учитывая функционирование и потребности других подразделений компании и общую стратегию, какие задачи в области сбыта, прибыльности и ограничения на капиталовложения могут существовать для конкурирующего подразделения? Сможет ли оно успешно конкурировать с другими подразделениями в рамках своей корпорации за капиталовложения согласно поставленным ему целям? Достаточны ли фактические или потенциальные масштабы данного подразделения для привлечения внимания и поддержки материнской компании или же оно будет предоставлено самому себе? Каковы инвестиционные потребности в капитале у других подразделений компании? Какие суммы могут быть выделены данному подразделению, если учитывать любые доступные сведения о приоритетах компании в отношении различных ее подразделений, а также об объеме финансовых средств, остающихся после выплаты дивидендов? 9. Каковы планы материнской компании в отношении диверсификации? Планирует ли она диверсификацию в другие сферы, требующие капиталовложений или указывающие на перспективную значимость данного подразделения? Двигается ли компания в направлениях, способных придать импульс развитию подразделения за счет синергетического эффекта? Например, компания Reynolds недавно приобрела фирму Del Monte, развитая система сбыта которой должна способствовать расширению производства продовольственных товаров первой. 10. Какие выводы относительно статуса, позиции и целей подразделения в рамках компании можно сделать на основании его организационной структуры? Подчинено ли подразделение непосредственно высшему управляющему или влиятельному вице-президенту или оно является составной частью более крупного организационного подразделения? Поставлен ли во главе подразделения перспективный руководитель или менеджер предпенсионного возраста? Организационные взаимоотношения также дают нить к пониманию реальной или вероятной стратегии. Например, если несколько отделений, выпускающих электротехническую продукцию, объединены под руководством генерального директора, управляющего группой электротехнического производства, вероятность существования скоординированной стратегии значительно выше, чем при структуре независимых отделений, особенно если управляющим для них назначен влиятельный топ-менеджер. Важно отметить, что информация, извлекаемая из организационных взаимоотношений, для подтверждения ее достоверности должна сочетаться с другими индикаторами, так как эти взаимоотношения могут носить всего лишь внешний характер. 11. Как контролируется и вознаграждается менеджмент подразделения в рамках общей корпоративной системы? Какова периодичность оценки результатов? Каков размер премий по отношению к заработной плате? На чем основано премирование? Имеет ли место владение акциями? Эти вопросы имеют тесную связь с целями и поведением подразделения. 12. Вознаграждение каких высших руководителей подразделения определяется материнской компанией? Ответ на этот вопрос может служить указанием на типы стратегического поведения, поощряемые высшим менеджментом компании, и, следовательно, на цели, поставленные перед руководством подразделением. Какова типичная динамика перемещения менеджеров из данного подразделения в другие подразделения компании и наоборот? Ответ может дать некоторую информацию о временных горизонтах подразделений и способах нахождения баланса между рискованными и безопасными стратегиями. 13. Где компания набирает кадры?Являются ли менеджеры подразделения выдвиженцами изнутри, что может свидетельствовать о том, что существующая стратегия будет продолжена, или они привлечены из других подразделений или со стороны? Из какой функциональной сферы пришел нынешний генеральный управляющий? 14. Насколько чувствительна компания в целом к проблемам регулирования, антимонопольной политики и социальным проблемам и могут ли они затронуть данное подразделение? 15. Имеет ли материнская компания или конкретные топ-менеджеры какие-либо психологические привязанности к данному подразделению? Является ли подразделение приоритетом компании? Занимает ли сейчас кто-либо из прошлых руководителей подразделения какой-либо высший управленческий пост в компании? Принимало ли нынешнее высшее руководство решение о приобретении или развитии подразделения? Были ли начаты какие-либо программы или действия со стороны нынешнего топ-менеджмента в отношении подразделения? Подобные решения могут сигнализировать о непропорционально большом внимании и поддержке, а также указывать на наличие барьеров для выхода из отрасли*. Портфельный анализ и цели конкурента Если конкурент является частью диверсифицированной компании, анализ всех видов бизнеса материнской компании может быть полезным инструментом для получения ответов на некоторые из поставленных выше вопросов. Чтобы ответить на вопрос о том, какую роль выполняет подразделение-конкурент в деятельности материнской компании, можно использовать всю совокупность методов анализа бизнес-портфеля**. Наиболее информативным методом портфельного анализа конкурента является метод, применяемый им самим. • Если материнская компания конкурента применяет методику классификации бизнеса, то какие критерии при этом используются? Как классифицируется каждый вид бизнеса? • Какие виды бизнеса считаются самыми доходными? • Какие виды бизнеса по их позиции в портфеле могут рассматриваться как потенциальные получатели солидных вложений или как кандидаты на изъятие капиталовложений? • Какие виды бизнеса являются источниками стабильности, компенсирующими колебания других составных частей портфеля? • Какие виды бизнеса представляют защитные меры, направленные на поддержку других, ведущих, направлений бизнеса? • Какие виды бизнеса являются наиболее перспективными для компании как потенциальные объекты инвестирования ресурсов и создания рыночной позиции? • Какие виды бизнеса в портфеле характеризуются наиболее высоким левереджем? Изменение результатов их деятельности будет оказывать существенное влияние на функционирование компании в целом с точки зрения стабильности, доходов, денежного потока, роста объема продаж или издержек. Эти виды бизнеса будут энергично поддерживаться компанией. Портфельный анализ компании обеспечит подходы к пониманию будущих целей производственного подразделения, занятого данным бизнесом; поможет определить масштаб его усилий по поддержанию своей позиции и результатов по таким показателям, как прибыль на инвестированный капитал, доля рынка, денежный поток и т.д.; позволит оценить вероятность изменения стратегической позиции. Цели конкурентов и стратегическое позиционирование Один из подходов к формулированию стратегии состоит в том, чтобы найти такую позицию на рынке, при которой фирма может реализовать собственные цели, не угрожая своим конкурентам. Когда цели конкурентов хорошо известны, можно найти место, где все будут относительно счастливы. Подобные ситуации, конечно, существуют не всегда, особенно если принять во внимание, что отрасль, в которой все действующие фирмы преуспевают, будет привлекательной для новых конкурентов. В большинстве случаев фирма стоит перед необходимостью заставить конкурентов пойти на компромисс с ее целями, чтобы достичь их. Для этого ей нужно найти стратегию, которую она сможет защитить от действующих и новых конкурентов с помощью тех или иных отличительных преимуществ. Важность анализа целей конкурентов определяется тем, что он помогает фирме избежать стратегических действий, которые послужат угрозой для конкурентов в достижении их целей и тем самым вызовут резкое столкновение. Например, с помощью портфельного анализа можно отделить зрелый бизнес и «дойных коров» от бизнес-единиц, находящихся в стадии создания. Часто вполне реально занять позицию, направленную против «дойной коровы», если это не угрожает генерируемому ею денежному потоку, тогда как попытка ущемить интересы создаваемого материнской компанией конкурирующего бизнеса чревата взрывом. Аналогичным образом, бизнес, на который рассчитывают как на источник стабильных продаж, может активно преследовать эту цель, даже жертвуя частью прибыли, но будет реагировать гораздо спокойнее на действия конкурента, направленные на увеличение прибыли, но не затрагивающие долю рынка. Это всего лишь некоторые примеры того, как анализ целей может служить началом ответов на поставленные и приведенные на рис. 3.1 вопросы о поведении конкурентов. Представления Второй важнейший компонент анализа конкурентов — выявление представлений каждого конкурента, которые делятся на две основные категории: • представления конкурента о себе; • представления конкурента об отрасли и других компаниях в ней. Каждая фирма действует, исходя из тех или иных представлений о ситуации, в которой находится. Например, она может видеть себя в качестве социально ответственной организации, лидера отрасли, производителя с низким уровнем издержек, обладателя лучшей системы сбыта и т.д. Эти представления о собственной ситуации определяют поведение фирмы и ее реакцию на события. Например, если она считает себя производителем с низким уровнем издержек, она может попытаться дисциплинировать фирму, продающую по сниженным ценам, снизив цены на собственные товары. Представления конкурента о собственной ситуации могут быть верными или неверными. Если они неверны, возникает многообещающее стратегическое средство воздействия. Например, если конкурент считает, что пользуется самой большой лояльностью потребителей на рынке, что в действительности не так, то провокационное снижение цен может послужить эффективным средством укрепления позиций. Конкурент может решить не проводить ответное снижение цен, считая влияние цен на его долю рынка слабым, и убедиться в том, что теряет ее, не успев осознать ошибочность своих представлений. Точно так же каждая фирма действует на основе представлений о своей отрасли и конкурентах. Они также могут быть верными или неверными. Например, фирма Gerber Products твердо верила в то, что рождаемость будет постоянно повышаться после 1950-х годов, тогда как коэффициент рождаемости фактически падал, а реальное изменение тенденции на противоположную произошло лишь в 1979 г. Существует множество примеров фирм, в большой степени переоценивших или недооценивших выдержку, ресурсы или квалификацию своих конкурентов. Исследование представлений всех типов помогает выявить отклонения, или мертвые зоны, мешающие восприятию менеджерами их окружения. Мертвые зоны — это пространства, где конкурент либо вовсе не видит значимые явления, либо воспринимает их неверно или слишком медленно. Обнаружение таких мертвых зон поможет фирме определить действия, которые с наименьшей вероятностью вызовут немедленную ответную реакцию противодействия или реакция на которые не будет эффективной. Приведенные ниже вопросы направлены на выявление представлений конкурентов и областей, в которых эти представления, скорее всего, не будут полностью объективны и реалистичны. 1. Каковы видимые представления конкурента о его сравнительной позиции в отношении издержек, качества продукции, уровня технологии и других ключевых аспектов бизнеса, выявляемые на основе публичных заявлений, высказываний менеджеров и представителей системы сбыта, а также других указаний? Что он считает своими преимуществами и слабостями? Верны ли эти представления? 2. Имеет ли конкурент сильные исторические или психологические привязанности к определенным продуктам или определенной политике осуществления функций, например, подходам к дизайну, качеству продукции, размещению производства, организации распределения и сбыта и пр., которыгх он будет строго придерживаться? 3. Имеются ли культурные, региональные или национальные различия, способные оказать влияние на восприятие конкурентом и придание значимости событиям? Лишь один из множества примеров: западногерманские фирмы нередко в сильной степени ориентированы на качество продукта и производства в ущерб вниманию к удельным затратам и маркетингу. 4. Имеются ли организационные ценности или принципы, институционально строго оформленные и способные оказать влияние на восприятие собыгтий? Сохранились ли в действии какие-либо направления и принципы, заложенные основателем фирмы, убежденным в их необходимости? 5. Каково мнение конкурента относительно будущего спроса на продукцию и значимость отраслевых тенденций? Воздержится ли он от расширения мощностей при необоснованной неопределенности спроса или предпочтет создать чрезмерные мощности по противоположной причине? Будет ли он ошибаться в оценке значимости тех или иных тенденций? Например, считает ли он, что степень концентрации в отрасли повышается, когда на это нет четких указаний? Все это — краеугольные камни, вокруг которых может строиться стратегия. 6. Что думает конкурент о целях и возможностях своих конкурентов? Может ли он переоценить или недооценить кого-либо из них? 7. Верит ли конкурент в «традиционную мудрость» отрасли или исторический прагматизм и общность подходов, устаревшие в новых рыночных условиях*? Примерами такой традиционной мудрости могут служить мнения типа «Каждый должен иметь полный отраслевой профиль производства», «Потребители пользуются преимуществом», «В этом производстве необходимо контролировать источники сырья», «Децентрализация — наиболее эффективный способ организации производства», «Нужно иметь большее число дилеров» и т.д. Выявление ситуаций, в которых традиционная мудрость не годится или может быть заменена другой, дает преимущество в своевременности и эффективности конкурентных действий. 8. На представления конкурента может влиять его текущая стратегия, также способная их и отражать. Конкурент может видеть новые явления, происходящие в отрасли, сквозь призму прошлых и нынешних обстоятельств, и это может явиться причиной необъективности. Значение восприятия мертвых зон или традиционной мудрости Возрождение фирмы Miller Breweries дает пример выгод, полученных в результате осознания мертвых зон. Фирма, приобретенная компанией Philip Morris и не связанная традиционной мудростью, подобно многим семейным пивоваренным фирмам, вышла на рынок с новыми марками пива по цене на 25% выше, чем Michelob. Согласно прессе, большинство пивоваров смеялись над действиями Miller Breweries, однако после того, как фирма значительно усилила свои рыночные позиции, многие с трудом, но последовали ее примеру**. Другой пример плодотворного отказа от устаревшей традиционной мудрости дает резкий поворот, совершенный Paramount Pictures. Два ее новых руководителя, имевшие опыт управления сетевым телевидением, нарушили многие нормы, бытовавшие в киноиндустрии — практику предварительной продажи фильмов, одновременный выпуск в прокат в значительном числе кинотеатров и др., — и получили значительный прирост доли рынка*. История как индикатор целей и представления Нередко полезным указанием целей и представлений конкурента может служить деловая история предприятия. Следующие вопросы дают некоторые направления для такого исследования. 1. Какова динамика текущих финансовых показателей конкурента в сравнении с показателями последнего времени? Ответ на этот вопрос может дать первое указание на будущие цели, особенно в том случае, если результаты недавнего прошлого конкурента в тех или иных аспектах лучше текущих и тем самым обнаруживают отставание от его потенциала. Почти всегда конкурент будет стремиться восстановить показатели недавнего прошлого. 2. Какова историческая динамика рыночных показателей конкурента? Где он потерпел неудачу или проиграл соревнование и, следовательно, вряд ли предпримет еще одну попытку? Память о прошлых неудачах и желание воздерживаться от дальнейших шагов в том же направлении могут сохраняться длительное время и оказывать непропорционально сильное воздействие на принятие решений. Это явление особенно сильно проявляется в успешных организациях. Например, существует мнение, что неудачная попытка организации магазинов, торгующих по сниженным ценам, удерживала Federated Department Stores от повторной попытки вхождения в эту сферу розничной торговли в течение семи лет. 3. В каких областях компания-конкурент показала выдающиеся или успешные результаты! В освоении новых продуктов? В инновационных методах маркетинга? В других сферах бизнеса? Там, где конкурент достиг успеха, он может чувствовать себя достаточно уверенно, чтобы снова предпринять аналогичные действия или вступить в борьбу в ответ на чьи-либо провокационные действия. 4. Как конкурент в прошлом реагировал на конкретные стратегические действия или явления, происходившие в отрасли? Рационально? Эмоционалыго? Медленно? Быстро? Какие подходы: были им применены? На явления какого рода конкурент реагировал неадекватно и почему? Профессиональная биография менеджеров и отношения с консультантами Другим указанием на цели, представления и возможные в будущем действия компании-конкурента служат данные о карьере ее менеджеров, их подготовке, опыте, личных успехах и неудачах. 1. Функциональная специализация топ-менеджеров является одним из ключевых показателей ориентации, отношения к своему бизнесу и соответствующих целей. Так, лидеры, которые в течение своей карьеры специализировались на финансовом менеджменте, зачастую уделяют более повышенное внимание иным стратегическим направлениям, чем те, кто имел опыт в сфере маркетинга или производства, в зависимости от того, где они чувствуют себя более уверенно. В качестве примеров можно привести склонность Эдвина Лэнда к радикальным инновациям как средству решения стратегических проблем в фирме Polaroid; стратегию экономии расходов на виды деятельности, связанные с энергетикой, проводимую Макги в фирме Gulf Oil. 2. Другим индикатором целей, представлений и вероятных будущих действий топ-менеджеров являются типы стратегий, которые были благоприятны или неблагоприятны для их персональной карьеры. Например, если высший руководитель имеет положительный опыт решения стоявших перед ним в прошлом проблем путем снижения издержек, это же средство может быть применено при возникновении проблем и в следующий раз. 3. Еще одним показателем, касающимся карьеры топ-менеджеров, который может оказаться полезным, являются другие предприятия, в которых они работали, свойственные этим предприятиям стратегические подходы и манера делового поведения. Например, Марк Ройтман, став в середине 1960-х годов президентом фирмы J. I. Case, применил стратегию продвижения товаров, успешно использованную им при работе с промышленным оборудованием, в области сбыта сельскохозяйственной техники. Фирма R. J. Reynolds пригласила новых менеджеров из компаний по производству продовольственных товаров и туалетных принадлежностей, которые привнесли методы управления, характерные для этих компаний. Недавно вышедшее в отставку руководство фирмы Household Finance Corporation пришло в нее из розничной торговли. В результате фирма вместо того, чтобы укреплять свои сильные позиции в сфере потребительского кредита и воспользоваться бумом в этой сфере, стала тратить ресурсы, проводя диверсификацию в розничный бизнес. Новый главный управляющий, выдвинутый на этот пост из отделения потребительского кредита, резко изменил направление, вернув его в прежнее русло. Подобная тенденция использования концепций, давших положительные результаты в прошлом, часто встречается среди менеджеров, пришедших в руководство компаний из юридических и консалтинговых фирм, а также других фирм данной отрасли. В таких случаях они несут с собой видение, методы решения проблем, в той или иной степени отражающие их прошлый опыт. 4.На топ-менеджеров могут оказывать влияние важнейшие события, которые они переживают, например, экономические спады, энергетические кризисы, масштабные убытки в результате колебаний валютных курсов и т.д. Подобные события нередко резко меняют точку зрения менеджера на широкий круг проблем и соответственно могут изменить его подходы к стратегическому выбору. 5.Указания на точки зрения топ-менеджеров могут быть получены также на основе изучения того, что они говорят и пишут, их технической подготовки или имеющейся информации о полученных ими патентах, тесных контактов с другими фирмами, их деятельности вне фирмы и т.п. Перечень подобных источников ограничивается лишь воображением. 6.Важную информацию могут предоставить контакты конкурента с консалтинговыми фирмами, рекламными агентствами, инвестиционными банками и другими консультантами. Какие еще компании прибегают к услугам этих консультантов и каковы результаты их работы? Какими концептуальными подходами и методами известны данные консультанты? Подробная характеристика консультантов конкурента может предоставить возможность прогнозировать будущие изменения его стратегии. Текущая стратегия Третьим компонентом анализа конкурентов является составление аналитических документов о текущей стратегии каждого конкурента. Стратегию конкурента наиболее целесообразно рассматривать как основные направления его политики в каждой функциональной сфере бизнеса и способы осуществления взаимосвязей этих функций. Такая стратегия может быть как явной, так и скрытой, но она всегда существует в той или иной форме. Принципы формулирования стратегии были рассмотрены во введении. Потенциальные возможности Реалистичная оценка потенциальных возможностей каждого конкурента является заключительным диагностическим этапом анализа конкурентов. Цели, представления и текущая стратегия конкурента воздействуют на вероятность, сроки, характер и интенсивность его ответных действий. Преимущества и слабые стороны конкурента определяют его способность инициировать стратегические действия или отвечать на такие действия, а также реагировать на события, происходящие в отрасли и за ее пределами. Поскольку понятия преимуществ и слабых сторон конкурента представляются достаточно ясными, я не буду подробно на них останавливаться. В общем плане преимущества и слабые стороны могут быть оценены на основе анализа позиции конкурента по отношению к пяти ключевым конкурентным силам. Более конкретный подход к рассмотрению преимуществ и слабых сторон конкурента в каждой ключевой сфере бизнеса представлен в виде сводной схемы, приведенной ниже*. Полезность представленного списка может быть усилена постановкой дополнительных вопросов синтетического характера. Области анализа преимуществ и слабых сторон конкурента Продукция Положение продуктов с точки зрения пользователей на каждом сегменте рынка Широта и полнота отраслевого производственного профиля Оптовые и розничные каналы сбыта/Дилерская сеть Качество и полнота каналов Эффективность взаимосвязей между каналами Возможности обслуживания каналов Маркетинг и сбыт Квалификация по каждому элементу структуры маркетинга Квалификация в области исследования рынка и разработки новой продукции Подготовка и навыки персонала системы сбыта Производственная деятельность Уровень и факторы издержек производства — экономия на масштабе, кривая обучения, степень обновления оборудования и т.д. Технологический уровень производственных мощностей и оборудования Степень гибкости производства и оборудования Защищенное собственностью ноу-хау, уникальные патенты или преимущества в издержках производства Квалификация в области создания дополнительных мощностей, управления качеством, оснастки и наладки и т.д. Размещение производства, включая факторы стоимости рабочей силы и транспортных расходов Рабочий климат на производстве; отношения с профсоюзами Обеспеченность и стоимость сырьевых материалов Степень вертикальной интеграции Исследования и инжиниринг Патенты и авторские права Внутренний потенциал исследований и разработок Квалификация персонала НИОКР по показателям творческих способностей, качества, надежности и т.д. Доступ к внешним источникам исследований и инжиниринга Общий уровень издержек Общий относительный уровень издержек Затраты или виды деятельности, совместно используемые различными подразделениями бизнеса Ключевые факторы, обеспечивающие уровень издержек конкурента, и их источники Финансовое положение Движение денежной наличности Кратко- и долгосрочная кредитоспособность Способность дополнительного выпуска акций в обозримом будущем Качество финансового менеджмента, в том числе в области ведения переговоров, мобилизации капитала, кредита, оборотного капитала и дебиторской задолженности Организация Единство ценностных установок и четкость организационных целей Организационная выносливость с учетом выдвигаемых к ней требований Согласованность организационных мер и стратегии Общий потенциал менеджмента Качества высшего руководителя как лидера, его способности к мотивированию сотрудников Способности координировать различные функции или группы функций Возраст, подготовка и функциональная ориентация менеджеров Способность менеджмента решать возникающие проблемы Гибкость и адаптивность менеджмента Корпоративный портфель Способность корпорации осуществлять плановые изменения во всех деловых подразделениях с точки зрения финансовых и других ресурсов Способность корпорации поддерживать или развивать преимущества бизнес-подразделений Прочие Связи или особые отношения с правительственными органами Текучесть кадров Ключевые потенциальные возможности • Каковы потенциальные возможности конкурента в каждой функциональной сфере? Где они наилучшие? Наихудшие? • Каким образом конкурент достигает удовлетворительных результатов по тестам на согласованность своей стратегии? • Существует ли вероятность каких-либо изменений потенциальных возможностей компании-конкурента по мере достижения ею стадии зрелости? Будут ли эти возможности расширяться или сокращаться? Потенциал роста • Будут ли возможности у компании-конкурента расширяться или сокращаться при ее росте? В каких областях? « Каков потенциал роста компании-конкурента в показателях кадров, квалификации и производственных мощностей? • Каким может быть устойчивый рост конкурента, выраженный в финансовых показателях? Могут ли темпы роста соответствовать отраслевым при расчете с использованием аналитического метода компании Du Pont *? Может ли конкурент увеличить долю рынка? Насколько чувствителен показатель устойчивого роста к увеличению заемного капитала? По отношению к высоким краткосрочным финансовым результатам? Способность к быстрым ответным действиям • Какова способность конкурента к быстрой реакции на действия других компаний или к организации немедленных наступательных мер? Это определяется такими факторами, как: — свободные резервы денежных средств; — резервная кредитоспособность; — резервные производственные мощности; — не выпущенные на рынок, но готовые к производству новые продукты. Способность адаптироваться к изменениям • Каково соотношение постоянных и переменных издержек конкурента? Каковы его затраты на содержание неиспользуемых мощностей? Эти факторы будут влиять на его реакцию на изменения. • Какова способность конкурента адаптироваться и отвечать на изменения условий в каждой функциональной сфере? Например, может ли конкурент адаптироваться: — к конкуренции по издержкам; — управлению более сложным профилем производства; — введению новых видов продукции; — конкуренции по обслуживанию; — активизации маркетинговой деятельности. • Способен ли конкурент реагировать на возможные внесистемные явления, например: — устойчивый высокий уровень инфляции; — технологические изменения, ведущие к устареванию существующих мощностей; — экономический спад; — повышение ставок заработной платы; - вероятные формы государственного регулирования, воздействующие на бизнес конкурента. • Существуют ли барьеры для выхода конкурента из отрасли, которые смогут препятствовать сокращению объемов операций или изъятию активов из бизнеса? • Имеет ли место совместное использование конкурентом производственных мощностей, каналов сбыта или других материальных и кадровых ресурсов с другими подразделениями его материнской компании? Этот фактор может явиться препятствием для адаптации и/или для контроля издержек. Жизнеспособность • Какова способность конкурента выдерживать длительную борьбу, угрожающую его доходам или движению денежных средств? Ответ будет зависеть от рассмотрения таких факторов, как: — резервы денежных средств; — единство среди менеджеров; — долгосрочная перспектива финансовых целей; — отсутствие давления со стороны фондового рынка. Сведение воедино четырех компонентов — характеристика реакции конкурента Проведя анализ будущих целей, представлений, текущих стратегий и потенциальных возможностей конкурента, мы можем приступить к поиску ответов на ключевые вопросы, дающих возможность составить характеристику вероятных ответных действий конкурента. Наступательные действия Первый шаг заключается в предсказании стратегических изменений, которые может инициировать конкурент. 1. Удовлетворенность существующей позицией. Какова вероятность инициации конкурентом стратегических изменений, если сравнивать цели конкурента с его текущей позицией? 2. Вероятные действия. Каковы наиболее вероятные стратегические изменения, которые может предпринять конкурент, если принять во внимание цели, представления и существующие возможности конкурента? Ответ зависит от представлений конкурента о будущем, о собственных преимуществах, об уязвимости тех или иных его соперников, от свойственных ему и предпочтительных направлений конкуренции, от склонностей к тем или иным действиям топ-менеджеров, а также от других факторов, рассмотренных выше. 3. Масштаб и серьезность действий. Анализ целей и потенциальных возможностей конкурента может быть использован для оценки ожидаемого масштаба его вероятных действий. Кроме того, важно оценить, каким может быть выигрыш конкурента от этих действий. Например, мера, направленная на совместное с другим подразделением использование затрат и тем самым способная резко изменить его относительную позицию по издержкам, может иметь существенно большее значение, чем мера, направленная на постепенное повышение эффективности маркетинга. Анализ вероятного выигрыша в сочетании со знанием целей конкурента поможет понять степень серьезности намерений конкурента при осуществлении того или иного мероприятия в случае противодействия со стороны соперников. Способность к оборонительным действиям Следующий шаг в создании характеристики реакции конкурента состоит в выработке перечня возможных стратегических действий, доступных для фирмы, действующей в данной отрасли, и перечня вероятных изменений, которые могут произойти в отрасли и в окружающей среде. Оценить способности конкурента к оборонительным действиям можно по следующим критериям с использованием результатов описанного в предыдущих разделах анализа. 1. Уязвимость. Какие стратегические действия, а также меры государственной политики, макроэкономические процессы или события, происходящие в отрасли, могут представлять наибольшую опасность для конкурента? Какие действия оказывают асимметричное влияние на прибыль конкурента, иначе говоря, имеют более или менее серьезные последствия для конкурента, чем для предпринимающей эти действия фирмы? Какие действия потребовали бы таких крупных затрат капитала для противодействия или следования им, которыми конкурент не смог бы рисковать? 2. Провокационность. Какие действия или события могут спровоцировать сопротивление конкурента, даже если его ответные меры будут связаны с большими затратами и приведут к ухудшению финансовых результатов? Иначе говоря, какие действия угрожают целям и позиции конкурента настолько, что он будет вынужден сопротивляться, независимо от того, нравится ему это или нет? У большинства конкурентов есть своего рода горячие точки, или сферы бизнеса, угроза которым приведет к неадекватной реакции. Эти горячие точки отражают важные цели, психологические склонности и т.п. По возможности их следует избегать. 3. Эффективность противодействия. Какие действия или события вызовут быструю и/или эффективную реакцию конкурента с учетом его целей, стратегии, существующего потенциала и представлений? Какие могут быть предприняты действия, при которых попытки конкурента отвечать или соревноваться с ними не будут эффективными? В табл. 1.3 представлена простая методика анализа способности конкурента к оборонительным действиям. В левой колонке даны возможные стратегические действия со стороны фирмы, а затем изменения в отрасли и за ее пределами, которые могут произойти. Эти явления могут вызвать вопросы, приведенные в следующих колонках. В результате может быть получена матрица, которая должна помочь в определении наиболее эффективной стратегии в условиях реальности, на которую будут реагировать конкуренты. Этот анализ может также способствовать быстрой реакции на явления в отрасли и внешней среде, при которой могут быть проявлены слабости конкурента. Выбор поля битвы Поскольку конкуренты будут отвечать контрмерами на действия, предпринимаемые фирмой, ее стратегия включает выбор наилучшего поля битвы. Оно представляет собой определенный сегмент рынка или направление стратегии, к конкуренции в которых соперники хуже подготовлены и в которых менее энергичны или более всего стеснены. Например, наилучшим выбором может быть конкуренция на основе издержек производства, которая ведется по наиболее дорогим или наиболее дешевым группам товаров, или другие направления. Идеальный вариант состоит в том, чтобы найти стратегию, на которую конкуренты не имеют возможности ответить при их нынешнем положении. Так, инерция их прошлой и текущей стратегии может существенно повысить затраты на те или иные действия по сравнению с фирмой-инициатором, для которой они будут менее сложны и дорогостоящи. Например, когда фирма Folger's Coffee пошла на снижение цен, чтобы отвоевать прочные позиции, занимаемые фирмой Maxwell House в восточной части США последняя столкнулась с тем, что для аналогичных действий ее издержки оказались слишком велики из-за большой доли рынка. Другая ключевая концепция стратегии, вытекающая из анализа конкурентов, состоит в создании для конкурентов ситуации противоречивых стимулов или целей. Такая стратегия означает нахождение действий, сопротивление которым, даже возможное и эффективное, нанесет ущерб общей позиции конкурента. Например, если IBM поторопится отвечать на угрозу со стороны других фирм, производящих мини-компьютеры, выпуском собственного мини-компьютера, она может вызвать снижение роста своего производства больших компьютеров. Ставя конкурента в положение конфликта целей, можно осуществить весьма эффективный стратегический подход к атаке фирм, занимающих прочное положение на своем рынке. Мелкие фирмы и новые пришельцы в отрасль часто не имеют груза наследия прошлых стратегий и могут извлечь большие выгоды, находя стратегии, которые способны наказать конкурентов за их приверженность привычным действиям. В реальности конкуренты будут редко полностью лишены возможности. маневра или хотя бы будут разрываться между противоречивыми целями. Приведенные выше вопросы призваны помочь определить такие стратегические действия, которые обеспечат фирме-инициатору наилучшую позицию для конкурентной борьбы, когда придет ее время. Это означает, что преимущество знания целей и представлений конкурента может быть использовано для нейтрализации эффективных ответов там, где это возможно, и выбора такого поля битвы, на котором присущие фирме способности будут служить самым грозным оружием. Анализ конкурентов и прогнозирование отрасли Анализ каждого значимого существующего и потенциального конкурента может быть использован как важный исходный материал для прогнозирования будущей ситуации в отрасли. С помощью сведения воедино данных, полученных на основе проведенного анализа, и моделирования вероятных действий всех конкурентов, их возможной ответной реакции на изменения и взаимодействия друг с другом можно получить ответы на следующие вопросы: • Каковы последствия взаимодействия тех вероятных действий конкурентов, которые мы определили? • Конвергируют ли стратегии фирм и вероятно ли их столкновение? • Демонстрируют ли фирмы устойчивые темпы роста, соответствующие прогнозам, или возможен разрыв, создающий благоприятные условия для вхождения в отрасль? • Возможно ли сочетание вероятных действий, ведущее к структурным изменениям отрасли? Необходимость системы получения информации Поиск ответов на вопросы о конкурентах порождает огромную потребность в информации. Данные о конкурентах могут поступать из различных источников: публикуемых отчетов, речей представителей менеджмента, деловой прессы, работников системы сбыта, общих для фирмы и конкурента потребителей или поставщиков, инспекции качества продукции, оценок со стороны технического персонала фирмы, информации, собираемой у бывших менеджеров и других сотрудников конкурента, и пр. Более подробно источники информации описаны в приложении Б. Как правило, все данные, необходимые для проведения анализа конкурентов, не могут быть собраны сразу и целиком. Они обычно не приходят потоком, а накапливаются постепенно, и для сведения их воедино необходимо время, чтобы получить полную картину ситуации конкурента. Очевидно, чтобы получить данные для всестороннего анализа, одной упорной работы недостаточно. Эффективный сбор информации требует организованного механизма — своего рода системы конкурентной разведки. Элементы этой системы могут изменяться в зависимости от конкретных нужд фирмы, отрасли, в которой она конкурирует, возможностей персонала, интересов и способностей менеджмента. На рис. 3.2 представлены функции, необходимые для получения данных для анализа, и некоторые варианты осуществления этих функций. В некоторых компаниях все эти функции могут эффективно осуществляться одним лицом, однако это скорее исключение, чем правило. Существует множество источников как полевых, так и публикуемых данных, многие работники компании, как правило, могут внести свой вклад в их получение. Кроме того, одному работнику, как правило, не под силу эффективная работа по сбору, регистрации, обобщению и представлению всей этой информации. На практике приняты разнообразные способы организации этой работы в фирмах. Это может быть группа по анализу конкурентов, входящая в состав отдела планирования и выполняющая все необходимые функции; координатор конкурентной информации, выполняющий функции сбора, регистрации и представления данных; система, при которой разработчик стратегии выполняет эту работу неформальным путем. Однако слишком часто за анализ конкурентов вообще никто не отвечает. Очевидно, что нет единого рецепта для получения данных о конкуренте, но также ясно, что кто-то должен проявить активный интерес, иначе значительная часть полезной информации будет потеряна. Топ-менеджмент может многое сделать для стимулирования действий в этом направлении, требуя представления полной характеристики конкурентов в качестве элемента планирования. Необходимо, чтобы как минимум кто-либо из менеджеров был наделен ответственностью за получение информации о конкурентах, являясь центральным звеном всей системы сбора.
Как показано на рис. 2, каждая функция может осуществляться несколькими способами. Приведенные варианты характеризуются различной степенью сложности и полноты. Небольшая фирма может не иметь ресурсов или персонала для сложных подходов, тогда как компании, придающей большое значение изучению ключевых конкурентов, возможно, стоит использовать их все. При любом уровне сложности нельзя недооценивать важность функции представления данных. Сбор данных будет ненужной тратой времени, если они не используются при формулировании стратегии. Следует разработать эффективные способы доведения их до топ-менеджмента в концентрированной и удобной форме. Какой бы механизм получения информации о конкурентах ни был выбран, он требует формальной организации и документации. Очень легко потерять крупицы и части информации, поэтому даже одно их сведение воедино дает бесспорные выгоды. Анализ конкурентов слишком важен, чтобы вести его бессистемно. |

