Контрольная работа: Основные статистические расчеты 2
|
Название: Основные статистические расчеты 2 Раздел: Рефераты по экономике Тип: контрольная работа | ||||||||||||||||||||||||||||||||||||||||||||||||||||||||||||||||||||||||||||||||||||||||||||||||||||||||||||||||||||||||||||||||||||||||||||||||||||||||||||||||||||||||||||||||||||||||||||||||||||||||||||||||||||||||||||||||||||||||||||||||||||||||||||||||||||||||||||||||||||||||||||||||||||||||||||||||||||||||||||||||||||||||||||||||||||||||||||||||||||||||||||||||||||||||||||||||||||||||||||||||||||||||||||||||||||||||||||||||||||||||||||||||||||||||||||||||||||||||||||||||||||||||||||||||||||||||||||||||||||||||||||||||||||||||||||||||||||||||||||||||||||||||||||||||||||||||||||||||||||||||||||||||||||||||||||||||||||||||||||||||||||||||||||||||||||||||||||||||||||||||||||||||||||||||||||||||||||||||||||||||||||||||||||||||||||||||||||||||||||||||||||||||||||||||||||||||||||||||||||||||||||||||||||||||||||||||||||||||||||||||
| МИНИСТЕРСТВО ОБРАЗОВАНИЯ И НАУКИ РФ ФЕДЕРАЛЬНОЕ АГЕНТСТВО ПО ОБРАЗОВАНИЮ ГОУ ВПО ВСЕРОССИЙСКИЙ ЗАОЧНЫЙ ФИНАНСОВО-ЭКОНОМИЧЕСКИЙ ИНСТИТУТ КАФЕДРА СТАТИСТИКИ КОНТРОЛЬНАЯ РАБОТА ПО СТАТИСТИКЕ Студентка: Группа: Факультет: Зачетная книжка: Преподаватель: Вариант № 18 Москва 20 10 Задание Имеются следующие выборочные данные о деятельности коммерческих банков (выборка 5%-ная механическая), млн. руб.
ЗАДАНИЕ 1 По исходным данным: 1.Постройте статистический ряд распределения банков по признаку прибыль, образовав пять групп с равными интервалами. 2.Постойте графики полученного ряда распределения, графически определите значение моды и медианы. 3.Рассчитайте характеристики интервального ряда распределения: среднюю арифметическую, среднее квадратическое отклонение, коэффициент вариации, моду и медиану. 4.Вычислите среднюю арифметическую по исходным данным, сравните ее с аналогичным показателем, рассчитанным в п.3 для интервального ряда распределения. Объясните причину их расхождения. Сделайте выводы по результатам выполнения задания. Выполнение Задания 1 1.1 Построение интервального ряда распределения банков по объему прибыли Для построения статистического ряда, характеризующего распределение банков по прибыли, необходимо вычислить величину и границы интервалов ряда. При построении ряда с равными интервалами величина интервала h определяется по формуле
где k - число групп интервального ряда. Определение величины интервала по формуле (1) при заданных k = 5, xmax = 350 млн руб., xmin = 50 млн руб.: h=(350-50)/5=60 млн руб. При h = 60 млн руб. границы интервалов ряда распределения имеют следующий вид (табл. 2) Таблица 2
Процесс группировки единиц совокупности по признаку прибыль представлен во вспомогательной (разработочной) таблице 3 Таблица 3Разработочная таблица для построения статистического ряда распределения и аналитической группировки
На основе групповых итоговых строк «Всего» табл. 3 формируется итоговая таблица 4. Таблица 4 Распределение банков по прибыли
Помимо частот групп в абсолютном выражении в анализе интервальных рядов используются ещё три характеристики ряда, приведенные в графах 4 - 6 табл. 1.4. Это частоты групп в относительном выражении, накопленные (кумулятивные) частоты Sj
, получаемые путем последовательного суммирования частот всех предшествующих (j-1) интервалов, и накопленные частости, рассчитываемые по формуле Таблица 5 Структура банков по прибыли
Вывод. Анализ статистического ряда распределения изучаемой совокупности банков показывает, что распределение банков по объему прибыли не является равномерным: преобладают банки с прибылью от 170 млн руб. до 230 млн руб. (это 12 банков, доля которых составляет 40%); 30% банков имеют прибыль менее 170 млн руб., а 70% – менее 230 млн руб. 1.2 Нахождение моды и медианы полученного интервального ряда распределения графическим методом и путем расчетов Мода и медиана являются структурными средними величинами, характеризующими (наряду со средней арифметической) центр распределения единиц совокупности по изучаемому признаку. Мода Мо для дискретного ряда – это значение признака, наиболее часто встречающееся у единиц исследуемой совокупности. В интервальном вариационном ряду модой приближенно считается центральное значение модального интервала (имеющего наибольшую частоту). Более точно моду можно определить графическим методом по гистограмме ряда (рис.1).
Для определения моды графическим способом на гистограмме распределения правую вершину модального прямоугольника соединяют с правым верхним углом предыдущего прямоугольника, а левую вершину модального прямоугольника – с левым верхним углом последующего прямоугольника. Абсцисса точки пересечения этих прямых будет модой распределения. Конкретное значение моды для интервального ряда рассчитывается по формуле:
где хМo – нижняя граница модального интервала, h –величина модального интервала, fMo – частота модального интервала, fMo-1 – частота интервала, предшествующего модальному, fMo+1 – частота интервала, следующего за модальным. Согласно табл. 3 модальным интервалом построенного ряда является интервал 170 – 230 млн. руб., так как его частота максимальна (f3 = 12). Расчет моды по формуле (3): Mo=170+60*((12-6)/((12-6)+(12-7)))=202,727 млн руб. Вывод. Для рассматриваемой совокупности банков наиболее распространенный объем прибыли характеризуется средней величиной 202,727 млн руб. Медиана Ме – это значение признака, приходящееся на середину ранжированного ряда. По обе стороны от медианы находится одинаковое количество единиц совокупности. Медиану можно определить графическим методом по кумулятивной кривой (рис. 2). Кумулята строится по накопленным частотам (табл. 5, графа 5). Для определения медианы графическим способом высоту наибольшей ординаты кумуляты, которая соответствует общей численности, делят пополам. Через полученную точку проводят прямую, параллельную оси абсцисс до пересечения ее с кумулятой. Абсцисса точки пересечения является медианной величиной. Рис. 2. Определение медианы графическим методом
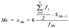
Конкретное значение медианы для интервального ряда рассчитывается по формуле:
где хМе – нижняя граница медианного интервала, h – величина медианного интервала,
fМе – частота медианного интервала, SMе-1 – кумулятивная (накопленная) частота интервала, предшествующего медианному. Для расчета медианы необходимо, прежде всего, определить медианный интервал, для чего используются накопленные частоты (или частости) из табл. 5 (графа 5). Так как медиана делит численность ряда пополам, она будет располагаться в том интервале, где накопленная частота впервые равна полусумме всех частот В демонстрационном примере медианным интервалом является интервал 170 – 230 млн. руб., так как именно в этом интервале накопленная частота Sj = 21 впервые превышает величину, равную половине численности единиц совокупности ( Расчет значения медианы по формуле (4): Ме=170+60*((30/2-9)/12)=200 млн руб. Вывод. В рассматриваемой совокупности банков половина банков имеют в среднем объем прибыли не более 200 млн руб., а другая половина – не менее 200 млн руб. 1.3 Расчет характеристик интервального ряда распределения Для расчета характеристик ряда распределения Таблица 6 Расчетная таблица для нахождения характеристик ряда распределения
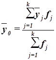
Расчет средней арифметической взвешенной:
Расчет среднего квадратического отклонения:
σ=118680/30=62,897 млн руб. Расчет дисперсии: σ2 =61,641 2=3956 Расчет коэффициента вариации:
V σ=62,897*100/198=31,77 % Вывод.
Анализ полученных значений показателей Значение Vσ = 31,77 % не превышает 33%, следовательно, вариация кредитных вложений в исследуемой совокупности банков незначительна и совокупность по данному признаку качественно однородна. Расхождение между значениями 1.4 Вычисление средней арифметической по исходным данным Для расчета применяется формула средней арифметической простой:
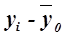
Причина расхождения средних величин, рассчитанных по формулам (8) и (5), заключается в том, что по формуле (8) средняя определяется по фактическим значениям исследуемого признака для всех 30-ти банков, а по формуле (5) средняя вычисляется для интервального ряда, когда в качестве значений признака берутся середины интервалов ЗАДАНИЕ 2 По исходным данным: 1. Установите наличие и характер связи между признаками – прибыль и собственный капитал: а) аналитической группировки; б) корреляционной таблицы. 2. Измерьте тесноту корреляционной связи между названными признаками с использованием коэффициентов детерминации и эмпирического корреляционного отношения. Сделайте выводы по результатам выполнения задания. Выполнение Задания 2 2.1 Установление наличия и характера связи между признаками прибыль и собственный капитал методами аналитической группировки и корреляционной таблицы а. Применение метода аналитической группировки Используя разработочную таблицу 3, строим аналитическую группировку, характеризующую зависимость между факторным признаком Х – Прибыль и результативным признаком Y – Собственный капитал . Макет аналитической таблицы имеет следующий вид (табл. 7): Таблица 7 Зависимость суммы прибыли банков от объема кредитных вложений
Групповые средние значения Таблица 8 Зависимость суммы прибыли банков от объема кредитных вложений
Вывод . Анализ данных табл. 8 показывает, что с увеличением объема прибыли от группы к группе систематически возрастает и объем собственного капитала по каждой группе банков, что свидетельствует о наличии прямой корреляционной связи между исследуемыми признаками. б. Применение метода корреляционной таблицы. Корреляционная таблица представляет собой комбинацию двух рядов распределения. Строки таблицы соответствуют группировке единиц совокупности по факторному признаку Х , а графы – группировке единиц по результативному признаку Y . На пересечении j -ой строки и k -ой графы указывается число единиц совокупности, входящих в j -ый интервал по факторному признаку и в k -ый интервал по результативному признаку. Концентрация частот около диагонали построенной таблицы свидетельствует о наличии корреляционной связи между признаками. Связь прямая, если частоты располагаются по диагонали, идущей от левого верхнего угла к правому нижнему. Расположение частот по диагонали от правого верхнего угла к левому нижнему говорит об обратной связи. Для построения корреляционной таблицы необходимо знать величины и границы интервалов по двум признакам X и Y . Величина интервала и границы интервалов для факторного признака Х – Прибыль известны из табл. 8. Для результативного признака Y – Собственный капитал величина интервала определяется по формуле (1) при k = 5 , у max = 8400 млн руб., у min = 400 млн руб.: h=(8400-400)/5=1600 млн руб. Границы интервалов ряда распределения результативного признака Y имеют следующий вид (табл. 9): Таблица 9
Подсчитывая с использованием принципа полуоткрытого интервала [ ) число банков, входящих в каждую группу (частоты групп), получаем интервальный ряд распределения результативного признака (табл. 10). Таблица 10 Распределение банков по сумме прибыли
Используя группировки по факторному и результативному признакам, строим корреляционную таблицу (табл. 11). Таблица 11 Корреляционная таблица зависимости суммы прибыли банков от объема кредитных вложений
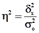
Вывод . Анализ данных табл. 11 показывает, что распределение частот групп произошло вдоль диагонали, идущей из левого верхнего угла в правый нижний угол таблицы. Это свидетельствует о наличии прямой корреляционной связи между объемом кредитных вложений и суммой прибыли банков. 2.2 Измерение тесноты корреляционной связи с использованием коэффициента детерминации и эмпирического корреляционного отношения Для измерения тесноты связи между факторным и результативным признаками рассчитывают специальные показатели – эмпирический коэффициент детерминации
где
Значения показателя Общая дисперсия
где yi – индивидуальные значения результативного признака;
n – число единиц совокупности. Общая средняя
или как средняя взвешенная по частоте групп интервального ряда:
Для вычисления Расчет
Для расчета общей дисперсии Таблица 12 Вспомогательная таблица для расчета общей дисперсии
Расчет общей дисперсии по формуле (10):
Общая дисперсия может быть также рассчитана по формуле
где
Для демонстрационного примера
Тогда
Межгрупповая дисперсия
где
k – число групп. Для расчета межгрупповой дисперсии Таблица 13 Вспомогательная таблица для расчета межгрупповой дисперсии
Расчет межгрупповой дисперсии
Расчет эмпирического коэффициента детерминации
Вывод. 75,3% вариации суммы прибыли банков обусловлено вариацией объема прибыли, а 24,7% – влиянием прочих неучтенных факторов. Эмпирическое корреляционное отношение
Значение показателя изменяются в пределах Таблица 14 Шкала Чэддока
Расчет эмпирического корреляционного отношения
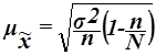
Вывод . Согласно шкале Чэддока связь между объемом прибыли и суммой собственного капитала банков является тесной. ЗАДАНИЕ 3 По результатам выполнения задания 1 с вероятностью 0,683 определите: 1. Ошибку выборки средней прибыли и границы, в которых будет находиться средний размер прибыли в генеральной совокупности. 2. Ошибку выборки доли банков с прибылью 230 и более млн. руб. и границы, в которых будет находиться генеральная доля. Выполнение Задания 3 3.1 Определение ошибки выборки для средней прибыли банков и границ, в которых будет находиться средний размер прибыли в генеральной совокупности Применение выборочного метода наблюдения всегда связано с установлением степени достоверности оценок показателей генеральной совокупности, полученных на основе значений показателей выборочной совокупности. Достоверность этих оценок зависит от репрезентативности выборки, т.е. от того, насколько полно и адекватно представлены в выборке статистические свойства генеральной совокупности. Как правило, генеральные и выборочные характеристики не совпадают, а отклоняются на некоторую величину ε , которую называют ошибкой выборки (ошибкой репрезентативности). Значения признаков единиц, отобранных из генеральной совокупности в выборочную, всегда случайны, поэтому и статистические характеристики выборки случайны, следовательно, и ошибки выборки также случайны. Ввиду этого принято вычислять два вида ошибок - среднюю Средняя ошибка выборки Величина средней ошибки выборки рассчитывается дифференцированно (по различным формулам) в зависимости от вида и способа отбора единиц из генеральной совокупности в выборочную. Для собственно-случайной и механической выборки с бесповторным способом отбора средняя ошибка
где N – число единиц в генеральной совокупности, n – число единиц в выборочной совокупности. Предельная ошибка выборки
где
Границы задают д оверительный интервал генеральной средней, т.е. случайную область значений, которая с вероятностью Р гарантированно содержит значение генеральной средней. Эту вероятность Р называют доверительной вероятностью или уровнем надёжности. В экономических исследованиях чаще всего используются доверительные вероятности Р= 0.954, Р= 0.997, реже Р= 0,683. В математической статистике доказано, что предельная ошибка выборки Δ
кратна средней ошибке µ с коэффициентом кратности t (называемым также коэффициентом доверия), который зависит от значения доверительной вероятности Р.
Для предельной ошибки выборочной средней
Значения t вычислены заранее для различных доверительных вероятностей Р и протабулированы (таблицы функции Лапласа Ф ). Для наиболее часто используемых уровней надежности Р значения t задаются следующим образом (табл. 15): Таблица 15
По условию выборочная совокупность насчитывает 30 банков, выборка 5% механическая, следовательно, г
енеральная совокупность включает 600 банков. Выборочная средняя Таблица 16
Расчет средней ошибки выборки по формуле (15):
Расчет предельной ошибки выборки по формуле (17):
Определение по формуле (16) доверительного интервала для генеральной средней:
Вывод. На основании проведенного выборочного обследования коммерческих банков региона с вероятностью 0,683 можно утверждать, что для генеральной совокупности банков средний объем прибыли находится в пределах от 186,807 млн руб. до 209,193 млн руб. 3.2 Определение ошибки выборки для доли банков с прибылью 230 млн руб. и более, а также границ, в которых будет находиться генеральная доля Доля единиц выборочной совокупности, обладающих тем или иным заданным свойством, выражается формулой
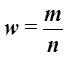
где m – число единиц совокупности, обладающих заданным свойством; n – общее число единиц в совокупности. Для собственно-случайной и механической выборки с бесповторным способом отбора предельная ошибка выборки
где w – доля единиц совокупности, обладающих заданным свойством; (1- w ) – доля единиц совокупности, не обладающих заданным свойством, N – число единиц в генеральной совокупности, n – число единиц в выборочной совокупности. Предельная ошибка выборки
По условию Задания 3 исследуемым свойством является равенство или превышение прибыли банка величины 230 млн руб. Число банков с заданным свойством определяется из табл. 3 (графа 3): m =9 Расчет выборочной доли по формуле (18): w=9/30=0,3 Расчет по формуле (19) предельной ошибки выборки для доли:
Определение по формуле (20) доверительного интервала генеральной доли: 0,3-0,082 0,218 или 21,8% Вывод. С вероятностью 0,683 можно утверждать, что в генеральной совокупности банков доля банков с прибылью 230 млн руб. и выше будет находиться в пределах от 21.8% до 38,2%. Задание 4 Имеются следующие данные о динамике задолженности организации по кредитам банков:
Определите: 1. Среднегодовую задолженность организации по кредиту. 2. Абсолютные и относительные изменения задолженности (Цепные и базисные абсолютные приросты, темпы роста, темпы прироста). Рассчитанные показатнли представьте в таблице. 3. Среднегодовые темпы роста и прироста задолженности. 4. Осуществите прогноз задолженности организаций по кредитам банков при условии, что среднегодовой темп сохранится на прежнем уровне еще в течении двух лет. 5. Постройте график динамики задолженности. Сделайте выводы Выполнение Задания 4 1. Для интервального ряда динамики средний уровень исчисляется по формуле средней арифметической простой: y=Σy/n (21) y=(960+1800+2400+3500+4200)/5=2572 2. Рассчитываем абсолютные и относительные изменения задолженности Абсолютный прирост (Δy) — это разность между последующим уровнем ряда и предыдущим (или базисным). Абсолютный прирост (Δy) цепной и базисный рассчитываем по формулам (22) и (23) соответственно: Δy i =y i -y i-1 (22) Δyi=yi-y0 (23) Темп роста (Тр) — отношение уровней ряда динамики, которое выражается в коэффициентах и процента. Цепной темп роста исчисляют отношением последующего уровня к предыдущему: Тц=y i /y i-1 (24); базисный - отношением каждого последующего уровня к одному уровню, принятому за базу сравнения: Тб=y i /y 0 (25). Темп прироста Тпр определяется как разность между темпами роста и единицей, если темпы роста выражены в коэффициентах: Тпр=Тр-1; или как разность между темпами роста 100%, если темпы роста выражены в процентах: Тпр=Тр-100%. Таблица 17
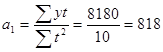
3. Среднегодовой темп роста исчисляется по формуле средней геометрической из цепных коэффициентов роста: где n — число коэффициентов; П — знак произведения. Тр= 1,875*1,333*1,458*1,200 = 1,446 (144,6 %) Среднегодовой темп прироста исчисляется следующим образом Тпр=Тр-100%=144,6-100=44,6% 4. Прогноз задолженности организаций по кредитам банков при условии, что среднегодовой темп сохранится на прежнем уровне еще в течение двух лет. Прогнозирование осуществим методом экстраполяции. Составим уравнение прямой, представляющее собой трендовую модель: Расчетные значения представим в таблице 18. Таблица 18
Следовательно На основе уравнения
5. График динамики задолженности (рис. 3).
Рис. 3. График динамики задолженности Вывод. Исходя из полученнного графика можно утверждать что задолженность организаций по кредитам банков имеет положительную тенденцию. Список литературы 1. Практикум по статистике: Учеб. пособие для вузов / Под ред. В.М. Симчеры / ВЗФЭИ. – М.: ЗАО «Финстатинформ», 1999.- 259 с. 2. Гусаров В.М. Статистика: Учеб. пособие для вузов.- М.: ЮНИТИ – ДАНА, 2001.- 463 с. 3. Теория статистики: Учебник/ Под ред. проф. Г.Л. Громыко.- М.: ИНФРА – М, 2000.- 414с. 4. Башкатова Б.И. Социально – экономическая статистика.- М.: ЮНИТИ, 2002.- 418 с. |
||||||||||||||||||||||||||||||||||||||||||||||||||||||||||||||||||||||||||||||||||||||||||||||||||||||||||||||||||||||||||||||||||||||||||||||||||||||||||||||||||||||||||||||||||||||||||||||||||||||||||||||||||||||||||||||||||||||||||||||||||||||||||||||||||||||||||||||||||||||||||||||||||||||||||||||||||||||||||||||||||||||||||||||||||||||||||||||||||||||||||||||||||||||||||||||||||||||||||||||||||||||||||||||||||||||||||||||||||||||||||||||||||||||||||||||||||||||||||||||||||||||||||||||||||||||||||||||||||||||||||||||||||||||||||||||||||||||||||||||||||||||||||||||||||||||||||||||||||||||||||||||||||||||||||||||||||||||||||||||||||||||||||||||||||||||||||||||||||||||||||||||||||||||||||||||||||||||||||||||||||||||||||||||||||||||||||||||||||||||||||||||||||||||||||||||||||||||||||||||||||||||||||||||||||||||||||||||||||||||||
,
(1)



, (4)
(5)
(6)
(7)
(8)
, (9)
(10)
(11)
(12)
, (13)
(14)
(15)
млн руб.
(18)
(19)
. Таким образом, уравнение трендовой модели, будет иметь вид: 