Реферат: Векторный метод решения стереометрических задач
|
Название: Векторный метод решения стереометрических задач Раздел: Рефераты по математике Тип: реферат |
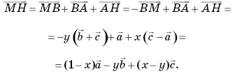
| Векторный метод решения стереометрических задач Задача 1. Отрезок, соединяющий вершину тетраэдра с центроидом противолежащей грани, называется медианой этого тетраэдра; отрезок, соединяющий середины противоположных ребер тетраэдра, называется его бимедианой. Докажите: а) что все медианы тетраэдра пересекаются в одной точке и эта точка делит каждую из медиан в отношении 3:1, считая от вершины; б) все бимедианы тетраэдра пересекаются в одной точке и делятся ею пополам; в) точка пересечения бимедиан тетраэдра совпадает с точкой пересечения его медиан. Решение. а) Пусть Н1 , Н2 , Н3 , Н4 — центроиды граней соответственно АВС, АВР, ВСР, АСР; М — точка, делящая медиану РН1 тетраэдра РАВС в отношении РМ : МН1 = 3 : 1( рис. 1).
Тогда РМ : РН1
= 3 : 4, откуда
Тогда
Аналогично можно доказать, что для точек М1 , М2 и М3 , делящих медианы соответственно СН2 , АН3 , ВН4 тетраэдра в отношении 3 : 1, считая соответственно от вершин С, А и В, выполняется то же равенство, то есть
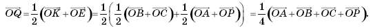
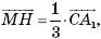
Это означает, что точки М, М1 , М2 и М3 совпадают, то есть все четыре медианы РН1 , СН2 , АН3 и ВН4 тетраэдра пересекаются в одной точке М и делятся этой точкой в отношении 3 : 1, считая от соответствующей вершины, что и требовалось доказать. Точка пересечения медиан тетраэдра называется центроидом этого тетраэдра. б) Пусть точки K и Е — середины ребер соответственно ВС и АР (см. рис. 1), то есть отрезок KЕ — бимедиана тетраэдра РАВС. Если точка Q — середина бимедианы KЕ, то для любой точки О пространства выполняется:
Так как K и Е — середины ребер соответственно ВС и АР, то справедливы равенства:
Тогда получаем:
Аналогично можно доказать, что для середины Q1
бимедианы ТF (см. рис.1) имеет место: в) Таким образом, для точек М и Q справедливы соответственно равенства:
и
из которых следует, что Условие компланарности трех векторов В качестве базиса в пространстве можно выбрать любую упорядоченную тройку некомпланарных векторов В общем виде критерий компланарности трех ненулевых векторов Задача 2.В параллелепипеде АВСDА1 В1 С1 D1 точка М — середина диагонали А1 С1 грани A1 B1 C1 D1 , точка K — середина ребра ВВ1 . Докажите, что прямые А1 В1 , KМ и ВС1 параллельны некоторой плоскости.
Решение.
Введем векторы: Тройку Имеем:
Тогда
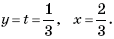
Это означает, что векторы Задача 3. На диагоналях АВ1 и ВС1 граней AA1 B1 B и ВВ1 С1 С параллелепипеда ABCDA1 B1 C1 D1 взяты точки соответственно Н и M так, что отрезки MН и A1 C параллельны. Найдите отношение длин этих отрезков. Решение.
Введем векторы:
Тройку
Так как точка Н лежит на диагонали АВ1
, то векторы По правилу ломаной находим:
По условию MН
Ответ: 1 : 3. |





