Курсовая работа: Решение систем линейных дифференциальных уравнений пятиточечным методом Адамса Башфорта
|
Название: Решение систем линейных дифференциальных уравнений пятиточечным методом Адамса Башфорта Раздел: Рефераты по математике Тип: курсовая работа | ||||||||||||||||||||||||||||||||||||
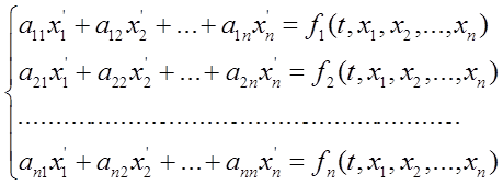
| РЕШЕНИЕ СИСТЕМ ЛИНЕЙНЫХ ДИФФЕРЕНЦИАЛЬНЫХ УРАВНЕНИЙ ПЯТИТОЧЕЧНЫМ МЕТОДОМ АДАМСА – БАШФОРТА Работу выполнил студент гр.И-29 Уханов Е.В. Кафедра “Системы и Процессы Управления” “ХАРЬКОВСКИЙ ПОЛИТЕХНИЧЕСКИЙ ИНСТИТУТ” Харьков 2001 ВВЕДЕНИЕ Во многих областях науки и техники , а также отраслях наукоемкой промышленности , таких как : авиационная , космическая , химическая , энергетическая , - являются весьма распространенные задачи прогноза протекания процессов , с дальнейшей их коррекцией . Решение такого рода задач связано с необходимостью использования численных методов , таких как : метод прогноза и коррекции , метод Адамса-Башфорта , метод Эйлера , метод Рунге-Кута , и др. При этом , стоит задача решения системы линейных дифференциальных уравнений первого порядка одним из методов интегрирования , на произвольном промежутке времени . Одним из оптимальных методов дающих высокую точность результатов – является пяти точечный метод прогноза и коррекции Адамса-Башфорта . Для повышения точности метода используется трех точечный метод прогноза и коррекции с автоматическим выбором шага , что приводит к универсальному методу интегрирования систем дифференциальных уравнений произвольного вида на любом промежутке интегрирования . Разработка программных средств реализующих расчет точного прогноза протекания процессов , является важнейшей вспомогательной научно-технической задачей . Целью данной курсовой работы является разработка алгоритма решения систем линейных дифференциальных уравнений первого порядка пяти точечным методом прогноза и коррекции Адамса-Башфорта . 1. ПОСТАНОВКА ЗАДАЧИ Рассмотрим произвольную систему линейных дифференциальных уравнений первого порядка :
тогда как : А = где А заданная матрица размером N x N .
N – произвольное целое число ;
заданные вектора правых частей с N координатами . С использованием метода прогноза и коррекции Адамса-Башфорта пятого порядка , необходимо получить значения неизвестных для заданных временных интервалов . Для стартования метода необходимо использовать метод прогноза и коррекции третьего порядка с переменным шагом , на заданных временных промежутках .. 2. МЕТОДЫ РЕШЕНИЯ 2.1. Метод прогноза и коррекции Метод прогноза и коррекции относится к задачам класса Коши , а именно к численным решениям многошаговыми методами . Рассмотрим задачу Коши :
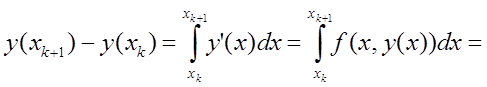
Подставим в (2.1.1) точное решение y(x) , и проинтегрируем это уравнение на отрезке
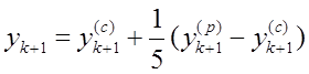
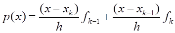
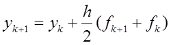
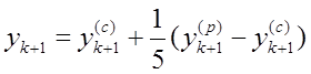
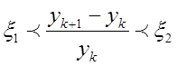
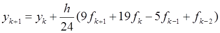
( i =k,k-1,k-2,…,k-N) . Таким образом , P – полином степени N , удовлетворяющий условиям P(xi)=fi , ( i = k,k-1,k-2,…,k-N) . В принципе , можем проинтегрировать этот полином явно , что ведет к следующему методу : В простейшем случае , когда N=0 , полином P есть константа , равная fk , и (2.1.3) превращается в обычный метод Эйлера : Если N=1 , то P есть линейная функция , проходящая через точки (xk-1,fk-1) и (xk,fk) , т.е. интегрируя этот полином от Xk до Xk+1 , получим следующий метод : который является двухшаговым , поскольку использует информацию в двух точках xk и xk-1 . Аналогично , если N=2 , то P - есть кубический интерполяционный полином , а соответствующий метод определяется формулой : Отметим , что метод (2.1.6) – есть метод Адамса-Башфорта второго порядка , (2.1.7) – метод Адамса-Башфорта четвертого порядка . Для стартования метода (2.1.7) необходимы сведения о четырех предыдущих точках . Соответственно данный метод требует вычисления стартующих данных . Воспользуемся для нахождения второй точки одношаговым методом Эйлера , который имеет вид : Таким образом , подставляя начальные условия, мы находим вторую точку . Следует заметить , что степень точности совпадает со степенью точности остальных методов , что является существенным фактором в стартовании метода прогноза и коррекции . Ввиду того , что стартовые методы имеют более низкий порядок , в начале приходится считать с меньшим шагом и с использованием большего промежутка времени . В данном случае метод Эйлера для дальнейшего интегрирования не оправдывает себя . Для этих целей воспользуемся трехшаговым методом прогноза и коррекции с переменным шагом . Рассуждая также , как для метода Адамса-Башфорта , который излагается в работах : [1],[2],[3] , мы мы приходим к формулам : Прогноз : Коррекция : где h - шаг интегрирования , изменяющийся на малом промежутке времени в соответствии с условиями Рунге : где в свою очередь Оптимально , для вычисления новой точки , с помощью метода прогноза и коррекции , используется формула : Таким образом, мы воспользовались простым трех шаговым методом прогноза и коррекции , для стартования метода Адамса-Башфорта . Преимущества данного метода заключаются :в его высокой точности , авто подборе шага , что во много раз повышает точность самого метода Адамса-Башфорта , и делает его оптимальным для задач такого рода . Метод Адамса-Башфорта использует уже посчитанные значения в точке Xk и в предыдущих точках . В принципе , при построении интерполяционного полинома , мы можем использовать и точки Xk+1,Xk+2,… . Простейший случай при этом состаит в использовании точек Xk+1,Xk,…,Xk-N и построения интерполяционного полинома степени N+1 , удовлетворяющего условиям P(Xi)=fi , (I=k+1,k,…,k-N) . При этом возникает класс методов , известных как методы Адамса-Моултона . Если N=0 , то p – линейная функция , проходящая через точки (Xk,fk) и (Xk+1,f k+1) , и соответствующий метод : является методом Адаиса-Моултона [2] , именно им мы воспользовались в формуле (2.1.9) – коррекции спрогнозированной точки в трех шаговом методе . Если N=2 , то p – кубический полином , построенный по точкам является методом Адамса-Моултона четвертого порядка . В силу того , что по сути fk+1 – неизвестная , то методы Адамса-Моултона (2.1.11),(2.1.12) называют неявными . В тоже время методы Адамса-Башфорта – называют явными . Теперь воспользовавшись явной формулой (2.1.7) , и неявной формулой (2.1.12) , используя их совместно , мы приходим к методу Адамса-Башфорта четвертого порядка :
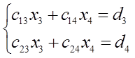
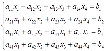
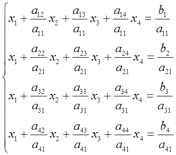
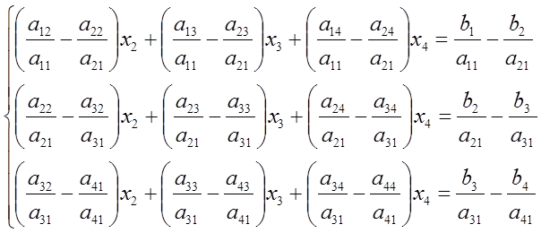
Стоит обратить внимание , что в целом этод метод является явным . Сначало по формуле Адамса-Башфорта вычисляется значение Теперь рассмотрим произвольную систему линейных дифференциальных уравнений первого порядка : где A = Заданная матрица размером NxN ; Далее, интегрируя сначала ранее описанными методами : методом Эйлера на первом шаге , трех точечным методом прогноза и коррекции с авто подбором шага , на малом промежутке времени и с малым начальным шагом , для повышения точности стартующих методов на оставшемся промежутке времени производим интегрирование с постоянным шагом – пяти точечным методом прогноза и коррекции Адамса-Башфорта (2.1.13) , [2] , [3] . 2.2 Модифицированный метод Гаусса Как типичный пример решения систем линейных дифференциальных уравнений , рассмотрим систему четырех линейных алгебраических уравнений . Для решения системы четырех линейных алгебраических уравнений с четырьмя неизвестными модифицированным методом Гаусса необходимо Составить систему : 1) Каждое уравнение делиться на коэффициент при X1
2) Теперь образуем нули в первом столбце матрицы системы : вычитаем 2-ое из 1-ого , 3-е из 2-ого , 4-ое из 3-его :
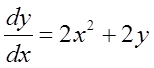
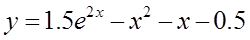
(2.2.2) 3) Повторив еще раз эти операции получим систему двух уравнений с двумя неизвестными , решение которой можно получить по формулам Крамера : Решение же X1 и X2 можно получить , подставив в какое-либо из уравнений систем (2.2.1) и (2.2.2) и разрешив эти уравнения относительно соответствующей переменной . 3. ОПИСАНИЕ АЛГОРИТМА Программа начинается с вывода сообщения о программе . После происходит считывание необходимых исходных данных из файла , для дальнейшей работоспособности алгоритма , а именно – начальных условий и матрицы коэффициентов системы линейных дифференциальных уравнений первого рода , начального шага интегрирования , левого и правого условий Рунге , время интегрирования по трех шаговому методу прогноза и коррекции , время интегрирования по пяти точечному методу Адамса-Башфорта . С помощью метода Эйлера находим дополнительные начальные условия. Решение систем линейных дифференциальных уравнений мы описываем отдельной процедурой , что облегчает дальнейшую алгоритмизацию . Далее составляем цикл , для реализации алгоритма нахождения всех Yk+1 точек на заданном малом промежутке времени , и проверкой на условия Рунге , по трех шаговому методу прогноза и коррекции с авто подбором шага . После чего мы организовываем цикл , реализующий алгоритм нахождения точек по методу Адамса-Башфота , на заданном большом промежутке времени и с шагом автоматически подобранным предыдущим методом . Вычисленные данные записываем файл , по ним формируем массив данных , которые выводим в сответствии с масштабированием на экран в виде графиков . Блок-схема приведена в Приложении 1 . 4.ОПИСАНИЕ ПРОГРАММЫ Программа реализующая универсальный алгоритм для решения систем линейных дифференциальных уравнений первого порядка произвольного вида , - построена по принципам объектно-ориентированного программирования .Основная программа построена на объектной библиотеке VFH , реализующей возможности реализации гибкого интерфейса между программой и пользователем . Основная программа включает в себя только один модуль PACM , и использует всего два метода объекта TApplPandC , - метод Application - рабочий цикл программы ; деструктор Done – реализует разрушение таблицы виртуальных методов , и операций , связанных с завершением программы . Модуль PACM включает в себя модули библиотек - реализующих построение интерфейса . Модуль реализующий алгоритм метода Адамса-Башфорта , и по вычесленным данным строящий график , есть – PACMBtn . Главным родителем всех объектов есть объект – Tobject . Основным рабочим объектом библиотеки VFH есть объект Tform . Рассмотрим потомка являющегося типичным представителем родителя TForm - TApplPandC . Он имеет два виртуалых метода : MouseHandler : Boolean Б – выходным параметром которого есть признак закрытия формы , и метод FormCreate - реализующий построение интерфейса формы . Не виртуальный метод Application - предназначен для создания формы , конфигурирования программной среды , и дальнейшего управления программой . Модуль реализующий создание и управления главного и субменю , есть – PACMMenu , позволяющий пользователю изменять параметры и настройки системы , предоставляющий справку о разработчике , а также дает доступ к справочной системе PrandCo M Help System . Данные свойства меню реализуют объекты TMenu , и THelpForm , объектной библиотеки VFH . Теперь рассмотрим модуль PACMBtn – рреализующий алгоритм построения вычисленных данных . Процедура реализующая алгоритм пяти точечного метода прогноза и коррекции Адамса-Башфорта , - MethodAdamsaBashforta ( h,tp,ta : real ; NU : array[1..N] of real ) – параметры которой представляют : h - начальный шаг интегрирования ; tp – время интегрирования трех точечным методом прогноза и коррекции , ta – время интегрирования по методу Адамса-Башфорта , NU – массив начальных условий . Данная процедура способна производить решения систем линейных дифференциальных уравнений произвольного размера , на произвольном промежутке времени интегрирования . Вычисленные данные записываются в файлы prandcom*.df . Метод реализующий алгоритм построения вычисленных данных произвольной степени сложности , с возможностью построения графиков с не линейно изменяющимся шагом , построения одновременно любого количества графиков , - есть объект TCartFile , обладающего всеми свойствами родителей Tform , Tchart . К заключению стоит заметить , что программа PrandCo M version 2.41 - разработана на языке Borland Pascal под защищенный режим работы процессора и имеет доступ ко всей оперативной памяти компьютера . Реализует гибкий интерфейс , облегчающим работу с программным обеспечением . Позволяет решить систему линейных дифференциальных уравнений первого порядка методом Адамса-Башфорта , с возможность просмотра результатов вычисления в виде графиков . Как показали тестовые программы – разработанный алгоритм предоставляет точность вычислений , погрешность которых не превышает 1% . Тексты программной оболочки PrandCo M version 2.41 приведены в приложении 4 . 5. ПРИМЕРЫ РАСЧЕТОВ Для анализа достоверности получаемых результатов рассмотрим следующие примеры : 5.1.Решение одного дифференциального уравнения Первым этапом анализа достоверности была проверка правильности решения одного дифференциального уравнения . Полученное численное решение сравнивается с аналитическим . Пусть требуется решить уравнение : при начальном условии y(0)=1 , 0<=x<=1 , и шаге интегрирования h=0.1 . Это линейное уравнение , имеющее следующее точное решение : которое поможет нам сравнить точность численного решения для случая с постоянным шагом , т.к. точность решений с переменным шагом выше . Результаты расчета представлены в Таблице 1 .Как видно из таблицы, отличие между численными и аналитическими решениями удовлетворительное даже для такого большого шага , и не превышает 2% . Теперь решим этот же пример тем же методом , но с переменным шагом . Получаем любопытные зависимости точности от выбора шага , а также шага сходимости , - которые носят периодический характер . Результаты исследования приведены в таблице 2 . Как мы видим, погрешность резко уменьшается с использованием метода с переменным шагом , и показывает очень высокую точность решения для численных методов , не превышающею 1% . Таблица 2
Таблица 2
Иллюстрация решения данного дифференциального уравнения в виде графика – приведена в Приложении 2 . 5.2.Решение системы дифференциальных уравнений Вторым этапом анализа достоверности полученных результатов была проверка правильности решения системы линейных дифференциальных уравнений с аналитическим решением . Рассмотрим следующую систему дифференциальных уравнений , которую требуется решить методом Адамса-Башфорта : Начальными условиями здесь являются :
Результаты исследования для разных начальных шагов интегрирования приведены в таблице 2 . Мы приходим к выводу , что точность решения одного уравнения и системы дифференциальных уравнений совпадают . Иллюстрация решения данной системы дифференциальных уравнений приведены в виде графика в приложении 3 . ЗАКЛЮЧЕНИЕ В данной курсовой научно-исследовательской работе разработан алгоритм и программа решения систем линейных дифференциальных уравнений первого порядка пяти точечным методом прогноза и коррекции Адамса-Башфорта . Проведены тестовые расчеты , подтвердившие высокую эффективность и точность метода Адамса-Башфорта со стартованием трех точечным методом прогноза и коррекции с переменным шагом . Проведены ряд исследований решения систем как с постоянным шагом , так и с переменным шагом на сходимость к постоянному шагу . Во всех случаях получены результаты высокой точности . Список литературы 1.Дж.Ортега , У.Пул “Введение в численные методы решения дифференциальных уравнений ”. Пер.с англ.; под редакцией А.А.Абрамова - М.;Наука.Гл.ред.физ.мат.лит.1986.-288с. 2.Р.В.Хемминг “Численные методы для научных работников инженеров ”: Пер с англ.:Под редакцией Р.С.Гутера.- Гл.ред.физ.мат.лит.1968.-203 с. Т.Шуп.”Решение инженерных задач наЭВМ. Практическое пособие “ Пер.с англ.-М.Мир.1982.-238с. Приложение 1 : Блок схема Алгоритма
+
Приложение 2:
Решение одного дифференциального уравнения Приложение 3 :
Решение системы линейных дифференциальных уравнений
3 – е уравнение 4 –ое уравнение Приложение 4 : Тексты программ { ++++++++++++++++++++++++++++++++++++++++++++++++++++++++++++++++++++++++++++ | PrandCoM version 2.41 Copiright ( c ) 2001 | | Программа разработана студентом | | Национального Технического Университета | | " Харьковский Политехнический Институ " | | группы И - 29 | | Кафедры Автоматического Управления Движением | | ( Системы и процессы управления ) | | Ухановым Е.В. | | NetMail ( FidoNet ) 2:461/212.21 | | E-Mail : JVUMailbox@rambler.ru | | | | Программа разработана на основе объектной библиотеки VFH version 4.XX | ++++++++++++++++++++++++++++++++++++++++++++++++++++++++++++++++++++++++++++ } {$M 10000,0,0} (****************************************************************************) (****** Дата последней разработки : 05.05.2001 **********************) (****************************************************************************) Program Prognoz_and_Correction_Modification; (****************************************************************************) Uses PACM; (****************************************************************************) var TPC : TApplPandC; (****************************************************************************) (******************************) begin (*************************************) TPC.Application; TPC.Done; (*******************************) end. (*************************************) (****************************************************************************) { ++++++++++++++++++++++++++++++++++++++++++++++++++++++++++++++++++++++++++++ | Версия 2.XX | | Программа разработана студентом Национального Технического | | Университета " Харьковский Политехнический Институ " группы И - 29 | | Кафедры Автоматического Управления Движением - Ухановым Е.В. | | NetMail ( FidoNet ) 2:461/212.21 | | E-Mail : jvumailbox@rambler.ru | | | | Программа разработана на основе объектной библиотеки VFH version 4.XX | ++++++++++++++++++++++++++++++++++++++++++++++++++++++++++++++++++++++++++++ } (****************************************************************************) (**** Дата последней разработки модуля : 15.04.2001 *****************) (****************************************************************************) (****************************************************************************) (*******************************) Unit PACM; (*******************************) (****************************************************************************) (*******************************) INTERFACE (********************************) (****************************************************************************) Uses FormObj,MouseObj,PACMEr,PACMMenu,PACMBtn,PACMPnl,PACMPC,PACMCnst; (****************************************************************************) type TApplPandC = object ( TForm ) Function MouseHandler : boolean;Virtual; Procedure FormCreate;Virtual; Procedure Application; end; (****************************************************************************) (******************************) IMPLEMENTATION (****************************) (****************************************************************************) Procedure TApplPandC.FormCreate; var Pnl : TPanel; Pnl1 : TPanel; TMenu1 : TCreateMenus; begin Pnl.Init(548,35,619,50,1,7,1,1,1,1,false,false); Pnl.Panel; Pnl1.Init(470,407,630,460,1,7,1,0,1,4,true,false); Pnl1.Panel; TPnl1.ToolBarCreate; TPnl1.PanelCreate; TPageControl1.PageControlCreater; TBitBtns.BitBtnCreaters; TMenu1.MenusCreate; end; (********************************) Function TApplPandC.MouseHandler; var TMouse1 : TMouse; b,x,y : word; TMenu1 : TCreateMenus; TSubMenu1 : TCreateMenus; ST1 : TSystemTime; begin MouseHandler:=false; TMouse1.GetMouseState(b,x,y); ST1.Init(549,36,618,49,1,15); ST1.SystemTime; TBitBtns.BitBtnHandlers(b,x,y); MouseHandler:=fExitBtn; TMenu1.MenusVisible(x,y); TMenu1.MenusHandlers(b,x,y); TPageControl1.PageControlHandlers(b,x,y); end; Procedure TApplPandC.Application; var TIEr : TInitErrors; begin TIEr.FatalErrorVFH; TIEr.LoadFont('km_defj8.fnt'); TIEr.FindImEr1('x.bi'); InitObjGraph; if InitMouseJVU then begin TIEr.LfLoad('Lf.sys'); TIEr.ErrorExec('x.bi'); TIEr.FindFile('f1.dat'); TIEr.FindFile('f2.dat'); TIEr.FindFile('f3.dat'); TIEr.FindFile('f4.dat'); TIEr.FindFile('km_defj8.fnt'); TIEr.FindFile('f_nfrj8.fnt'); TIEr.FindFile('t_nfrj8.fnt'); TIEr.FindFile('asdf.bi'); TIEr.FindFile('pacm_n1.bi'); TIEr.FindFile('pacm_n2.bi'); TIEr.FindFile('pacm_n3.bi'); TIEr.FindFile('pacm_n4.bi'); TIEr.FindFile('PrandCoM.hlp'); TIEr.FindFile('litj.chr'); TIEr.FindFile('scri.chr'); TIEr.FindFile('trip.chr'); TIEr.FindFile('tscr.chr'); TIEr.FindFile('initm.mtr'); TIEr.FindFile('initnu.mtr'); if not fQuickHalt then begin TIEr.LoadCFG('PrandCom.cfg'); With HT do begin hx1:=575; hy1:=20; hx2:=637; hy2:=34; hc:=true; hs:='Закрыть'; end; Init(1,1,639,479,7,1,'Prognoz & Corrections Modifications'); Form; end; end else begin TIEr.ErrorVFH; end; end; (****************************************************************************) (***********************************) END. (*********************************) (****************************************************************************) |
(1.1)
(1.2)
(2.1.2)
(2.1.3)
(2.1.5)
(2.1.6)
(2.1.7)
(2.1.9)
,
(2.1.10)
(2.1.11)
(2.1.12)
(2.1.13)



(2.2.1)
(2.2.3)



