Контрольная работа: Анализ экономических задач оптимизации
|
Название: Анализ экономических задач оптимизации Раздел: Рефераты по математике Тип: контрольная работа | |||||||||||||||||||||||||||||||||||||||||||||||||||||||||||||||||||||||||||||||||||||||||
| ФЕДЕРАЛЬНОЕ АГЕНСТВО ПО ОБРАЗОВАНИЮ Государственное образовательное учреждение высшего профессионального образования РОССИЙСКИЙ ГОСУДАРСТВЕННЫЙ ТОГОВО-ЭКОНОМИЧЕСКИЙ УНИВЕРСИТЕТ Волгоградский филиал Кафедра высшей математики и информатики
Контрольная работа по дисциплине: Информационные технологии в торговле
Исполнитель: студент 4 курса заочной формы обучения факультета: «Экономика и управление на предприятии (торговли)» Каплунова Ольга Александровна Рецензент: Дмитриева Ирина Сергеевна Волгоград 2008г. СОДЕРЖАНИЕ Задача №1 Производственная задача №3 Задача №2 Оптимальная организация рекламной компании №7 Задача №3 Транспортная задача №8 Задача №4 Задача об оптимальном назначении№8 Задача №1 Производственная задача
Постановка задачи. При производстве трех видов продукции используют два типа сырья. Составить план выпуска продукции, обеспечивающий максимум прибыли. Исходные данные таковы: Таблица 1.1
Экономико-математическая модель. Обозначим за С учетом значений задачи получаем.
2х1 + 1х2 + 3х3 ≤ 24 Дополнительные ограничения:
Необходимо найти оптимальный план выпуска продукций (т.е. Исходя из условий задачи целевая функция принимает вид:
Табличная модель.
Рис. 1.1. Табличное представление модели Более наглядно заполнение ячеек табличной формы задачи представлено на рисунке 1.2.
Рис. 1.2. Табличная модель с представленными формулами
Оптимизация.
Сервис
Рис. 1.3. Диалоговое окно надстройки Поиск решения
Рис. 1.4. Решение производственной задачи
Вывод: Оптимальный план производства, при данных условиях, состоит в том, что продукцию 1-ого и 3-ого видов необходимо производить в объеме 9 и 2 ед. соответственно, а продукции 2-ого вида не выпускать в производство. При этом обеспечивается максимальная выручка в размере 860 д.е. Задача №2 Оптимальная организация рекламной компанииПостановка задачи. На рекламу выделено 80000 руб. Предприятие рекламирует свою деятельность, используя четыре источника массовой информации: Интернет, телевидение, радио, газеты. Анализ рекламной деятельности в прошлом показал, что вложенные в рекламу средства приводят к увеличению прибыли на 16, 14, 9, 8 руб соответственно, в расчете на 1 руб, затраченный на рекламу. Руководство намерено потратить половину суммы на рекламу на телевидении, не менее 20% выделенной суммы - на радио, не более 25% - на газеты. Определить оптимальное распределение средств, направляемых на рекламу. Экономико-математическая модель.
Целевая функция: Ограничения:
х2 ≤ 0,5 * 80000, х3 ≥ 0,2 * 80000 х4 ≤ 0,25 * 80000 х1 ≥ 0, х2 ≥ 0, х3 ≥ 0, х4 ≥ 0.
Табличная модель .
Рис. 2.1 Табличное представление модели
Рис. 2.2 Табличная модель с представленными формулами Оптимизация
. Сервис
Рис. 2.3 Диалоговое окно надстройки Поиск решения
Рис. 2.4 Решение задачи об оптимальной организации рекламной компании
Вывод: Для получения максимальной прибыли, предприятие, проводя рекламную компанию, должно вложить 24000 руб. на рекламу – в Интернете, 40000 руб. в рекламу на телевидении, 16000 р. – в рекламу на радио, и не вкладывать средства на рекламу в газетах. При этом максимальная прибыль составит 1088000 руб. Задача №3 Транспортная задача
Постановка задачи. Фирма по доставке букетов цветов имеет шесть постоянных клиентов. Цветы поставляются из четырех киосков, где ежедневный запас составляет: 10, 20, 10, 30 букетов соответственно. Фирма получила заказ от постоянных клиентов: А, В, D, E, F по 10 букетов, C – 20 букетов. Удельные затраты на поставку букетов от каждого киоска каждому клиенту представлены в таблице. Определить объем поставки из каждого киоска каждому клиенту так, чтобы минимизировать суммарные затраты.
Экономико-математическая модель. Искомый объем перевозки от i
-ого поставщика к j
-ому потребителю обозначим через
Ограничения для удовлетворения спросов всех потребителей:
х12 + х22 + х3 2 + х42 = 10 х13 + х23 + х33 + х43 = 20 х14 + х24 + х34 +х44 = 10 х15 + х25 + х35 + х45 = 10 х16 + х26 +х36 + х16 = 10 Суммарные затраты на перевозку выражаются через коэффициенты затрат и поставки и определяют целевую функцию.
Табличная модель .
Рис. 3.1.Табличное представление модели
Рис. 3.2. Табличная модель с представленными формулами
Оптимизация.
Сервис
Рис. 3.3. Диалоговое окно надстройки Поиск решения
Рис. 3.4. Решение транспортной задачи Вывод: Минимальные суммарные затраты на доставку букетов цветов в размере 180 д.е. достигаются путем распределения поставок, представленных в ячейках [B4:G4]и[B6:G6] . Так, например, киоск 2 должен доставить клиенту C 10 ед. букетов и клиенту F 10ед. букетов. К клиентам A, В, D, E ехать не надо. А киоск 4 должен доставить клиентам C, D, E, по 10 ед. букетов. А к клиентам A, B, F ехать не надо. Задача №4 Задача об оптимальном назначенииПостановка задачи. На упаковочной поточной линии работают четыре сотрудника. Операции упаковки последовательны. Время работы (в мин.) каждого сотрудника на каждой операции представлено в таблице. Необходимо наладить процесс упаковки так, чтобы сократить общее время упаковки (повысить производительность).
Экономико-математическая модель. Данная задача является типичной моделью линейного целочисленного программирования (Ц.Л.П.), так как включает в себя двойственные ограничения на переменные (1- сотрудник назначается на должность, 0- сотрудник не назначается на должность).
х13 - сотрудник A назначается на должность № 3;
х23 - сотрудник B назначается на должность № 3;
х33 - сотрудник C назначается на должность № 3;
х 41 – сотрудник в назначается на должность № 1;
х43 - сотрудник в назначается на должность № 3;
Имеем матрицу переменных:
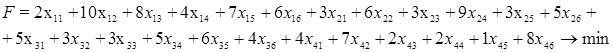
х21 х22 х23 х24 х31 х32 х33 х34 х41 х42 х43 х44 Целевая функция выражает суммарную производительность и имеет вид:
Ограничения: Матрица переменных принимает двоичное значение: 1- сотрудник назначается на должность; 0- сотрудник не назначается на должность. Табличная модель .
Рис. 4.1. Табличное представление модели
Рис. 4.2. Табличная модель с представленными формулами
Оптимизация.
Сервис
Рис. 4.3Диалоговое окно надстройки Поиск решения
Рис. 4.4. Решение задачи об оптимальном назначении
Вывод: С учетом производительности труда всех работников по каждой операции, менеджеру необходимо назначить: сотрудника A на должность № 4, сотрудника B на должность №1, сотрудника C на должность №2, сотрудника в на должность №3,. При этом коллектив добьется общей времени упаковки 29,50 мин. |
|||||||||||||||||||||||||||||||||||||||||||||||||||||||||||||||||||||||||||||||||||||||||

