Реферат: Железнодорожный грузовой транспорт, его характеристика

Название: Железнодорожный грузовой транспорт, его характеристика
Раздел: Рефераты по транспорту
Тип: реферат

Сибирская государственная автомобильно – дорожная академия

(СибАДИ)

КУРСОВАЯ РАБОТА

по учебной дисциплине: «Экономика транспорта»

тема: « Железнодорожный грузовой транспорт ».

Вариант № 09

Выполнил: Рудницкая Мария Петровна

Факультет 080502

Экономика и управление на предприятии (транспорт)

Номер студенческого ЭУТ – 07-09 ст.

III курс

2009 год.

1

Содержание

Введение…………………………………………………………………………..3

1. Железнодорожный грузовой транспорт. . . . . . . . . . . .. . . . . . . . .......... . . . 4

2. Технико-эксплутационные показатели работы подвижного состава на маршруте………………………………………………………………….…6

3. Основные технико-эксплутационные показатели работы подвижного состава на маршруте . . . . . . . . . . . . . . . . . . . . . . . . . . . . . . . . . .. . . . . .... . . . …....7

4. Средние значения технико-эксплуатационных показателей по автотранспортному предприятию в целом . . . . . . . . . . . . . . . . . . . .. . . . .......13

5. Показатели производительности подвижного состава . . . . . . . . . . . ...... ..15

Заключение……………………………………………………………………….18

Список литературы . . . . . . . . . . . ............... . . . . . . . . . . . … . . . . . . . . . . . . .19

1. Введение

Цель моей курсовой работы по дисциплине «Экономика транспорта»состоит в том, чтобы изучить технико — экономические характеристики видов транспорта и основные технико — эксплуатационные показатели работы подвижного состава на маршруте.

Согласно номеру своего варианта в практической части работы будет рассматриваться деятельность АТП, при наличии автомобилей марок ЗИЛ_ММЗ-555 и автомобилей марки МАЗ-5549. В частности основные технико-эксплуатационные показатели работы подвижного состава автотранспортного предприятия.

Россия - это, прежде всего, огромное пространство, требующее наличия достаточного количества транспортных коммуникаций, чтобы связывать это пространство, не давать ему превращаться в некую аморфную массу, лишенную динамики существования так говорит подавляющее большинство отечественных “отцов” и последователей русской геополитической мысли.

Понимая сложность данного вопроса, пытаясь не увязнуть в многообразии информации, представляется необходимым вычленить из общей транспортной системы несколько видов транспорта, влияние которых в разные периоды истории России было определяющим, причем как при грузоперевозках, так и при пассажирском сообщении, - а именно железнодорожный транспорт.

Задачи, определенные данной работой, связаны в основном, с осмыслением того, что уже сделано в плане освоения географического пространства России, и того, что еще предстоит сделать.

В этой работе основное внимание будет уделено железнодорожному транспорту. Причины будут объяснены ниже, но основная: железные дороги, в силу географического положения и природных условий России.

ТРАНСПОРТНАЯ СИСТЕМА РОССИИ

1.Железнодорожный транспорт

Первые железные дороги в России были построены в середине XIX в. В 1837 году, через 12 лет после начала движения на первой в мире железной дороге общего пользования Стоктон - Дарлингтон в Англии, открыта “экспериментальная” железная дорога Санкт-Петербург - Царское Село, а в 1851 г. - первая крупная железнодорожная магистраль Москва - Санкт-Петербург. Уже к концу XIX в. железнодорожный транспорт превысил по грузообороту традиционные для России гужевой и речной, а к 1913 г. превзошел грузооборот речного в б раз

2.Технико — экономическая характеристика видов транспорта.

Железнодорожный грузовой транспорт.

Размещение железнодорожной сети по территории России сложилось крайне неравномерно. Это связано не только с огромной территорией страны, но и с большой территориальной дифференциацией в ее заселенности, уровне и типе хозяйственного освоения

Общая протяженность железнодорожных путей составляет 151 200 км, из них 86 200 км приходится на дороги общего пользования, а 65 000 км - на ведомственные. Наиболее густая и разветвленная сеть железных дорог расположена в европейской части страны. Здесь, за исключением Северного экономического района, густота железных дорог общего пользования в несколько раз выше среднеевропейского уровня (5,1 км на 1 000 км 2 ): она изменяется от 13,6 км в Волго-Вятском до 27,6 км в Центрально-Черноземном районе

Для Восточной Сибири и Дальнего Востока характерны не только низкая плотность железных дорог (соответственно 2,1 км и 1,4 км на 1 000 км 2 ), но и их исключительное расположение в южных, наиболее освоенных районах. Железнодорожное строительство на севере Западной Сибири в 70 - 80-х годах снизило контраст в уровне насыщенности ее территории железнодорожными сетями (3,6 км на 1 000 км 2 , в том числе в Тюменской обл. - 1.7 км)

Железнодорожный транспорт является основным видом транспорта для перевозки массовых грузов и играет важнейшую роль в перемещении грузов по пространству России

Для железнодорожного транспорта характерна концентрация грузовых перевозок на главных направлениях транспортно-экономических связей. При этом основная нагрузка приходится на относительно небольшую протяженность железнодорожной сети. Половина всего грузооборота выполняется 1/6 частью железных дорог. При средней грузонапряженности железнодорожной сети России 27 млн. т-км на 1 км эксплуатационной длины они имеют грузонапряженность в 2 раза большую. К наиболее грузонапряженным линиям относятся Транссибирская магистраль, особенно ее участок от Омска до Новосибирска (это наиболее грузонапряженный участок железной дороги в мире - более 100 млн. т-км на 1 км длины)

Железнодорожный транспорт - основной вид магистрального транспорта, обеспечивающий межрайонные перевозки массовых видов грузов. Его ведущее значение обусловлено двумя факторами: технико-экономическими преимуществами над большинством других видов транспорта и совпадением направления и мощности основных транспортно-экономических межрайонных и межгосударственных (в границах СНГ) связей России с конфигурацией, пропускной и провозной способностью железнодорожных магистралей (в отличие от речного и морского транспорта)

Железнодорожный транспорт отличают универсальность (способность провозить практически все виды грузов), высокая провозная и пропускная способность, сравнительно невысокая себестоимость перевозок (в отличие от воздушного и автомобильного транспорта), независимость от природных условий (строительство железных дорог практически на любой территории, возможность ритмично осуществлять перевозки во все времена года, в отличие от речного транспорта), сравнительно высокая скорость движения и др

Сеть железных дорог обеспечивает основные грузопотоки не только между экономическими районами России, но и между Россией и странами ближнего зарубежья. Именно железные дороги относятся к основным элементам территориального каркаса хозяйственного ландшафта страны на глобальном и региональных уровнях

3.Технико — эксплуатационные показатели работы подвижного состава на маршруте

Марка автомобиля ЗИЛ-ММЗ-555 МАЗ-5549
Списочное количество, ед. 350 250
Поступило , ед.:
- дата 15,01 13,09
- количество 10 8
Выбыло, ед.:
- дата 17,10 10,11
- количество 4 3
Время в наряде, ч. 8,9 9,0
Среднее расстояние перевозки, км. 15 19
Коэффициент выпуска автомобилей на линию 0,74 0,82
Коэффициент использования грузоподъемности 0,97 0,95
Средняя техническая скорость км/ч. 25 35

4.Основные технико — эксплуатационные показатели работы подвижного состава на маршруте.

По индивидуальному варианту рассчитываются следующие технико — эксплуатационные показатели (ТЭП) работы автотранспортного предприятия (АТП). Технико — эксплуатационные показатели, которые необходимо принять для расчета представлены в приложениях 1,2 методического указания.

1.Среднесписочное количество автомобилей в парке.

Для оценки провозных возможностей предприятия в течении определенного периода (квартал, год) используется показатель средней численности списочного парка:

, (1)

где Асп среднесписочное количество автомобилей, ед.; Анг среднесписочное количество автомобилей на начало года, ед.; Авыб количество выбывших автомобилей, ед.; Апост количество поступивших автомобилей, ед.; Др пост, выб – дни работы поступивших (выбывших) автомобилей; Дк – дни календарные.

ЗИЛ-ММЗ-555

(350-4)*365+10*225-4*58/365=353ед.

МАЗ-5549

(250-3)*365+8*243-3*75/365=252ед.

2.Автомобиле-дни в хозяйстве:

, (2)

где АДх автомобиле-дни в хозяйстве.

АД х 1= 353*365 = 128845

АД х 2= 252*365 = 91980

3.Автомобиле-дни работы:

, (3)

где АДр автомобиле-дни работы; αв коэффициент выпуска автомобилей на линию.

АД р 1= 128845*0,74 = 95345

АД р 2= 91980*0,82 = 75424

4.Автомобиле-тонно-дни работы:

, (4)

где Ат Др – автомобиле-тонно-дни работы; q – грузоподъемность автотранспортного средства, т.

Ат Др 1= 95345*0,97 = 92485

Ат Др 2= 75424*0,95 = 71653

5. Автомобиле-часы работы:

, (5)

где АЧр автомобиле-часы работы; Тн – время в наряде,ч.

АЧ р 1= 95345*8,9 = 848571

АЧ р 2= 75424*9,0= 678816

6. Общая грузоподъемность парка:

.

(6)

qобщ = (353*3,5)+(252*6,0) = 2748 т.

7. Среднеходовое количество автомобилей – это технически исправные автотранспортные средства, находящиеся в распоряжении АТП:

, (7)

где Ах – среднеходовое количество автомобилей; Др – дни работы, дн.

Ах 1= (128845*0,74) / 365 = 261

Ах 2= (91980*0,82) / 365 = = 207

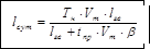
8. Среднесуточный пробег автомобиля:

, (8)

где l сут – среднесуточный пробег автомобиля, км; V т – средняя техническая скорость, км/ч; l ге длина груженой ездки, км;β – коэффициент использования пробега.

l сут 1= (8,9*25*15) / (15+0,023*25*0,5) = 223 км

l сут 2= (9,0*35*20) / (20+0,022*35*0,5) = 315 км

9. Общий пробег:

, (9)

где L общ – общий пробег, км.

Lобщ 1 = 95345*223 = 21261935 км

Lобщ2 = 75424*315 = 23758560 км

10. Общий пробег с грузом:

, (10)

где β – коээфициент использования пробега, β = 0,5.

Lг 1= 21261935*0,5 = 10630968 км

Lг 2= 23758560*0,5 = 11879280 км

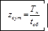
11. Суточное число ездок:

, (11)

где z сут - суточное число ездок; t об время оборота, ч.

Zсут 1= 8,9*1,23 = 7,2ч

Zсут 2= 9,0*1,15 = 7,8ч

12. Время оборота:

, (12)

где L м – длина маршрута, км.; t пр время простоя под погрузкой-разгрузкой, ч.

tоб 1= (15/25,8)+0,023 = 0,62 ч

tоб 2= (19/35,6)+0,022 = 0,56 ч

Общее количество ездок с грузом:

, (13)

где z общ общее количество ездок с грузом.

Zобщ 1= 95345*7,2 =686484

Zобщ 2= 75424*7,8 =588307

Суточный объем перевозок:

, (14)

где Q сут суточный объем перевозок, т.; γ – коэффициент использования грузоподъемности.

Qсут 1= (8,9*25*0,5*3,5*0,97) / (15+0,023*25*0,5) = 25 т.

Qсут 2= (9*35*0,5*6,0*0,95) / (20+0,022*35*0,5) = 44 т.

Общий объем перевозок грузов:

, (15)

где Q общ общий объем перевозок грузов, т.

Qобщ 1= 7,2*3,5*0,97*95345 = 2330613 т

Qобщ 2= 7,8*6,0*0,95*75424 = 3353351 т

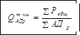
Общий грузооборот:

, (16)

где Робщ - общий объем перевозок грузов, т.·км.

Робщ 1= 2330613*15= 34959195 т.км

Робщ 2= 3353351*20 = 67067020 т.км

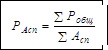
4. Средние значения технико-эксплуатационных показателей по

автотранспортному предприятию в целом.

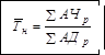
1. Среднее время в наряде, ч:

. (17)

Тн = (848571+678816) / (95345+75424) = 8,9ч

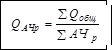
2. Средняя грузоподъемность по парку, т:

. (18)

q = (353*3,5) + (252*6) / (353+252) = 4,4 т

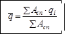
3. Средний коэффициент использования грузоподъемности:

- статический ; (19)

γ ст = (2330613+3353351) / (686484*3,5+588307*6) = 0,96

- динамический .

(20)

γ дин = (34959195+67067020) / (10630968*3,5+11879280*6,0) = 0,94

4. Среднее расстояние перевозки, км.:

. (21)

l = 34959195+67067020 / 2330613+3353351 = 17,9км

5. Средняя техническая скорость, км/ч:

, (22)

V т = (21261935+23758560) / 1500468 =30 км/ч

- автомобиле-часы движения, ед.·ч.:

, (23)

АЧ дв = (848571+678816)-26919 =1500468

- автомобиле-часы простоя под погрузкой-разгрузкой, ед.·ч.:

. (24)

АЧ пр = 0,023*686484 +0,022*588307= 26919 ед.ч

5. Показатели производительности подвижного состава.

1. В тоннах на 1 автомобиле-день работы:

. (25)

Qт АДр = (2330613+3353351) / (95345+75424) = 33 т

2. В т∙км на 1 автомобиле-день работы:

. (26)

Qткм АДр = (34959195+67067020) / (95345+75424) = 597 т км

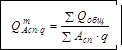
3. В т∙км на 1 списочный автомобиль:

. (27)

РАсп = 34959195+67067020 / (353+252) = 168638 т км

4. В тоннах на 1 списочную автомобиле-тонну:

. (28)

Qт Асп q = (2330613+3353351) / (353*3,5+252*6,0) = 2068 т

5. В т∙км на 1 списочную автомобиле-тонну:

. (29)

Рт Асп q = (34959195+67067020) /(353*3,5+252*6,0) = 37127 т км

6. В т∙км на 1 км пробега:

. (30)

Ркм = (34959195+67067020) / (21261935+23758560) = 2,3 т км

7. В тоннах на 1 автомобиле-час работы:

. (31)

QАЧр = (2330613+3353351) / (848571+678816) = 4 т

Заключение

По итогам курсовой работы можно сделать вывод, что на балансе у грузового автотранспортного предприятия находится 350 автомобилей марки ЗИЛ-ММЗ-555 и 250 автомобилей марки МАЗ-5549.

В ходе написания курсовой работы удалось установить, что снижение себестоимости перевозок является одним из направлений эффективной деятельности АТП. В неуклонном снижении себестоимости проявляется режим экономии, рост производительности труда, оптимизация технико-эксплуатационных показателей.

Автомобильный транспорт является довольно затратной отраслью народного хозяйства, но в тоже время и прибыльной. Дальнейшее проведение режима развития автомобильного транспорта возможно только на уровне государства.

Список литературы

1. В Коллегии МПС России. Развитие реформ на железнодорожном транспорте в 1996г. Железнодорожный транспорт. Изд. «Транспорт» М., 1996. № 2. с.3, 4.

2. Громов И.Н. Единая транспортная система. Изд.

«Транспорт» М., 1989. с. 165.

Коммерческая и грузовая работа на железнодорожном транспорте: Учебник В.М. Семенов, В.Н. Кустов, М.н, Тертеров, И.И. Романова. – СПб 1995г.

3.Правела перевозок грузов Ч. 1. М.:Транспорт 1985г.

4, Организация грузовой и коммерческой работы на ж.д. тр. Смехов