Курсовая работа: Статистический анализ и прогнозирование безработицы
|
Название: Статистический анализ и прогнозирование безработицы Раздел: Рефераты по социологии Тип: курсовая работа | |||||||||||||||||||||||||||||||||||||||||||||||||||||||||||||||||||||||||||||||||||||||||||||||||||||||||||||||||||||||||||||||||||||||||||||||||||||||||||||||||||||||||||||||||||||||||||||||||||||||||||||||||||||||||||||||||||||||||||||||||||||||||||||||||||||||||||||||||||||||||||||||||||||||||||||||||||||||||||||||||||||||||||||||||||||||||||||||||||||||||||||||||||||||||||||||||||||||||||||||||||||||||||||||||||||||||||||||||||||||||||||||||||||||||||||||||||||||||||||||||||||||||||||||||||||||||||||||||||||||||||||||||||||||||||||||||||||||||||||||||||||||||||||||||||||||||||||||||||||||||||||||||||||||||||||||||||||||||||||||||||||||||||||||||||||||||||||||||||||||||||||||||||||||||||||||||||||||||||||||||||||||||||||||||||||||||||||||||||||||||||||||||||||||||||||||||||||||||||||||||||||||||||||||||||||||||||||||||||||||||||||||||||||||||||||||||||||||||||||||||||||||||||||||||||||||||||||||||||||||||||||||||||||||||||||||||||||||||||||||||||||||||||||||||||||||||||||||||||||||
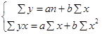
Содержание Введение Глава 1. Теоретические основы изучения безработицы 1.1. Понятие безработицы 1.2. Виды безработицы Глава 2. Методология анализа безработицы 2.1. Система показателей, характеризующих безработицу 2.2. Методы, используемые для измерения состояния безработицы Глава 3. Экономико–статистический анализ и прогнозирование безработицы 3.1. Экономический анализ 3.2. Анализ динамики безработицы с использованием временных рядов 3.3. Многофакторный корреляционно – регрессионный анализ безработицы 3.4. Прогнозирование безработицы Заключение Приложения Список используемой литературы Введение Я решила написать курсовую работу на тему: “Статистический анализ и прогнозирование безработицы”, так как проблема безработицы является наиболее актуальной на сегодняшний день. Осуществляемый в России переход к рыночным отношениям связан с большими трудностями, возникновением многих социально-экономических проблем. Одна из них - проблема занятости, которая неразрывно связана с людьми, их производственной деятельностью. Переход к рынку не только заострил проблемы занятости, но и добавил к ним новые, связанные со структурной перестройкой российской экономики и возникновением новых трудовых отношений, обусловленных разными формами собственности. В результате произошло неизбежное высвобождение работников с предприятий и пополнение ими уже и без того многочисленной армии безработных. Десятки и даже сотни тысяч людей в нашей стране оказались в буквальном смысле выброшенными на улицу. Но только четвертая часть из них согласно официальным данным имеют статус безработного. Но рассматривать безработицу только как явление переходного периода ошибочно. Она связана и с экономическим развитием, и с изменением потребности в рабочей силе, и с социальным статусом самого работника. Безработица - не просто отсутствие работы, это также и социальная катастрофа, оказывающая мощное и разрушительное влияние на людей. Это явление сказывается на экономическом, социальном и психологическом состоянии людей. И хотя безработица может оказаться созидательным, мобилизующим волю испытанием, большинство прошедших через это говорят, что пережили отчаяние, бессилие и растерянность, особенно если были без работы дольше, чем несколько недель. Психологами доказано, что столкновение с безработицей отрицательно сказывается на средней продолжительности жизни, состоянии здоровья, долголетии и уровне смертности, пристрастии к алкоголю. Более того, хочется особо отметить, что сокращаются не только доходы семьи, но и теряется самоуважение людей, возникают различной степени сложности заболевания на нервной почве и наблюдается ощущение безнадежности в завтрашнем дне. Человек просто-напросто теряет ориентир и смысл дальнейшей борьбы за жизнь. Он просто начинает существовать, а не жить. А это, на мой взгляд, самое худшее, потому что теряется личность индивида. Для многих людей чувство собственного достоинства непосредственно связано с тем делом, которым они заняты. Поэтому, обнаружив, что они являются невостребованными на рынке труда, люди переживают тяжёлое психологическое потрясение, депрессию. Депрессия, в свою очередь, приводит к бездеятельности, а бездеятельность к потере квалификации, потере самоуважения, упадку моральных устоев, а также к общественным и политическим беспорядкам. Объектом исследования является безработица. Предмет исследования – показатели и методы, используемые для измерения состояния безработицы. Цель данной работы - изучение показателей безработицы, используемых для измерения ее состояния; статистический анализ и прогнозирование безработицы. В своей работе я последовательно рассмотрю такие задачи как: 1) рассмотреть основные понятия рынка труда, занятости и безработицы; 2) описать основные виды безработицы; 3) изучить показатели безработицы; 4) рассмотреть методы, используемые для измерения состояния безработицы. 5) сделать статистический анализ и прогнозирование безработицы. Структура работы. Курсовая работа состоит из введения, трех глав, заключения, приложения и списка используемой литературы. Глава 1. Теоретические основы изучения безработицы. 1.1. Понятие безработицы. Мировая экономическая практика свидетельствует, что обеспечение полной занятости и одновременное повышение экономической эффективности общественного производства в современных условиях трудно достижимо, скорее всего, невозможно. Это объясняется тем, что главный фактор экономического роста и объективности производства – научно-техническая революция выступает одновременно с главным фактором возникновения безработицы. Экономическая эффективная реализация достижений НТР невозможна без абсолютного высвобождения рабочей силы. При этом сокращение занятости происходит не только при технико-технологическом обновлении действующих рабочих мест, но и при новом капитальном строительстве. Последнее осуществляется в условиях НТР на новой технической основе, обеспечивающей сокращение занятости и удельное удешевление производства. Существенное влияние на безработицу оказывают структурные изменения в экономике, что также является следствием влияния НТР, в частности, на ускорение темпа научно-технического прогресса, оказывающего резкое воздействие на конъюнктуру товарных рынков и вызывающего несовпадение спроса и предложения на рабочую силу. Чаще всего рыночную экономику увязывают с безработицей. Действительно, исторический опыт учит, что в странах с рыночной системой хозяйствования практически всегда существует некоторое количество безработных. Принято считать, что уровень безработицы от 1 до 3% вполне допустим, с безработицей в 5% экономика способна существовать, но уже 7% - социально опасный уровень, которого надо избегать. Следует, правда, отметить, что и в рыночной и в нерыночной экономике обычно существуют два явления: безработица людей и «безработица» рабочих мест, то есть наряду с людьми, не имеющими работы, имеются незанятые рабочие места. Но обычно в рыночной экономике количество безработных людей намного превышает количество не соответствующих их запросам рабочих мест, тогда как в нерыночной экономике и даже в экономике переходного типа чаще наблюдается обратная картина. Безработица – это социально-экономическое явление, при котором часть рабочей силы (экономически активного населения) не занята в производстве товаров и услуг. Безработные наряду с занятыми формируют рабочую силу страны. В реальной экономической жизни безработица выступает как превышение предложения рабочей силы над спросом на нее. К безработному по определению МОТ (Международная Организация Труда) относится индивид, который: 1) не имеет работы в данный момент, то есть не работали за плату по найму или на собственном предприятии, как это предусмотрено международным определением занятости; 2) предпринимает конкретные и активные попытки найти работу; 3) в данный момент готов приступить к работе, то есть начать работать за плату по найму или на собственном предприятии в течение отчетного периода. К безработным, согласно статистике многих развитых стран, относятся лица, не занятые на момент проведения опроса о статусе их занятости, предпринимавшие попытки найти работу в течение предыдущих четырех недель и зарегистрированные на бирже труда. Безработица - это явление, органически связанное с рынком труда. По российскому законодательству, безработными признаются трудоспособные граждане, которые не имеют работы и заработка, зарегистрированы в органах службы занятости в целях поиска подходящей работы, ищут работу и готовы приступить к ней. 1.2. Виды безработицы Современные экономисты рассматривают безработицу как естественную и неотъемлемую часть рыночного хозяйства. В этой связи большое внимание уделяется анализу типов безработицы. Каждый из существующих видов безработицы порождается своими причинами. Фрикционная безработица связана с поисками или ожиданиями работы. Одни люди добровольно меняют место работы в связи с изменением профессиональной ориентации, сменой места жительства или чтобы занять лучшие должности в иных фирмах. Другие люди ищут новую работу вследствие увольнения по несоответствию или из-за банкротства фирмы. Третьи временно теряют сезонную работу. Четвертые (молодежь) впервые ищут работу. Когда все эти люди приступят к работе, им на смену придут новые, сохраняя из месяца в месяц этот тип безработицы. Фрикционная безработица является даже желательной, так как позволяет работникам улучшать условия труда и находить более высокую заработную плату. Сегодня фрикционную безработицу считают той ценой, которую общество должно платить за поддержание эффективности экономики, за постоянное обновление производства в угоду меняющимся запросам граждан. Главным признаком такой безработицы является ее небольшая продолжительность. И потому фрикционная безработица - явление, которое устранить, не только невозможно, но и нецелесообразно. Более сложной является оценка структурной безработицы. Структурная - безработица, вызываемая крупными структурными изменениями в экономики, когда общество избавляется от устаревших предприятий, подотраслей, иногда даже целых отраслей, что влечет исчезновение большого числа рабочих мест для тех, кто там работал раньше. В ходе технологических преобразований спрос на одни профессии уменьшается или прекращается, на другие увеличивается, меняется географическое распределение рабочих мест. Например, внедрение персональных компьютеров сократило спрос на пишущие машинки, что снизило спрос на труд на предприятиях по производству пишущих машинок. Одновременно увеличился спрос на труд в электронной промышленности. Разные регионы производят разные товары, спрос на труд может одновременно сокращаться в одних регионах и возрастать в других. Если фрикционные безработные имеют навыки, которые могут применять, то структурные безработные без переподготовки, дополнительного обучения, перемены места жительства найти работу не смогут. Поскольку структурные сдвиги происходят постоянно, и рабочим требуется определенное время для смены работы, то структурная безработица носит устойчивый характер. Структурные безработные испытывают трудности в получении работы из-за недостаточно высокой или ставшей недостаточной квалификации, дискриминации по признакам пола, этнической принадлежности, сексуальной ориентации, возраста или инвалидности. Даже в периоды высокого уровня занятости среди структурных безработных сохраняется непропорционально высокая безработица. Избежать структурной безработицы невозможно. Структурная безработица, при всей своей болезненности, также может не волновать страну, но лишь в том случае, если общее число свободных мест не уступает числу людей, ищущих работу, хотя и имеющих другие специальности. Циклическая безработица вызывается спадом, то есть той фазой экономического цикла, которая характеризуется недостаточностью общих расходов. Когда совокупный спрос на товары и услуги уменьшается, занятость сокращается, а безработица растет. Спад - это циклическое снижение деловой активности, в результате которого люди теряют рабочие места, на тот период пока вновь не возрастет спрос и не произойдет оживление деловой активности. Для сглаживания негативных последствий такого вида безработицы необходимы разработка и принятие специальных программ обеспечения занятости населения, субсидируемых государством. По оценкам западных специалистов, в периоды экономических подъемов и спадов величина циклической безработицы может колебаться от 0 до 8-10% и более, значительно увеличивая, тем самым общий уровень безработицы. Еще один из видов безработицы - сезонная безработица, которая порождается временным характером выполнения тех или иных видов деятельности и функционирования отраслей хозяйства. К ним относятся сельскохозяйственные работы, рыболовство, сбор ягод, сплав леса, охота, частично строительство и некоторые другие виды деятельности. В этом случае отдельные граждане и даже целые предприятия могут интенсивно работать несколько недель или месяцев в году, резко сокращая свою деятельность в остальное время. В период напряженной работы происходит массовый набор кадров, а в период свертывания работ - массовые увольнения. Этот вид безработицы по отдельным характеристикам соответствует циклической безработице, по другим - фрикционной, так как она носит добровольный характер. Прогноз показателей сезонной безработицы можно определить с большой степенью точности, поскольку она повторяется из года в год, и, соответственно, есть возможность подготовиться к решению проблем, вызванных ею. Одной из разновидностей безработицы является частичная безработица, которая возникает в результате снижения спроса на продукцию предприятия. В этом случае возможны два варианта поведения предпринимателя: либо он сохраняет возможность трудиться для части персонала полное рабочее время, а другую часть увольняет, либо без увольнения дает возможность работать всем неполное рабочее время, что и ведет к возникновению частичной безработицы. Анализ экономических показателей дает возможность оценить издержки безработицы. Так, считается, что при каждом увеличении реального объема производства на 2% норма безработицы имеет тенденцию к снижению на 1%, и наоборот. Исходя из необходимости учета безработных и принятия соответствующих государственных мер по обеспечению работой всех желающих, различают: зарегистрированную безработицу, которая отражает количество незанятых граждан, ищущих работу, готовых приступить к ней и взятых на учет в государственной службе занятости; скрытую безработицу, к которой относятся работники, занятые на производстве, но в действительности являющиеся «лишними». Суть ее в том, что в условиях неполного использования ресурсов предприятия, вызванного экономическим кризисом, компания не увольняет работников, а переводит их либо на сокращенный режим рабочего времени (неполная рабочая неделя или рабочий день), либо отправляют в вынужденные неоплаченные отпуска. Формально таких работников нельзя признать безработными, однако фактически они являются таковыми. Это свидетельствует, что одно рабочее место лишнее, а уровень скрытой безработицы достигает 50%. Существует еще так называемая безработица по обследованию - оценочная величина, характеризующая реальное положение на рынке труда на основе периодических специальных опросов трудоспособного населения. Добровольная безработица - это безработица связана с нежеланием работать, существует при наличии свободных рабочих мест, когда потенциального работника не устраивает уровень заработной платы, либо сам характер труда (тяжелый, малоинтересный, непрестижный труд). Вынужденная безработица возникает вследствие отсутствия сырья, энергии, комплектующих, приведшего к остановке предприятия, порождается новыми условиями функционирования предприятий и формами найма, а так же вынужденным переселением. Застойная безработица - эта форма безработицы, наиболее характерная для экономики переходного общества. Застойная безработица как наиболее типичная форма безработицы переходной экономики усугубляется тем, что традиции прошлого во многом приводят к надеждам значительной части работников на возможность решения своих проблем в будущем за счет поддержки государства, но не за счет собственной активности. Глава 2. Методология анализа безработицы 2.1. Система показателей, характеризующих безработицу Основные показатели безработицы: уровень общей безработицы, уровень зарегистрированной безработицы и продолжительность безработицы. Уровень безработицы определяется как отношение числа безработных к числу занятых и безработных (в процентах) по следующей формуле: где УБ – уровень безработицы; З – число занятых; Б – число безработных. Уровень регистрируемой безработицы, определяемый отношением численности безработных, зарегистрированных в органах службы занятости, к численности экономически активного населения: Урб = Чрб / Чзан x 100% , где Урб – уровень регистрируемой безработицы; Чрб – численность зарегистрированных безработных; Чэан – численность экономически активного населения; Этот показатель носит административный характер. Если человек пришел в службу занятости, его зарегистрировали, поставили на учет. Он приходит в службу занятости, отмечается, ему выплачивают пособие. Такие люди считаются безработными в рамках административной системы. Длительность безработицы характеризуется временем нахождения без работы и определяется как средняя продолжительность пребывания без работы всех безработных или отдельных их категорий или безработных отдельных территорий и т.п. Когда длительность периода поиска работы превышает календарный год, безработица считается опасной, «застойной». По карточкам персонального учета обратившихся за помощью в трудоустройстве может быть определена общая продолжительность трудоустройства граждан (человеко-дней). Продолжительность трудоустройства рассчитывается по всем гражданам, трудоустроенным в отчетном году, исходя из данных о дате снятия с учета по причине трудоустройства и о дне регистрации обратившегося за трудоустройством. На основании данного показателя можно определить среднюю продолжительность трудоустройства граждан за год, используя формулу:
Аналогично по всем безработным, трудоустроенным в отчетном году, рассчитывается общая продолжительность трудоустройства безработных (человеко-дней). При этом продолжительность поиска работы каждого считается со дня регистрации человека как "безработный" до снятия с учета по причине его трудоустройства.
Далее этот показатель может использоваться для расчета средней продолжительности трудоустройства безработных в днях (путем деления его на общее число безработных, трудоустроенных в отчетном году). Для прогнозных расчетов численности безработных анализируется уровень обращаемости населения в органы службы занятости. Интенсивность спроса на рабочую силу может быть оценена через число обращений по вопросам трудоустройства на 1000 человек трудоспособного населения в трудоспособном возрасте. Уровень общей безработицы, который определяется как удельный вес безработных в численности экономически активного населения (ЭАН) на начало (конец) периода или в среднем за год: Уровень безработицы (%)= Нередко уровень безработицы определяется как удельный вес безработных в общем объеме трудовых ресурсов. Найденный таким образом уровень безработицы по своей величине оказывается ниже рассмотренного ранее (в % к ЭАН). Между ними существует примерно следующая связь: Уровень безработицы Доля экономически Уровень безработицы в % к экономически * активного населения = в трудовых активному населению в трудовых ресурсах ресурсах Приведенная взаимосвязь показателей справедлива лишь в целом. В ряде случаев возможны их нарушения, если в составе безработных окажется, велика доля лиц нетрудоспособного возраста (например, пенсионеров, ищущих работу и готовых к ней приступить), ибо возрастные границы для категорий трудовые ресурсы и экономически активное население не совпадают. Однако в большинстве случаев приведенные равенства имеют место. Сумма показателей уровней занятости и безработицы в трудовых ресурсах дает удельный вес экономически активного населения в трудовых ресурсах. Недостающие до 100 проценты – экономически не активное население, которое не входит в состав рабочей силы. Поскольку численность экономически активного населения, численность занятых и безработных связаны аддитивно, динамика этих показателей характеризуется следующим образом:
где Кэ – коэффициент роста численности экономически активного населения; Кз и Кб – коэффициенты роста численности занятых и безработных; Уз 0 и Уб 0 – уровни занятости и безработицы в базисном периоде. Темп динамики общей численности безработных определяется показателями темпов роста. Изменения в уровне безработицы хотя и могут быть измерены коэффициентами роста, но нагляднее характеризовать их в виде абсолютных приростов, выраженных в процентных пунктах. Изменение в пунктах уровня безработицы можно определить, основываясь на модели динамики численности экономически активного населения:
где ΔУб – абсолютное изменение уровня безработицы, выраженное в процентных пунктах. Как правило, уровень безработицы, рассчитанный по методологии МОТ на основе выборочных обследований, в 3-6 раз выше уровня, зарегистрированного в органах Государственной службы занятости РФ. Различия этих показателей еще более ощутимы, если учесть состав безработных по полу. Оценка значимости подобного различия может быть дана с помощью F- критерия Фишера, если рассматривать материалы выборки до распространения их на генеральную совокупность: F = Dфакт / Dост , где Dфакт и Dост – факторная и остаточная дисперсии на одну степень свободы. Для определения этих дисперсий можно использовать следующие формулы, учитывающие правило сложения дисперсий альтернативного признака:
где k- число групп населения по полу, рj – доля безработных, обратившихся в службу занятости, в общей численности безработных (отдельно среди мужчин и среди женщин); p – средняя доля безработных, обратившихся в службу занятости в целом по обследованию; nj – численность безработных- отдельно для мужчин и женщин; n- общая численность безработных. Факторная дисперсия характеризует различия по полу уровня обращения безработных в службу занятости. Остаточная дисперсия оценивает вариацию доли безработных, обратившихся в службу занятости, независимо от пола граждан. Итак, если F – критерий фактический превышает табличную величину, то состав безработных по полу обусловливает существенные различия в уровне официально зарегистрированной в службах занятости безработицы. Данные текущей статистики служб занятости о трудоустройстве населения используются для оценки общей численности безработных в периоды между обследованиями населения по проблемам занятости. Для расчета численности безработных в месяцы между двумя обследованиями применяется интерполяция соотношения численности безработных, полученной по данным обследования, и численности незанятого населения, учтенной в службе занятости на соответствующую дату. Методика подобных расчетов может быть разной в зависимости от принятой концепции интерполяции. Вначале определяется, как изменилось за период между двумя последними обследованиями соотношение общей численности безработных, полученной по данным обследования, и численности незанятого населения, состоящего на учете в органах службы занятости. Cn = xn /yn ; C0 = x0 /y0 ; ∆=Сn -C0 ; ∆=∆/t, где xn иx0 - общая численность безработных по данным двух последних обследований; yn и y0 - численность незанятого населения, состоящего на учете в органах службы занятости; Cn иC0 - соотношения общей численности безработных; ∆ - изменение этих соотношений между двумя последними обследованиями; ∆ - изменение соотношений между двумя обследованиями в среднем за месяц; t – число месяцев между двумя смежными обследованиями. Если предположить, что ежемесячно данное соотношение возрастает на одну и ту же величину, то общая численность безработных на конец рассматриваемого месяца определится как:
где t – порядковый номер месяца после даты предыдущего обследования; Yt – численность незанятого населения, состоящего не учете в органах службы занятости на конец рассматриваемого месяца t. Возможен и другой метод интерполяции численности безработных между двумя датами обследования, если предположить, что ежемесячно рассматриваемое соотношение двух источников информации о численности безработных меняется не в арифметической, а в геометрической прогрессии (в одно и то же число раз). С этой целью определим общий коэффициент роста данного соотношения: k0 = Cn /C0 , Т.е. коэффициент роста соотношения данных за период между двумя смежными обследованиями. Средний ежемесячный коэффициент роста данного соотношения найдем как: Тогда, предполагая, что ежемесячно данное соотношение изменяется в одно и то же число раз – k, численность безработных в месяце t можно оценить по формуле: Теоретически оба варианта интерполирования равноправны, хотя на практике отдается предпочтение первому методу как более простому. Статистика изучает состав населения, ищущего работу и обратившегося в службу занятости по полу, возрасту и образованию. Как результат деятельности службы занятости определяется численность трудоустроенных ее органами граждан в общей численности обратившихся. Наибольший удельный вес среди трудоустроенных составляют не занятые трудовой деятельностью граждане как наиболее нуждающиеся в поддержке лица. По всем безработным, трудоустроенным в отчетном году, рассчитывается общая продолжительность трудоустройства безработных (человеко-дней). При этом продолжительность поиска работы каждого считается со дня регистрации человека как безработного до снятия с учета по причине его трудоустройства. Далее этот показатель может использоваться для расчета средней продолжительности трудоустройства безработных в днях (путем деления его на общее число безработных, трудоустроенных в отчетном году). Для прогнозных расчетов численности безработных анализируется уровень обращаемости населения в органы службы занятости. Интенсивность спроса на рабочую силу может быть оценена через число обращений по вопросам трудоустройства на 1000 человек трудоспособного населения в трудоспособном возрасте, т.е. Результативность работы органов служб занятости по трудоустройству населения во многом зависит от достоверности и своевременности информации от предприятий о потребности в рабочей силе, о вакансиях на рабочие места. В настоящее время по регионам России определяется нагрузка незанятого населения на одну вакансию: Численность незанятых, обратившихся Нагрузка незанятого в службы занятости на конец периода населения на одну = вакансию Число вакансий на конец периода Данный показатель фиксирует масштаб напряженности на рынке труда. Средствами статистики при анализе данных выборочного обследования по проблемам занятости и от органов службы занятости по приложению к форме №1-Т «Отчет о трудоустройстве и занятости населения» получают социальный состав безработных. В отчете содержится информация о качественном составе безработных (распределение их по полу, возрасту, уровню образования, причинам увольнения, наличию детей, профессии, специальности). Изучение качественного состава безработных способствует разработке более эффективной политики занятости (субсидии на расширение рабочих мест, система подготовки и переподготовки рабочей силы, поощрение предпринимательской деятельности и др.) Образовательный состав безработных можно сравнивать с аналогичным составом занятых. С позиции профессиональной ориентации безработных необходимо изучение их возрастного состава. Чтобы прогнозировать занятость и безработицу, необходима информация о длительности безработицы. На основании распределения безработных можно приближенно определить среднюю продолжительность безработицы как среднюю арифметическую взвешенную:
где Ti - время отсутствия работы в i-ой группе; Ni – численность безработных i-ой группы. Медиану продолжительности безработицы определяют по формуле: Me= x0 + i *(NMe -SMe-1 )/ fMe где x0 – нижняя граница медианного интервала, т.е. первого интервала с накопленной частотой 50 и более %; i – величина медианного интервала; NMe – порядковый номер медианы; SMe -1 – накопленная частота предмедианного интервала; fMe – локальная частота медианного интервала. Этот показатель характеризует то, что около половины безработных ищут работу более найденной величины медианы. Время поиска работы достаточно тесно связано с возрастом безработных и существенно различается по полу. Рассчитывают коэффициенты корреляции и детерминации. Существенность данных различий подтверждается величиной F- критерия Фишера, которая должна быть выше табличного значения. Расчет F –критерия осуществляется по формуле: F= r2 / (1-r2 )* (n-2), где n – число возрастных групп. Чтобы правильно оценить ситуацию на рынке труда, необходимо проанализировать причины, приведшие граждан к статусу безработных (в связи с высвобождением по причине сокращения штатов, ликвидации организации, собственного дела, с увольнением по собственному желанию). Разные причины сокращения рабочих мест обусловливают соответствующую систему мер социальной защиты безработных. Вместе с тем неодинаковые реальные возможности помощи в трудоустройстве при существенных различиях ситуаций на рынке труда приводят к сильной дифференциации регионов по уровню официально зарегистрированной безработицы. 2.2. Методы, используемые для измерения состояния безработицы В настоящее время в мировой практике применяется два основных метода измерения безработицы: на основе данных соответствующих служб о зарегистрированных безработных и общенациональных выборочных обследований домохозяйств. Каждый из методов имеет свои достоинства и недостатки. Выборочное обследование населения позволяет выявить практически все категории безработных, в том числе и те, которые по каким-либо причинам оказались вне поля зрения служб занятости. Кроме того, данные обследований удобны для межстрановых сопоставлений. В то же время возможности применения названного метода ограничены. Во-первых, для регулярного и качественного проведения опросов на основе репрезентативной (в том числе по регионам) выборки и оперативной обработки их результатов требуются соответствующее технологическое обеспечение, квалифицированные кадры и немалые финансовые затраты. Во многих развивающихся странах это стало серьезной преградой на пути широкого распространения данного метода. Во-вторых, любое выборочное обследование в отличие от сплошного наблюдения объективно предполагает наличие статистической ошибки. В процессе дробления выборки (например, при региональном анализе или дезагрегировании показателей) ошибка выборки становится все более значимой. На определенном этапе выборка может потерять репрезентативность. В-третьих, те или иные концептуальные положения, составляющие выборки, вопросы анкеты периодически пересматриваются, что приводит к несопоставимости данных за различные периоды времени. Преимущества учета безработицы на основе данных регистрации заключаются в том, что при этом не требуется значительных финансовых затрат, а отчетность имеет сплошной и непрерывный характер, что позволяет легко отделить сезонные колебания занятости, безработицы и других параметров рынка труда от долговременных тенденций их изменения. Сплошная статистика дает возможность подробно анализировать ситуацию в каждом регионе и положение безработных по отдельным категориям, так как в этом случае дезагрегирование само по себе не снижает достоверность показателей. В странах, применяющих регистрационный метод, ширится понимание того, что собираемая информация неизбежно является неполной, так как она представляет собой лишь побочный продукт органа социальной защиты, ориентированного, прежде всего на помощь определенному контингенту населения. Информация о числе зарегистрированных безработных, пользующихся правом на пособие, неизбежно "отсекает" тех лиц, не имеющих работы, которые либо не удовлетворяют критериям регистрации, либо нарушили какие-то правила, либо просто предпочитают искать работу самостоятельно (правда, численность последней категории в развитых странах невелика, так как процедура регистрации проста, а пособия выплачиваются регулярно). Кроме того, критерии предоставления пособий различаются по странам, поэтому национальные данные несопоставимы. Все перечисленные обстоятельства побуждают европейские страны, опирающиеся на данные отчетности служб занятости, регулярно (как правило, один - два раза в год) проводить выборочные обследования в соответствии с методологией МОТ. Таким образом, на протяжении уже четырех десятилетий во многих странах собираются данные об уровне безработицы из двух независимых источников. По данным выборочных обследований определяют численность лиц, не имеющих работы или доходного занятия, активно его ищущих и готовых приступить к работе, которые в соответствии с методологией МОТ классифицируются как безработные. Прежде всего, дается информация об абсолютной численности безработных в стране и по регионам. Глава 3. Экономико–статистический анализ и прогнозирование безработицы 3.1. Экономический анализ безработицы Привычным явлением для некоторых категорий населения стала безработица. В 2005 году из общей численности трудовых ресурсов 252,4 тыс. человек или 30,4 % не занято в экономике. Из них 54,1 тыс. человек – это лица, не имеющие работы или доходного занятия, ищущие работу и готовые приступить к ней, и в соответствии с критериями Международной организации труда (МОТ) классифицируются как безработные. Общая численность безработных за 2006г. увеличилась на 6,5 тыс. человек или на 12 % и составила 60,6 тыс. человек. За год численность безработных – мужчин увеличилась на 10,6 тыс. человек (42%), женщин – безработных сократилась на 4,1 тыс. человек (14%). Удельный вес женщин в общей численности безработных составил 41% и за год уменьшился на 12 процентных пункта. (см. приложение 1) Безработные в республике в среднем моложе занятого населения. Средний возраст безработных в 2006 году составил 33,3 года, а занятых – 38,3. Самая большая пятилетняя группа в составе безработных – это лица в возрасте от 25 до 29 лет, на их долю приходится 19,1 % общей численности безработных, а всего в возрасте до 30 лет находится 46,5 % безработных. Среди занятых доля лиц в возрасте до 30 лет значительно меньше (27,8%). (приложение 2) Около четверти безработных имеют высшее или среднее профессиональное образование. Среди женщин такое образование имеют 32,7 %, среди мужчин – 19,1 %. Следует отметить, что удельный вес безработных с высшим и средним специальным образованием за последние годы падает как у женщин, так и мужчин. (приложение 3) Как показали материалы обследований населения по проблемам занятости, доля безработных, использующих в качестве способа поиска работы обращение в органы государственной службы занятости, за последние годы несколько возросла. Среди безработных этот способ поиска работы использовали 37,1% (в2005г.- 33,5%, 2004г. – 38,1%, 2003г.- 36,6%, в 2001г. – 29%). В настоящее время наиболее предпочтительным является обращение при поиске работы к помощи друзей, родственников и знакомых – его использовали свыше 57% безработных. Среднее время поиска работы безработными в 2006 г. составило 10,5 месяцев, увеличилась доля безработных, ищущих работу год и более. Стаж пребывания в состоянии безработицы один год и более имели 33.1 тыс. человек или 54,6 % безработных (2005г. -22,4 тыс. человек, т.е. 41,3%). В 2006 г. притоков в безработицу лиц, высвобожденных с предприятий в связи с ликвидацией или сокращением штатов, сократился на 10%. Пятая часть безработных потеряли работу по этой причине. Возросла в составе безработных численность лиц уволившихся по собственному желанию на 2,4 тыс человек, или на 43%. Наряду с притоком безработных, ранее имевших работу, увеличилась численность безработных, не имеющих опыта работы. За год численность этих лиц возросла на 10,2 тыс человек, их удельный вес в общем числе безработных составил 41,2 % (в 2005г. -27,4%). Уровень общей безработицы (по методологии МОТ)
В целом уровень обшей безработицы в республике за весь период ее регистрации выше, чем по России, что говорит о напряженности на региональном рынке труда. В общей численности безработных 3,6 тыс. человек составляют граждане, которым, в соответствии с законодательством РФ, не может быть присвоен статус безработного в органах по содействию занятости населения. Среди них 0,8 тыс. человек (1,3% от общего числа безработных) – студенты и учащиеся дневных образовательных учреждений, и 2,8тыс. (4,6%) – пенсионеры, занимающиеся поиском работы и готовые приступить к ней, т.е. отвечающие критериям для отнесения их к безработным по методологии МОТ. (приложение 1) В органы государственной службы занятости населения (ДФГСЗН по РБ) обращается порядка 14-22 % общего числа лиц ищущих работу на региональном рынке труда. Значительная часть безработных ищет работу без обращения в службу занятости. Низкая заинтересованность граждан в постановке на учет, а также тот факт, что основной доле безработных пособие начисляется в минимальном размере, приводят к значительной разнице между фактической и официальной зарегистрированной численностью безработных. Всего в республике на конец 2006 года состояло на учете в Департаменте федеральной государственной службы занятости населения по РБ (ДФГСЗН) не занятых трудовой деятельностью граждан 16,1 тыс. человек, из них имели статус безработного 15,7 тыс. человек, что на 1,4 тыс. человек больше, чем на конец 2005 года. Из общего количества безработных, зарегистрированных на конец 2006г., женщины составляли 62 %, молодежь в возрасте 16-29 лет – 27%, инвалиды- 7 %. Уровень официально зарегистрированной безработицы по республике на конец 2006 г. составил 3,6% экономически активного населения. За 2006 г. при содействии службы занятости трудоустроились 12,9 тыс. безработных (почти в 3 раза меньше вставших на учет), направлены на профессиональное обучение 3,3 тыс. человек, на досрочную пенсию оформлены 308 безработных. Средняя продолжительность поиска работы зарегистрированными в качестве безработных осталась на уровне 2005 г. (4,1месяца). На конец 2006года 640 предприятий республики объявили 3450 вакансий, из них рабочих массовых профессий – 2561 вакансии (74%). Наибольшее число вакансий сосредоточено в здравоохранении и социальном обеспечении, образовании, культуре и науке (23,4% вакансий), управлении (14,1%), промышленности и строительстве (по 12,6%). Нагрузка незанятого населения, состоящего на учете в службе занятости, к концу 2006 г увеличилась с 4,2 до 4,6 человека на одну заявленную вакансию. Вместе с тем на региональном рынке труда наблюдается устойчивое превышение нагрузки на одну заявленную вакансию. Вместе с тем на региональном рынке труда наблюдается устойчивое превышение нагрузки на одну заявленную вакансию в ДФГСЗН по сравнению со среднероссийскими показателями, которая в 2006г в республике была в 2,3 раза больше, чем в среднем по России. Нагрузка незанятого населения на 1 заявленную вакансию, человек
3.2. Анализ динамики безработицы с использованием временных рядов 1. Расчет аналитических (∆у , Тр , Тпр , |%|) и средних показателей рядов динамики. Наиболее простым показателем анализа динамики является абсолютный прирост (Dу): где: Dу - абсолютный прирост; уi - текущий уровень ряда; уi - 1 - предшествующий уровень; i - номер уровня. Цепные коэффициенты роста исчисляются по формуле:
где: К р - коэффициент роста. Базисные коэффициенты роста исчисляются:
Если коэффициенты роста выражаются в процентах, то их называют темпами роста: Наряду с коэффициентами роста исчисляются и коэффициенты прироста:
Абсолютные и относительные величины необходимо брать вне отрыва друг от друга. Поэтому большое значение имеет расчет показателя абсолютного значения 1% прироста: |%|= Средний абсолютный прирост определяется:
Средний коэффициент роста, а, следовательно, и прироста: Средний темп роста представляет собой средний коэффициент роста, выраженный в процентах: Таблица 1. Расчетная таблица для ∆у , Тр , Тпр ,|%|.
По данным таблицы 1 видно, что максимальное значение абсолютного прироста (по цепной системе) зафиксировано в 1997 году (29,87 тыс.чел.), минимальное значение - в 2005 году (-13,77тыс.чел.). Максимальное значение абсолютного прироста по базисной системе составило 66,96 тыс.чел. в 1997 году, минимальное - -0,05 тыс.чел. в 1993 году. В общем 1997г. по сравнению с 1992г. численность безработных увеличилась на 66,96 тыс.чел. и самая высокая численность безработных за период 1992-2005гг. зарегистрирована в 1997г - численность безработных в 3,28 раза больше, чем в 1992г. На 84,7% численность безработных в 2005г. больше, чем безработных в 1992г. 0,96 тыс.чел. приходится на 1% прироста безработных в 1998г. Рассчитаем среднегодовой уровень численности безработных: У=950,4/14=67,9тыс.ч., т.е. за период 1992-2005гг. ежегодно численность безработных составила 67,9 тыс. чел. Средний абсолютный прирост: Равен ∆=24,83/13=1,91тыс.чел., т.е. за период с 1992-2005гг. в среднем ежегодно абсолют. прирост численности безработных составил 1,91тыс. чел. Средний темп роста: Тр =1,0096 или 100,96% - это говорит о том, что с 1992-2005гг. в среднем ежегодно темп роста безработных составил 100,96%. Средний темп прироста: Тпр = 100,96%-100%= 0,96% - с 1992-2005гг. в среднем темп прироста достигал 0,96%. 2. Определение наличия тенденции средних и дисперсии на базе методов: Метод проверки существенности разности средних. Выдвигаем гипотезу Н0 об отсутствии тенденции, проверка осуществляется на основе кумулятивного t-критерия Стьюдента. Расчетное значение определяется по формуле:
Tp = 10,418; tp =4,174 Табличное значение t-критерия Стьюдента для числа степеней свободы df=(n-2)=12 и вероятности 95% составляет 2,1788. Tp >tтабл → гипотеза Н0 о равенстве средних отвергается, расхождение между средними существенно значимо и не случайно, то в ряде динамики существует тенденция средней и, следовательно в исходном временном ряду тенденция имеется. Метод Фостера – Стюарта. Кроме определения наличия тенденции явления этот метод позволяет выявить основную тенденцию дисперсии уровней ряда динамики. 1. Сравнивается каждый уровень ряда со всеми предыдущими, при этом если уi >yi -1 , то Ui =1; Li =0;при уi <yi -1 , то Ui =0; Li =1; 2. Вычисляются значения величин S и d: S=∑Si , где Si =Ui + Li d=∑di , где di =Ui - Li Показатель S характеризует тенденцию изменения дисперсии ряда динамики, а показатель в - изменение тенденций в среднем. 3. Проверяется с использованием t-критерия Стьюдента гипотеза о том, можно ли считать случайными разности S-µ и d-0: 4. Сравниваются расчетные значения ts и td c табличными значениями. Таблица 3. Для определения Ui и Li .
Определяем значения S=13 и d=1. По данным таблицы при n=14, µ=4,636, σ1 =1,521, σ2 =2,153. По этим значениям рассчитаем: ts =(13-4,636)/1,521=5,499 и td =(1-0)/2,153=0,465 Табличное значение tтабл для двустороннего критерия при уровне значимости 0,10 равно tтабл =1,761, т.е. tтабл > td , tтабл < ts → гипотеза об отсутствии тенденции в дисперсии показателя численности безработных отвергается, а в средней - подтверждается. 3. Определение наличия тенденции автокорреляции. Автокорреляцию измеряют при помощи коэффициента автокорреляции:
σя
и σя+1
-среднеквадратические отклонения рядов Если значение последнего уровня (yn
) ряда мало отличается от первого (y1
), то сдвинутый ряд можно условно дополнить, принимая yn
=y1
. Тогда yt
=yt
+1
и Таблица 4. Исходные данные и расчет необходимых величин.
ra = 0,778 Приводим сопоставление полученного коэффициента автокорреляции с табличным при выборке n=14. При уровне значимости Р=0,05 ra табл =0,335. Следовательно, ra факт > ra табл , что говорит о наличии автокорреляции в ряду динамики. Критерий Дарбина - Уотсона. Выдвигается гипотеза Н0 об отсутствии автокорреляции.
Таблица 5. Для определения величины Дарбина-Уотсона.
Величина критерия Дарбина – Уотсона D=5862,9/3756,83=1,56 dL =1,08 dU =1,36 Расчитанное значение попадает в отрезок от dU до 4-dU . Следовательно, нет оснований отклонять гипотезу Н0 об отсутствии автокорреляции в остатках. После того как установлено наличие тенденции в ряду динамики, производится ее описание с помощью методов сглаживания. 4. Выявление основной тенденции. Метод скользящей средней. Сначала найдем скользящие средние путем суммирования уровней ряда за каждые 4 года и разделив полученные суммы на 4. Потом найдем центрированные скользящие средние, для чего найдем средние значения из 2 последовательных скользящих средних. И найдем оценки сезонной компоненты. Таблица 6. Расчет оценок сезонной компоненты.
Рис. 1. Динамика численности безработных за 1994-2005гг. Скользящая средняя дает более или менее плавное изменение уровней. На графике не проявляется сильно выраженный недостаток скользящих средних. Но в начале и в конце динамического ряда отсутствуют данные, в результате чего становится не совсем ясна закономерность. Это и является минусом данного, наиболее простого из всех остальных метода. Для более точного анализа использую метод аналитического выравнивания. Метод аналитического выравнивания и определение параметров. Аналитическое выравнивание ряда динамики имеет задачу найти плановую линию развития (тренд) данного явления, характеризующую основную тенденцию её динамики. Для отображения основной тенденции развития явления применяются полиномы разной степени, при которых оценка параметров производится по МНК. Так, для линейного тренда y=a+bt система уравнений следующая: Таблица 7. Расчет параметров линейного тренда.
Из таблицы 7 подставим значения в систему и получим: Уравнение "линейной" модели примет вид:
Оценим параметры уравнения на типичность. Для расчёта используем следующие формулы: где: S2 - остаточная уточнённая дисперсия; mа , mв - ошибки по параметрам. После подстановки значений получились следующие данные:
Оценим значимость параметров модели по критерию Стьюдента. Предположим, что параметры и коэффициент корреляции стат. значимы. где: ta , tb - расчётное значение t-критерия Стьюдента для параметров. После подстановки данных в формулы получим следующие значения:
Сравним полученное значение с табличным tтабличное при Р=0,05 (уровень значимости) и (n-2)= 2,1788. Так как tрасчётное > tтабличное , то параметры уравнения типичны (значимы) и данное уравнение используется в дальнейших расчетах. Оценим уравнение в целом по критерию Фишера, выдвигаем гипотезу Н0 : о том, что коэффициент регрессии равен нулю.
Fф=Dфакт /Dост =2410,54/405,25=5,95. FT (v1 =1;v2 =12)=4,75. Поскольку Fф > FT при 5%-ном уровне значимости гипотеза Н0 отвергается, уравнение в целом стат. значимо. Из уравнения видно, что ежегодно численность безработных возрастала в среднем на 2,49%. Построим график исходных данных.
Рис. 2. График исходных данных. По графику видно, что временной ряд характеризуется сначала тенденцией возрастания до 2000г., а затем убывания. Можно предположить, что данный ряд, вероятно, развивается согласно полиномиальной функции, которая описывается параболой второго порядка: Система нормальных уравнений для расчета параметров параболы 2-ой степени составит:
Решив систему, получим параметры уравнения тренда: а=13,37; b=13,94; c=-1,0017. Соответственно уравнение тренда составит: у =13,37+13,94t-1,0017t2
Оценим параметры уравнения на типичность. где: S2 - остаточная уточнённая дисперсия; mа , mв, mr - ошибки по параметрам. После подстановки значений получились следующие данные:
Оценим значимость параметров модели по критерию Стьюдента. Предположим, что параметры и коэффициент корреляции стат. значимы. Для расчёта использую следующие формулы: где: ta , tb , tr - расчётное значение t-критерия Стьюдента для параметров. После подстановки данных в формулы получил следующие значения:
Сравним полученное значение с табличным t-критерием Стьюдента. tтабличное при Р=0,05 и (n-2)= 2,1788. Так как tрасчётное > tтабличное , то параметры b и r уравнения типичны (значимы). Так как tрасчётное < tтабличное , то параметры с и а незначимы. Оценим уравнение в целом по критерию Фишера, выдвигаем гипотезу Н0 :о том, что коэффициент регрессии равен нулю. Fф=Dфакт /Dост =10333,6/906,597=11,398. FT (v1 =1;v2 =12)=4,75. Т.к. Fф > FT при 5%-ном уровне значимости гипотеза Н0 отвергается, уравнение в целом стат. значимо. 5. Автокорреляция уровней временного ряда. Для выбора прогностической модели необходимо исследовать автокорреляцию уровней динамического ряда, т.е. изучить корреляционную связь между последовательными значениями уровней временного ряда. Таблица 9. Расчет коэффициента автокорреляции.
По данному ряду определяю серию коэффициентов автокорреляции (автокорреляционную функцию): ra1 =0,809, ra2 =0,52, ra3 =0,233, ra4 =-0,421, ra5 =-0,854, ra6 =-0,746, ra7 =-0,894, ra8 =-0,907, ra9 =-0,735, ra10 =-0,898, ra11 =-0,919. Построим график автокорреляционной функции.
Рис. 3. Коррелограмма для ряда численности безработных в РБ за 1992-2005гг. Коррелограмма представляет собой затухающую функцию. По графику видно, что наиболее высоким оказался ra 1 =0,809, т.е. уровни текущего года на 80,9% обусловлены уровнями предыдущего года. Поэтому ряд содержит только тенденцию и не содержит периодических колебаний. В данном ряду отсутствует трендовая компонента Т и циклическая (сезонная) компонента S. 3.3. Многофакторный корреляционно – регрессионный анализ безработицы Таблица 10. Исходные данные.
Для корреляционно-регрессионного анализа необходимо из нескольких факторов произвести предварительный отбор факторов для регрессионной модели. Сделаем это по итогам расчета коэффициента корреляции. А именно возьмем те факторы, связь которых с результативным признаком будет выражена в большей степени. Начнем наш анализ с рассмотрения следующих факторов: - Индекс ВРП - x1 (%) - Доход на душу населения – x2 (%) - Доля пенсионеров - x3 (%) Рассчитаем коэффициент корреляции для линейной связи и для имеющихся факторов - x1 , x2 и x3 . Коэффициент корреляции определяется по следующей формуле:
где: Для фактора x1 получаем коэффициент корреляции r1 : r1 = 0,627 Для фактора x2 получаем коэффициент корреляции r2 : r2 =0,295 Для фактора x3 получаем коэффициент корреляции r3 : r3 =0,717 По полученным данным можно сделать вывод о том, что: 1)Связь между x1 и y прямая (так как коэффициент корреляции положительный) и умеренно сильная. Поэтому, будем использовать фактор в дальнейших расчётах. 2)Связь между x2 и y прямая (так как коэффициент корреляции положительный) и умеренная, так как она находится между 0,21 и 0,30. Таким образом, возникает необходимость исключить данный фактор из дальнейших исследований. 3)Связь между x3 и y прямая (так как коэффициент корреляции положительный) и сильная. Также будем использовать данный фактор в дальнейших расчетах. Таким образом, два наиболее влиятельных фактора - индекс ВРП и доля пенсионеров. Для имеющихся факторов x1 и x3 составим уравнение множественной регрессии. Для анализа воспользуемся линейной формой связи, т.е. составим линейное уравнение, т.к. линейное уравнение легче подвергать анализу, интерпретации. Проверим факторы на мультиколлинеарность, для чего рассчитаем коэффициент корреляции rx 1 x 3 :
где: Подставив имеющиеся данные (из таблицы 10) в формулу, имеем следующее значение: rx 1 x 3 =0,8998.Полученный коэффициент говорит об очень высокой связи, поэтому дальнейший анализ по обоим факторам вестись не может. Однако в учебных целях продолжим анализ. Проводим оценку существенности связи с помощью коэффициента множественной корреляции:
где: ryx 1 – коэффициент корреляции между y и x1 ; ryx 3 – коэффициент корреляции между y и x3 ; rx 1 x 3 – коэффициент корреляции между x1 и x3 . Подставив имеющиеся данные в формулу и получим: R=0,717 Так как R < 0,8, то связь признаем не существенной, но, тем не менее, в учебных целях, проводим дальнейшее исследование. Уравнение прямой имеет следующий вид: ŷ = a + bx1 + cx3 Для определения параметров уравнения необходимо решить систему: Решив систему, получим уравнение: Ŷ=14,72+0,00023 x1 +0,00086x3 Для данного уравнения найдем ошибку аппроксимации:
А> 5%, то данную модель нельзя использовать на практике. Проведем оценку параметров на типичность. Рассчитаем значения величин: S2 =28,039 ma =1,415; mb =0,023; mс =0,8404; ta =10,403; tb =0,01; tc =0,001. Сравним полученные выше значения t для α = 0,05 и числа степеней свободы (n-2)с теоретическим значением t-критерия Стьюдента, который tтеор = 2,1788. Расчетные значения tb и tс < tтеор , значит данные параметры не значимы и данное уравнение не используется для прогнозирования. Далее оценим существенность совокупного коэффициента множественной корреляции на основе F-критерия Фишера по формуле:
где: n – число уровней ряда; к – число параметров; R – коэффициент множественной корреляции. После расчета получаем: F=5,819 Сравним Fрасч с Fтеор для числа степеней свободы U1 = 9 и U2 = 2, видим, что 0,045 < 19,40, то есть Fрасч < Fтеор - связь признаётся не существенной, то есть корреляция между факторами x1 , x3 и у не существенна. 3.4. Прогнозирование безработицы Определив наличие тенденции, можно начать прогнозирование. Прогнозирование проводится следующими методами: 1)на основе средних показателей динамики; 2)на основе экстраполяции тренда; 3)на основе скользящих и экспоненциальных средних. I. Сначала проведем прогнозирование методом среднего абсолютного прироста. Для этого надо проверить выполняются ли предпосылки. Вычисляем данные для подстановки в формулы предпосылок: ρ2 = 310,14 σ2 ост = 250,11 т.к. σ2 ост < ρ2 , условие выполняется, значит можно строить прогноз на основе среднего абсолютного прироста. Вычислим средний абсолютный прирост:
Подставляем значения yb =54,13 L=1 ∆=1,91 в функцию прогноза: yp =54,13+1,91*1=56,04 – прогноз на 2006г. yp =54,13+1,91*2=57,95 – прогноз на 2007г. Фактически численность безработных в 2006г. составила 60,6 тыс.чел. Вычислим ошибку прогноза для сравнения методов прогнозирования на точность: 60,6-56,04=4,56 тыс.чел. Теперь составим прогноз методом среднего темпа роста. Вычислим средний темп роста: yp = yb *КL
Подставим это значение в формулу и составим прогноз на 2006г.: yp =54,13*1,00961 =54,65 Вычислим ошибку: 60,6-54,65=5,95тыс.чел. Так как ошибка при прогнозировании методом среднего абсолютного прироста меньше ошибки при прогнозировании методом среднего темпа роста, то можно сделать вывод, что прогнозирование первым методом дает более точные результаты. Поэтому мы оставляем для анализа результатов данные прогноза полученные методом среднего абсолютного прироста. Составим диаграмму при прогнозировании методом абсолютного прироста.
Рис. 4.Численность безработных при прогнозировании «методом абсолютного прироста» II. Следующий способ прогнозирования - методом экстраполяции тренда. Ранее по аналитическому выравниванию нашли уравнение параболы второй степени: у =13,37+13,94t-1,0017t2 Сделаем прогноз на 2006г., примем t=7, т.к. нумерация дат определена с середины ряда, т.е. ∑t=0. уp =13,37+13,94*7-1,0017*49=60,87 – прогноз на 2006г. Определим доверительный интервал прогноза, в основе которого лежит показатель колеблемости уровней ряда. Колеблемость уровней ряда определяется по формуле: Sy = Sy =91,44 Интервал определяется с помощью ошибки прогноза Sp = Sy *Q, где Q- поправочный коэффициент, учитывающий период упреждения. Q= = 1,2127 Тогда ошибка прогноза: Sp =91,44*1,2127=110,886 Соответственно доверительный интервал прогноза составит: уp +t*Sp , где t-табличное значение t-критерия Стьюдента. При ά=0,05 и числе степеней свободы n-3= 11 t=2,2010. уp +2,2010*110,886 или 61,87 +244,061, т.е. -182,2< уp <305,93 Значит, прогнозная величина находится в данном интервале.
Рис.5. Численность безработных при прогнозировании «методом экстраполяции тренда» III. Метод скользящих и экспоненциальных средних. Ранее в своих расчетах я определила, что ряд не содержит периодических колебаний и отсутствуют трендовая компонента Т и циклическая (сезонная) компонента S. Поэтому нет необходимости использовать метод скользящих средних. Метод экспоненциальных средних. Экспоненциальное сглаживание является простым методом, который в ряде наблюдений позволяет строить приемлемые прогнозы наблюдаемых временных рядов. Суть метода в том, что исходный ряд x(t) сглаживается с некоторыми экспоненциальными весами, образуется новый временной ряд S(t) (с меньшим уровнем шума), поведение которого можно прогнозировать. Веса в экспоненциальных средних устанавливаются в виде коэффициентов ά(|ά|<1). В качестве весов используется ряд: ά; ά(1- ά); ά(1- ά)2 ; ά(1- ά)3 и т.д. Экспоненциальная средняя определяется по формуле: где Qt – экспоненциальная средняя (сглаженное значение уровня ряда) на момент t; ά- вес текущего наблюдения при расчете экспонен. средней; yt –фактический уровень ряда; Qt -1 -экспонен. средняя предыдущего периода. Каждый новый прогноз основывается на предыдущем прогнозе: St = St -1 +ά( yt -1 - St -1 ), где St - прогноз для периода t; St -1 -прогноз предыдущего периода; ά- сглаживающая константа; yt -1 - предыдущий уровень. Например, St =29,3+0,5*(29,25-29,3)=29,275. При прогнозе учитывается ошибка предыдущего прогноза, т.е. каждый новый прогноз St получается в результате корректировки предыдущего прогноза с учетом ошибки. Таблица 12. Расчет прогноза и ошибки.
Рис. 6. Экспоненциальное сглаживание. При прогнозировании могут использоваться экспоненциальные средние более высоких порядков, полученные путем многократного сглаживания. Экспоненциальная средняя К-го порядка: Qt (к) = ά Qt (к-1) +(1- ά) Qt -1 (к) Экспоненциальные средние 2-го, 3-го порядка применяются в адаптивном прогнозировании по полиномиальным моделям. Для прогноза использован линейный тренд: y=a+bt. Его параметры связаны с экспоненциальными средними 1-го (Qt (1) ) и 2-го (Qt (2) ) порядков:
соответственно: Необходимо задать начальные условия Qt -1 к :
Линейный тренд: уt =49,25+2,49t Параметр сглаживания ά определим: ά=2/(n+1). Так как n=14, то ά=2/(14+1)=0,13. Соответственно (1- ά)/ά=(1-0,13)/0,13=6,69, ά/(1- ά)=0,13/(1-0,13)=0,15. Начальные условия для экспоненциального сглаживания: Qо (1) =а-6,69*b=49,25-6,69*2,49=32,59 Qo (2) =а-2*6,69*b=49,25-2*6,69*2,49=15,93 Экспоненциальные средние Qt (1) и Qt (2) составят: Qt (1) = άyt +(1- ά) Qt -1 (1) =0,13*84,11+(1-0,13)*32,59=39,28, где yt =yt = n ;Qt -1 (1) = Qо (1) Qt (2) = άQt (1) +(1- ά) Qt -1 (2) =0,13*39,28+(1-0,13)*15,93=18,97, где Qt -1 (2) = Qo (2) Тогда скорректированные параметры линейного тренда составят:
Прогноз производим по модели: Тогда при l=1 прогноз на 2006г. составит: уp =59,59+3,0465*1 =60,6т.ч. Соответственно при прогнозе на 2007г. берем l=2: уp =59,59+3,0465*2=65,683. Таким образом, по результатам проведенного анализа следует, что численность безработных в 2006 году возрастет по сравнению с 2005г. на 6,5 тыс.чел. или 12% и составит 60,6 тыс.чел., а в 2007г. возрастет на 11,55 тыс.чел. и составит 65,68 тыс.человек. 3.5. Анализ динамики уровня безработицы 1. Расчет аналитических (∆у , Тр , Тпр , |%|) и средних показателей рядов динамики. Таблица 1. Расчетная таблица для ∆у , Тр , Тпр ,|%|.
Максимальное значение абсолютного прироста (по цепной системе) зафиксировано в 1997 году (7,1%), минимальное значение - в 1999 году(-4,5%). Максимальное значение абсолютного прироста по базисной системе составило 16,4% в 1998 году, минимальное – 0,1 в 1993 году. В общем абсолютный прирост уровня безработицы по цепной, так и по базисной системам с 1992 по 1998г увеличивается, а с 1998г уменьшается. Это объясняется, прежде всего, неравномерностью освоения инвестиций по отношения к периоду финансового года, что характеризует большой поток инвестиций на завершение начатых проектов в конце года, и относительно небольшой поток их в течение остального времени. Коэффициенты роста и прироста, как по базисной, так и по цепным системам также сначала увеличиваются, а потом уменьшаются. Максимальный коэффициент роста как по цепной зафиксирован в 1994г., по базисной в 1998г.- 3,828. Минимальное значение коэффициента роста по цепной системе принимает в 2005 году и составляет 0,784, а по базисной системе – в 1993 году и составляет 1,017. Коэффициент прироста достигает своего максимального значения по базисным системам в 1993г., и составляет - 0,017, по цепной системе в 1998г. (2,828). Коэффициент прироста достигает своего минимального значения: по цепной системе в 1998г., и составляет - -0,216; по базисной системе -2,828 в 1998 года. Так как темпы роста и прироста зависят от коэффициентов роста и прироста, то их максимальные значения будут также находиться по цепной системе в 1994 г., по базисной в 1998г. Максимальное значение темпа роста по цепной системе составляет 166,1%, по базовой - 382,76 %, минимальное - 78,43 % и 101,72 % соответственно. Максимальное значение темпа прироста по цепной системе составляет 66,102%, по базовой - 282,76%, минимальное соответственно - -21,57% и 1,724%. Рассчитаем среднегодовой уровень численности безработных: У=280,1/14=20,01%, т.е. за период 1992-2005гг. ежегодно уровень численности безработных составила 20,01%. Средний абсолютный прирост: Равен ∆=6,2/13=0,48%, т.е. за период с 1992-2005гг. в среднем ежегодно абсолют. прирост уровня численности безработных составил 0,48%. Средний коэффициент роста: Тр =1,042 или 104,2% - это говорит о том, что с 1992-2005гг. в среднем ежегодно темп роста безработных составил 104,2%. Средний темп прироста: Тпр = 104,2%-100%= 4,2% - с 1992-2005гг. в среднем темп прироста достигал 4,2%. 2. Определение наличия тенденции. Выдвигаем гипотезу Н0 об отсутствии тенденции, проверка осуществляется на основе кумулятивного t-критерия Стьюдента. Расчетное значение определяется по формуле:
Таблица 2. Для расчёта характеристик S2 и Z2 .
Tp = 10,581; tp =4,26 Табличное значение t-критерия Стьюдента для числа степеней свободы df=(n-2)=12 и вероятности 95% составляет 2,1788. tp >tтабл → гипотеза Н0 о равенстве средних отвергается, расхождение между средними существенно значимо и не случайно, то в ряде динамики существует тенденция средней и, следовательно в исходном временном ряду тенденция имеется. 3. Метод аналитического выравнивания и определение параметров.
Рис.7. График общего уровня безработицы. По графику видно, что временной ряд характеризуется сначала тенденцией возрастания до 1998г., а затем убывания. Можно предположить, что данный ряд, вероятно, развивается согласно полиномиальной функции, которая описывается параболой второго порядка: Таблица 3. Расчет параметров тренда.
Подставим значения из таблицы 3 и решим систему. Получим параметры уравнения тренда: а=2,46; b=3,545; c=-0,205. Соответственно уравнение тренда составит: Оценим параметры уравнения на типичность. Найдем S2 - остаточная уточнённая дисперсия; mа , mв, mr - ошибки по параметрам. Получим следующие данные: S2 =6,29; mа =0,671; mв =0,028; mr =0,173 Оценим значимость параметров модели по критерию Стьюдента. Предположим, что параметры и коэффициент корреляции стат. значимы. Найдем расчётные значения t-критерия Стьюдента для параметров: ta =3,669; tb =126,61; tс =-7,32; tr =4,636. Сравним полученное значение с табличным t-критерием Стьюдента. tтабличное при Р=0,05 и (n-2)= 2,1788. Так как tрасчётное > tтабличное , то параметры а, b и r уравнения типичны (значимы). Так как tрасчётное < tтабличное , то параметр с незначим. Оценим уравнение в целом по критерию Фишера, выдвигаем гипотезу Н0 :о том, что коэффициент регрессии равен нулю. Fф=Dфакт /Dост =348,89/6,29=55,47. FT (v1 =1;v2 =12)=4,75. Т.к. Fф > FT при 5%-ном уровне значимости гипотеза Н0 отвергается, уравнение в целом стат. значимо. Индекс детерминации здесь составляет 0,642. Следовательно, уравнением регрессии объясняется 64,2% дисперсии результативного признака, а на долю прочих факторов приходится 35,8% её дисперсии (т.е. остаточная дисперсия). 3.6. Многофакторный корреляционно - регрессионный анализ Таблица 4. Исходные данные.
Для анализа необходимо из нескольких факторов произвести предварительный отбор факторов для регрессионной модели. Сделаем это по итогам расчета коэффициента корреляции, т.е. возьмем те факторы, связь которых с результативным признаком будет выражена в большей степени. Рассмотрим следующие факторы: - Доход на душу населения – x1 (%) - Индекс потребительских цен – x2 (%) - Индекс ВРП - x3 (%) Рассчитаем коэффициент корреляции для линейной связи и для имеющихся факторов - x1 , x2 и x3 : Для фактора x1 получаем коэффициент корреляции: r1 = 0,042 Для фактора x2 получаем коэффициент корреляции: r2 =0,437 Для фактора x3 получаем коэффициент корреляции: r3 =0,151 По полученным данным можно сделать вывод о том, что: 1)Связь между x1 и y отсутствует, так как коэффициент корреляции меньше 0,15. Таким образом, возникает необходимость исключить данный фактор из дальнейших исследований. 2)Связь между x2 и y прямая (так как коэффициент корреляции положительный) и умеренная, так как она находится между 0,41 и 0,50. Поэтому, будем использовать фактор в дальнейших расчётах. 3)Связь между x3 и y прямая (так как коэффициент корреляции положительный) и слабая. Тем не менее, будем использовать фактор в дальнейших расчетах. Таким образом, два наиболее влиятельных фактора – Индекс потребительских цен – x2 и индекс ВРП - x3 . Для имеющихся факторов x2 и x3 составим уравнение множественной регрессии. Проверим факторы на мультиколлинеарность, для чего рассчитаем коэффициент корреляции rx 2 x 3 . Подставив имеющиеся данные (из таблицы 10) в формулу, имеем следующее значение: rx 2 x 3 =0,747.Полученный коэффициент говорит об очень высокой связи, поэтому дальнейший анализ по обоим факторам вестись не может. Однако в учебных целях продолжим анализ. Проводим оценку существенности связи с помощью коэффициента множественной корреляции: R=0,512 Так как R < 0,8, то связь признаем не существенной, но, тем не менее, в учебных целях, проводим дальнейшее исследование. Уравнение прямой имеет следующий вид: ŷ = a + bx1 + cx3 Для определения параметров уравнения необходимо решить систему: Решив систему, получим уравнение: Ŷ=41,57-0,042 x1 -0,183x3 Для данного уравнения найдем ошибку аппроксимации: A=15,12 А> 5%, то данную модель нельзя использовать на практике. Проведем оценку параметров на типичность. Рассчитаем значения величин: S2 =28,039 ma =0,886; mb =0,0003; mс =0,017; ta =41,57/0,886=46,919; tb =-0,042/0,0003=-140; tc =-0,183/0,017=-10,77. Сравним полученные выше значения t для α = 0,05 и числа степеней свободы (n-2)с теоретическим значением t-критерия Стьюдента, который tтеор = 2,1788. Расчетные значения tb и tс < tтеор , значит данные параметры не значимы и данное уравнение не используется для прогнозирования. Далее оценим существенность совокупного коэффициента множественной корреляции на основе F-критерия Фишера по формуле:
где: n – число уровней ряда; к – число параметров; R – коэффициент множественной корреляции. После расчета получаем: F=1,41 Сравним Fрасч с Fтеор для числа степеней свободы U1 = 9 и U2 = 2, видим, что 1,41 < 19,40, то есть Fрасч < Fтеор - связь признаётся не существенной, то есть корреляция между факторами x2 , x3 и у не существенна. 3.7. Прогнозирование уровня безработицы Определив наличие тенденции, можно начать прогнозирование. I. Сначала проведем прогнозирование методом среднего абсолютного прироста. Для этого надо проверить выполняются ли предпосылки. Вычисляем данные для подстановки в формулы предпосылок: ρ2 =5,88 σ2 ост = 4,65 т.к. σ2 ост < ρ2 , условие выполняется, значит можно строить прогноз на основе среднего абсолютного прироста. Вычислим средний абсолютный прирост:
Подставляем значения yb =12 L=1 ∆=0,48 в функцию прогноза: yp =12+0,48*1=12,48 – прогноз на 2006г. yp =12+0,48*2=12,23 – прогноз на 2007г. Фактически уровень безработицы в 2006г. составил 14,1%. Вычислим ошибку прогноза для сравнения методов прогнозирования на точность: 14,1-12,48=1,62. Теперь составим прогноз методом среднего темпа роста. Вычислим средний темп роста: yp = yb *КL
Подставим это значение в формулу и составим прогноз на 2006г.: yp =12*1,0421 =12,304 Вычислим ошибку: 14,1-12,304=1,796. Так как ошибка при прогнозировании методом среднего абсолютного прироста меньше ошибки при прогнозировании методом среднего темпа роста, то можно сделать вывод, что прогнозирование первым методом дает более точные результаты. Поэтому мы оставляем для анализа результатов данные прогноза, полученные методом среднего абсолютного прироста. Составим диаграмму при прогнозировании методом абсолютного прироста.
Рис. 8.Уровень общей безработицы при прогнозировании «методом абсолютного прироста» II. Следующий способ прогнозирования - методом экстраполяции тренда. Ранее по аналитическому выравниванию нашли уравнение параболы второй степени: Сделаем прогноз на 2006г., примем t=7, т.к. нумерация дат определена с середины ряда, т.е. ∑t=0. уp =2,46+3,545*7-0,205*49=17,23 – прогноз на 2006г. Определим доверительный интервал прогноза, в основе которого лежит показатель колеблемости уровней ряда. Колеблемость уровней ряда определяется по формуле: Sy = Sy =2,62 Интервал определяется с помощью ошибки прогноза Sp = Sy *Q, где Q- поправочный коэффициент, учитывающий период упреждения. Q=1,064 Тогда ошибка прогноза: Sp =2,62*1,064=2,79 Соответственно доверительный интервал прогноза составит: уp +t*Sp , где t-табличное значение t-критерия Стьюдента. При ά=0,05 и числе степеней свободы n-3= 11 t=2,2010. уp +2,2010*2,79 или 17,23 +6,14, т.е. 11,09< уp <23,37 Значит, прогнозная величина находится в данном интервале.
Рис.9. Уровень безработицы при прогнозировании «методом экстраполяции тренда» III. Метод экспоненциальных средних. Теперь проведем экспоненциальное сглаживание и прогноз (ExsponentialSmoothingandForecasting) временного ряда в ППП «Statistira 5.5». Таблица 5. Экспоненциальное сглаживание и прогноз. Exp. smoothing: S0=19,76 T0=19,08 (new1.sta) Damped trend, no season ; Alpha=,100 Gamma=,100 Phi=,100 Уровень безработицы
Рис. 10. Экспоненциальное сглаживание. Таким образом, по результатам проведенного анализа следует, что уровень безработицы в 2006 году возрастет по сравнению с 2005г. на 0,2% и составит 60,6 тыс.человек. Заключение В настоящей работе было рассмотрено такое понятие как безработица, ее сущность. Было выяснено, что безработица бывает фрикционная, структурная, добровольная, институциональная и циклическая, а также технологическая, конверсионная, молодежная, вынужденная, скрытая, застойная и другие. Основными показателями безработицы являются: уровень безработицы, частота, длительность безработицы. Еще в работе была рассмотрена методика расчета этих показателей, основные источники получения информации о безработице, а также методы исследования безработицы: метод статистического учета и методы социологического опроса. В данной работе для прогнозирования использовались методы: 1)на основе средних показателей динамики; 2)на основе экстраполяции тренда; 3)на основе скользящих и экспоненциальных средних. Два первых метода прогнозирования дают почти идентичные результаты. Это хорошо видно из приведенных диаграмм. Прогнозы показывают достаточно выраженный подъем. Но прогноз методом экстраполяции тренда имеет более резкий характер, в то время как прогноз методом среднего абсолютного прироста имеет более плавную линию. Рынок труда в Республике характеризуется ускоренным ростом предложения рабочей силы, низким спросом на нее, быстрым увеличением уровня безработицы. Основная причина - спад производства в промышленности, машиностроении, агропромышленном комплексе. Так, уровень безработицы в республике в 2005 г. составил 12 % от экономически активного населения республики. Также отмечаются тенденция к снижению качества рабочей силы, рост застойной безработицы. Но общая картина прогнозирования показывает, что рост безработицы в Республике Бурятия будет продолжаться в достаточно интенсивном темпе и к 2007 году достигнет более 65,68 тыс. человек. Приложения Приложение 1 1.Численность безработных в Республике Бурятия. (на конец месяца)
По состоянию на начало октября 1998г., с 2003-2006гг. – по состоянию на конец года. Приложение 2 2.Распределение численности безработного населения по возрастным группам в Республике Бурятия.
Приложение 3 3. Распределение численности безработного населения по уровню образования в Республике Бурятия.
Приложение 4 Динамика показателей безработицы в Республике Бурятия.
Приложение5 5. Уровень безработицы по возрастным группам в Республике Бурятия.
Список использованной литературы 1. Абакумов Н. Н. Безработица и самозанятость. – М., 1999.-201с. 2. Брайер К. Х. Безработица и неполная занятость // Социолоические исследования.-1998.-№10.-С.101-108. 3. Гусаров В.М. Теория Статистики: Учебное пособие для вузов. – М: Аудит, Издательское объединение «ЮНИТИ», 1998. – 463с. 4. Елисеева И.И. Статистика: Учебник – М: Проспект, 2005. – 443с. 5. Елисеева И.И. Статистика: Учебник- М: ТК Велби, изд-во Проспект, 2008г.- 448с. 6. Курышева С.В., Кашина О.Н. Статистическое изучение занятости и безработицы: Текст лекций – Изд-во Санкт-Петербургского государственного университета экономики и финансов, 1999. – 85с. 7. Маркс К. Капитал. – М.: Смарт, 2000. – Т.1. – 389с. 8. Соколова Г. Н. Структура занятости и безработица: Проблемы и тенденции // Экономика и жизнь.-2001.-№1.-56с. 9. Харченко Л.П., Долженкова В.Г., Ионин В.Г. Статистика: Учебное пособие. – М: ИНФРА-М, 2001. – 384 с. 10. Хуссманнс Р., Мехран Ф., Верма В. Обследование экономически активного населения: занятость, безработица и неполная занятость. - М., 1994.-270с. 11. Чепурина М. Н., Киселева Е. А. Курс экономической теории. – С-Пб., 2001. – 103с. 12. Никифорова А. А. Уровень безработицы: как ее считать? //Вопросы экономики.-1993.-№12.-С.73-79. 13. Бестужев - Лада, Игорь Васильевич. О безработице. 14. Шмойлова Р.А. Теория статистики.-4 изд. М: Финансы и статистика-2004г.-656с. |
|||||||||||||||||||||||||||||||||||||||||||||||||||||||||||||||||||||||||||||||||||||||||||||||||||||||||||||||||||||||||||||||||||||||||||||||||||||||||||||||||||||||||||||||||||||||||||||||||||||||||||||||||||||||||||||||||||||||||||||||||||||||||||||||||||||||||||||||||||||||||||||||||||||||||||||||||||||||||||||||||||||||||||||||||||||||||||||||||||||||||||||||||||||||||||||||||||||||||||||||||||||||||||||||||||||||||||||||||||||||||||||||||||||||||||||||||||||||||||||||||||||||||||||||||||||||||||||||||||||||||||||||||||||||||||||||||||||||||||||||||||||||||||||||||||||||||||||||||||||||||||||||||||||||||||||||||||||||||||||||||||||||||||||||||||||||||||||||||||||||||||||||||||||||||||||||||||||||||||||||||||||||||||||||||||||||||||||||||||||||||||||||||||||||||||||||||||||||||||||||||||||||||||||||||||||||||||||||||||||||||||||||||||||||||||||||||||||||||||||||||||||||||||||||||||||||||||||||||||||||||||||||||||||||||||||||||||||||||||||||||||||||||||||||||||||||||||||||||||||||



,


(по цепной системе),
(по базисной системе). 
, где
Таблица 2. Для расчёта характеристик S2
и Z2
.
, где












=1,0096


, где 



