Контрольная работа: Решение нелинейных уравнений
|
Название: Решение нелинейных уравнений Раздел: Рефераты по математике Тип: контрольная работа | ||||||||||
| Задание №1 Отделить корни уравнения
графически и уточнить один из них: · методом половинного деления; · методом хорд; · методом касательных; · методом секущих; · методом простой итерации; с точностью ε=0,001. Создать функции, реализующие указанные методы, построить графическую иллюстрацию методов, результаты проверить с помощью встроенных функций, оценить точность полученных значений.
1. Метод бисекции (деления отрезка пополам) Метод бисекции или метод деления отрезка пополам — простейший численный метод для решения нелинейных уравнений вида F(x)=0. Предполагается только непрерывность функции F(x). Графическое представление метода бисекций
Решим задание в пакете Маткад:
2. Метод хорд (метод линейной интерполяции) Идея метода состоит в том, что по двум точкам Графическое представление метода хорд
Решим задание в пакете Маткад:
3. Метод касательных (Ньютона) Графическое представление метода касательных
Решим задание в пакете Маткад:
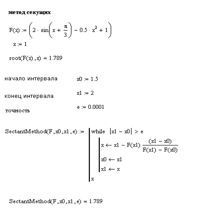
4. Метод секущих Графическое представление метода секущих
Решим задание в пакете Маткад:
5. Метод простой итерации Введем функцию:
Графическое представление метода простой итерации
Решим задание в пакете Маткад:
Задание №2 Решить задачу Коши для дифференциального уравнения 1. методом Эйлера; 2. методом Рунге – Кутта 4 – го порядка точности. 3. проверить решение с помощью встроенных функций пакета MathCAD. В решении оставлять 5 цифр после запятой.
1. Метод Эйлера Решим задание в пакете Маткад:
2. Метод Рунге – Кутта 4 – го порядка точности
Проверим решение с помощью встроенных функций пакета MathCAD
|











